DBN: A Dual-Branch Network for Detecting Multiple Categories of Mental Disorders
Abstract
1. Introduction
- (1)
- A dual-branch feature extraction strategy is proposed to address the limitations of single-branch architectures, thereby providing more comprehensive feature representations for detection.
- (2)
- A Multi-Head Attention Mechanism (MHAM) with a dynamic routing is introduced to enhance attention to key elements and optimize feature space hierarchy, thereby improving information transmission efficiency.
- (3)
- SHAP analysis improves the explainability of DBN’s detections and increases the potential for clinical application.
2. Related Work
3. Methods
3.1. The DBN Overall Architecture
3.2. Dual-Branch Feature Extraction Strategy
3.3. The MHAM with a Dynamic Routing
- Refer to the criterion for the value of in [26].
- Consider the dimension matching constraint with .
- The computational overhead associated with increasing is non-negligible.
- Combine the research needs and pre-experiments to give the final value.
3.4. Explainability of the DBN: SHAP Analysis
4. Dataset and Experimental Settings
4.1. Dataset Introduction
4.2. Experimental Settings
4.3. Performance Evaluation Metrics
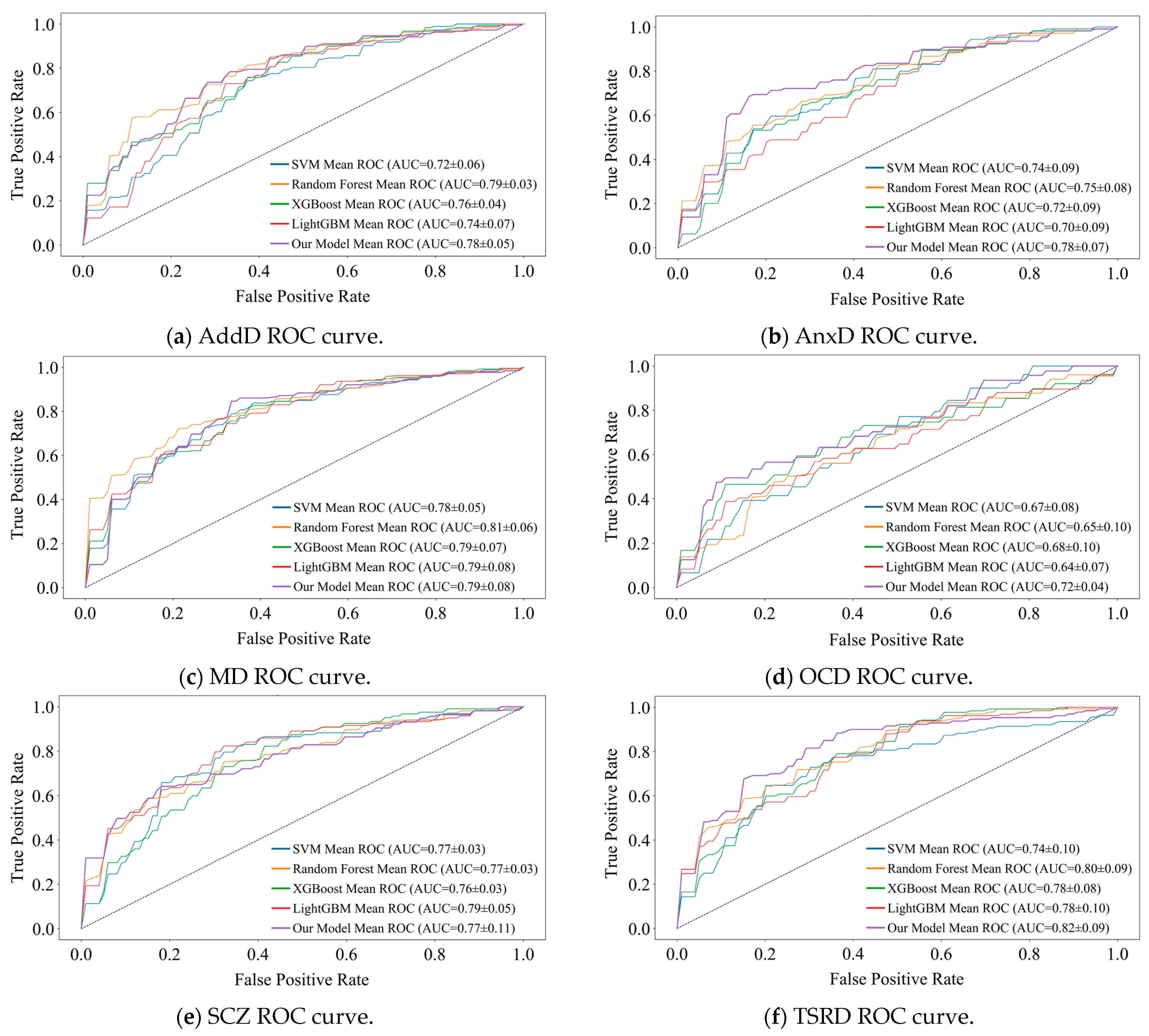
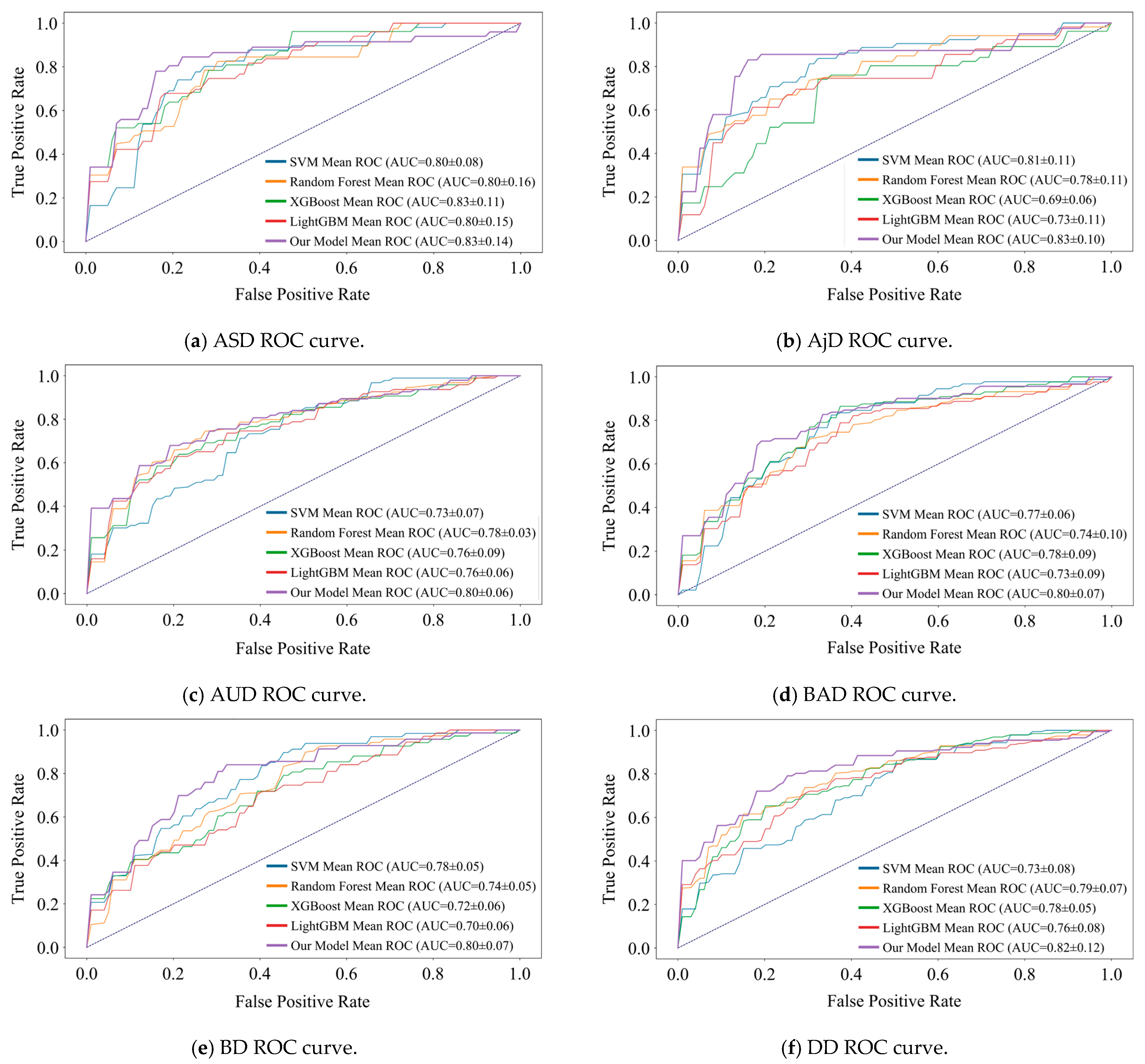
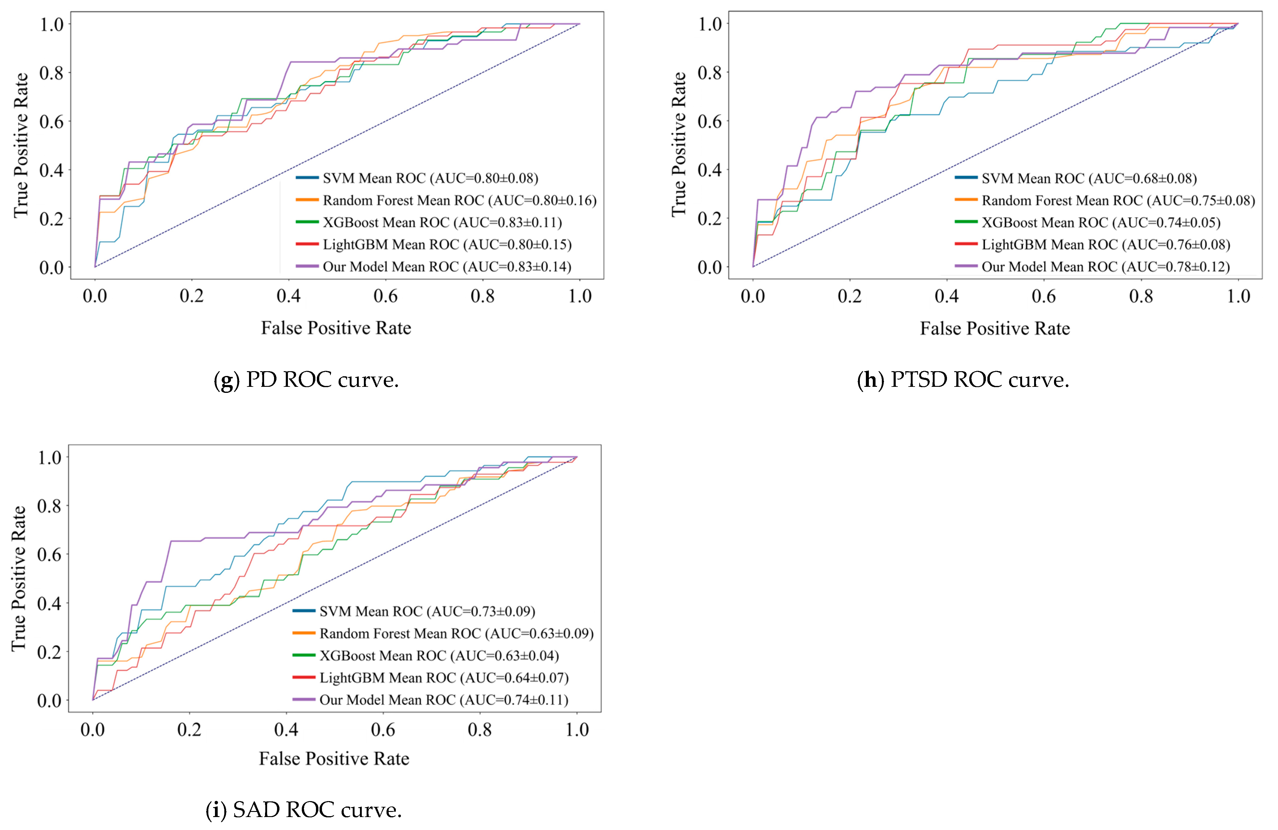
5. Results and Discussion
5.1. Effectiveness of the DBN in the Detection of MDs
5.2. Ablation Experiments: Structural Validity Analysis
5.3. Comparative Experiment: Performance Advanced Level Analysis
5.4. SHAP Analysis
6. Conclusions
Author Contributions
Funding
Institutional Review Board Statement
Informed Consent Statement
Data Availability Statement
Conflicts of Interest
Abbreviations
| DBN | Dual-Branch Network |
| MDs | Mental Disorders |
| EEG | Electroencephalogram |
| QEEG | Quantitative Electroencephalogram |
| SHAP | Shapley Additive exPlanations |
| AnxD | Anxiety Disorder |
| OCD | Obsessive–Compulsive Disorder |
