A Hybrid PAPR Reduction Method Based on SLM and Multi-Data Block PTS for FBMC/OQAM Systems
Abstract
:1. Introduction
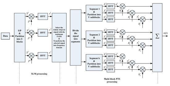
- To the best of my knowledge, a hybrid scheme combined with SLM and PTS for FBMC/OQAM signals has not yet been studied in the literature. At first, a simple SLM-PTS method is presented. When the overlapped structure of FBMC/OQAM signal is considered, the adjacent multi data block overlapping effect on its PTS process is taken into account, and a more effective hybrid method is proposed based on SLM and multi data block PTS methods.
- The superiority of the proposed method is that it combines the advantages of SLM and PTS methods, and the overlapped nature of FBMC/OQAM symbols is also considered.
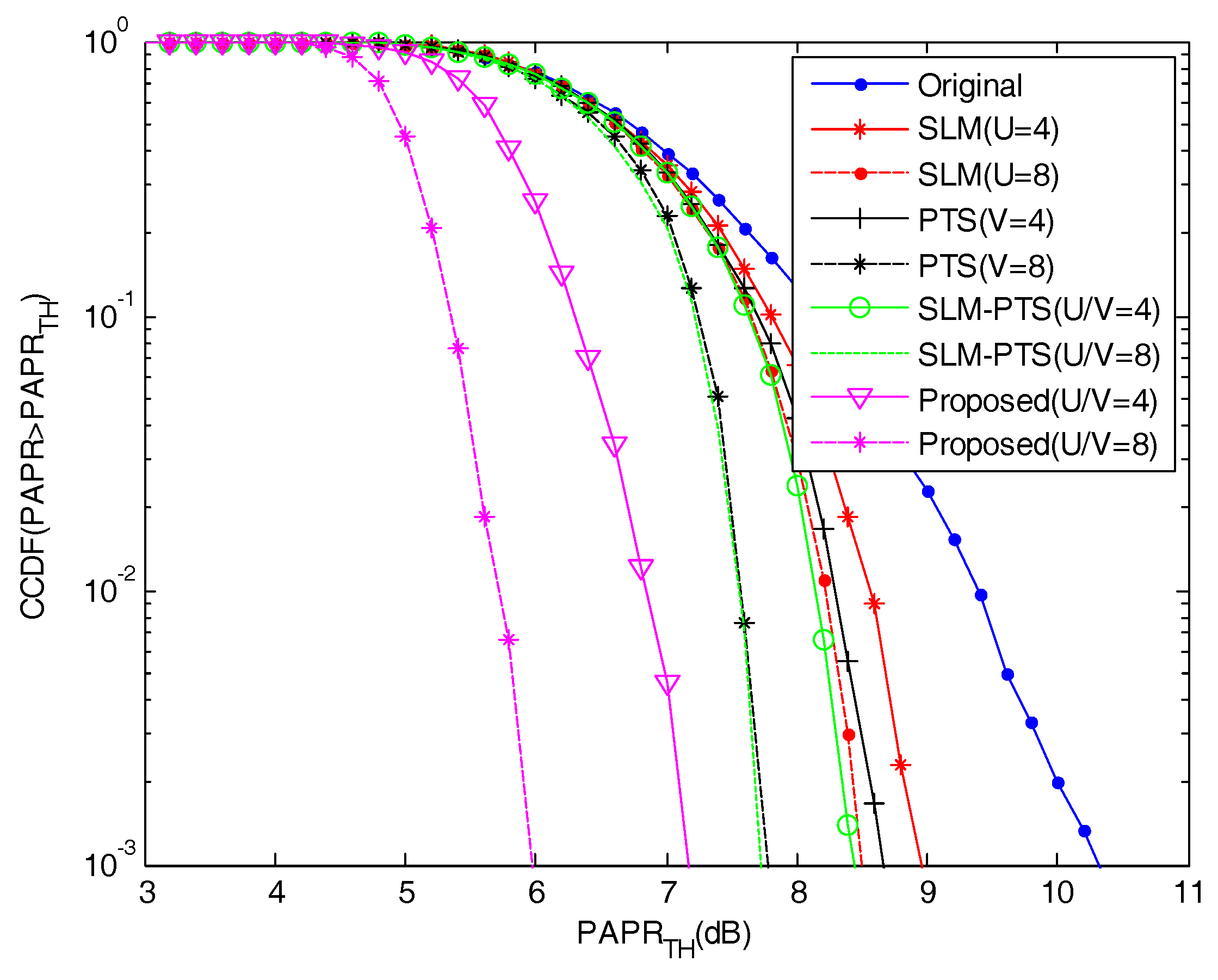
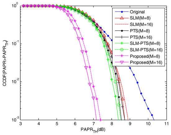
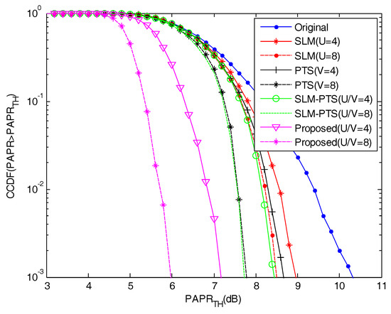
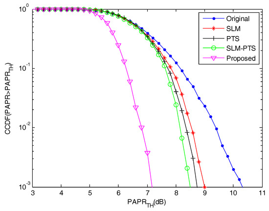
- The accuracy of the analytical results under different conditions is verified through numerical simulation. The different conditions include different numbers of phase sequences, different numbers of sub-blocks, and different numbers of data blocks. Simulation results demonstrate that the proposed approach has better PAPR reduction performance than traditional SLM, PTS and SLM-PTS schemes.
