Next Article in Journal
A Hybrid Framework for the Sensitivity Analysis of Software-Defined Networking Performance Metrics Using Design of Experiments and Machine Learning Techniques
Previous Article in Journal
Digital Technology Deployment and Improved Corporate Performance: Evidence from the Manufacturing Sector in China
 
 
Font Type:
Arial Georgia Verdana
Font Size:
Aa Aa Aa
Line Spacing:
Column Width:
Background:
Article

Opinion Formation in Wikipedia Ising Networks †

by
Leonardo Ermann
1,
Klaus M. Frahm
2 and
Dima L. Shepelyansky
2,*
1
Departamento de Física Teórica, GIyA, Comisión Nacional de Energía Atómica, Av. del Libertador 8250, Buenos Aires 1429, Argentina
2
Laboratoire de Physique Théorique, CNRS, Univ Toulouse, Toulouse, France
*
Author to whom correspondence should be addressed.
This article is a revised and expanded version of a paper entitled “Competition of entries from Ising Wikipedia networks”, which was presented at WikiWorkshop, WikiMedia Foundation, held online 21–22 May 2025, https://wikiworkshop.org/2025/paper/wikiworkshop_2025_paper_4.pdf.
Information 2025, 16(9), 782; https://doi.org/10.3390/info16090782
Submission received: 29 July 2025 / Revised: 2 September 2025 / Accepted: 4 September 2025 / Published: 9 September 2025

Abstract

We study the properties of opinion formation on Wikipedia Ising Networks. Each Wikipedia article is represented as a node, and links are formed by citations of one article to another, generating a directed network of a given language edition with millions of nodes. Ising spins are placed at each node, and their orientation up or down is determined by a majority vote of connected neighbors. At the initial stage, there are only a few nodes from two groups with fixed competing opinions up and down, while other nodes are assumed to have no initial opinion with no effect on the vote. The competition of two opinions is modeled by an asynchronous Monte Carlo process converging to a spin-polarized steady-state phase. This phase remains stable with respect to small fluctuations induced by an effective temperature of the Monte Carlo process. The opinion polarization at the steady state provides opinion (spin) preferences for each node. In the framework of this Ising Network Opinion Formation model, we analyze the influence and competition between political leaders, world countries, and social concepts. This approach is also generalized to the competition between three groups of different opinions described by three colors; for example, Donald Trump, Vladimir Putin, and Xi Jinping, or the USA, Russia, and China, within English, Russian, and Chinese editions of Wikipedia of March 2025. We argue that this approach provides a generic description of opinion formation in various complex networks.

1. Introduction

The process of opinion formation in human society gains increased importance with the development of social networks, which have an important impact on political views and elections (see, e.g., [1,2]). The statistical properties of such social networks typically have a scale-free structure, as reviewed in [3,4]. Various voter models have been proposed and studied by different groups with the development of physical concepts and their applications to sociophysics [3,5,6,7,8,9,10,11].
Recently, we proposed the Ising Network Opinion Formation (INOF) model and analyzed its applications to Wikipedia networks for six language editions of 2017 [12]. This model allows us to determine opinion polarization for all Wikipedia articles (or nodes) induced by two groups of nodes with fixed opposite opinions (red or blue, spin up or down). In this INOF model, the initial two groups of one or a few nodes have fixed opposite opinions represented by spin up (red color) or spin down (blue color). All other nodes initially have an undecided opinion (spin zero or white color). The formation of a steady-state opinion of each node emerges as a result of an asynchronous Monte Carlo process in which an opinion of a given node i is determined by a majority vote of their friends presented by spins up or down or zero from all network nodes j that have links to node i. Such spin flips, induced by local majority votes, are performed for all nodes without repetitions in random order over all N nodes. This procedure is repeated up to convergence to a steady state for a sufficiently long time τ and corresponds to a particular random pathway realization for the order of spins to be flipped. Finally, an average over a high number of pathway realizations is found to obtain averages and distributions of the opinions for nodes or the whole network (see the next section for more technical details). A somewhat similar procedure is used in the studies of problems of associative memory (see, e.g., [13,14]), even if there are significant differences from the INOF model due to the absence of certain fixed nodes and other initially white nodes and the use of positive/negative transition elements between nodes, while all of them are positive for the INOF case considered here.
The mathematical and statistical properties of certain models of Ising spins on complex networks have been analyzed in [15,16]. However, these works studied very different aspects of such networks compared to those discussed in our work.
We also note that the INOF approach is generic and can be applied to various directed networks. In particular, it has also been applied to the analysis of fibrosis progression in the MetaCore network of protein–protein interactions [17]. A similar approach, without white nodes, was used to study the competition of the dollar and possible BRICS currencies in the world trade network [18].
In this work, we extend the studies of the INOF model [12] to more recent Wikipedia networks collected either in October 2024 or on 20 March 2025 and to new specific initial groups with fixed opinions. For example, we analyze the competition between Apple Inc. vs. Microsoft, Donald Trump vs. Vladimir Putin, and others. Furthermore, the competition of three entries is also considered for several cases. Thus, we analyze the competition between three groups of Donald Trump, Vladimir Putin, and Xi Jinping and compare the results with the case of competition between three related countries: the USA, Russia, and China. We also show that the INOF approach allows us to analyze the interaction and influence of social concepts such as Liberalism, Communism, Nationalism. In this work, we consider two types of vote contributions (determined by two representations of V i j in (1), see below), while only one of them was considered in [12]. And finally, we also examine the effects of fluctuations appearing as a result of a certain effective temperature in the voting process.
Wikipedia networks have rather exceptional features compared to other networks: the meaning of their nodes is very clear, they represent all aspects of nature and human activity, and the presence of multiple language editions allows us to analyze various cultural views of humanity. A variety of academic research of Wikipedia with the analysis of different aspects of nature and society was reviewed in [19,20,21,22,23]. Therefore, we hope that the INOF approach to Wikipedia Ising Networks (WINs) will find multiple and diverse applications.
The article is composed as follows: Section 2 describes the INOF model and the used Wikipedia datasets, Section 3 presents the results for the confrontation of opinions for two groups of entries, Section 4 presents the results for the contest between the three groups, Section 5 analyzes the effects of fluctuations induced by an effective temperature, and Section 6 contains the discussion and conclusion. Finally, Appendix A provides some additional figures and data.
We note that the preliminary results of this research have been presented at the contributed talk of the authors at Wiki Workshop 2025 on 22 May (the three-page abstract is available at [23]).

2. Model Description and Datasets

In this work, we mostly use three very recent Wikipedia editions (English EN, Russian RU, Chinese ZH) collected on 20 March 2025 with the number of network nodes/articles being N = 6 , 969 , 712 , 2 , 035 , 086 , 1 , 468 , 935 and the number of links being N = 190,031,938, 44,188,839, 21,160,179 for EN, RU, and ZH, respectively. For certain cases, we also use the English (EN) and French (FR) Wikipedia network collected on 1 October 2024 and already used previously (see [23] and Refs. therein) with N = 6,891,535, 2,638,634 and N = 185,658,675, 76,118,849 for EN (2024) and FR (2024), respectively.
Wikipedia articles correspond to network nodes and citations from a given article j to another article i corresponding to a directed link with the adjacency matrix element A i j = 1 (and A i j = 0 in the absence of a link from j to i); multiple citations from j to i are considered as only one link. The above definition of the link directions of A i j corresponds to those used in our previous works, see, e.g., [23] and Refs. therein, and we keep it here. Then, the matrix of Markov transitions is defined by S i j = A i j / k j , where k j = i A i j is the number of outgoing links from node j to any other node i (such that A i j 0 ); for the case of dangling nodes without outgoing links (i.e., with k j = 0 ), we simply define S i j = 1 / N , implying the usual column sum normalization i S i j = 1 for all j. For later use, we also introduce the modified matrix S ˜ i j , which is identical to S i j for k j > 0 and with S ˜ i j = 0 for dangling nodes.
Usually, in other typical types of network studies (see, e.g., [23]), one introduces the Google matrix of the network defined as G i j = α S i j + ( 1 α ) / N , where alpha is the damping factor with the standard value α = 0.85 [24,25]. Here, the network nodes can be characterized by the PageRank vector, which is the eigenvector of the Google matrix G [24,25] with the highest eigenvalue λ = 1 , i.e., G P = λ P = P , and the damping factor α < 1 ensures that this vector is unique and can be computed efficiently. Its components P ( i ) are positive and normalized to unity ( i = 1 N P ( i ) = 1 ). The network nodes i can be ordered by monotonically decreasing probabilities P ( i ) , which provides the PageRank index K with with highest probability at K = 1 and smallest at K = N . Some results for the PageRank vector and its index for recent Wikipedia editions of 2024 can be found at [23] and Refs. therein. However, in this work, we do not use the Google matrix nor the PageRank and focus mostly on the modified matrix S ˜ and also the adjacency matrix A i j to define an asynchronous Monte Carlo process.
As in [12], a few selected nodes (wiki-articles) have assigned fixed spin values σ l = 1 blue for Microsoft and σ k = 1 red for Apple Inc. These specific spin nodes always keep their polarization. All other nodes i are initially assigned a white color (or spin σ i = 0 ) and have no definite initial opinion. However, once they acquire a different color, red or blue (spin value σ i = ± 1 ), during the asynchronous Monte Carlo process, they can flip only between ± 1 and cannot change back to the white opinion.
To define the asynchronous Monte Carlo process, we choose a random spin i among the non-fixed set of spins and compute its influence score from ingoing links j:
Z i = j i σ j V i j ,
where the sum is over all nodes j linking to node i. Here, V i j is the element of the vote matrix, defined by one of two options: V i j = A i j (the adjacency matrix element, option OPA) or V i j = S ˜ i j (the modified Markov transition matrix element, option OPS). For the OPS option, the matrix S ˜ i j is used, in which columns corresponding to dangling nodes contain only zero elements, ensuring that these nodes do not contribute to Z i . We discuss both options, OPA and OPS, with a primary focus on the OPS case.
In Equation (1), σ j = 1 if the spin of node j is oriented up (red color), σ j = 1 if it is oriented down (blue color), or σ j = 0 if the node j has no opinion (if it has still its initial white value). After the computation of Z i , the spin σ i of node i is updated: it becomes σ i = 1 if Z i > 0 , σ i = 1 if Z i < 0 and remains unchanged if Z i = 0 . This operation is repeated for all non-fixed nodes i following a predetermined random order (shuffle), such that there is no repetition at this level and each spin is updated only once. Note that due to the possibility of Z i = 0 , it is possible that a node i keeps its initial white value σ i = 0 . After the update of σ i , the modified value of σ i is used for the computation of Z i of subsequent values σ i .
One full pass of updating all non-fixed spins constitutes a single time step, τ = 1 . The procedure is then repeated for subsequent time steps τ = 2 , 3 , using a new random shuffle for the update order at each step. We find that the final steady state is reached after τ 20 steps with only a very small number of spin flips in the τ = 20 . There is a certain fraction of nodes that remain white for τ 20 , which we attribute to their presence in isolated communities (about 12% for EN 2025, 15% for RU 2025, 30% for ZH 2025, and 10% for FR 2024). These nodes are not taken into account when determining the opinion polarization of other nodes and all statistical quantities such as averages, fractions, and histograms that are computed with respect to the set of non-white nodes. We point out that compared to the usual case of Wikipedia networks, the size of the configuration space of the INOF model is drastically increased to 2 N instead of N.
The physical interpretation of the OPA case corresponds to the situation where a node j gives an unlimited number of votes to the nodes i to which it has links, while for the OPS case, the node j has only a limited vote capacity (since the total probability in column j is normalized to unity). Therefore, these two options, OPA and OPS, describe two different possibilities for the voting process. We note that due to a misprint in [12], the analysis was performed for the OPA case and not with the OPS one as it is declared in [12].
Repeating this asynchronous Monte Carlo process, with the same initial condition and different random orders (or pathways) for the spin flip defined by rule (1), we obtain various random realizations, leading to different final steady-state distributions in each case. Using these data, we perform an average of up to N r = 10 5 pathway realizations ( N r = 10 6 for the case of FR 2024 to obtain a reduced statistical error for this case; see below) that provides an average opinion polarization μ i of a given spin (node, article). The further average of μ i over all (non-white) network nodes gives the global polarization μ 0 with a deviation of Δ μ i = μ i μ 0 for each article. This deviation Δ μ i represents the opinion preference of a given article i to red or blue entries as compared to the average global Wikipedia opinion μ 0 . The set of white nodes in the final steady-state distribution contains about 10–30% of the total number of nodes (30% only for ZH Wiki2025 and at most 15% for the other cases), and this set is extremely stable with respect to different pathway realizations and also with respect to the different choices of initial fixed nodes. These white nodes are not taken into account in the computation of μ 0 , and μ i is only computed for non-white nodes (those which have nearly always either red or blue values depending on the pathway realization). The voting process for the case of a competition between three groups of entries is an extension of this procedure, and its details will be explained later.