| SCZ | Schizophrenia |
| DNNs | Deep Neural Networks |
| PTSD | Post-Traumatic Stress Disorder |
| MHAM | Multi-Head Attention Mechanism |
| MLP | Multilayer Perceptron |
| CNNs | Convolutional Neural Networks |
| MDD | Major Depressive Disorder |
| ADHD | Attention Deficit Hyperactivity Disorder |
| fMRI | functional FMRI |
| APA | American Psychiatric Association |
| AddD | Addictive Disorder |
| AUD | Alcohol Use Disorder |
| BAD | Behavioral Addiction Disorder |
| PD | Panic Disorder |
| SAD | Social Anxiety Disorder |
| HC | Healthy Control |
| MD | Mood Disorder |
| BD | Bipolar Disorder |
| DD | Depressive Disorder |
| TSRD | Trauma- and Stress-Related Disorder |
| ASD | Acute Stress Disorder |
| AjD | Adjustment Disorder |
| PSD | Power Spectral Density |
| FC | Functional Connectivity |
References
- Broyd, S.J.; Demanuele, C.; Debener, S.; Helps, S.K.; James, C.J.; Sonuga-Barke, E.J. Default-mode brain dysfunction in mental disorders: A systematic review. Neurosci. Biobehav. Rev. 2009, 33, 279–296. [Google Scholar] [CrossRef]
- Brausch, A.M.; Whitfield, M.; Clapham, R.B. Comparisons of mental health symptoms, treatment access, and self-harm behaviors in rural adolescents before and during the COVID-19 pandemic. Eur. Child Adolesc. Psychiatry 2023, 32, 1051–1060. [Google Scholar] [CrossRef]
- World Health Organization. World Mental Health Report: Transforming Mental Health for All; World Health Organization: Geneva, Switzerland, 2022. [Google Scholar]
- Reynolds, C.F., 3rd; Jeste, D.V.; Sachdev, P.S.; Blazer, D.G. Mental health care for older adults: Recent advances and new directions in clinical practice and research. World Psychiatry 2022, 21, 336–363. [Google Scholar] [CrossRef]
- Bass, V.; Brown, F.; Beiser, D.G.; Peterson, T.; Gibbons, R.D.; Nagele, P. Preoperative assessment of anxiety and depression using computerized adaptive screening tools: A pilot prospective cohort study. Anesth. Analg. 2022, 134, 853–857. [Google Scholar] [CrossRef]
