Interdisciplinary Research between Theoretical Informatics and the Humanities
Abstract
: This paper focuses on the interdisciplinary research between Theoretical Informatics (TI) and the Humanities (philosophy, history, literature, etc.). There are five main sections: 1. A brief introduction to TI and its functions in the aspects of worldview and methodology, 2. An illustration of the problems associated with dualism as set out by Plato and Rene Descartes by means of a theoretical model of the mutual contact and interaction between the material world and the information world, 3. An explanation of the historical view of R. G. Collingwood through informationalism, 4. A discussion of the basic concepts for Humanistic Informatics which is under construction, and 5. A proposal of some approach to the new subject in information science.1. Introduction
Some experts have classified cultures into three categories: material culture, institutional culture, and spiritual culture. We believe that “natural informatics”, on the basis of natural science, is the theory upon which man can create material culture. “Social informatics” is grounded on social science and is aimed to create institutional culture. “Humanistic informatics” is based on the humanities and is used to create spiritual culture. Among them, a natural informatics has matured, the technology and engineering of which are able to support the industry of bio-information, medical information, etc. While social informatics has begun to take shape with developments in technology and engineering, humanistic informatics is still at the initial stages and the current “blank” in information science urgently needs to be filled.
By starting with the concept that everything in the universe has the characteristic of “the matter -information duality”, based on physical science and information science, Theoretical Informatics (TI) presents us a brand-new picture of the world: society, individuals, animals, plants, microorganisms, biomolecules and the inorganic world are all completely in dichotomy with one another. They are a unified material subsystem and information subsystem, which form the two sides of a coin. We believe that theoretical informatics, specifically its intersection and combination with the humanities, is able to provide a worldview and methodology, and moreover that the effort of establishing a humanistic informatics is bound to achieve fruitful results. In this paper, we report some preliminary results of the interdisciplinary researches and some thoughts on the direction of future research.
2. Theoretical Informatics, Its Worldview and Its Methodology
2.1. The Status of Theoretical Informatics in the Entire Information Science
On the basis of research on the framework of information science which has been analyzed for more than 20 years, a three-dimensional model on information science is obvious to us, namely “1 + 4 + 3”, see Figure 1. According to this structure, “1” represents a theoretical informatics; “4” represents four-tool informatics, containing: communication theory, cybernetics, computer science, and robotics; and “3” represents three-domain informatics, namely: Natural informatics, social informatics and humanistic informatics. Here, the “1”, “4”, and “3” are located separately at three different levels: theoretical informatics, tool informatics and domain informatics [1]. Theoretical informatics is the theoretical foundation of all of the subjects in information science and its concepts, principles, and methodologies are suitable for all of them.
2.2. Two Basic Problems that Need to be Solved in Theoretical Informatics
The elementary concepts and theoretical structure of An Introduction to Theoretical Informatics all stem from the doctoral dissertation and postdoctoral research of the first author of this paper. In order to edit a readable, concise, and popularized version of textbook, we established a writing committee. There are two emphases throughout the book: firstly, there exists another world which is parallel to the world with materials and physical movement, in which information and its evolution comply with the law of Informatics instead of law of physics; secondly, the relation between an idealistic world and a material world raised by Plato, and the relation between conceived things and extended things put forward by Descartes, can both be illustrated by the relational models of matter and information.
In other words, this textbook aims to represent the information world in a new way, grounded on Newton's view towards the material world, by introducing the mutual connection and interaction between the information world and the material world. Firstly, being relatively independent from the material world, the information world exists in the sense of existing-in-itself, doing-for-itself, being consistent within its self and being self-proliferating. Secondly, information has contact with a material body through an “information carrier”, and interacts with physical energy through “information loading”. See Figure 2 [2].
2.3. The Worldview and Methodology of Theoretical Informatics
In Chapter 11 of An Introduction to Theoretical Informatics, titled “The Theory of Two Worlds and the Worldview of Information Science”, the worldviews of ancient Greece, Christianity and modern science, are described and compared with the worldview in a modern material world. The author discusses the worldview of information science (or the informatics worldview) and points out that the worldview has three distinguished characteristics and eight key principles. On the basis of the relational model of matter and information i.e., the unity of opposites, the informatics worldview advocates building an information philosophy different from material philosophy. Information philosophy claims that the world is both material and informational; the information world keeps changing and increasing, the evolution of information has its own regularity, information laws can be recognized, and the understanding of these laws is valuable.