2. FBMC/OQAM System
2.1. FBMC/OQAM Signal Structure
2.2. PAPR for FBMC/OQAM
3. Conventional PAPR Reduction Schemes
3.1. SLM Scheme
3.2. PTS Scheme
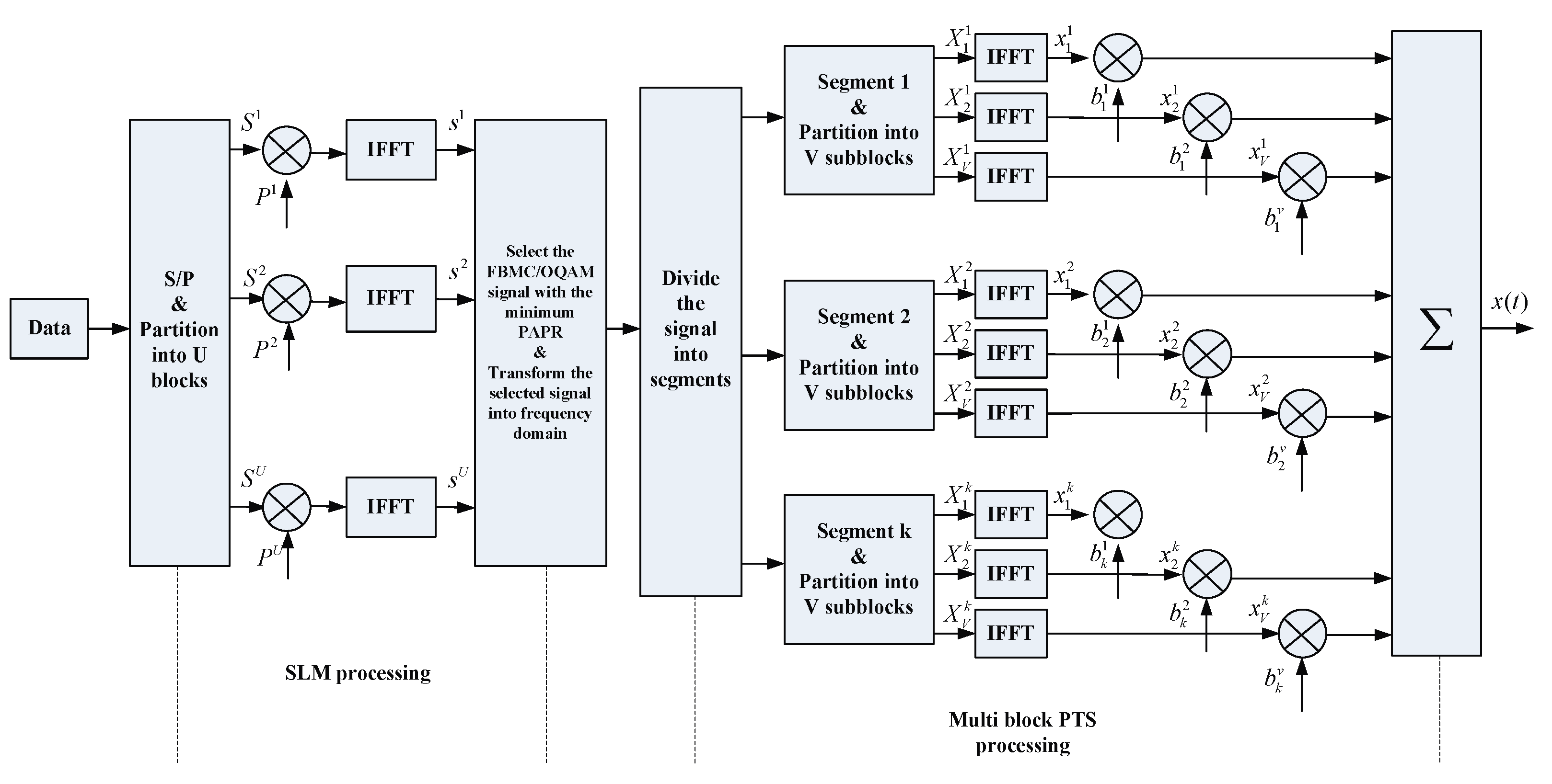
4. Proposed Scheme
5. Simulation Results
6. Conclusions
Funding
Acknowledgments
Conflicts of Interest
References
- Malka, D.; Zalevsky, Z. Multicore Photonic Crystal Fiber Based 1 × 8 Two-Dimensional Intensity Splitters/Couplers. Electromagnetics 2013, 33, 413–420. [Google Scholar] [CrossRef]
- Tamir, S.; Nada, K.; Malka, D. 1 × 4 MMI visible light wavelength demultiplexer based on a GaN slot-waveguide structure. Photonics Nanostruct. Fundam. Appl. 2018, 20, 45–49. [Google Scholar]
- Nikolaevsky, L.; Shchori, T.; Malka, D. Modeling a 1 × 8 MMI Green Light Power Splitter Based on Gallium-Nitride Slot Waveguide Structure. IEEE Photonics Technol. Lett. 2018, 30, 720–723. [Google Scholar] [CrossRef]
- Nissel, R.; Rupp, M. OFDM and FBMC/OQAM in Double-Selective Channels: Calculating the Bit Error Probability. IEEE Commun. Lett. 2017, 21, 1297–1300. [Google Scholar] [CrossRef]
- Zhang, L.; Xiao, P.; Zafar, A.; Quddus, A.U.; Tafazolli, R. FBMC System: An Insight into Doubly Dispersive Channel Impact. IEEE Trans.Veh. Technol. 2017, 66, 3942–3956. [Google Scholar] [CrossRef]
- Khrouf, W.; Siala, F.; Abdelkefi, F. How Much FBMC/OQAM is Better than FBMC/QAM? A Tentative Response Using the POPS Paradigm. Wirel. Commun. Mob. Comput. 2018, 2018, 4637181. [Google Scholar] [CrossRef]
- Banelli, S.; Buzzi, S.; Colavolpe, G.; Modenini, A. Modulation formats and waveforms for 5G networks: Who will be the heir of OFDM? IEEE Signal Process. Mag. 2014, 31, 80–93. [Google Scholar] [CrossRef]
- Nadal, J.; Abdel, C.N.; Baghdadi, A. Low-Complexity Pipelined Architecture for FBMC/OQAM Transmitter. IEEE Trans. Circuits Syst. II 2016, 63, 19–23. [Google Scholar] [CrossRef]
- Chiaraviglio, L.; Amorosi, L.; Blefari, N.; Dell’olmo, P.; Shojafar, M.; Salsano, S. Optimal Management of Reusable Functional Blocks in 5G Superfluid Networks. Int. J. Netw. Manag. 2018, in press. [Google Scholar] [CrossRef]
- Shojafar, M.; Chiaraviglio, L.; Blefari, N.; Salsano, S. P5G: A Bio-Inspired Algorithm for the Superfluid Management of 5G Networks. In Proceedings of the 2017 IEEE Global Communications Conference, Singapore, 4–8 December 2017; pp. 1–5. [Google Scholar]