3. Results for Competition of Two Groups of Entries

3.1. Comparison of OPA and OPS

The relaxation of Ising spins to the steady state in Wiki2024 and Wiki2025 networks is very similar to those found for Wiki2017 networks studied in [12] (see, e.g., Figure 1 there). Thus, the steady state is reached at τ 20 , and the fractions of red and blue nodes at the final state are concentrated mainly at all red or at all blue nodes.
For each pathway realization, we compute the fraction of red nodes f r as the ratio f r = n r / ( n r + n b ) , where n r ( n b ) is the number of red (blue) nodes in the network for this pathway realization at τ = 20 . In particular, white nodes are not taken into account in this fraction, and the corresponding fraction of blue nodes is simply by symmetry f b = n b / ( n r + n b ) = 1 f r . We show examples for the probability density of f r (histogram for many different pathway realizations) in Figure 1 for two groups of entries, Socialism, Communism (red) vs. Capitalism, Imperialism (blue) SCCI, for the two cases OPA and OPS of EN Wiki2025.
We note that the probability distribution p ( f r ) in Figure 1 is obtained as a histogram using N r values of f r for those obtained from different pathway realizations. The shape of the distributions for OPA and OPS cases is similar, with strong maxima close to f r 0 and f r 1 , but for the OPA case, the distribution has sharper peaks. In both cases, it is very likely that either one or the other opinion is a strong winner for a given random pathway realization, but this effect is somewhat stronger for the OPA case where the peak maxima are roughly four times larger than those for the OPS case. Furthermore, the comparison of the two curves for N r = 10 4 and N r = 10 5 indicates the reduction in statistical fluctuations with increasing N r .
In this work, we compute for many cases and situations the average spin polarization μ i of a node i with respect to the N r random pathway realizations by the equation μ i = ( n r ( i ) n b ( i ) ) / ( n r ( i ) + n b ( i ) ) , where n r ( i ) ( n b ( i ) ) is the number of red outcomes of node i (blue outcome of node i) for the N r different random pathway realizations of the Monte Carlo procedure. Here, for the non-white nodes i, we typically have n r ( i ) + n b ( i ) N r , and the number of white outcomes n w of these nodes is very small n w ( i ) = N r ( n r ( i ) + n b ( i ) ) N r (it is not always exactly zero due a limited iteration time τ = 20 in the Monte Carlo procedure). For the fraction of white nodes (about 12% for EN Wiki2025), we have typically n w ( i ) N r , and we do not compute μ i for these nodes, for which μ i is either not even defined (if n b ( i ) + n r ( i ) = 0 ) or has a large statistical error (if 0 < n b ( i ) + n r ( i ) N r ). Once μ i is known for a given non-white node, we also compute the difference Δ μ i = μ i μ 0 , where μ 0 is the global network average of μ i over all (non-white) nodes i. This difference represents the opinion preference of the node i in comparison to the average global network opinion μ 0 , and it will be used in several of the subsequent figures and tables to present data for the case of a two-way competition.
In particular, the probability density p ( μ ) of μ i for the SCCI case of EN Wiki2025 (red for Socialism/Communism and blue for Capitalism/Imperialism) is shown in Figure 2 for both cases OPA and OPS.
Here, p ( μ ) δ μ represents the fraction of (non-white) network nodes i with μ μ i μ + δ μ for some small value of δ μ (bin width δ μ = 0.01 in the histograms of Figure 2). Globally, the profiles of OPA and OPS distributions are similar even if there are certain differences related to different voting procedures. As shown in Figure 1, the curves of Figure 2 at N r = 10 5 seem to be rather stable with respect to statistical fluctuations in comparison with the curves for N r = 10 4 . In Figure 2, these fluctuations are a bit higher as in Figure 1, the computation of Δ μ i indeed requires at least N r = 10 5 , while N r = 10 4 is not really sufficient.
The statistical accuracy of the polarization μ i of a given node i computed for N r realizations can be obtained in the following way: we know that μ i = σ i , where σ i = ± 1 is the spin value after τ = 20 Monte Carlo iterations for one specific pathway realization and σ i is simply the average of σ i with respect to the N r random pathway realization. Since σ i 2 = 1 , we find that σ i 2 = 1 , and the variance of σ i is simply Var ( σ i ) = 1 μ i 2 . From this, we obtain the statistical error of the average μ i as ( 1 μ i 2 ) / ( N r 1 ) 1 / N r for μ i 0 (case of “largest” error). For N r = 10 5 , this gives a theoretical statistical error of μ i being 0.003 for μ i 0 (and a slightly reduced error by a factor of 1 μ i 2 if μ i 0 ).
It is also possible to compute the statistical error quite accurately by a more direct numerical computation. For this, we divide the full data of global N r = 10 5 pathway realizations into 100 samples with reduced N r = 10 3 and compute for each sample partial averages μ i , μ 0 , and Δ μ i over the reduced value of N r = 10 3 . This provides, in particular, partial averages μ 0 with quite significant fluctuations between the samples. Using the 100 partial average values Δ μ i for each sample, it is straightforward to determine the statistical error of Δ μ i as Δ μ i 2 Δ μ i ) 2 / ( 100 1 ) , where is the simple average over the 100 samples (of the partial sample averages). It turns out that typical error values obtained in this way (at global N r = 10 5 and for SCCI of EN Wiki2025 and a few other cases) are closer to 0.0008 0.0015 , which is about 2 3 times smaller than the theoretical error 0.003 . This reduction is apparently due to rather strong correlations between μ i and μ 0 , which are likely to have statistical fluctuations in the same direction (the partial sample averages of both are likely to be “large” or “small” at the same time). These correlations are also visible in the two peak distribution of Figure 1, showing that in one given pathway realization, it is rather likely to have either f r 1 (or f r 0 ) corresponding to a majority of network nodes i with either σ i = 1 (or σ i = 1 , respectively). We note that the numerical statistical error of μ 0 , which is obtained as a byproduct of the above procedure, is 0.002 0.003 , which is closer to the theoretical error.
We are also reminded that to obtain f r in Figure 1, we first must perform an effective average over the network for a fixed random pathway realization (counting the number or fraction of red nodes in the network, which is also the network average of ( σ i + 1 ) / 2 ), and then in Figure 1, we show histograms of this quantity using N r values of f r obtained from the N r random pathways. For the data shown in Figure 2, this is essentially the other way round: first we compute μ i as the average of σ i over the N r random pathway realizations and then we compute a histogram using the obtained μ i values for all (non-white) network nodes i.
The world map of countries (taken as the Wikipedia article of a given country) with their polarization values μ i and Δ μ i = μ i μ 0 is shown by color in Figure 3 for SCCI from EN Wiki2025. For both cases, OPA and OPS, the global polarization μ 0 < 0 is in favor of Capitalism, Imperialism, but for OPS, | μ 0 | is by a factor of 4 higher compared to the OPA case. The global distribution of colors on the world map is qualitatively similar for both OPA and OPS cases. However, in the OPS case, the preference for Capitalism, Imperialism is significantly more pronounced with almost all countries of Africa, with dominance in Latin America, India, China, and other countries in the south of Asia. In Europe, the lowest Δ μ values are for France; however, Italy’s values are significantly larger compared to those of China, India, and Africa. For Russia, Δ μ is closer to zero, which is similar to the cases of Canada and Germany. The USA clearly has a positive value of Δ μ . We note that similar opinion polarization of countries has been seen for EN Wiki2017 in [12].
After the comparison of OPA and OPS cases, we conclude that they provide qualitatively similar results, even if there are quantitative differences between these two voting options. In the following, we present results mainly for the OPS case.