- Arias, D.; Saxena, S.; Verguet, S. Quantifying the global burden of mental disorders and their economic value. eClinicalMedicine 2022, 54, 101675. [Google Scholar] [CrossRef]
- Li, L.; Peng, W.; Rheu, M.M.J. Factors predicting intentions of adoption and continued use of artificial intelligence chatbots for mental health: Examining the role of UTAUT model, stigma, privacy concerns, and artificial intelligence hesitancy. Telemed. e-Health 2024, 30, 722–730. [Google Scholar] [CrossRef] [PubMed]
- Kopanska, M.; Ochojska, D.; Trojniak, J.; Sarzynska, I.; Szczygielski, J. The role of quantitative electroencephalography in diagnostic workup of mental disorders. J. Physiol. Pharmacol. 2024, 75, 39415522. [Google Scholar]
- Sharma, C.M.; Chariar, V.M. Diagnosis of mental disorders using machine learning: Literature review and bibliometric mapping from 2012 to 2023. Heliyon 2024, 10, e32548. [Google Scholar] [CrossRef] [PubMed]
- Khan, S.; Umar Saeed, S.M.; Frnda, J.; Arsalan, A.; Amin, R.; Gantassi, R.; Noorani, S.H.; Nisar, H. A machine learning based depression screening framework using temporal domain features of the electroencephalography signals. PLoS ONE 2024, 19, e0299127. [Google Scholar] [CrossRef]
- Alazzawı, A.; Aljumaili, S.; Duru, A.D.; Uçan, O.N.; Bayat, O.; Coelho, P.J.; Pires, I.M. Schizophrenia diagnosis based on diverse epoch size resting-state EEG using machine learning. PeerJ Comput. Sci. 2024, 10, e2170. [Google Scholar] [CrossRef]
- Yamunarani, T.; Zaki, W.S.B.W.; Elango, S.; Chandrasekaran, G.; Yamuna, S.; Kumar, K.K.; Maheswaran, S. Analysis of Post-Traumatic Stress Disorder (PTSD) Using Electroencephalography. In Proceedings of the 2024 15th International Conference on Computing Communication and Networking Technologies (ICCCNT), Kamand, India, 24–28 June 2024; IEEE: Piscataway, NJ, USA, 2024; pp. 1–6. [Google Scholar]