When we apply this informatics worldview to analyzing and dealing with information problems, it becomes a methodology. For instance, each person can possess two lives: a physical life and an informational life. Someone decides to put his healthy living organism to an end by committing suicide, while another person's advanced cancer automatically terminates his sound psychological activities. Furthermore, one person may have two brains: a signal brain and a symbol brain. The signal brain creates a variety of symbols which help people to produce ineffable rational enlightenment, intuition, inspiration, etc.
3. The Conundrum Left by Plato and René Descartes
3.1. Plato's Material World and Immaterial World and his Doctrine of Reminiscence
Plato presented a dualistic ontology, namely “Dualism is the theory that the reality is both material and immaterial” [3] (p. 264). In 1994, the first author of this paper studied Western philosophy in the University of Missouri-Columbia, USA, and affirmed that Plato is right due to the author's theoretical knowledge obtained as a student in the Department of Mathematics and the Department of Computer Science, Wuhan University, China, and his practical experience gained as an instructor in the Department of Computer Science, Hubei University, China. Therefore, we hold firmly that the annotations on Plato's philosophy made by Western philosophers are in accordance with fact.
Certainly, without the popularity of information technology (IT) 2500 years ago, Plato could not have the chance to see the actual models of “robots”. Hence, in answer to the existing ways of and mutual relations between the material and immaterial worlds, he said: “knowledge is brought by the soul from a previous existence”, i.e., information is gradually “recollected” in later education; “Knowledge is recollection” [4] (p. 80). As citizens of the information age, we can and should explain these ways and relations more specifically and accurately by means of information science and technology.
3.2. Descartes' Thinking Things and Extended Things, and His “Pineal Gland”
Descartes had also a tendency to deem that two different entities exist in nature: thinking things and extended things (that are extended and have dimension). He is right. However, when it comes to the ways of being and mutual relations between the material and immaterial worlds, he said that two of them realize their mutual contact and interaction through the pineal grand [4] (pp. 350-351). Yet, in the pineal gland, he did not mention how the “mind” extends and how other minds can be affected by the “matter” of the pineal grand. Therefore, unresolved issues still remain.
We can say that the relation between thinking things and extended things in human system is similar to the one between the software and hardware in robots. Information products, information markets, information industries, and the dependence of contemporary society on information technology have all been “tested” on the authenticity of the proposition that everything in the universe has the characteristic of the matter-information duality. Furthermore, there are differences between robot and man. Firstly, there is a diversity between the material qualities of hardware and software carriers. Secondly, in the brain of a man, the animal-type signal brain and the symbol brain peculiar to man work together simultaneously; the signal brain is the source of our inspiration and the stronghold of subconsciousness, which creates a symbol system; and the symbol brain is in charge of our rational thinking and behavior and creates a variety of knowledge systems.
3.3. Matter-Information Duality, Information Energy, and Information Loading
In this paper, we have an interdisciplinary approach that moves back and forth between theoretical informatics and philosophy. Two problems we face are: (1) Monistic materialism denies immaterial existence by error, and physicalism reduces all spiritual phenomena to matter unilaterally and explains them only in terms of physics; and (2) Dualism assumes that the mind is more comprehensive than the body, a different reality, but cannot explain how they have contact and interact with each other. The solutions we worked out are: (1) Based on the experience gained from information science, technology, engineering, and products, we criticize the one-sidedness of materialistic monism and physicalism; and (2) On the grounds of the real model of computer and robot, we propose a “matter-information duality” of everything in the universe. Thereby, we coin two new terms: “information energy” and “information loading”, and describe a theoretical model of contact and interaction between matter and information in order to complement and complete the dualism of Plato and Descartes.
Because of the existence of information carriers, the contact between information and matter can be achieved: the carrier of information can touch a material body. For example, after putting a USB flash drive (U disk) used for storing files into the corresponding slot, we can link files with the hardware of computer. An information carrier is both informational and material; it not only has abstract information energy but measurable physical energy as well. Thus, information carriers and material entity can interact and convert physical energy.
