Digital Innovation Through Behavioural Analytics: Evidence from Acquisition Channels and Engagement in Global Cruise Firms
Abstract
1. Introduction
2. Literature Review
2.1. Digital Transformation and the Cruise Industry
2.2. Digital Marketing Ecosystems: Acquisition, Engagement and Reputation Dynamics
2.3. Knowledge-Based View and Digital Innovation Through Behavioural Analytics
3. Materials and Methods
3.1. Methodological Framework
- Stage 1: Data Collection
- Traffic acquisition channels: Direct, referral, organic search, paid search, organic social, paid social, email and display ads.
- Engagement metrics: Pages per visit, time on site and bounce rate.
- Performance indicators: Website users and website visits.
- Reputation measures: Authority score and backlinks.
- Cost variables: Organic traffic cost and paid traffic cost.
- Diversification index: Shannon entropy, computed from acquisition shares to measure balance across channels.
- Stage 2: Descriptive Statistics and Correlation Analysis
- Stage 3: Regression Analysis
- Organic and referral traffic shares are negatively associated with engagement indicators, while positively related to bounce rate.
- Paid traffic cost significantly drives website visits but does not improve pages per visit.
- Authority score and backlinks strongly predict organic traffic, confirming their role as digital reputation drivers.
- Email share consistently enhances engagement, particularly time on site and pages per visit.
- The entropy index shows no stable predictive value, indicating that diversification did not materially affect outcomes.
- Stage 4: FCM Modelling
3.2. Sample Selection and Retrieval
3.3. Research Hypotheses
3.4. Conceptual Framework
4. Results
4.1. Statistical Analysis
- pi = share of channel i (e.g., direct traffic/total acquisition)
- k = number of acquisition channels with non-zero shares
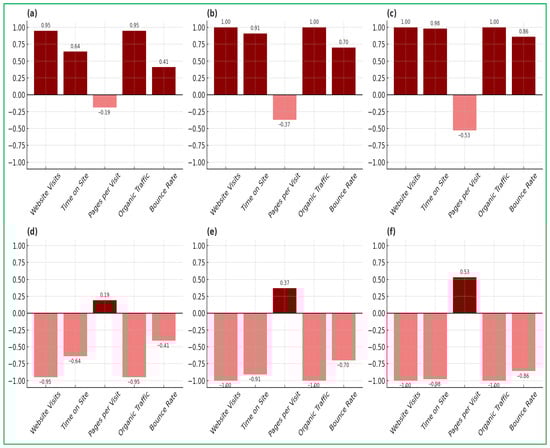
4.2. Fuzzy Cognitive Mapping Analysis
5. Discussion
6. Conclusions
- (RQ1) Different digital acquisition channels exert distinct, often contrasting, effects on engagement and overall performance.
- (RQ2) Reputation and authority metrics act as mediating resources that convert engagement quality into visibility and trust.
- (RQ3) Behavioural analytics uncover the feedback mechanisms through which acquisition, engagement and reputation co-evolve within a dynamic learning system.
6.1. Theoretical Implications
6.2. Managerial Implications
6.3. Limitations and Future Research
Supplementary Materials
Author Contributions
Funding
Institutional Review Board Statement
Informed Consent Statement
Data Availability Statement
Conflicts of Interest
References
- Sakas, D.P.; Terzi, M.C.; Kamperos, I.D.G.; Kriemadis, A. Cruise Industry Crisis Risk Management and Recovery Strategies Utilizing Crowdsourcing Data. In Computational and Strategic Business Modelling; Sakas, D.P., Nasiopoulos, D.K., Taratuhina, Y., Eds.; IC-BIM 2021; Springer Proceedings in Business and Economics; Springer: Cham, Switzerland, 2021. [Google Scholar] [CrossRef]
- Meng, S.; Li, H.; Wu, X. International Cruise Research Advances and Hotspots: Based on Literature Big Data. Front. Mar. Sci. 2023, 10, 1135274. [Google Scholar] [CrossRef]
- Buhalis, D.; Papathanassis, A.; Vafeidou, M. Smart cruising: Smart technology applications and their diffusion in cruise tourism. J. Hosp. Tour. Technol. 2022, 13, 626–649. [Google Scholar] [CrossRef]
- Hoarau-Heemstra, H.; Wigger, K.; Olsen, J.; James, L. Cruise tourism destinations: Practices, consequences and the road to sustainability. J. Destin. Mark. Manag. 2023, 30, 100820. [Google Scholar] [CrossRef]
- Dwivedi, Y.K.; Ismagilova, E.; Hughes, L.; Carlson, J.; Filieri, R.; Jacobson, J.; Jain, V.; Karjaluoto, H.; Kefi, H.; Krishen, A.S.; et al. Setting the Future of Digital and Social Media Marketing Research: Perspectives and Research Propositions. Int. J. Inf. Manag. 2021, 57, 102324. [Google Scholar] [CrossRef]
- Mariani, M.; Baggio, R. Big data and analytics in hospitality and tourism: A systematic literature review. Int. J. Contemp. Hosp. Manag. 2022, 34, 231–278. [Google Scholar] [CrossRef]
- Sakas, D.P.; Reklitis, D.P.; Trivellas, P. Social Media Analytics for Customer Satisfaction Based on User Engagement and Interactions in the Tourism Industry. In Computational and Strategic Business Modelling; Sakas, D.P., Nasiopoulos, D.K., Taratuhina, Y., Eds.; Springer Proceedings in Business and Economics; Springer: Cham, Switzerland, 2024; pp. 127–139. [Google Scholar] [CrossRef]