- Huang, S.-M.; Wu, F.-H.; Ma, K.-J.; Wang, J.-Y. Individual and integrated indexes of inflammation predicting the risks of mental disorders-statistical analysis and artificial neural network. BMC Psychiatry 2025, 25, 226. [Google Scholar] [CrossRef]
- Lundberg, S.M.; Lee, S.I. A unified approach to interpreting model predictions. Adv. Neural Inf. Process. Syst. 2017, 30, 4768–4777. [Google Scholar]
- Bagheri, S.; Taridashti, S.; Farahani, H.; Watson, P.; Rezvani, E. Multilayer perceptron modeling for social dysfunction prediction based on general health factors in an Iranian women sample. Front. Psychiatry 2023, 14, 1283095. [Google Scholar] [CrossRef]
- Mohamed, E.S.; Naqishbandi, T.A.; Bukhari, S.A.C.; Rauf, I.; Sawrikar, V.; Hussain, A. A hybrid mental health prediction model using Support Vector Machine, Multilayer Perceptron, and Random Forest algorithms. Healthc. Anal. 2023, 3, 100185. [Google Scholar] [CrossRef]
- Saranya, S.; Kavitha, N. Robust feature selection with chicken swarm intelligence improved multilayer perceptron for early detection of mental illness disorder. J. Theor. Appl. Inf. Technol. 2022, 100, 3337–3345. [Google Scholar]
- Oweimieotu, A.E.; Akazue, M.I.; Edje, A.E. Designing a Hybrid Genetic Algorithm Trained Feedforward Neural Network for Mental Health Disorder Detection. Adv. Multidiscip. Sci. Res. J. Publ. 2024, 12, 49–62. [Google Scholar] [CrossRef]
- Uyulan, C.; Ergüzel, T.T.; Unubol, H.; Cebi, M.; Sayar, G.H.; Asad, M.N.; Tarhan, N. Major depressive disorder classification based on different convolutional neural network models: Deep learning approach. Clin. EEG Neurosci. 2021, 52, 38–51. [Google Scholar] [CrossRef]
- Wang, Y.; Gong, N.; Fu, C. Major depression disorder diagnosis and analysis based on structural magnetic resonance imaging and deep learning. J. Integr. Neurosci. 2021, 20, 977–984. [Google Scholar] [CrossRef]
- Wang, D.; Hong, D.; Wu, Q. Attention deficit hyperactivity disorder classification based on deep learning. IEEE/ACM Trans. Comput. Biol. Bioinform. 2022, 20, 1581–1586. [Google Scholar] [CrossRef]