In An Introduction to Theoretical Informatics, the author proposes and discusses the concepts of “information energy” and “information loading” (i.e., “loading energy of information”, or the physical energy of an information carrier). As a result, information energy is the antithesis of physical energy. In other words, information energy is non-physical energy and drives the changes of information. Information loading is the pairing/matching of the information carrier, which means that information loading is the physical energy of the information carrier; it causes the motion of the information carrier. In this way, the energy of the information carrier, as the identity of information loading, is able to interact with and convert other physical energy. For instance, the bioelectricity in man's nerve cells is the loading energy of biological information which has a mutual effect on the physical electricity of the computer chips buried in the human body to make the nerve cells work together with the chips to send a signal to the receiver in vitro.
Of course, after Plato and Descartes, Aristotle and Spinoza also presented some solutions for the problems associated with dualism. They each believed that matter and information are inseparable. Nevertheless, they could not further explain the relationship between material and immaterial beings either theoretically or technically [4] (pp. 117-119, 335). In modern times, actual products were provided by the engineers in the fields of computer and robot from some developed countries like USA and Europe which offered us relational models of matter and information. The author has turned the practical engineering model into a more abstract, theoretical and philosophical pattern by introducing the concepts of “information energy”, “information loading”, and “two worlds”, as well as the theory of the matter-information duality of everything in the universe. If this theoretical model can really help to explain the conundrums posed by Plato and Descartes, is not it of great significance?
3.4. How Do we Go Beyond the Interactive Dualism of Descartes and his Successors?
Since 1994, the first author of this paper has believed that Plato's proposition on material being and immaterial being is only an ontological hypothesis and a precondition for epistemology and axiology in philosophy, rather than a fact. He considers hard-software to be a concrete example of dualism in a computer, and mind-body in the human sphere. In his opinion, dualism ≈ merits of materialism + merits of idealism. In the Middle Ages, idealism was dominant, but in the industrial age, materialism was dominant. In information age, we should consider both matter and information and recall Plato's dualism. We believe that scientific research cannot be removed from philosophical discussion.
In our opinion, dualism is a philosophical term, but duality is a scientific one. Similarly, in the past four or five centuries, physicists scientifically proved that materialism is absolutely right and that idealism is wrong. Nowadays, informatics has endeavored to prove that dualism is basically right, allowing for some adjustments from the original theory because Plato and Descartes did not provide the right answer to the question: how do material beings and immaterial beings contact and interact with each other? “Descartes: Interactive Dualism” presents us with his conclusion:
Once the mind is separate, what then? How does it work? How does it control the body?
How does something non-physical produce a change in the physical world?
The difficulty of accounting for this is one factor pushing many thinkers to reject dualism. ( http://mechanism.ucsd:edu/teaching/philpsych/descartes.pdf)
Why could the so-called interactive dualism of Descartes and his successors never successfully explain how two beings interact with each other? We suggest that it is because they overlook two key concepts: “duality” and “info energy”. In our opinion, because of the features of the information carrier, material beings and immaterial beings can have contact with each other. Due to the character of information loading, they convert back and forth between physical energy and information energy. When a chip and a nerve cell cooperate it is instantly like a conversion between electronic energy and biological energy, but it is actually, in essence, the interaction of their information energy. The electronic and biological energy function as the information loading for the information energy of the chip and the cell respectively. In this way, something non-physical produces a change in the physical world.
We should go beyond the interactive dualism of Descartes and his successors. The existence of models of computers and robots in the information age helps us to form our informatics worldview. This is in contrast to the physical worldview of the industrial age, which is, for example, based on the model of a sophisticated clock. The main topic of our paper is not theoretical informatics or information philosophy but we hope to have an opportunity to discuss these topics in later articles with the support of the Journal Information.
After the Middle Ages, when the maturity of physical science, a material worldview and methodology had been established, its opposite, idealism, had been strongly criticized. Platonism was considered out of date. When Chinese philosophers learnt Western physical science, they also become critics of Platonism.
The official philosophy in China has, until now, been based on dialectical materialism. Almost all Chinese philosophers are materialists. In the University of Missouri-Columbia, the first author of this paper recognized that American philosophers dislike idealism more than communism. However, in the field of information science, the main task is to recognize that information is a kind of existence which is different from matter and information phenomena cannot be explained in physical terms. Therefore, we have no choice but to go back to Platonism, rejuvenate Plato's dualism, enrich Descartes' interactive dualism, and make a global enlightenment campaign for informationism. We believe that this is the core of the so-called global movement of the new science of information because the old science of information, based on Shannon's information theory, insists on the worldview and methodology of mathematical physics.