3.2. Competition Apple Inc. vs. Microsoft

In Figure 4, we present the opinion polarization of world countries with respect to two companies, Microsoft(blue σ = μ = 1 ) vs. Apple Inc. (red σ = μ = 1 ), for the OPS case of EN Wiki2025. The global opinion polarization μ 0 = 0.076 (average of σ i over all N nodes and and all N r = 10 5 pathway realizations) is in favor of Microsoft. The top countries with the highest preferences Δ μ > 0 for Apple Inc. are India, Nigeria, Bangladesh, and Nepal, and those with preferences Δ μ < 0 for Microsoft are Russia, Georgia, Ukraine, and Kyrgyzstan. The USA has a slight preference for Microsoft, and China has a slighter one for Microsoft. We attribute the significant negative Δ μ value of Russia to the fact that at the disappearance of the USSR, the Russian personal computer market was dominated by Microsoft, and this influence remained until recent times, as Apple computers were too expensive at those times. A significant preference of India for Apple Inc. is related to the presence of several direct links pointing from Apple-related articles to India.
Another example is the competition between two pharmacological companies, Pfizer (red μ = 1 ) vs. Johnson & Johnson (blue μ = 1 ), presented in Appendix Figure A1, showing the polarization of countries on the world map. The obtained results show a stronger influence of Pfizer with μ 0 = 0.049 with its dominance in Canada, India, and China, even if Johnson & Johnson is richer, as Pfizer is older and more influential in WIN.

3.3. Contest Donald Trump vs. Vladimir Putin

Another example is a contest between two groups with one red fixed node, Vladimir Putin, and one fixed blue node, Donald Trump, for OPS case at EN Wiki2025.
The probability density distribution p ( μ ) for this contest in shown in Figure 5, with μ 0 = 0.113 being in the favor of Putin. This corresponds to f p = ( 1 + μ 0 ) / 2 = 0.5565 votes for Putin and f b = ( 1 μ 0 ) / 2 = 0.4435 votes for Trump over all nodes of EN Wiki2025 network (white nodes are excluded). The highest peak in Figure 5 at μ μ 0 + 0.1 corresponds to articles such as Breton language, French Polynesia, Field (mathematics), Moses, Mao Zedong, Nairobi, and Table tennis.
In Table 1, we show the opinion polarization Δ μ G 20 = μ G 20 μ 0 for the contest of Putin vs. Trump for G 20 political leaders representing the most influential world countries (including representatives of the European Union and African Union). It is surprising to see that only leaders of Canada and Mexico have a polarization Δ μ in favor of Trump, while all others have a polarization Δ μ in favor of Putin, with the highest Δ μ values for Turkey and Germany.
Here, we should note that polarization in favor of one or another entry, as the case of Trump vs. Putin, does not mean that a given entry is favorable to Putin ( Δ μ > 0 ) or Trump ( Δ μ < 0 ). Indeed, it is difficult to think that Macron, Merz, or Starmer are favorable to Putin. The polarization μ measures the strength of the links between entries or articles, but it does not take into account if a link has a positive (like) or negative (dislike) attitude. Thus, it is more correct to interpret articles with a high positive Δ μ > 0 value as strongly linked with or influenced by Putin, and those with a high negative Δ μ < 0 value as those strongly linked with Trump. Indeed, Canada and Mexico are strongly linked/influenced with/by the USA, and thus with Trump, while Germany and Turkey are strongly linked/influenced with/by Russia, and thus with Putin. The information if links hold like/dislike (positive/negative) attitudes is not accessible by the present network construction and INOF approach.
The influence of Trump vs. Putin for the world countries (represented by the Wikipedia articles of these countries) is presented via the world map in Figure 6, with Δ μ values of all countries and for three editions, EN, RU (for Russian), and ZH (for Chinese), of Wikipedia 2025. For EN Wiki2025, the positive polarization Δ μ for Putin extends to Russia, former republic of the USSR, with a strong influence for Turkey, Iran, Bosnia and Herzegovina, Serbia, and Albania. The country polarization in favor of Trump includes the USA, Canada, Mexico, Latin America, the UK, Australia, South Africa, Japan, Ireland, and New Zealand. From Figure 6, the middle panel for RU Wiki2025, it follows that the polarization in favor of Putin is significantly increased propagating to a higher number of countries including West Europe, Northern Africa, and slightly positive polarization of China. Polarization in favor of Trump extends from the USA to Mexico, Brazil, Argentina, and Chad. This is rather natural since the Russian Wikipedia edition favors the importance of Russia and Putin. The polarization from ZH Wiki2025 has almost all countries polarized in favor of Trump; Russia has zero polarization Δ μ 0 . Positive polarization for Putin exists only in Latvia, Ukraine, Lithuania, Belarus, Bosnia and Herzegovina, Estonia, Moldova, and Luxembourg. This corresponds to the fact that events of special military operation of Russia in Ukraine are strongly linked with Putin explaining his significant influence on Ukraine. However, it is somewhat surprising that the ZH edition shows so strong polarization for Trump with μ 0 = 0.340 . We attribute this to very strong commercial exchange between China and the USA. Also, one should take into account that mainland China has its own analog of Wikipedia in Chinese known as Baidu Baike. Also, the Chinese government has cut off access to Chinese Wikipedia for residents of mainland China since 2019. Thus, the contributions to the ZH edition at Wikipedia are coming mainly from outside of mainland China, and thus they may be rather different from the view points of the majority of China’s population.

3.4. Competition Emmanuel Macron vs. Marine Le Pen

We also consider the INOF competition between Emmanuel Macron ( μ = 1 ) and Marine Le Pen ( μ = 1 ), with μ 0 = 0.028 from FR Wiki2024. These corresponds to rather close vote fractions with f r = ( 1 + μ 0 ) / 2 = 0.4860 for Macron and f b = ( 1 μ 0 ) / 2 = 0.5140 for Le Pen (number of pathway realizations N r = 10 6 ). The polarization opinions of 14 French political figures and the top 10 richest French people from the Forbes list 2015–2024 are presented in Appendix Table A1. The results for these 24 persons show that only 2 of them have a polarization in favor of Emmanuel Macron, and the other 22 are in favor of Marine Le Pen. At the same time, the values of Δ μ are mainly located at relatively small values | Δ μ | 0.01 being approximately by a factor 10 smaller than the values of those for the contest of Trump vs. Putin shown in Table 1. Due to these smaller Δ μ values, we also compute an additional dataset with N r = 10 6 to reduce the statistical errors (note that the FR Wiki2024 network is roughly two times smaller in number of nodes and links as compared to those of EN Wiki2025, thus reducing the numerical effort). Table A1 shows two columns of Δ μ computed for N r = 10 5 and N r = 10 6 (the smaller dataset is statistically independent and not included in the larger dateset). The values are rather close, and the small differences indicate the size of the typical fluctuations at N r = 10 5 .
The theoretical error of the μ i values is ( 1 μ i 2 ) / N r 0.003 (for N = 10 5 ) or 0.001 (for N = 10 6 ). However, the more precise error estimation for Δ μ i = μ i μ 0 using a subdivision of the data in 100 samples (described above after the discussion for Figure 2) provides typical statistical errors of Δ μ i for the entries in Table A1, which are roughly three times smaller than the theoretical error, i.e., 0.001 (for N = 10 5 ) or 0.0003 (for N r = 10 6 ), which is due to rather strong correlations between μ i and μ 0 . Therefore, despite the typical small values of Δ μ i 0.01 in Table A1, their relative error is mostly only 3% (for the N r = 10 6 data). Note that the error 0.0023 of μ 0 itself is closer to the theoretical error 0.003 , which is confirmed by the value μ 0 = 0.025 for N r = 10 5 , while the value is μ 0 = 0.028 for N r = 10 6 .
For the world countries, only a few of them have a favorable opinion polarization for Emmanuel Macron (e.g., Andorra, Ivory Coast, San Marino, Finland, Qatar), while all others have Δ μ < 0 in favor of Marine Le Pen with typical values Δ μ 0.01 . This result is surprising since Emmanuel Macron, as a president, has much more activity on the international level compared to Marine Le Pen. Our interpretation is similar to that discussed for the Trump vs. Putin case in Table 1: a high opinion polarization in a favor of an entry does not necessary mean positive or negative attitude to this entry from the viewpoint of a given Wikipedia article but shows that this entry produces a significant influence on this article (positive or negative).

4. Results for Competition of Three Groups of Entries

It is possible to generalize the competition between two groups to a competition between three groups. A similar case for a competition of three currencies in world trade has been considered in [18]. However, in [18], there were no white nodes in the initial distribution of nodes, and the network size was very small, representing only about 200 countries (nodes).
As in the case of the competition of three currencies in [18], the competition of three entries allows us to highlight more complex interactions between three selected entries compared to the case of only two entries.
For the case of three competing groups, we compute for a given node i three scores Z i ( C ) for three color values C by the following:
Z i ( C ) = j i σ j ( C ) V i j .
Here, σ j ( C ) = 1 if node j has color C; otherwise, σ j ( C ) = 0 , and in the computation of Z i ( C ) , only nodes i with color C contribute. Note that the white color counts as an effective fourth color which also has a score, but this fourth white score is not used in the spin update process of the Monte Carlo procedure. If among the three score values Z i ( C ) (for the three non-white colors) there is a single clear maximum color C max with Z i ( C max ) > Z i ( C ) for C max C , the node i will acquire the new color C max . If there is no clear maximum, i.e., with at least two maximal identical values Z i ( C 1 ) = Z i ( C 2 ) Z i ( C 3 ) (for C 1 C 2 C 3 C 1 ), the color of node i will not be changed (it may also stay white if it was white before). Note that we consider the three group competitions only for the OPS case with V i j = S ˜ i j having fractional values. Therefore, the scenario of two equal maximal scores and a third strictly smaller score ( Z i ( C 3 ) < Z i ( C 1 , 2 ) ) is very rare. However, the scenario of having three identical values being zero Z i ( C 1 ) = Z i ( C 2 ) = Z i ( C 3 ) = 0 may happen quite regularly if all nodes j with non-zero values of V i j in the sum (2) still have their initial blank color.
After the color update of node i, the Monte Carlo procedure is performed in the same way as for the above case (1) of two colors: the small number of nodes of the three groups with initially fixed color are never updated (they have a “frozen”color), and the update procedure is performed in a random order for all other non-fixed nodes which have the white color as the initial condition. A full update run is repeated for up to τ = 20 iterations at which nearly all node color values are stable and in a steady-state distribution. Finally, this procedure is repeated with the same initial condition but for N r different random pathway realizations in the update order, which allows us to compute the averages and distributions of the obtained network color fractions.
As for the two group competitions, once a node switches from white to another color, it cannot go back to the initial white color, but even with this, there is still a significant fraction of nodes which stay (nearly) always white for all N r pathway realizations. The sets of of “white” nodes essentially only depend on the used Wikipedia edition (and not on the selected fixed color nodes for the competition) and these sets are also the same as for the two group competitions.
Formally, the competition of three colors is different from the Ising case of two colors with spins up or down, but we still keep notations INOF and WIN for the case of the three color competition since it appeared originally from the Ising-type spin relation (1) with two colors. We note that in both procedures, the spin/color information propagates from the initial groups with frozen spin/color through the network and after τ = 20 update iterations (per node), essentially all non-white nodes, have a stable spin/color value which no longer changes. However, the final spin/color value of each node depends strongly on the selected random pathway for the update order (see also Figure 1).
We attribute to each of the three groups its own color C { R , G , B } being red, green, or blue (RGB) and compute for each (non-white) node the color polarization of color C as the fraction η C ( i ) = n C ( i ) / C { R , G , B } n C ( i ) , where n C ( i ) is the number of color C outcomes of node i in the N r pathway realizations. (Note that for the non-white nodes i, we typically have C { R , G , B } n C ( i ) N r , while for the white nodes j, we have C { R , G , B } n C ( j ) N r ).
From η C ( i ) , we compute for C { R , G , B } its global network average (over non-white nodes), which is defined as η 0 , C , and we characterize the node preference for color C by the difference Δ η C ( i ) = η C ( i ) η 0 , C , which represents the color preference of node i in comparison to the global network color preference (both for color C).
For the three-entry analysis, where each of the three entries is mapped to an RGB color channel, we present two types of world map visualizations: Monochromatic Maps: Each map displays a single color channel (red, green, or blue). The color intensity is scaled by the Δ η C value, ranging from zero to maximum saturation. Multicolor Maps: These maps use an RGB color triangle to represent the combination of the three entries. The triangle is constructed such that each vertex represents a pure color, corresponding to the maximum value of one component ( η R , η G , or η B ), while the other two are at their minima.
Concerning the statistical error of η C ( i ) or Δ η C ( i ) , we mention that the theoretical error can be obtained in a similar way as for the case of two group competitions. Now, we use η C ( i ) as the average (over the N r random pathway realizations) of σ i ( C ) , a quantity which has values of 0 or 1, such that σ i ( C ) 2 = σ i ( C ) . This allows for us to compute the variance from its average and gives the theoretical error of η C ( i ) as η C ( i ) [ 1 η C ( i ) ] / ( N r 1 ) 1 / ( 2 N r ) 0.0015 for N r = 10 5 and η C ( i ) 0.5 (value of maximal theoretical error), which is similar to the two-color case. (The factor 1 / 2 is a trivial effect of the formula η C ( i ) = ( 1 ± μ ) / 2 for the two-color case.) We have also verified by the method of sample averages that the error of Δ η i ( C ) is typically reduced by the same factors of 2–3 as for the two-color case.
In the following, we present the results for the competition of the three groups in the next subsections for the three types of groups of political leaders, countries, and society political concepts.