- Akbugday, B.; Bozbas, O.A.; Cura, O.K.; Pehlivan, S.; Akan, A. Detection of Attention Deficit Hyperactivity Disorder by Using EEG Feature Maps and Deep Learning. In Proceedings of the 2023 31st European Signal Processing Conference (EUSIPCO), Helsinki, Finland, 4–8 September 2023; IEEE: Piscataway, NJ, USA, 2023; pp. 1105–1109. [Google Scholar]
- Ismail, N.H.; Liu, N.; Du, M.; He, Z.; Hu, X. A deep learning approach for identifying cancer survivors living with post-traumatic stress disorder on Twitter. BMC Med. Inform. Decis. Mak. 2020, 20, 1–11. [Google Scholar] [CrossRef] [PubMed]
- Phan, D.V.; Yang, N.P.; Kuo, C.Y.; Chan, C.-L. Deep learning approaches for sleep disorder prediction in an asthma cohort. J. Asthma 2021, 58, 903–911. [Google Scholar] [CrossRef]
- Huang, P. A mental disorder prediction model with the ability of deep information expression using convolution neural networks technology. Sci. Program. 2022, 2022, 4664102. [Google Scholar] [CrossRef]
- Vaswani, A. Attention is all you need. In Proceedings of the 31st International Conference on Neural Information Processing Systems, Long Beach, CA, USA, 4–9 December 2017; Curran Associates Inc.: Red Hook, NY, USA, 2017. [Google Scholar]
- Xia, M.; Zhang, Y.; Wu, Y.; Wang, X. An end-to-end deep learning model for EEG-based major depressive disorder classification. IEEE Access 2023, 11, 41337–41347. [Google Scholar] [CrossRef]
- Aina, J.; Akinniyi, O.; Rahman, M.M.; Odero-Marah, V.; Khalifa, F. A hybrid Learning-Architecture for mental disorder detection using emotion recognition. IEEE Access 2024, 12, 91410–91425. [Google Scholar] [CrossRef] [PubMed]
- McDonald, R.G.; Cargill, M.I.; Khawar, S.; Kang, E. Emotion dysregulation in autism: A meta-analysis. Autism 2024, 28, 2986–3001. [Google Scholar] [CrossRef] [PubMed]