In our opinion, even though most people are familiar with the mind-body problem and believe that the problem was solved by mature physics, chemistry, and biology, a few scholars think that mind, as an immaterial being, is a concept parallel with matter and more important than material beings. Information science needs another ontological promise, which holds that matter and information are two kinds of beings in the universe but they are related and interact with each other. As for the pairs of information and matter, pairs of mind and body, or software and hardware, are simply one-off, concrete examples. Our purpose is to recall the problem and give a new ontological and epistemological answer based on theoretical informatics in information age.
4. About the Historical View of R.G. Collingwood
4.1. Schneider's “Iceberg Structure” of Culture
In 1997, in The Cross-culture Management, S.C. Schneider described three levels of culture in the form of “the iceberg structure”. See Figure 3 [5].
Schneider mentioned that, in the iceberg structure, usually only one ninth of the whole iceberg, namely only the peak of this iceberg, can be seen. This part presents people's behavior, artificial goods and a variety of organizations. The remaining eight ninths is submerged in the water. This invisible, submerged part can be divided into two parts: among which, the shallow layer stands for values (moral value), while the deep layer presents people's worldview.
As for the relations between these three levels, Schneider said that the upper level is always based on the lower ones. The top of the iceberg, i.e., man's behavior, artificial goods and organizations, all have the middle level as their foundation, which includes values, beliefs and conduct norms. Meanwhile the middle level is grounded on the base level and consists of varied assumptions about the world and humankind. In other words, the basic worldviews of a human play a determinate role in their values, beliefs and conduct norms. In turn, basic values and beliefs can drive people's behavior, such as the production of various kinds of material products, establishment of social organizations and promulgation of laws and regulations. In the second level of this iceberg, the conduct norms can help us to judge the proper degree of someone's behavior. In nature, culture can be regarded as a kind of “programming” by different groups of people, according to the hypothesis of their worldview, through mass value judgment and selection of tools, in order to regulate the track of man's conduct. Therefore, we can not only run our program, but also assess and adjust this program whenever needed.
In accordance with theoretical informatics, people's behavior and actual products are all material and visible. In contrast, abstract and invisible thought (information) can propel people's production and direct their lives. The two submerged parts of human culture were firstly occupied by religion, and then philosophy. In the long history of the human race, religion has nearly always been the foundation of the whole of human ideology. After the emergence of Greek philosophy, the divinity perception of Olympus has been transformed and absorbed into philosophy to continuously reflect the ideals and pursuit of the Greek nation by rational refinement [6]. Traditional sciences come into play only in a material world. Due to the advocation of the research methods of observation, experiments, quantification and mathematics, it is very difficult for us to access extensive research into the invisible immaterial world regarding, for example, worldview, values, moral value, etc. As a result, these factors make almost no contribution. Unlike traditional science (such as physics, chemistry and biology etc.), information science can consider the objects which are “invisible” to the naked eye. Therefore, it can be used to investigate the structure and functions of the parts of the culture iceberg that are submerged under the water.
4.2. Collingwood's View can be Explained by Matter-Information Duality
For Collingwood, the natural phenomenon is just a phenomenon, with no thoughts behind it. In contrast, historical phenomenon is more than natural phenomenon and there are some thoughts behind it. Man's mind is constituted of thoughts, while historical events are the actions directed by thoughts [7] (pp. 6-7). We can say that history has two sides: external facts and the thoughts behind those facts. When historians study history, they must understand and explain how people thought. Therefore, strictly speaking, the research objects of history are the activities of thoughts behind historical facts rather than the historical facts themselves. A historian should know the facts about what was happening in the past, and be able to recognize and understand them. Without understanding of the thoughts of predecessors, one cannot comprehend history. In this sense, history is the history of thoughts. Furthermore, all history is the history of thoughts. If all the thoughts of our human predecessors can be considered in this way, those thoughts will become historical knowledge and not simply thoughts any more [7] (pp. 11-12).
The authors of this paper propose that the ontology which Collingwood essentially depended on is actually dualism, namely the existence of both the material and the immaterial (information). The existence of information is the more important of the two. As a matter of fact, it is simply the soul-body dualism (being and becoming) posed by Plato. In other words, Plato's ontology supports the philosophical argument of the historical view of Collingwood. Although historical figures have passed away, their thoughts are able to exist eternally. Thought is valuable as the driving force of history. The history of thoughts is the real object that historians have to study. In his Voices of Wisdom: A Multicultural Philosophy Reader, G.E. Kessle explains Plato's dualism as follows:
Plato's metaphysics has been classified as dualistic because he argued that reality could be divided into two radically different sorts of things. There is the reality of matter characterized by change (becoming) and the reality what he called the Forms or Ideas characterized by performance (being). Being is immaterial and of greater value than the material. Along with this general ontological dualism between being and becoming, Plato taught a soul-body dualism. Human beings are composed of bodies and souls. One power that our soul have is the power of thought (the mind), and this is by far our most valuable thing. Our minds and souls are immaterial in contrast to our material bodies [3] (pp. 274-275).