4.1. Contest of Trump, Putin, and Xi Jinping

In Figure 7, we present the world map of (monochromatic) color polarization of countries for Donald Trump, Vladimir Putin, and Xi Jinping from the view of the three Wiki2025 editions: EN, RU, and ZH. The values of the global color polarization η 0 , T r u m p , η 0 , P u t i n , η 0 , J i n p i n g of these three political leaders are given in the caption of Figure 7 (of course η 0 , T r u m p + η 0 , P u t i n + η 0 , J i n p i n g = 1 ).
For EN, Putin has the highest color polarization, ahead of Trump and then Jinping. For Trump–Putin, their relative polarization remains approximately as in their own two-group contest presented in the previous section. It is interesting to note that in this case, there are more countries with Δ η in favor of Putin; also in this case, the maximal positive value Δ η ( C ) 0.3 is by a factor of three higher than for the case of Trump and by a factor of seven higher than for the case of Jinping.
For RU, the color polarization in favor of Putin extends over even more countries than expected. We attribute this to the fact that RU Wiki naturally gives a higher preference to the president of Russia.
The ZH edition naturally places Jinping at the highest global color polarization, followed by Trump and then Putin. The maximal polarization of countries Δ η ( C ) is also by a factor of four higher compared to the cases of Trump and Putin, showing a high influence of Jinping on the world countries from the view point of the ZH edition.
Any color can be presented as a combination of three colors: red, green, and blue (RGB). Taking into account this property, we can make a summation of the three-color world map, shown in Figure 7, for each country using its corresponding color average of η T r u m p , η P u t i n , η J i n p i n g (for each edition) and as a result, obtain a color RGB world map of the countries. The result of this operation is presented in Figure 8 for three editions: EN, RU, and ZH of Wiki 2025.
From the EN edition, we can see that the influence of Putin of course completely dominates in Russia and also propagates to former USSR republics (but it is not strong in the countries of Central Asia), and a few countries of East Europe, such as Romania, Hungary, and Serbia, and also with a smaller strength Turkey and Iran. The influence of Trump naturally dominates the USA and extends to Canada, Mexico, Latin America, the UK, Australia, New Zealand, Japan, and South Korea. The influence of Xi Jinping from China extends to India, Pakistan, and countries of South East Asia.
In the case of the RU edition, the influence of Putin propagates from Russia to former Soviet republics, Afghanistan, and, in a less strong way, to Turkey, Iran, and Poland. The influence of Trump is restricted to the USA, extending to Brazil, Argentina, and Mexico. The clear influence of Xi Jinping is well seen for Chad and Uruguay and is not well visible for other countries, which can be considered a significant exaggeration of the RU edition. There are many countries, with color being a mixture of red and blue (between the USA and Russia).
For the ZH edition, the influence of Xi Jinping propagates from China to Mongolia, Kazakhstan, and Kyrgyzstan, as the most obvious cases. The country colors for the influence of Trump and Putin are mixed and give no clear preferences.
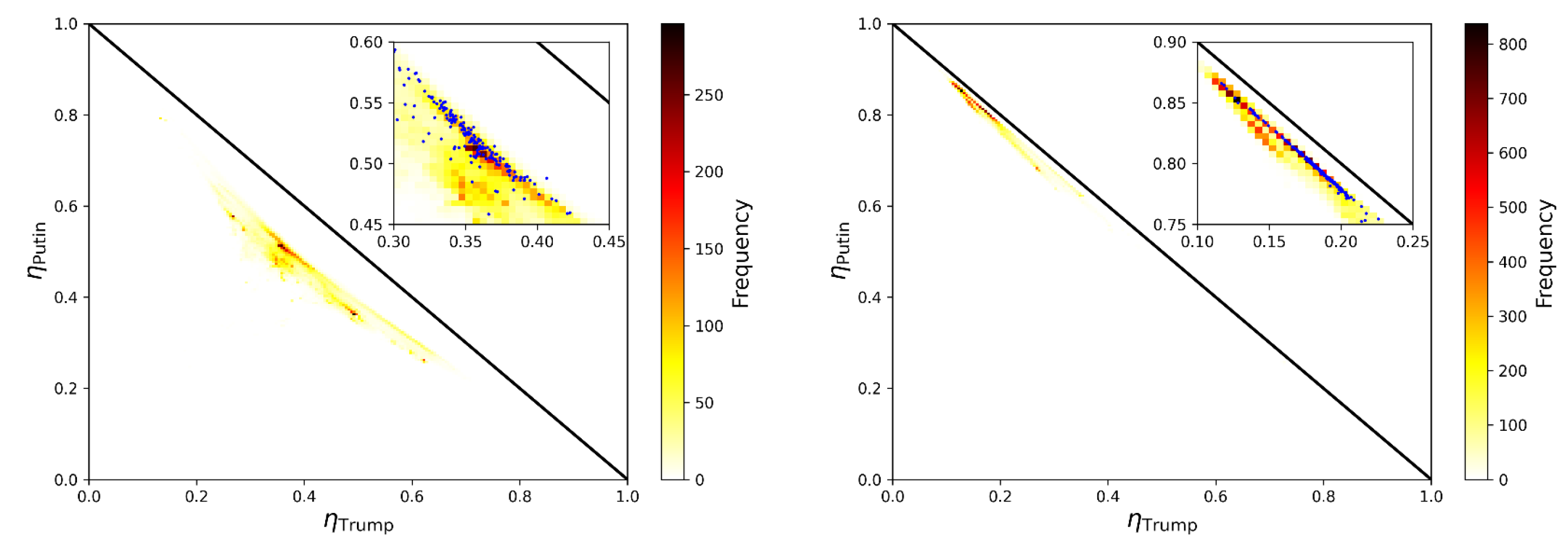
In Appendix Figure A2 and Figure A3, we show the density, or frequency, of articles in the planes of color values η T r u m p , η P u t i n , η J i n p i n g for the EN, RU, and ZH editions, which allows us to see in a better way the distribution of articles and their color polarizations (more technical details in the captions of these figures). Note that for the case of a pure two-group competition, these type of figures would give straight lines on the antidiagonal (from ( 0 , 1 ) to ( 1 , 0 ) ), since, e.g., 1 = η T r u m p + η P u t i n for a the pure Trump–Putin competition. In Appendix Figure A2, the data are indeed somewhat concentrated close to this antidiagonal, showing the that modifications due to the influence of the third group of Jinping are rather modest for the editions of EN and RU.

4.2. Contest of the USA, Russia, and China

We present the results of the contest between the USA, Russia, and China in Figure 9 and Figure 10. This presentation is similar to the previous case of the contest of Donald Trump, Vladimir Putin, and Xi Jinping, with the same three colors of opinion polarization. Here, the situation is more standard with a dominance of the USA in EN, Russia in RU, and China in the ZH edition. Each of the three editions seems to emphasize its color polarization of other world countries in favor of their country of native language (the USA for EN, Russia for RU, China for ZH), as it is well visible in corresponding panels of Figure 9. This effect is also clearly seen in Figure 10 in the RGB representation. Thus, in its native edition, each of three countries considers that it has a dominant influence on the main part of world countries. In Appendix Figure A4, we show the density distribution of articles (nodes) in the planes of color opinion polarization ( η U S A η R u s s i a -plane). Here, in two out of three cases (EN and RU), the data are also somewhat close to the antidiagonal, indicating a reduced influence of the third group for China.
It it interesting to compare the correlations of polarization influence on 197 countries by political leaders: Donald Trump with those of the USA, Vladimir Putin with Russia and Xi Jinping with China. To achieve this, we present in Appendix Figure A5 the plane of polarizations of 197 countries for editions EN, RU, and ZH; the values of Spearman correlation coefficient ρ are given for each pair, the USA–Trump, Russia–Putin, and China–Jinping, for these three editions. The two smallest correlator values are for the the pair China–Jinping (EN edition) with ρ = 0.59 and the pair the USA–Trump (ZH edition) with ρ = 0.89 , while for all other pairs and editions, we have 0.9 ρ 0.97 . Such high correlation values clearly show the close link between the influence of political leaders on 197 world countries to those of their own country influence on these 197 countries.