- Siohan, P.; Siclet, C.; Lacaille, N. Analysis and design of OFDM/OQAM systems based on filterbank theory. IEEE Trans. Signal Process 2002, 50, 1170–1183. [Google Scholar] [CrossRef]
- Sourck, H.S.; Wu, Y.; Bergmans, W.; Sadri, S.; Farhang-Boroujeny, B. Complexity and performance comparison of filter bank multicarrier and OFDM in uplink of multicarrier multiple access networks. IEEE Trans. Signal Process 2011, 59, 1907–1912. [Google Scholar] [CrossRef]
- Xia, Y.J.; Ji, J.W. Low-Complexity Blind Selected Mapping Scheme for Peak-to-Average Power Ratio Reduction in Orthogonal Frequency-Division Multiplexing Systems. Information 2018, 9, 220. [Google Scholar] [CrossRef]
- Qi, X.; Li, Y.; Huang, H. A Low complexity PTS scheme based on tree for PAPR reduction. IEEE Commun. Lett. 2012, 16, 1486–1488. [Google Scholar] [CrossRef]
- Gazor, S.; Alihemmati, R. Tone reservation for OFDM systems by maximizing signal-to-distortion ratio. IEEE Trans. Wirel. Commun. 2012, 11, 762–770. [Google Scholar] [CrossRef]
- Bae, K.; Andrews, J.G.; Powers, E.J. Adaptive active constellation extension algorithm for peak-to-average ratio reduction in OFDM. IEEE Commun. Lett. 2010, 14, 39–41. [Google Scholar] [CrossRef]
- Laabidi, M.; Zayani, R.; Bouallegue, R. A Novel Multi-Block Selective Mapping Scheme for PAPR Reduction in FBMC/OQAM Systems. In Proceedings of the 2015 World Congress on Information Technology and Computer Applications, Hammamet, Tunisia, 11–13 June 2015; pp. 1–5. [Google Scholar]
- Krishna, S.S.; Hmaied, H.; Roviras, D. Reducing the PAPR in FBMC-OQAM systems with low-latency trellis-based SLM technique. EURASIP J. Adv. Signal. Process 2016, 1, 132. [Google Scholar] [CrossRef]
- Panya, J.; Sunisa, S.; Pornpawit, B.; Pisit, B. PAPR Reduction in FBMC-OQAM Signals with Half Complexity of Trellis-based SLM. In Proceedings of the 20th International Conference on Advanced Communications Technology, Chuncheon, Korea, 11–14 February 2018; pp. 1–5. [Google Scholar]
- Zhou, Y.; Jiang, T.; Huag, C.; Cui, S. Peak-to-average power ratio reduction for OFDM/OQAM signals via alternative signal method. IEEE Trans. Veh. Technol. 2014, 63, 494–499. [Google Scholar] [CrossRef]
- Ye, C.; Li, Z.; Jiang, T.; Ni, C.; Qi, Q. PAPR reduction of OQAM-OFDM signals using segmental PTS scheme with low complexity. IEEE Trans. Broadcast. 2014, 60, 141–147. [Google Scholar] [CrossRef]
- Moon, J.H.; Nam, Y.R.; Kim, J.H. PAPR Reduction in the FBMC-OQAM System via Segment-Based Optimization. IEEE Access 2018, 6, 4994–5002. [Google Scholar] [CrossRef]