- Gilbert, M.; Boecker, M.; Reiss, F.; Kaman, A.; Erhart, M.; Schlack, R.; Westenhöfer, J.; Döpfner, M.; Ravens-Sieberer, U. Gender and age differences in ADHD symptoms and co-occurring depression and anxiety symptoms among children and adolescents in the BELLA study. Child Psychiatry Hum. Dev. 2023, 56, 1162–1172. [Google Scholar] [CrossRef]
- Sabour, S.; Frosst, N.; Hinton, G.E. Dynamic routing between capsules. In Proceedings of the 31st International Conference on Neural Information Processing Systems, Long Beach, CA, USA, 4–9 December 2017; Curran Associates Inc.: Red Hook, NY, USA, 2017; p. 30. [Google Scholar]
- Park, S.M.; Jeong, B.; Oh, D.Y.; Choi, C.-H.; Jung, H.Y.; Lee, J.-Y.; Lee, D.; Choi, J.-S. Identification of major psychiatric disorders from resting-state electroencephalography using a machine learning approach. Front. Psychiatry 2021, 12, 707581. [Google Scholar] [CrossRef] [PubMed]
- Frances, A.; First, M.B.; Pincus, H.A. DSM-IV Guidebook; American Psychiatric Press: Washington, DC, USA, 1995. [Google Scholar]
- Gramfort, A.; Luessi, M.; Larson, E.; Engemann, D.A.; Strohmeier, D.; Brodbeck, C.; Goj, R.; Jas, M.; Brooks, T.; Parkkonen, L.; et al. MEG and EEG data analysis with MNE-Python. Front. Neurosci. 2013, 7, 00267. [Google Scholar] [CrossRef]
- Sharma, C.M.; Thein, K.Y.M.; Chariar, V.M. Optimized Support Vector Machines for Detection of Mental Disorders. In Artificial Intelligence in Healthcare; CRC Press: Boca Raton, FL, USA, 2024; pp. 190–219. [Google Scholar]
- Adeniji, O.D.; Adeyemi, S.O.; Ajagbe, S.A. An improved bagging ensemble in predicting mental disorder using hybridized random forest-artificial neural network model. Informatica 2022, 46, 543–550. [Google Scholar] [CrossRef]
- Zhu, W.; Shen, S.; Zhang, Z. Improved multiclassification of schizophrenia based on xgboost and information fusion for small datasets. Comput. Math. Methods Med. 2022, 2022, 1581958. [Google Scholar] [CrossRef]
- Wang, J.; Wang, Z.; Li, J.; Peng, Y. An interpretable depression prediction model for the elderly based on ISSA optimized LightGBM. J. Beijing Inst. Technol. 2023, 32, 168–180. [Google Scholar]