4.3. Contest of Liberalism, Communism, and Nationalism

As a final example, we consider for the EN Wiki2025 edition the influence competition of the three social concepts: Liberalism (blue), Communism (red) and Nationalism (green).
Their color influences are shown in Figure 11, with three monochromatic color maps in the top 3 panels and an RGB map in the bottom panel.
From the RGB map, we see that the strongest influence of Nationalism is for Serbia, Bosnia Herzegovina, Albania, Turkey, Romania, and Bulgaria, and with a smaller impact Pakistan, India, and Bangladesh. The influence of Communism is rather local, with it being represented only in Nepal. The influence of Liberalism is mostly spread over the world, with the strongest adepts being in the UK, the USA, Somaliland, Belgium, the Netherlands and many others. The color of Russia is in the middle between Communism and Nationalism. This distribution of the influence of the three concepts corresponds to the political orientations of these countries. Furthermore, in Appendix Figure A6, we present the histogram distribution in η L i b e r a l i s m η C o m m u n i s m -plane. Here, the articles are approximately distributed around the coordinate ( 0.33 , 0.23 ) corresponding to η N a t i o n a l i s m = 0.44 , which appears to be the typical polarization of these three concepts for 197 countries and also all other Wikipedia articles. In particular, here the distribution is not concentrated close to the antidiagonal as for certain other cases, showing that none of the three groups have a significantly reduced influence in comparison to the other two groups.

5. Effects of Fluctuations at Effective Finite Temperature

For the competition of two groups with different opinions (red vs. blue), the relation (1) for Z i determines the condition of spin updates with σ i = 1 if Z i > 0 , σ i = 1 if Z i < 0 and no spin change if Z i = 0 . Such a condition corresponds in the Monte Carlo process to the effective temperature T = 0 since it gives a firm choice for the updated spin. It is interesting to analyze how stable this procedure is in the presence of fluctuations produced by a finite effective temperature T. A finite T value physically corresponds to the presence of finite probabilities W ± ( i ) ( W + ( i ) + W ( i ) = 1 ) to obtain the new spin value σ i = ± 1 .
To model this situation, we write Z i = Z + ( i ) Z ( i ) as a difference of two positive quantities Z ± ( i ) = j i , σ j = ± 1 V i j 0 (i.e., sum only over all j with either σ j = 1 or σ j = 1 for the two cases + or −, respectively). This is similar to the color score Z i ( C ) used in (2) if we use only two colors for spins ± 1 . Then, the probabilities W ± ( i ) are determined by the relations
W + ( i ) = Z + β ( i ) Z + β ( i ) + Z β ( i ) , W ( i ) = Z β ( i ) Z + β ( i ) + Z β ( i ) , T = 1 β
where during a Monte Carlo step, the spin i takes the value σ i = ± 1 with probability W ± ( i ) . At T = 0 ( β ), we have W + ( i ) = 1 and W ( i ) = 0 if Z i = Z + ( i ) Z ( i ) > 0 ( W + ( i ) = 0 and W ( i ) = 1 if Z i = Z + ( i ) Z ( i ) < 0 ), which reproduces the previous spin update condition based on Z i > 0 or Z i < 0 . At high temperature T 1 ( β 1 ), we have W + ( i ) W ( i ) 1 / 2 , such that the new spin value σ i = ± 1 is purely random with equal probabilities.
We mention that (3) can be understood by introducing two virtual “energy levels” ε ± ( i ) = ln ( Z ± ( i ) ) such Z ± ( i ) β = e β ε ± ( i ) (for each node i, there is a different two-level system). In this case, the probabilities (3) are just the usual probabilities of the levels ε ± ( i ) in the canonical ensemble at temperature T for this two-level system: W ± ( i ) = e β ε ± ( i ) / ( e β ε + ( i ) + e β ε ( i ) ) .
The results for this finite temperature model of fluctuations are shown in Figure 12 and Figure 13. Figure 12 shows that at T 0.75 , the density distribution of the (network) fraction of red nodes f r at maximal iteration time τ = 20 is concentrated to the two regions f r 0 and f r 1 (similarly as Figure 1, which corresponds to T = 0 ). In contrast, at T = 1 , this density has a broad homogeneous distribution approximately in the range 0.2 f r 0.8 , and at T = 4 , all density is located in a narrow range around f r = 0.5 . Indeed, at such a high temperature, the probabilities to have spin up or down from (3) are very close W + W 0.5 , and hence we have approximately half of spins up and half down. The transition from a spin-polarized steady state at low temperatures to a non-polarized one takes place in the vicinity of a certain critical temperature T c . Its value can be approximately determined by measuring the normalized number of spin flips or spin switches N s w i t c h at maximal iteration time  τ = 20 as a function of temperature T. Up to now, this quantity (at T = 0 ) is essentially zero since at τ = 20 for a specific given pathway realization, the spins of individual nodes are mostly in stable steady state.
This dependence of N s w i t c h on temperature T (and also on iteration time τ ) is shown in Figure 13. This figure shows that the critical temperature is T c 1 , where we have a sharp increase in the number of flips (at τ = 20 ) and a rapid growth of the normalized switch number N s w i t c h . Thus, the obtained results of Figure 12 and Figure 13 show that the spin-polarized phase remains stable for the temperature range 0 T T c 1 , while above T c , there is a melting of the polarized phase and we obtain a non-polarized liquid state at T > T c 1 , at which individual spins no longer have stable values with respect to iteration time, even at τ 20 . In particular, we see that for a specific given random pathway realization at T = 0 or T T c , the spin values of individual nodes become stable in time (fluctuations discussed in the previous section are entirely due to the many different random pathway realizations which produce different steady states), while at T T c , there is no real spin-steady state (for a given pathway realization) and spins continue to be flipped even at τ 20 .
We argue that the main result of this effective temperature model (3) is the fact that the polarized phase remains stable with respect to fluctuations at small or modest temperatures.

6. Discussion and Conclusions

In this work, we described the process of opinion formation appearing in Wikipedia Ising Networks (WINs) being based on an asynchronous Monte Carlo procedure. This INOF approach is determined by a simple natural rule that the opinion of a given node (article, user) in a network is determined by a majority opinion of other nodes connected to this given node. We discussed two possible voting procedures: the OPA case, where vote contributions are given by a sum over elements of the adjacency matrix A i j going to a selected given node i, or the OPS case, when the weight of a vote is given by an element of the normalized matrix of Markov transitions S i j (see (1)). Only the OPA case was considered in previous studies [12]. We show that these two vote options give similar results, but specific vote polarizations may be different. We think that both vote options OPA and OPS can be suitable for the description of opinion formation on networks. Thus, for protein–protein interaction networks, we think that the OPS case, used for the MetaCore protein network in [17], is more correct since the interaction capacity of a given protein is bounded by various chemical processes. The important new element of the INOF approach is the presence of white nodes with undefined opinion at the initial stage of the asynchronous Monte Carlo process. Our results show that the spin-polarized steady state remains stable with respect to small fluctuations at an effective temperature below a certain critical border, while above this border, there is a melting of this phase and a transition to a liquid non-polarized spin phase.
We also demonstrated that the situation with competition between two groups with fixed red/blue opinions can be generalized to the case of three competing groups with fixed opinions (red, green, blue), and that in this case, the generalized INOF approach leads to fair results for WIN.
For the EN, RY, and ZH editions of Wikipedia 2025, we compared opinions of different cultural views of these editions with respect to political leaders Donald Trump, Vladimir Putin, and Xi Jinping and determined their influence on 197 world counties. Surprisingly, Putin happens to produce a higher polarization influence in the EN edition. With the INOF approach, we also determined the influence of the USA, Russia, and China on other countries for these three editions. We also showed that other types of contests can be studied, like the competition between Liberalism, Communism, and Nationalism.
The described INOF approach is generic and can be applied to various directed networks. Thus, in [17], this approach allowed for myocardial fibrosis progression to be described in the MetaCore network of protein–protein interactions. Also, a variation in this approach (without white nodes) determines the dominant features of trade currencies in the World Trade Network from the UN COMTRADE database [18].
Of course, Wikipedia networks have important exceptional features compared to other networks: the meaning of their nodes is very clear, they enclose all aspects of nature and human activity, and the presence of multiple language editions allows us to analyze various cultural views of humanity. Thus, we hope that the INOF approach to Wikipedia Ising Networks will find diverse, interesting applications.

Author Contributions

Authors L.E., K.M.F. and D.L.S., equally contributed to all stages of this work. All authors have read and agreed to the published version of the manuscript.

Funding

This research was funded by the grant ANR France project NANOX N° ANR-17-EURE-0009 in the framework of the Programme Investissements d’Avenir (project MTDINA).

Data Availability Statement

Data is contained within the article.

Conflicts of Interest

The authors declare no conflicts of interests.

Correction Statement

This article has been republished with a minor correction to the Data Availability Statement. This change does not affect the scientific content of the article.