- Jiang, T.; Ni, C.; Ye, C.; Wu, Y.; Luo, K. A Novel Multi-Block Tone Reservation Scheme for PAPR Reduction in OQAM-OFDM Systems. IEEE Trans. Broadcast. 2015, 61, 717–723. [Google Scholar] [CrossRef]
- Na, D.J.; Choi, K. Low PAPR FBMC. IEEE Trans. Wirel. Commun. 2018, 17, 182–193. [Google Scholar] [CrossRef]
- Vangala, S.; Anuradha, S. Hybrid PAPR reduction scheme with selective mapping and tone reservation for FBMC/OQAM. In Proceedings of the 3rd International Conference on Signal Processing, Communication and Networking, Chennai, India, 26–28 March 2015; pp. 1–5. [Google Scholar]
- Gopal, R.; Patra, S.K. Combining Tone Injection and Companding Techniques for PAPR Reduction of FBMC-OQAM System. In Proceedings of the 2015 Global Conference on Communication Technologies, Thuckalay, India, 23–24 April 2015; pp. 709–713. [Google Scholar]
- Zhao, J.H.; Ni, S.J.; Gong, Y. Peak-to-Average Power Ratio Reduction of FBMC/OQAM Signal Using a Joint Optimization Scheme. IEEE Access 2017, 5, 15810–15819. [Google Scholar] [CrossRef]
- Wang, H.; Wang, X.P.; Xu, L.W.; Du, W.C. Hybrid PAPR Reduction Scheme for FBMC/OQAM Systems Based on Multi Data Block PTS and TR Methods. IEEE Access 2016, 4, 4761–4768. [Google Scholar] [CrossRef]










| Parameters | Values |
|---|---|
| Subcarriers | 64 |
| Data blocks M | 8, 16 |
| Modulation | 4QAM |
| Overlapping factor | 4 |
| Sub-blocks | 4, 8 |
| Phase sequences | 4, 8 |
© 2018 by the author. Licensee MDPI, Basel, Switzerland. This article is an open access article distributed under the terms and conditions of the Creative Commons Attribution (CC BY) license (http://creativecommons.org/licenses/by/4.0/).
Share and Cite
Wang, H. A Hybrid PAPR Reduction Method Based on SLM and Multi-Data Block PTS for FBMC/OQAM Systems. Information 2018, 9, 246. https://doi.org/10.3390/info9100246
Wang H. A Hybrid PAPR Reduction Method Based on SLM and Multi-Data Block PTS for FBMC/OQAM Systems. Information. 2018; 9(10):246. https://doi.org/10.3390/info9100246
Chicago/Turabian StyleWang, Han. 2018. "A Hybrid PAPR Reduction Method Based on SLM and Multi-Data Block PTS for FBMC/OQAM Systems" Information 9, no. 10: 246. https://doi.org/10.3390/info9100246
APA StyleWang, H. (2018). A Hybrid PAPR Reduction Method Based on SLM and Multi-Data Block PTS for FBMC/OQAM Systems. Information, 9(10), 246. https://doi.org/10.3390/info9100246