- Cai, H.; Yuan, Z.; Gao, Y.; Sun, S.; Li, N.; Tian, F.; Xiao, H.; Li, J.; Yang, Z.; Li, X.; et al. A multi-modal open dataset for mental-disorder analysis. Sci. Data 2022, 9, 178. [Google Scholar] [CrossRef] [PubMed]











| Main Categories | No. of Patients | Subcategories | No. of Patients |
|---|---|---|---|
| Addictive Disorder (AddD) | 186 | Alcohol Use Disorder (AUD) | 93 |
| Behavioral Addiction Disorder (BAD) | 93 | ||
| AnxD | 107 | Panic Disorder (PD) | 59 |
| Social Anxiety Disorder (SAD) | 48 | ||
| Healthy Control (HC) | 95 | ||
| Mood Disorder (MD) | 266 | Bipolar Disorder (BD) | 67 |
| Depressive Disorder (DD) | 199 | ||
| OCD | 46 | ||
| SCZ | 117 | ||
| Trauma- and Stress-Related Disorder (TSRD) | 128 | Acute Stress Disorder (ASD) | 38 |
| Adjustment Disorder (AjD) | 38 | ||
| PTSD | 52 |
| Parameter Items | Values | Parameter Items | Values |
|---|---|---|---|
| Batch size | 4 | Max epoch | 500 |
| Min epoch | 20 | Dropout | 0.1 |
| Learning rate | 1e-5 | Optimizer | Adam |
| Patience | 0.02 | GPU | NVIDIA GeForce Mx450 |
| Python | 3.8.0 | CUDA | 12.0 |
| Torch | 1.12.0 | Operating System | Windows 11 |
| Categories | Our Model | No Dynamic Routing | No MLP | No CNN | ||||
|---|---|---|---|---|---|---|---|---|
| AddD | 0.82 | 0.78 | 0.82 | 0.80 | 0.84 | 0.82 | 0.77 | 0.72 |
| AnxD | 0.78 | 0.77 | 0.73 | 0.70 | 0.78 | 0.77 | 0.75 | 0.75 |
| MD | 0.85 | 0.80 | 0.86 | 0.80 | 0.82 | 0.74 | 0.81 | 0.74 |
| OCD | 0.86 | 0.82 | 0.75 | 0.70 | 0.75 | 0.72 | 0.82 | 0.77 |
| SCZ | 0.82 | 0.82 | 0.80 | 0.80 | 0.80 | 0.80 | 0.75 | 0.73 |
| TSRD | 0.84 | 0.84 | 0.84 | 0.84 | 0.77 | 0.75 | 0.89 | 0.88 |
| Avg. | 0.83 | 0.81 | 0.80 | 0.77 | 0.79 | 0.77 | 0.80 | 0.77 |
| Categories | Our Model | No Dynamic Routing | No MLP | No CNN | ||||
|---|---|---|---|---|---|---|---|---|
| ASD | 0.88 | 0.84 | 0.88 | 0.85 | 0.79 | 0.74 | 0.92 | 0.90 |
