Psychometric Properties and Validation of the Chinese Adaption of the Affinity for Technology Interaction (ATI) Scale
Abstract
1. Introduction
2. Method
2.1. Translation Protocol
2.2. Data Collection and Participants
2.3. Analysis of Psychometric Data
2.3.1. Non-Parametric Analysis: Mokken Scale Analysis
2.3.2. Parametric Analysis: Factor Analysis
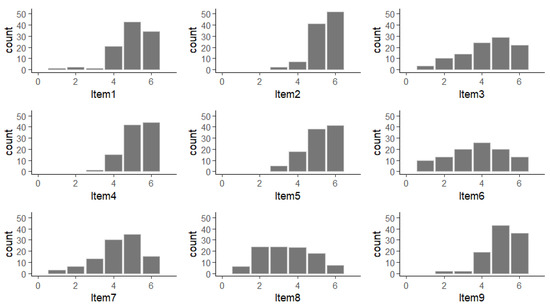
3. Results
4. Discussion
5. Conclusions
Author Contributions
Funding
Institutional Review Board Statement
Informed Consent Statement
Data Availability Statement
Acknowledgments
Conflicts of Interest
References
- Franke, T.; Attig, C.; Wessel, D. A personal resource for technology interaction: Development and validation of the affinity for technology interaction (ATI) scale. Int. J.-Hum.-Comput. Interact. 2019, 35, 456–467. [Google Scholar] [CrossRef]
- Sonko, S.; Daudu, C.D.; Osasona, F.; Monebi, A.M.; Etukudoh, E.A.; Atadoga, A. The evolution of embedded systems in automotive industry: A global review. World J. Adv. Res. Rev. 2024, 21, 096–104. [Google Scholar] [CrossRef]
- Edison, S.W.; Geissler, G.L. Measuring attitudes towards general technology: Antecedents, hypotheses and scale development. J. Targeting, Meas. Anal. Mark. 2003, 12, 137–156. [Google Scholar] [CrossRef]
- Karrer, K.; Glaser, C.; Clemens, C.; Bruder, C. Technikaffinität erfassen–der Fragebogen TA-EG. Mensch Mittelpunkt Tech. Syst. 2009, 8, 196–201. [Google Scholar]
- Wessel, D.; Attig, C.; Franke, T. ATI-S—An Ultra-Short Scale for Assessing Affinity for Technology Interaction in User Studies. In Proceedings of the Mensch Und Computer 2019 (MuC ’19), New York, NY, USA, 8–11 September 2019; pp. 147–154. [Google Scholar] [CrossRef]
- Heilala, V.; Kelly, R.; Saarela, M.; Jääskelä, P.; Kärkkäinen, T. The Finnish version of the affinity for technology interaction (ATI) scale: Psychometric properties and an examination of gender differences. Int. J.-Hum.-Comput. Interact. 2023, 39, 874–892. [Google Scholar] [CrossRef]
- Cacioppo, J.T.; Petty, R.E.; Feinstein, J.A.; Jarvis, W.B.G. Dispositional differences in cognitive motivation: The life and times of individuals varying in need for cognition. Psychol. Bull. 1996, 119, 197. [Google Scholar] [CrossRef]
- Ghasemi, F.; Nourian, S.; Babamiri, M. The psychometric properties of the Persian version of the affinity for technology interaction (ATI) scale. J. Health Saf. Work. 2023, 12, 784–799. [Google Scholar]
- Kim, T.; Park, S.; Jeong, M. Reliability and Validity Analysis of the Korean Version of the Affinity for Technology Interaction Scale. Healthcare 2023, 11, 1951. [Google Scholar] [CrossRef]
- Koniakowsky, I.; Loew, A.; Forster, Y.; Naujoks, F.; Keinath, A. Context and Culture affect the Psychometrics of Questionnaires evaluating Speech-based Assistants. In Proceedings of the 13th International Conference on Automotive User Interfaces and Interactive Vehicular Applications, Leeds, UK, 9–14 September 2021; pp. 115–118. [Google Scholar]
- Sogemeier, D.; Forster, Y.; Naujoks, F.; Krems, J.F.; Keinath, A. Cross-Cultural Differences: Is a Weighting Scheme for the User Experience Questionnaire Worth Considering? In Proceedings of the 15th International Conference on Automotive User Interfaces and Interactive Vehicular Applications, Ingolstadt, Germany, 18–22 September 2023; pp. 48–52. [Google Scholar]