The ontology that served as the basis of the worldview of TI is Plato's dualism. The authors agree with Plato's assumption on ontology and relevant value judgment. What the author has done, in the context of actual models of computers and robots, is simply supplemented an abstract model of the material and immaterial world and the proposal of an internal mechanism of interconnection and interaction between the material and information systems. It can be supposed that our aim is to make additional annotations to the philosophy of Plato and Descartes, and explain for the historical view of Collingwood by the use of our findings in the field of information science.
4.3. History Proper, Then, Is the History of Mind
We believe that the material-informational duality is a general concept which can be concretized in different fields, e.g., the contact and interaction between hardware and software, body and soul etc. In our opinion, material beings are of a stronger determinacy than ideas, but immaterial beings are of a more important determinacy than materials.
How do we human beings contact and interact in our contemporary society in information age? We mainly have contact through immaterial, rather than material means. There are two kinds of systems: material and informational. Traditional system theory considers almost exclusively material beings because it employs the methodology of mathematical physics. Both material and immaterial systems have structures, but their structures are different. Man's gene is a mingling of matter and information. The material complexity of DNA is analyzed with physical reductionism, but the information complexity of DNA is difficult for humans to explore. The historical mission of theoretical informationists is to develop a new worldview and methodology.
The following paragraph is from the on-line Stanford Encyclopedia of Philosophy, “Robin George Collingwood”, which was first published on Wednesday January 11th, 2006 and was substantially revised on Monday May 17th, 2010.
The subject matter of history, therefore is provided not by natural but rational processes. As Collingwood puts it, the so-called Res Gestae “are not the actions, in the widest sense of that word, which are done by animals of the species called human; they are actions in another sense of the same word, equally familiar but narrower, actions done by reasonable agents in pursuit of ends determined by their reason.” (PH, 46). History proper, then, is the history of mind. (PH: The Principles of History, W. H. Dray and Jan Van der Dussen (eds.), Oxford: Oxford University Press, 1999.)
5. The Basic Thoughts for the Establishing of Humanistic Informatics
5.1. Body-Soul Relationship of Monistic Materialism and Body-Soul Dualism
Seen from different angles, monistic materialism and body-soul dualism have various models of the body-soul relationship, see Figure 4 and Figure 5. Materialism asserts that the body is the only reality, with the brain being its integral part. Mind is the function of a brain and one attribute of the body just as the biological attributes of it. Hence, just like the discussion about the body, we can study our mind in biological, chemical and physical ways. The recognition of the body-soul relation is conveyed in Figure 4.
As dualists, Plato and Descartes hold that the body and the soul of a man are different and bound together. This is represented in Figure 5. Physical reality is constantly changing, but spiritual reality is eternal. So the ultimate reality is soul (mind). Being separate from the body, the soul can still exist after one's physical body has expired. Soul is more important than the body.
5.2. Hardware-Software Model in Computer/Robot and Body-Soul Model in Theoretical Informatics
A computer consists of hardware and software. A naked machine, or pure hardware, is useless to us. We should install software for the machine, and then the system is able to process information. A user does not directly operate its memories, registers, arithmetic units and input/output devices, but controls the varieties of hardware through the man-machine interface of the operating system. In logic, the hardware is contained within the software, so the communication between man and machine or among machines is realized by computer software. Computer and robot have a same logical structure, as shown in Figure 6.
The computer is a simulation of the brain, and the robot is a simulation of man. This kind of imitation is successful, reliable and practical. These kinds of models reflects that computer and human brain, or robot and man, have the same logical structure and functional process. The concept of information is not only the inheritance and development of body-mind dualism, but also the reference obtained from the structure and function of computer and robot. The concept of theoretical informatics has shown us that man can share a logical model with robot, see Figure 7. According to some experts in computer science, “Windows 95 has 10 million lines of code [8].” We can“recognize ourselves” through the human body, we know ourselves on a molecular level, and are even able to make a DNA map of ourselves. In terms of our minds, we may only just be getting started. The research towards the “operating system” of human beings has barely begun, and the process of man's signal brain cannot be expressed by lines of code.