Appendix A

Here, we present additional figures and one additional data table related to the main part of the article. Below, we mostly only give a short description of them; for a more detailed discussion of this material, we refer to the main text.
Appendix Figure A1 shows the opinion polarization of world countries for Pfizer ( Δ μ > 0 ) vs. Johnson & Johnson ( Δ μ < 0 ) using the EN Wiki2025 edition. Globally, the influence of Pfizer seems to be stronger; however, Johnson & Johnson are dominating the USA.
Figure A1. Opinion polarization of world countries for Pfizer ( Δ μ > 0 ) vs. Johnson & Johnson ( Δ μ < 0 ), μ 0 = 0.049 following OPS for EN Wiki2025.
Figure A1. Opinion polarization of world countries for Pfizer ( Δ μ > 0 ) vs. Johnson & Johnson ( Δ μ < 0 ), μ 0 = 0.049 following OPS for EN Wiki2025.
Information 16 00782 g0a1
Appendix Table A1 provides the values of Δ μ i for certain French political or rich personalities for the competition Emmanuel Macron ( μ = 1 ) vs. Marine Le Pen ( μ = 1 ) in FR Wiki2024. For most entries in this table, there is a slight preference for Le Pen with typical values Δ μ i 0.01 . Since these values are close to zero, two data columns for N r = 10 5 and N r = 10 6 are shown, which clarifies that the statistical fluctuations are typically well below | Δ μ i | .
Table A1. Opinion polarization expressed by Δ μ (following OPS for FR Wiki2024) for important personalities from French politics (top) and the richest French people (following Forbes top 10 ranking 2015–2024) (bottom). Emmanuel Macron corresponds to μ = 1 and Marine Le Pen corresponds to μ = 1 with μ 0 = 0.0252 ± 0.0023 for N r = 10 5 and μ 0 = 0.0279 ± 0.0008 for N r = 10 6 . The 2nd (3rd) column corresponds to data for N r = 10 5 ( N r = 10 6 ) with a typical statistical error 0.001 ( 0.0003 ). The data for N r = 10 5 are statistically independent and not a subset of the data for N r = 10 6 .
Table A1. Opinion polarization expressed by Δ μ (following OPS for FR Wiki2024) for important personalities from French politics (top) and the richest French people (following Forbes top 10 ranking 2015–2024) (bottom). Emmanuel Macron corresponds to μ = 1 and Marine Le Pen corresponds to μ = 1 with μ 0 = 0.0252 ± 0.0023 for N r = 10 5 and μ 0 = 0.0279 ± 0.0008 for N r = 10 6 . The 2nd (3rd) column corresponds to data for N r = 10 5 ( N r = 10 6 ) with a typical statistical error 0.001 ( 0.0003 ). The data for N r = 10 5 are statistically independent and not a subset of the data for N r = 10 6 .
Article Δ μ (Macron-Le Pen) N r = 10 5 Δ μ (Macron-Le Pen) N r = 10 6
François Hollande−0.0095−0.0095
Jean-Luc Mélenchon−0.0120−0.0113
Édouard Philippe−0.0104−0.0099
Nicolas Sarkozy−0.0098−0.0099
Dominique Strauss-Kahn−0.0098−0.0101
Manuel Valls−0.0103−0.0103
Dominique de Villepin−0.0099−0.0100
Éric Zemmour−0.0113−0.0117
Gabriel Attal−0.0105−0.0102
François Bayrou−0.0112−0.0107
Éric Ciotti−0.0141−0.0135
Jordan Bardella−0.0155−0.0150
Rachida Dati−0.0106−0.0106
Bruno Retailleau−0.0107−0.0105
Bernard Arnault−0.0078−0.0077
Françoise Bettencourt Meyers−0.0083−0.0069
Alain Wertheimer0.02890.0320
Gérard Wertheimer0.02890.0320
François Pinault−0.0075−0.0074
Emmanuel Besnier0.01720.0175
Nicolas Puech−0.0006−0.0004
Vincent Bolloré−0.0104−0.0095
Xavier Niel−0.0088−0.0084
Carrie Perrodo−0.0019−0.0005
Appendix Figure A2, Figure A3 and Figure A4 provide color plots of histogram distributions for certain three group competitions in the plane of two color polarization values η C 1 η C 2 (see main text for a detailed discussion). In certain cases, the data are close to the antidiagonal (with 1 η C 1 + η C 2 ), indicating that typical values of the third color polarization η C 3 = 1 ( η C 1 + η C 2 ) are rather small.
Figure A2. Histogram of opinion polarization in the ( η T r u m p , η P u t i n ) plane for Donald Trump, Vladimir Putin, and Xi Jinping across all articles following OPS for EN Wiki2025 (left panel), RU Wiki2025 (right panel)). Note that for each article, the sum of polarization values is normalized to 1, and therefore η J i n p i n g = 1 η T r u m p η P u t i n . The corresponding insets show the same histogram zoomed in on the most populated region of the plane, with blue circles representing the country articles.
Figure A2. Histogram of opinion polarization in the ( η T r u m p , η P u t i n ) plane for Donald Trump, Vladimir Putin, and Xi Jinping across all articles following OPS for EN Wiki2025 (left panel), RU Wiki2025 (right panel)). Note that for each article, the sum of polarization values is normalized to 1, and therefore η J i n p i n g = 1 η T r u m p η P u t i n . The corresponding insets show the same histogram zoomed in on the most populated region of the plane, with blue circles representing the country articles.
Information 16 00782 g0a2
Figure A3. Histogram of opinion polarization in the ( η T r u m p , η P u t i n ) plane (left panel) and ( η T r u m p , η J i n p i n g ) plane (right panel) for Donald Trump, Vladimir Putin, and Xi Jinping across all articles following OPS case for ZH Wiki2025. Note that for each article, the sum of polarization values is normalized to 1, η J i n p i n g + η T r u m p + η P u t i n = 1 . The corresponding insets show the same histogram zoomed in on the most populated region of the plane, with blue circles representing the country articles.
Figure A3. Histogram of opinion polarization in the ( η T r u m p , η P u t i n ) plane (left panel) and ( η T r u m p , η J i n p i n g ) plane (right panel) for Donald Trump, Vladimir Putin, and Xi Jinping across all articles following OPS case for ZH Wiki2025. Note that for each article, the sum of polarization values is normalized to 1, η J i n p i n g + η T r u m p + η P u t i n = 1 . The corresponding insets show the same histogram zoomed in on the most populated region of the plane, with blue circles representing the country articles.
Information 16 00782 g0a3
Figure A4. Histogram of opinion polarization in the ( η U S A , η R u s s i a ) plane for USA, Russia, and China across all articles following OPS for EN Wiki2025 (top left panel), RU Wiki2025 (top right panel), and ZH Wiki2025 (bottom panel). Note that for each article, the sum of polarization values is normalized to 1, and therefore η C h i n a = 1 η U S A η R u s s i a . The corresponding insets show the same histogram zoomed in on the most populated region of the plane, with blue circles representing the country articles.
Figure A4. Histogram of opinion polarization in the ( η U S A , η R u s s i a ) plane for USA, Russia, and China across all articles following OPS for EN Wiki2025 (top left panel), RU Wiki2025 (top right panel), and ZH Wiki2025 (bottom panel). Note that for each article, the sum of polarization values is normalized to 1, and therefore η C h i n a = 1 η U S A η R u s s i a . The corresponding insets show the same histogram zoomed in on the most populated region of the plane, with blue circles representing the country articles.
Information 16 00782 g0a4
Appendix Figure A5 illustrates correlations between the three group competitions of USA, Russia, China and Trump, Putin, Jinping.
Figure A5. Plane of color polarizations Δ η U R C for the contest of USA, Russia, China of Figure 9 vs. those Δ η T P J for the contest of 3 political leaders of Figure 7 with data shown for all 197 countries. The metrics are derived from the triads (USA, Russia, China) and (Trump, Putin, Jinping), respectively. Panels correspond to the datasets from Wiki 2025 for: (left) English (EN), (center) Russian (RU), and (right) Chinese (ZH). The Spearman correlation coefficient, ρ , is reported for each panel.
Figure A5. Plane of color polarizations Δ η U R C for the contest of USA, Russia, China of Figure 9 vs. those Δ η T P J for the contest of 3 political leaders of Figure 7 with data shown for all 197 countries. The metrics are derived from the triads (USA, Russia, China) and (Trump, Putin, Jinping), respectively. Panels correspond to the datasets from Wiki 2025 for: (left) English (EN), (center) Russian (RU), and (right) Chinese (ZH). The Spearman correlation coefficient, ρ , is reported for each panel.
Information 16 00782 g0a5
Appendix Figure A6 is similar to Appendix Figure A2, Figure A3 and Figure A4 for the case of the three-group competition Liberalism, Communism, and Nationalism for EN Wiki2025.
Figure A6. Histogram of opinion polarization in the ( η L i b e r a l i s m , η C o m m u n i s m ) plane for Liberalism, Communism, and Nationalism across all articles following OPS for EN Wiki2025. Note that for each article, the sum of polarization values is normalized to 1, and therefore η N a t i o n a l i s m = 1 η L i b e r a l i s m η C o m m u n i s m . The corresponding insets show the same histogram zoomed in on the most populated region of the plane, with blue circles representing the country articles.
Figure A6. Histogram of opinion polarization in the ( η L i b e r a l i s m , η C o m m u n i s m ) plane for Liberalism, Communism, and Nationalism across all articles following OPS for EN Wiki2025. Note that for each article, the sum of polarization values is normalized to 1, and therefore η N a t i o n a l i s m = 1 η L i b e r a l i s m η C o m m u n i s m . The corresponding insets show the same histogram zoomed in on the most populated region of the plane, with blue circles representing the country articles.
Information 16 00782 g0a6