- Ghiretti, F. Technological Competition: Can the EU Compete with China? JSTOR: New York, NY, USA, 2022. [Google Scholar]
- Beaton, D.E.; Bombardier, C.; Guillemin, F.; Ferraz, M.B. Guidelines for the process of cross-cultural adaptation of self-report measures. Spine 2000, 25, 3186–3191. [Google Scholar] [CrossRef]
- Lezhnina, O.; Kismihók, G. A multi-method psychometric assessment of the affinity for technology interaction (ATI) scale. Comput. Hum. Behav. Rep. 2020, 1, 100004. [Google Scholar] [CrossRef]
- De Klerk, S. Assessment of structural and cross-cultural validity of the Disabilities of the Arm, Shoulder and Hand questionnaire: A scoping review. Hand Therapy 2023, 28, 3–15. [Google Scholar] [CrossRef] [PubMed]
- Hemker, B.T.; Sijtsma, K.; Molenaar, I.W. Selection of unidimensional scales from a multidimensional item bank in the polytomous Mokken I RT model. Appl. Psychol. Meas. 1995, 19, 337–352. [Google Scholar] [CrossRef]
- Hu, L.t.; Bentler, P.M. Cutoff criteria for fit indexes in covariance structure analysis: Conventional criteria versus new alternatives. Struct. Equ. Model. Multidiscip. J. 1999, 6, 1–55. [Google Scholar] [CrossRef]
- Golino, H.; Moulder, R.; Shi, D.; Christensen, A.P.; Garrido, L.E.; Nieto, M.D.; Nesselroade, J.; Sadana, R.; Thiyagarajan, J.A.; Boker, S.M. Entropy fit indices: New fit measures for assessing the structure and dimensionality of multiple latent variables. Multivar. Behav. Res. 2021, 56, 874–902. [Google Scholar] [CrossRef]
- Massara, G.P.; Di Matteo, T.; Aste, T. Network filtering for big data: Triangulated maximally filtered graph. J. Complex Netw. 2016, 5, 161–178. [Google Scholar] [CrossRef]
- Mokken, R.J. A Theory and Procedure of Scale Analysis: With Applications in Political Research; Mouton The Hague: The Hague, The Netherlands, 1970. [Google Scholar]
- Dalal, D.K.; Carter, N.T. Negatively worded items negatively impact survey research. In More Statistical and Methodological Myths and Urban Legends; Routledge: Abingdon, UK, 2014; pp. 112–132. [Google Scholar]
- Kam, C.C.S. Why do regular and reversed items load on separate factors? Response difficulty vs. item extremity. Educ. Psychol. Meas. 2023, 83, 1085–1112. [Google Scholar] [CrossRef]
- Pätzold, A. Adaptive Human Machine Interfaces in a Vehicle Cockpit: Indication, Impacts and Implications. Ph.D. Thesis, Chemnitz University of Technology, Chemnitz, Germany, 2021. [Google Scholar]
- Weijters, B.; Baumgartner, H. Misresponse to reversed and negated items in surveys: A review. J. Mark. Res. 2012, 49, 737–747. [Google Scholar] [CrossRef]
- Ahmad, N.; Youjin, L.; Žiković, S.; Belyaeva, Z. The effects of technological innovation on sustainable development and environmental degradation: Evidence from China. Technol. Soc. 2023, 72, 102184. [Google Scholar] [CrossRef]
- Guo, J.; Lai, X.; Lu, C.; Cao, S. What has caused China’s economic growth? Econ. Syst. 2022, 46, 100982. [Google Scholar] [CrossRef]
- International Trade and Production of High-Tech Products. Available online: https://ec.europa.eu/eurostat/statistics-explained/index.php?title=International_trade_and_production_of_high-tech_products#:~:text=Sold%20production%20of%20high%2Dtech%20products%20increased%20from%20%E2%82%AC271,States%20for%20high%2Dtech%20exports (accessed on 10 April 2025).