5.3. Informational Man Hypothesis and Humanistic Informatics
In the sense of informationalism, we can propose “a hypothesis of informational man”: People in essence can be considered as living creatures capable of thinking, an informational man or an informational body, see Figure 8. Within all the experiences of a person's life, for the vast majority of time, he lives, studies, and works as an informational man. Of course, in his infant and juvenile period, when a system of symbolic information has not yet matured, a person's main task is to grow up. This model is expressed in Figure 4. A young man, who has graduated from high school or university, could be described by the model in Figure 5. The model of an adult who is in charge of producing material or information products is shown in Figure 7. Thus, three models in Figure 4, Figure 5 and Figure 7 may work together or one after another. In general, with the age, the function of mind (information) in the mind-body relationship will hold more and more importance. After a man matures, his physical strength gradually diminishes, and finally the death of the body and brain comes at the same time. The significant spiritual products may however be preserved, or even exist forever as the spiritual wealth of mankind.
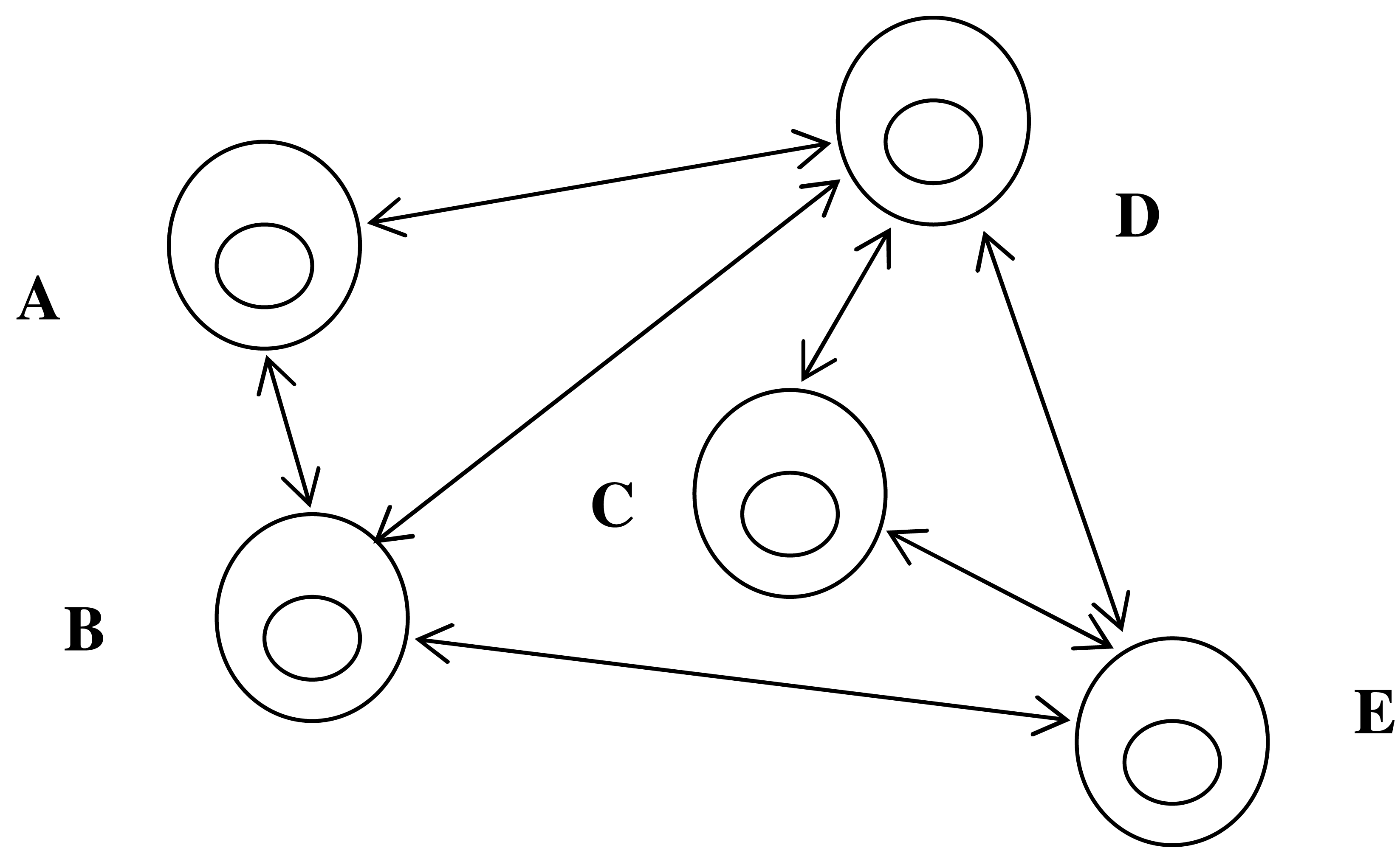
From the very beginning, human society is a society filled with information. At first, only simple information tools existed. Our “living world” is a network of humanistic information which is composed of “informational man”, see Figure 8. A small living world consists of five people: A, B, C, D, and E. Solid lines with double arrows indicate communication between people. In the era characterized by the popularity of “the Internet”, with the help of a global computer network in a wired or wireless way, the worldwide “informational men” have constituted a super multi-layer and complex information network. With diminishing importance of contact on a “physical level”, there is more and more significance in terms of “psychic contact”. The contact and communication between people in a material sense have almost been “informationized” (or “virtualized”).