| AjD | 0.83 | 0.78 | 0.79 | 0.76 | 0.88 | 0.82 | 0.88 | 0.82 |
| AUD | 0.81 | 0.80 | 0.81 | 0.81 | 0.72 | 0.72 | 0.75 | 0.75 |
| BAD | 0.75 | 0.74 | 0.75 | 0.75 | 0.67 | 0.66 | 0.75 | 0.75 |
| BD | 0.84 | 0.83 | 0.84 | 0.84 | 0.75 | 0.75 | 0.75 | 0.74 |
| DD | 0.77 | 0.74 | 0.84 | 0.80 | 0.82 | 0.78 | 0.73 | 0.68 |
| PD | 0.86 | 0.84 | 0.82 | 0.82 | 0.79 | 0.77 | 0.64 | 0.63 |
| PTSD | 0.89 | 0.89 | 0.86 | 0.84 | 0.79 | 0.78 | 0.79 | 0.78 |
| SAD | 0.89 | 0.87 | 0.86 | 0.84 | 0.82 | 0.79 | 0.75 | 0.72 |
| Avg. | 0.84 | 0.81 | 0.83 | 0.81 | 0.78 | 0.76 | 0.77 | 0.75 |
Disclaimer/Publisher’s Note: The statements, opinions and data contained in all publications are solely those of the individual author(s) and contributor(s) and not of MDPI and/or the editor(s). MDPI and/or the editor(s) disclaim responsibility for any injury to people or property resulting from any ideas, methods, instructions or products referred to in the content. |
© 2025 by the authors. Licensee MDPI, Basel, Switzerland. This article is an open access article distributed under the terms and conditions of the Creative Commons Attribution (CC BY) license (https://creativecommons.org/licenses/by/4.0/).
Share and Cite
Zhang, L.; Cui, H.; Peng, Y. DBN: A Dual-Branch Network for Detecting Multiple Categories of Mental Disorders. Information 2025, 16, 755. https://doi.org/10.3390/info16090755
Zhang L, Cui H, Peng Y. DBN: A Dual-Branch Network for Detecting Multiple Categories of Mental Disorders. Information. 2025; 16(9):755. https://doi.org/10.3390/info16090755
Chicago/Turabian StyleZhang, Longhao, Hongzhen Cui, and Yunfeng Peng. 2025. "DBN: A Dual-Branch Network for Detecting Multiple Categories of Mental Disorders" Information 16, no. 9: 755. https://doi.org/10.3390/info16090755
APA StyleZhang, L., Cui, H., & Peng, Y. (2025). DBN: A Dual-Branch Network for Detecting Multiple Categories of Mental Disorders. Information, 16(9), 755. https://doi.org/10.3390/info16090755