- Maslej, N.; Fattorini, L.; Perrault, R.; Gil, Y.; Parli, V.; Kariuki, N.; Capstick, E.; Reuel, A.; Brynjolfsson, E.; Etchemendy, J.; et al. Artificial Intelligence Index Report 2025: Trends and Insights; Stanford Institute for Human-Centered Artificial Intelligence. Stanford University: Stanford, CA, USA, 2025. [Google Scholar]
- Cattell, R. The Scientific Use of Factor Analysis in Behavioral and Life Sciences; Springer Science & Business Media: Berlin/Heidelberg, Germany, 2012. [Google Scholar]
- Hair, J.; Anderson, R.; Babin, B.; Black, W. Multivariate Data Analysis Pearson New International Edition; Pearson Deutschland: Munich, Germany, 2013; p. 740. [Google Scholar]
- Kline, R.B. Response to leslie hayduk’s review of principles and practice of structural equation modeling. Can. Stud. Popul. Arch. 2018, 45, 188–195. [Google Scholar] [CrossRef]
- de Winter, J.C.; Dodou, D.; Wieringa, P.A. Exploratory factor analysis with small sample sizes. Multivar. Behav. Res. 2009, 44, 147–181. [Google Scholar] [CrossRef] [PubMed]
- Mundfrom, D.J.; Shaw, D.G.; Ke, T.L. Minimum sample size recommendations for conducting factor analyses. Int. J. Test. 2005, 5, 159–168. [Google Scholar] [CrossRef]
- Straat, J.H.; van der Ark, L.A.; Sijtsma, K. Minimum sample size requirements for Mokken scale analysis. Educ. Psychol. Meas. 2014, 74, 809–822. [Google Scholar] [CrossRef]
- Watson, R.; Egberink, I.J.; Kirke, L.; Tendeiro, J.N.; Doyle, F. What are the minimal sample size requirements for Mokken scaling? An empirical example with the Warwick-Edinburgh Mental Well-Being Scale. Health Psychol. Behav. Med. 2018, 6, 203–213. [Google Scholar] [CrossRef]




| Item | English Version | Chinese Translation |
|---|---|---|
| 1 | I like to occupy myself in greater detail with technical systems. | 我喜欢深入地研究技术系统。 |
| 2 | I like testing the function of new technical systems. | 我喜欢测试新技术系统的功能 |
| 3 | I predominantly deal with technical systems because I have to. | 我使用技术系统主要是因为我不得不这样做。 |
| 4 | When I have a new technical system in front of me, I try it out intensively. | 当我面前有一个新技术系统时,我会非常想去尝试它 |
| 5 | I enjoy spending time becoming acquainted with a new technical system. | 我喜欢花时间去熟悉一个新技术系统。 |
| 6 | It is enough for me that a technical system works; I don’t care how or why. | 我只需要一个能用的技术系统。我不关心它的工作原理 |
| 7 | I try to understand how a technical system exactly works. | 我会试图理解一个技术系统到底是如何运作的。 |
| 8 | It is enough for me to know the basic functions of a technical system. | 我只想了解一个技术系统的基本功能。 |
| 9 | I try to make full use of the capabilities of a technical system. | 我尝试充分利用一个技术系统所有的能力。 |
| Item | Mean | Standard Deviation | Range |
|---|---|---|---|
| 1 | 5.01 | 0.96 | 5 |
| 2 | 5.40 | 0.71 | 4 |
| 3 | 4.29 | 1.37 | 5 |
| 4 | 5.26 | 0.74 | 3 |
| 5 | 5.13 | 0.88 | 3 |
| 6 | 3.71 | 1.49 | 5 |
| 7 | 4.30 | 1.22 | 5 |
| 8 | 3.43 | 1.36 | 5 |
| 9 | 5.07 | 0.89 | 4 |
Disclaimer/Publisher’s Note: The statements, opinions and data contained in all publications are solely those of the individual author(s) and contributor(s) and not of MDPI and/or the editor(s). MDPI and/or the editor(s) disclaim responsibility for any injury to people or property resulting from any ideas, methods, instructions or products referred to in the content. |
© 2025 by the authors. Licensee MDPI, Basel, Switzerland. This article is an open access article distributed under the terms and conditions of the Creative Commons Attribution (CC BY) license (https://creativecommons.org/licenses/by/4.0/).
Share and Cite
Sogemeier, D.; Koniakowsky, I.M.; Hergeth, S.; Naujoks, F.; Keinath, A. Psychometric Properties and Validation of the Chinese Adaption of the Affinity for Technology Interaction (ATI) Scale. Information 2025, 16, 500. https://doi.org/10.3390/info16060500
Sogemeier D, Koniakowsky IM, Hergeth S, Naujoks F, Keinath A. Psychometric Properties and Validation of the Chinese Adaption of the Affinity for Technology Interaction (ATI) Scale. Information. 2025; 16(6):500. https://doi.org/10.3390/info16060500
Chicago/Turabian StyleSogemeier, Denise, Ina Marie Koniakowsky, Sebastian Hergeth, Frederik Naujoks, and Andreas Keinath. 2025. "Psychometric Properties and Validation of the Chinese Adaption of the Affinity for Technology Interaction (ATI) Scale" Information 16, no. 6: 500. https://doi.org/10.3390/info16060500
APA StyleSogemeier, D., Koniakowsky, I. M., Hergeth, S., Naujoks, F., & Keinath, A. (2025). Psychometric Properties and Validation of the Chinese Adaption of the Affinity for Technology Interaction (ATI) Scale. Information, 16(6), 500. https://doi.org/10.3390/info16060500