Everyone in a human information network is biological, chemical and physical. Meanwhile, the existence of human beings and the way they live are informational. People are truly two kinds of information carrier: one is biological DNA and the other is the cultural MEME. Our life is limited and very short, but the DNA and MEME transmitted by the chains of man's life are immortal and eternal. It is just like the process of twisting straws one by one into a rope. Although each straw is short, the rope made from it is infinitely long; Therefore, a short element can make-up continuity and eternality. In fact, DNA and MEME do not only inherit by means of “duplication”, but also innovate by means of continuation.
Obviously, the stories about man are actually stories full of thoughts, with the history of man being the history of thoughts, and the philosophy of man being the philosophy of thoughts. All humanistic phenomena are informational phenomena. Accordingly, we can consider that humanistic informatics, born in the interdisciplinary study, is the doctrine about the information process, the essence and regulations of humanistic phenomena.
5.4. The Basic Thoughts of Establishing Humanistic Informatics
As noted above, theoretical informatics provides a scientific worldview and methodology for us to observe, think, and discuss material culture, institutional culture and spiritual culture. This paper focuses on the concept and process of “Subject Informatization” of the humanities (literature, history, philosophy, etc.) about the phenomena of the human spirit, the result of which is the establishment and development of humanistic informatics.
“Etymologically,” says M. Burgin, “the term information is a noun formed from the verb ‘ to inform’, which was borrowed in the 15th century from the Latin word ‘informare’, which means ‘to give form to’ ‘to shape’, or ‘to form’ [9].” Plato said, there is an immaterial being outside the material being, which is Form; and Wiener said, that the immaterial being is information. Philosophical assumption and concept are the main themes which run through history and literature. If we re-examine the history of philosophy from the perspective of theoretical informatics, it is easy to find that the Comprehensive Synthesist of Greek philosophy, i.e., Plato's philosophy, in essence, is an “information philosophy” (Philosophy of Form), which combined the advantages of materialism and idealism. Philosophy in the West after Plato is basically the development and perfection of his philosophy.
To re-examine history from the perspective of theoretical informatics, we find that what philosopher Collingwood talked about is very profound: history as the “Chronicle” is superficial, rather, history is the history of ideas. Re-examining the literature, we find that it is the acts and works as language arts, which reflect life with image, and reveal the ideology of aesthetics in discourse. Among these works, the report-type literature is the “news” (recent history) written by a writer, while the art-type literature is stories happening in the past compiled by a writer. In his “Principles of Art”, Collingwood proposed that skills, magic art and entertainment art are not real art, which is the expression of emotion and imaginary activities. Furthermore, he theoretically discussed sense, consciousness, imagination, emotion, thinking, language and so on. Based on these discussions in detail, his assertion that art is not materials helps to illustrate his theory of art [10].
6. Conclusions
In the interdisciplinary research between theoretical informatics and the Humanities, we feel that the interaction between the disciplines will be very useful in promoting further research. Dualism philosophy inspires the basic assumption of theoretical informatics. “Matter-information duality” theory, in turn, complements and improves the dualism of Plato and Descartes. Collingwood's historical view enlightens the “informationalism” proposition. Conversely, the principle of values, “information is more important than matter”, demonstrates the correctness of Collingwood's theories of history and literature. More importantly, interdisciplinary research between theoretical informatics and the Humanities aims to establish a new discipline of information science, “Humanistic Informatics”.