References

  1. Wikipedia Contributors. Social Media Use in Politics—Wikipedia, The Free Encyclopedia. 2024. Available online: https://en.wikipedia.org/wiki/Social_media_use_in_politics (accessed on 12 March 2025).
  2. Fujiwara, T.; Muller, K.; Schwarz, C. The Effect of Social Media on Elections: Evidence from The United States. J. Eur. Econom. Ass. 2024, 22, 1495–1539. [Google Scholar] [CrossRef]
  3. Castellano, C.; Fortunato, S.; Loreto, V. Statistical physics of social dynamics. Rev. Mod. Phys. 2009, 81, 591–646. [Google Scholar] [CrossRef]
  4. Dorogovtsev, S. Lectures in Complex Networks; Oxford University Press: Oxford, UK, 2010. [Google Scholar]
  5. Galam, S.; Gefen, Y.; Shapi, Y. Sociophysics: A new approach of sociological collective behaviour. I. mean-behaviour description of a strike. J. Math. Sociol. 1982, 9, 1–13. [Google Scholar] [CrossRef]
  6. Galam, S. Majority rule, hierarchical structures, and democratic totalitarianism: A statistical approach. J. Math. Psychol. 1986, 30, 426–434. [Google Scholar] [CrossRef]
  7. Sznajd-Weron, K.; Sznajd, J. Opinion evolution in closed community. Int. J. Mod. Phys. C 2000, 11, 1157–1165. [Google Scholar] [CrossRef]
  8. Sood, V.; Redner, S. Voter Model on Heterogeneous Graphs. Phys. Rev. Lett. 2005, 94, 178701. [Google Scholar] [CrossRef] [PubMed]
  9. Watts, D.J.; Dodds, P.S. Influentials, Networks, and Public Opinion Formation. J. Consum. Res. 2007, 34, 441–458. [Google Scholar] [CrossRef]
  10. Galam, S. Sociophysics: A review of Galam models. Int. J. Mod. Phys. C 2008, 19, 409–440. [Google Scholar] [CrossRef]
  11. Schmittmann, B.; Mukhopadhyay, A. Opinion formation on adaptive networks with intensive average degree. Phys. Rev. E 2010, 82, 066104. [Google Scholar] [CrossRef] [PubMed]
  12. Ermann, L.; Shepelyansky, D.L. Confrontation of capitalism and socialism in Wikipedia Networks. Information 2024, 15, 571. [Google Scholar] [CrossRef]
  13. Hopfield, J.J. Neural networks and physical systems with emergent collective computational abilities. Proc. Nat. Acad. Sci. USA 1982, 79, 2554–2558. [Google Scholar] [CrossRef] [PubMed]
  14. Benedetti, M.; Carillo, L.; Marinari, E.; Mezard, N. Eigenvector dreaming. J. Stat. Mech. 2024, 013302. [Google Scholar] [CrossRef]
  15. Dorogovtsev, S.N.; Goltsev, A.V.; Mendes, F.F. Ising model on networks with an arbitrary distribution of connections. Phys. Rev. E 2002, 66, 016104. [Google Scholar] [CrossRef] [PubMed]
  16. Bianconi, G. Mean field solution of the Ising model on a Barabási–Albert network. Phys. Lett. A 2002, 303, 166. [Google Scholar] [CrossRef]
  17. Frahm, K.M.; Kotelnikova, E.; Kunduzova, O.; Shepelyansky, D.L. Fibroblast-Specific Protein-Protein Interactions for Myocardial Fibrosis from MetaCore Network. Biomolecules 2024, 14, 1395. [Google Scholar] [CrossRef] [PubMed]
  18. Coquide, C.; Lages, J.; Shepelyansky, D.L. Opinion Formation in the World Trade Network. Entropy 2024, 25, 141. [Google Scholar] [CrossRef]
  19. Reagle, J.M. Good Faith Collaboration: The Culture of Wikipedia; MIT Press: Cambridge, MA, USA, 2010. [Google Scholar]
  20. Nielsen, F.A. Wikipedia Research and Tools: Reviews and Comments. SSRN Electron. J. 2012. [Google Scholar] [CrossRef]
  21. Ball, C. Defying easy categorization: Wikipedia as primary, secondary and tertiary resource. Insights 2023, 36, 7. [Google Scholar] [CrossRef]
  22. Arroyo-Machado, W.; Diaz-Faes, A.A.; Herrera-Viedma, E.; Castas, R. From academic to media capital: To what extent does the scientific reputation of universities translate into Wikipedia attention? J. Assoc. Inf. Sci. Technol 2024, 75, 423. [Google Scholar] [CrossRef]
  23. Ermann, L.; Frahm, K.M.; Shepelyansky, D.L. Competition of Entries from Ising Wikipedia Networks. Wiki Workshop. 22 May 2025. Available online: https://wikiworkshop.org/2025/paper/wikiworkshop_2025_paper_4.pdf (accessed on 1 September 2025).
  24. Brin, S.; Page, L. The anatomy of a large-scale hypertextual Web search engine. Comput. Netw. ISDN Syst. 1998, 30, 107. [Google Scholar] [CrossRef]
  25. Langville, A.; Meyer, C. Google’s PageRank and Beyond: The Science of Search Engine Rankings; Princeton University Press: Princeton, NJ, USA, 2006. [Google Scholar]
Figure 1. Probability density p ( f r ) of fraction of red nodes f r for SCCI for EN Wiki2025 versus f r using the matrix A (OPA case, top panel) or the matrix S ˜ (OPS case, bottom panel). The value of f r for a given pathway realization gives the fraction of the red outcome of network nodes for Socialism/Communism (fraction computed with respect to all non-white network nodes). The histograms show the distribution of f r with respect to all N r different random pathway realizations and all nodes. The normalization is fixed by 0 1 p ( f r ) d f r = 1 with bin width 0.005 (i.e., 200 bins in the full interval for f r [ 0 , 1 ] ). The red (green) curves correspond to N r = 100,000 ( N r = 10,000).
Figure 1. Probability density p ( f r ) of fraction of red nodes f r for SCCI for EN Wiki2025 versus f r using the matrix A (OPA case, top panel) or the matrix S ˜ (OPS case, bottom panel). The value of f r for a given pathway realization gives the fraction of the red outcome of network nodes for Socialism/Communism (fraction computed with respect to all non-white network nodes). The histograms show the distribution of f r with respect to all N r different random pathway realizations and all nodes. The normalization is fixed by 0 1 p ( f r ) d f r = 1 with bin width 0.005 (i.e., 200 bins in the full interval for f r [ 0 , 1 ] ). The red (green) curves correspond to N r = 100,000 ( N r = 10,000).
Information 16 00782 g001
Figure 2. Probability density p ( μ ) of polarization μ for SCCI for EN Wiki2025 versus Δ μ = μ μ 0 using the matrix A (OPA case, top panel) or the matrix S ˜ (OPS case, bottom panel). Here, a red (blue) outcome with μ i 1 ( μ i 1 ) corresponds to Socialism/Communism (Capitalism/Imperialism). The histograms show the distribution of μ i for all non-white nodes i in the network with n r ( i ) + n b ( i ) N r , and white nodes with n r ( i ) + n b ( i ) N are not taken into account. The normalization is fixed by 1 1 p ( μ ) d μ = 1 with bin width 0.01 (i.e., 200 bins in the full interval for μ i [ 1 , 1 ] ). Values of p ( μ ) outside the shown interval [ 0.2 , 0.2 ] are zero on graphical precision. The red (green) curve corresponds to N r = 100,000 ( N r = 10,000). The value μ 0 is the average of μ i with respect to all (non-white) nodes i (computed for N r = 100,000) and has the values μ 0 = 0.02333 for OPA and μ 0 = 0.10886 for OPS.
Figure 2. Probability density p ( μ ) of polarization μ for SCCI for EN Wiki2025 versus Δ μ = μ μ 0 using the matrix A (OPA case, top panel) or the matrix S ˜ (OPS case, bottom panel). Here, a red (blue) outcome with μ i 1 ( μ i 1 ) corresponds to Socialism/Communism (Capitalism/Imperialism). The histograms show the distribution of μ i for all non-white nodes i in the network with n r ( i ) + n b ( i ) N r , and white nodes with n r ( i ) + n b ( i ) N are not taken into account. The normalization is fixed by 1 1 p ( μ ) d μ = 1 with bin width 0.01 (i.e., 200 bins in the full interval for μ i [ 1 , 1 ] ). Values of p ( μ ) outside the shown interval [ 0.2 , 0.2 ] are zero on graphical precision. The red (green) curve corresponds to N r = 100,000 ( N r = 10,000). The value μ 0 is the average of μ i with respect to all (non-white) nodes i (computed for N r = 100,000) and has the values μ 0 = 0.02333 for OPA and μ 0 = 0.10886 for OPS.
Information 16 00782 g002
Figure 3. Opinion polarization of world countries for Socialism, Communism ( Δ μ > 0 ) vs. Capitalism, Imperialism ( Δ μ < 0 ) for OPA case (top panel with μ 0 = 0.023 ) and OPS case (bottom panel with μ 0 = 0.109 ) for EN Wiki2025 and 197 countries.
Figure 3. Opinion polarization of world countries for Socialism, Communism ( Δ μ > 0 ) vs. Capitalism, Imperialism ( Δ μ < 0 ) for OPA case (top panel with μ 0 = 0.023 ) and OPS case (bottom panel with μ 0 = 0.109 ) for EN Wiki2025 and 197 countries.
Information 16 00782 g003
Figure 4. Opinion polarization of world countries for Apple Inc. ( Δ μ > 0 ) vs. Microsoft Corporation ( Δ μ < 0 ), μ 0 = 0.076 following OPS for EN Wiki2025.
Figure 4. Opinion polarization of world countries for Apple Inc. ( Δ μ > 0 ) vs. Microsoft Corporation ( Δ μ < 0 ), μ 0 = 0.076 following OPS for EN Wiki2025.
Information 16 00782 g004
Figure 5. Probability density p ( μ ) for the OPS case in Equation (1) for two fixed nodes with Vladimir Putin (red) vs. Donald Trump (blue) for EN Wiki2025 (TP competition) with same bin number and normalization as in Figure 2. Here, only one red curve of p ( μ ) versus Δ μ = μ μ 0 for N r = 100,000 is shown, μ 0 = 0.11262 .
Figure 5. Probability density p ( μ ) for the OPS case in Equation (1) for two fixed nodes with Vladimir Putin (red) vs. Donald Trump (blue) for EN Wiki2025 (TP competition) with same bin number and normalization as in Figure 2. Here, only one red curve of p ( μ ) versus Δ μ = μ μ 0 for N r = 100,000 is shown, μ 0 = 0.11262 .
Information 16 00782 g005
Figure 6. Opinion polarization of world countries for Vladimir Putin ( Δ μ > 0 ) vs. Donald Trump ( Δ μ < 0 ) following OPS for EN Wiki2025 (top panel with μ 0 = 0.113 ), RU Wiki2025 (middle panel with μ 0 = 0.592 ), and ZH Wiki2025 (bottom panel with μ 0 = 0.340 ).
Figure 6. Opinion polarization of world countries for Vladimir Putin ( Δ μ > 0 ) vs. Donald Trump ( Δ μ < 0 ) following OPS for EN Wiki2025 (top panel with μ 0 = 0.113 ), RU Wiki2025 (middle panel with μ 0 = 0.592 ), and ZH Wiki2025 (bottom panel with μ 0 = 0.340 ).
Information 16 00782 g006
Figure 7. Opinion polarization of world countries for Donald Trump, Vladimir Putin, and Xi Jinping following OPS for EN Wiki2025 (top panels), RU Wiki2025 (center row panels), and ZH Wiki2025 (bottom panels). Column panels show the cases of Donald Trump in blue color on the left, Vladimir Putin in red color in the center and Xi Jinping in green color on the right. The corresponding values of η 0 , T r u m p , η 0 , P u t i n and η 0 , J i n p i n g are η 0 , T r u m p = 0.398 , η 0 , P u t i n = 0.4597 , η 0 , J i n p i n g = 0.1424 for EN; η 0 , T r u m p = 0.193 , η 0 , P u t i n = 0.779 , η 0 , J i n p i n g = 0.0282 for RU; and η 0 , T r u m p = 0.223 , η 0 , P u t i n = 0.104 , η 0 , J i n p i n g = 0.673 .