We firmly believe that the process of the establishment of humanistic informatics could roughly adopt the method of “entering at one point and walking on two legs”. The so-called “entering at one point” means that it should start from the “worldview of theoretical informatics”, namely the reconsideration of informational phenomena and traditional theories in the fields of literature, history and philosophy by the adoption and usage of the worldview of theoretical informatics. The so-called “walking on two legs” implies that related research should be conducted in two ways: divided and synthesized. The “divided way” is the way of thinking that considers each branch respectively, which is the specific interdisciplinary study of literature, history, or philosophy. The “synthesized way” is the way based on the assumption that “There is no separation between studying literature, history and philosophy”, namely which realizes comprehensive research and establishes unified humanistic informatics on the basis of divided research. The authors of this paper may be the early practitioners of this method.








Acknowledgments
While preparing this research project, we took the course “Theory and Methods in History”, which was given by Chuan-Yin Li, for the graduate students in the Institute of History, Huazhong University of Science and Technology, China. Here we express our sincere thanks to him for his guidance and great help.
References
- Li, Z.; You, J.; Tian, A. “1+3+4”: New Information Science Knowledge Framework of Three-Dimensional Structure. In Information, Intelligence, and Logic—A Special Issue of the Basic Research of Information Science; He, H., Ouyang, K., Eds.; Northwestern Industrial University Press: Xi'an, China, 2010; p. 2. [Google Scholar]
- Li, Z. An Instruction to Theoretical Informatics; China Science and Technology Publishing: Beijing, China, 2010; p. 222. [Google Scholar]
- Kessler, G.E. Voices of Wisdom—A Multicultural Philosophy Reader, 2nd ed.; Wadsworth Publishing Company: Belmont, CA, USA, 1994. [Google Scholar]
- Stumpf, S.E.; Fieser, J. Western Philosophy, 7th ed.; Ding, S.; Zhang, C.; Deng, X., Translators; Zhong Hua Press: Beijing, China, 2006. [Google Scholar]
- Schneider, S.C. Managing Across Cultures; Prentice Hall: Saddle River, NJ, USA, 1997; pp. 25–26. [Google Scholar]
- Wang, X. Fifteen Lectures on the Basis of Religion; Peking University Press: Beijing, China, 2005; pp. 67–69. [Google Scholar]
- Collingwood, R.G. Historical Concept; He, Z.; Zhang, W., Translators; The Commercial Press: Beijing, China, 2007. [Google Scholar]
- Dale, N.; Lewis, J. The Introduction to Computer Science; Zhang, X.; He, J., Translators; China Machine Press: Beijing, China, 2005; p. 350. [Google Scholar]
- Burgin, M. Theory of Information—Fundamentality, Diversity and Unification; World Science Publishing Co. Pte. Ltd.: Singapore, 2010; p. 2. [Google Scholar]
- Collingwood, R.G. Principles of Art; Wang, Z., Translator; Social Science Press: Beijing, China, 1995; p. 133. [Google Scholar]
© 2011 by the authors; licensee MDPI, Basel, Switzerland. This article is an open access article distributed under the terms and conditions of the Creative Commons Attribution license (http://creativecommons.org/licenses/by/3.0/).
Share and Cite
Li, Z.-R.; Zhou, X.; Tian, A.-J. Interdisciplinary Research between Theoretical Informatics and the Humanities. Information 2011, 2, 546-559. https://doi.org/10.3390/info2030546
Li Z-R, Zhou X, Tian A-J. Interdisciplinary Research between Theoretical Informatics and the Humanities. Information. 2011; 2(3):546-559. https://doi.org/10.3390/info2030546
Chicago/Turabian StyleLi, Zong-Rong, Xiao Zhou, and Ai-Jing Tian. 2011. "Interdisciplinary Research between Theoretical Informatics and the Humanities" Information 2, no. 3: 546-559. https://doi.org/10.3390/info2030546
APA StyleLi, Z.-R., Zhou, X., & Tian, A.-J. (2011). Interdisciplinary Research between Theoretical Informatics and the Humanities. Information, 2(3), 546-559. https://doi.org/10.3390/info2030546