Figure 7. Opinion polarization of world countries for Donald Trump, Vladimir Putin, and Xi Jinping following OPS for EN Wiki2025 (top panels), RU Wiki2025 (center row panels), and ZH Wiki2025 (bottom panels). Column panels show the cases of Donald Trump in blue color on the left, Vladimir Putin in red color in the center and Xi Jinping in green color on the right. The corresponding values of η 0 , T r u m p , η 0 , P u t i n and η 0 , J i n p i n g are η 0 , T r u m p = 0.398 , η 0 , P u t i n = 0.4597 , η 0 , J i n p i n g = 0.1424 for EN; η 0 , T r u m p = 0.193 , η 0 , P u t i n = 0.779 , η 0 , J i n p i n g = 0.0282 for RU; and η 0 , T r u m p = 0.223 , η 0 , P u t i n = 0.104 , η 0 , J i n p i n g = 0.673 .
Information 16 00782 g007
Figure 8. Opinion polarization of world countries ( η T r u m p , η P u t i n , η J i n p i n g ) for Donald Trump, Vladimir Putin and Xi Jinping following OPS for EN Wiki2025 (top panel), RU Wiki2025 (middle panel) and ZH Wiki2025 (bottom panel) (same as Figure 7). The color mapping uses an RGB color triangle to visualize the 3-component polarization data ( η Putin , η Jinping , η Trump ). The vertices of the triangle are defined by the observed extrema in the data of countries. Specifically, the pure red vertex represents the state where η Putin is at its maximum observed value ( η Putin , max ) while both η Jinping and η Trump are at their minimums ( η Jinping , min , η Trump , min ). The green and blue vertices are defined analogously for Jinping and Trump, respectively. The resulting color for each country is an interpolation within this triangle, where mixtures like magenta indicate high polarization towards both Putin (Red) and Trump (Blue), and neutral colors represent a more balanced polarization.
Figure 8. Opinion polarization of world countries ( η T r u m p , η P u t i n , η J i n p i n g ) for Donald Trump, Vladimir Putin and Xi Jinping following OPS for EN Wiki2025 (top panel), RU Wiki2025 (middle panel) and ZH Wiki2025 (bottom panel) (same as Figure 7). The color mapping uses an RGB color triangle to visualize the 3-component polarization data ( η Putin , η Jinping , η Trump ). The vertices of the triangle are defined by the observed extrema in the data of countries. Specifically, the pure red vertex represents the state where η Putin is at its maximum observed value ( η Putin , max ) while both η Jinping and η Trump are at their minimums ( η Jinping , min , η Trump , min ). The green and blue vertices are defined analogously for Jinping and Trump, respectively. The resulting color for each country is an interpolation within this triangle, where mixtures like magenta indicate high polarization towards both Putin (Red) and Trump (Blue), and neutral colors represent a more balanced polarization.
Information 16 00782 g008
Figure 9. Opinion polarization of world countries for the USA, Russia and China following OPS for EN Wiki2025 (top panels), RU Wiki2025 (center row panels) and ZH Wiki2025 (bottom panels). Column panels show the case of the USA in blue color on the left, Russia in red color in the center and China in green color on the right. The corresponding values of η 0 , U S A , η 0 , R u s s i a and η 0 , C h i n a are η 0 , U S A = 0.682 , η 0 , R u s s i a = 0.209 , η 0 , C h i n a = 0.109 for EN; η 0 , U S A = 0.040 , η 0 , R u s s i a = 0.927 , η 0 , C h i n a = 0.033 for RU; and η 0 , U S A = 0.174 , η 0 , R u s s i a = 0.062 , η 0 , C h i n a = 0.764 .
Figure 9. Opinion polarization of world countries for the USA, Russia and China following OPS for EN Wiki2025 (top panels), RU Wiki2025 (center row panels) and ZH Wiki2025 (bottom panels). Column panels show the case of the USA in blue color on the left, Russia in red color in the center and China in green color on the right. The corresponding values of η 0 , U S A , η 0 , R u s s i a and η 0 , C h i n a are η 0 , U S A = 0.682 , η 0 , R u s s i a = 0.209 , η 0 , C h i n a = 0.109 for EN; η 0 , U S A = 0.040 , η 0 , R u s s i a = 0.927 , η 0 , C h i n a = 0.033 for RU; and η 0 , U S A = 0.174 , η 0 , R u s s i a = 0.062 , η 0 , C h i n a = 0.764 .
Information 16 00782 g009
Figure 10. Opinion polarization of world countries ( η U S A , η R u s s i a , η C h i n a ) for the USA, Russia and China following OPS for EN Wiki2025 (top panel), RU Wiki2025 (middle panel) and ZH Wiki2025 (bottom panel) (same as Figure 8) in color scale is given by normalized RGB value of Russia, China and the USA, respectively.
Figure 10. Opinion polarization of world countries ( η U S A , η R u s s i a , η C h i n a ) for the USA, Russia and China following OPS for EN Wiki2025 (top panel), RU Wiki2025 (middle panel) and ZH Wiki2025 (bottom panel) (same as Figure 8) in color scale is given by normalized RGB value of Russia, China and the USA, respectively.
Information 16 00782 g010
Figure 11. Opinion polarization of world countries for Liberalism, Communism and Nationalism following OPS for EN Wiki2025 (top panels). Column panels show the case of Liberalism in blue color on the left, Communism in red color in the center and Nationalism in green color on the right. In the bottom panel, the values of η L i b e r a l i s m , η C o m m u n i s m and η N a t i o n a l i s m are shown in color scale given by normalized RGB values. The corresponding values of η 0 , L i b e r a l i s m , η 0 , C o m m u n i s m and η 0 , N a t i o n a l i s m are η 0 , L i b e r a l i s m = 0.316 , η 0 , C o m m u n i s m = 0.219 and η 0 , N a t i o n a l i s m = 0.466 for EN.
Figure 11. Opinion polarization of world countries for Liberalism, Communism and Nationalism following OPS for EN Wiki2025 (top panels). Column panels show the case of Liberalism in blue color on the left, Communism in red color in the center and Nationalism in green color on the right. In the bottom panel, the values of η L i b e r a l i s m , η C o m m u n i s m and η N a t i o n a l i s m are shown in color scale given by normalized RGB values. The corresponding values of η 0 , L i b e r a l i s m , η 0 , C o m m u n i s m and η 0 , N a t i o n a l i s m are η 0 , L i b e r a l i s m = 0.316 , η 0 , C o m m u n i s m = 0.219 and η 0 , N a t i o n a l i s m = 0.466 for EN.
Information 16 00782 g011
Figure 12. Density of the fraction of red nodes, f r , as a function of τ , for the competition between Socialism, Communism (red) and Capitalism, Imperialism (blue), using the EN Wiki2024 dataset. Each panel shows a density plot for 10 4 pathway realizations on a logarithmic scale. The distribution is normalized to one and uses 50 bins for the range f r [ 0 , 1 ] . Panels correspond to different temperatures: T = 0 (top left), T = 0.75 (top right), T = 1 (bottom left), and T = 4 (bottom right).
Figure 12. Density of the fraction of red nodes, f r , as a function of τ , for the competition between Socialism, Communism (red) and Capitalism, Imperialism (blue), using the EN Wiki2024 dataset. Each panel shows a density plot for 10 4 pathway realizations on a logarithmic scale. The distribution is normalized to one and uses 50 bins for the range f r [ 0 , 1 ] . Panels correspond to different temperatures: T = 0 (top left), T = 0.75 (top right), T = 1 (bottom left), and T = 4 (bottom right).
Information 16 00782 g012
Figure 13. Normalized number of switches, N switch , between white, red, and blue nodes for the competition between Socialism, Communism (red) and Capitalism, Imperialism (blue), using the EN Wiki2024 dataset. The normalization is such that N switch = 1 corresponds to a number of switches equal to the total number of nodes. Main panel: N switch at maximal iteration time τ = 20 as a function of temperature T. Inset panel: the time evolution of N switch for several temperature values.
Figure 13. Normalized number of switches, N switch , between white, red, and blue nodes for the competition between Socialism, Communism (red) and Capitalism, Imperialism (blue), using the EN Wiki2024 dataset. The normalization is such that N switch = 1 corresponds to a number of switches equal to the total number of nodes. Main panel: N switch at maximal iteration time τ = 20 as a function of temperature T. Inset panel: the time evolution of N switch for several temperature values.
Information 16 00782 g013
Table 1. Opinion polarization expressed by Δ μ (following OPS for EN Wiki 2025) for leaders of the G20. Vladimir Putin corresponds to μ = 1 and Donald Trump corresponds to μ = 1 with μ 0 = 0.113 .
Table 1. Opinion polarization expressed by Δ μ (following OPS for EN Wiki 2025) for leaders of the G20. Vladimir Putin corresponds to μ = 1 and Donald Trump corresponds to μ = 1 with μ 0 = 0.113 .
CountryArticle Δ μ   ( Putin - Trump )
ArgentinaJavier Milei0.071
AustraliaAnthony Albanese0.048
BrazilLuiz Inácio Lula da Silva0.066
CanadaMark Carney−0.042
ChinaXi Jinping0.120
FranceEmmanuel Macron0.120
GermanyFriedrich Merz0.200
IndiaNarendra Modi0.165
IndonesiaPrabowo Subianto0.161
ItalyGiorgia Meloni0.166
JapanShigeru Ishiba0.124
MexicoClaudia Sheinbaum−0.040
RussiaVladimir Putin0.887
Saudi ArabiaSalman of Saudi Arabia0.164
South AfricaCyril Ramaphosa0.111
South KoreaLee Jae-myung0.076
TurkeyRecep Tayyip Erdoğan0.234
United KingdomKeir Starmer0.082
United StatesDonald Trump−1.113
European UnionUrsula von der Leyen0.155
African UnionMahamoud Ali Youssouf0.176
Disclaimer/Publisher’s Note: The statements, opinions and data contained in all publications are solely those of the individual author(s) and contributor(s) and not of MDPI and/or the editor(s). MDPI and/or the editor(s) disclaim responsibility for any injury to people or property resulting from any ideas, methods, instructions or products referred to in the content.

Share and Cite

MDPI and ACS Style

Ermann, L.; Frahm, K.M.; Shepelyansky, D.L. Opinion Formation in Wikipedia Ising Networks. Information 2025, 16, 782. https://doi.org/10.3390/info16090782

AMA Style

Ermann L, Frahm KM, Shepelyansky DL. Opinion Formation in Wikipedia Ising Networks. Information. 2025; 16(9):782. https://doi.org/10.3390/info16090782

Chicago/Turabian Style

Ermann, Leonardo, Klaus M. Frahm, and Dima L. Shepelyansky. 2025. "Opinion Formation in Wikipedia Ising Networks" Information 16, no. 9: 782. https://doi.org/10.3390/info16090782

APA Style

Ermann, L., Frahm, K. M., & Shepelyansky, D. L. (2025). Opinion Formation in Wikipedia Ising Networks. Information, 16(9), 782. https://doi.org/10.3390/info16090782

Note that from the first issue of 2016, this journal uses article numbers instead of page numbers. See further details here.

Article Metrics

Back to TopTop