- Jansen, B.J.; Jung, S.-G.; Salminen, J. Measuring user interactions with websites: A comparison of two industry standard analytics approaches using data of 86 websites. PLoS ONE 2022, 17, e0268212. [Google Scholar] [CrossRef]
- Reklitis, D.P.; Terzi, M.C.; Sakas, D.P.; Konstantopoulou, C.K. Customer Behaviour in Response to Disaster Announcements: A Big Data Analysis of Digital Marketing in Hospitality. Tour. Hosp. 2025, 6, 112. [Google Scholar] [CrossRef]
- Morais, E.P.; Esteves, E.T.; Cunha, C.R. SEO in Rural Tourism: A Case Study of Terras de Trás-os-Montes—Portugal. Information 2025, 16, 465. [Google Scholar] [CrossRef]
- Mikalef, P.; Pappas, I.O.; Krogstie, J.; Pavlou, P.A. Big data and business analytics: A research agenda for realizing business value. Inf. Manag. 2019, 57, 103237. [Google Scholar] [CrossRef]
- Kulkov, I.; Hellström, M.; Tsvetkova, A.; Malmberg, J. Sustainable Cruise Tourism: Systematic Literature Review and Future Research Areas. Sustainability 2023, 15, 8335. [Google Scholar] [CrossRef]
- Espinet, J.M.; Mulet-Forteza, C.; Ferrer-Rosell, B. Big Data and Business Intelligence in Cruise Destinations. In Tourism and ICTs: Advances in Data Science, Artificial Intelligence and Sustainability; Guevara Plaza, A.J., Cerezo Medina, A., Navarro Jurado, E., Eds.; TURITEC 2023; Springer Proceedings in Business and Economics; Springer: Cham, Switzerland, 2023. [Google Scholar] [CrossRef]
- Tiago, F.; Couto, J.; Faria, S.; Borges-Tiago, T. Cruise tourism: Social media content and network structures. Tour. Rev. 2018, 73, 433–447. [Google Scholar] [CrossRef]
- Sun, X.; Cao, X.; Lau, Y.-y. Exploring cruise tourists’ sentiment expression pattern from online reviews: An insight into market positioning. Tour. Manag. Perspect. 2023, 49, 101195. [Google Scholar] [CrossRef]
- McGillivray, R. Cruise Line Web Traffic Surges Over 25% Since 2022. Available online: https://www.cruisehive.com/cruise-line-web-traffic-surges-over-25-since-2022/108778 (accessed on 2 October 2025).
- Alzua-Sorzabal, A.; Gerrikagoitia, J.; Rebon Ortiz, F. Tourism Destination Web Monitor: Beyond Web Analytics. 2014. Available online: https://ertr.tamu.edu/files/2014/02/enter2014_RN_136.pdf#:~:text=destinations%2C%20providing%20huge%20volumes%20of,DMO (accessed on 2 October 2025).
- Asante, I.O.; Jiang, Y.; Luo, X.; Ankrah Twumasi, M. The Organic Marketing Nexus: The Effect of Unpaid Marketing Practices on Consumer Engagement. Sustainability 2023, 15, 148. [Google Scholar] [CrossRef]
- Knox, C.; Gray, S.; Zareei, M.; Wentworth, C.; Aminpour, P.; Wallace, R.V.; Hodbod, J.; Brugnone, N. Modeling complex problems by harnessing the collective intelligence of local experts: New approaches in fuzzy cognitive mapping. Collect. Intell. 2023, 2, 99–112. [Google Scholar] [CrossRef]
- Borrero-Domínguez, C.; Escobar-Rodríguez, T. Decision support systems in crowdfunding: A fuzzy cognitive maps (FCM) approach. Decis. Support Syst. 2023, 173, 114000. [Google Scholar] [CrossRef]
- Ogutu, H.; Adol, G.F.C.; Bujdosó, Z.; Andrea, B.; Fekete-Farkas, M.; Dávid, L.D. Theoretical Nexus of Knowledge Management and Tourism Business Enterprise Competitiveness: An Integrated Overview. Sustainability 2023, 15, 1948. [Google Scholar] [CrossRef]
- Buhalis, D.; Sinarta, Y. Real-time co-creation and nowness service: Lessons from tourism and hospitality. J. Travel Tour. Mark. 2019, 36, 563–582. [Google Scholar] [CrossRef]
- Monzon Baeza, V.; Ortiz, F.; Herrero Garcia, S.; Lagunas, E. Enhanced Communications on Satellite-Based IoT Systems to Support Maritime Transportation Services. Sensors 2022, 22, 6450. [Google Scholar] [CrossRef] [PubMed]
- Papathanassis, A. Cruise tourism management: State of the art. Tour. Rev. 2017, 72, 104–119. [Google Scholar] [CrossRef]
- Lin, L.-Y.; Tsai, C.-C.; Lee, J.-Y. A Study on the Trends of the Global Cruise Tourism Industry, Sustainable Development, and the Impacts of the COVID-19 Pandemic. Sustainability 2022, 14, 6890. [Google Scholar] [CrossRef]
- Giousmpasoglou, C.; Marinakou, E.; Zopiatis, A. Hospitality managers in turbulent times: The COVID-19 crisis. Int. J. Contemp. Hosp. Manag. 2021, 33, 1297–1318. [Google Scholar] [CrossRef]
- Tavares, J.M.; Cobanoglu, C.; Ivanov, S. Generation Z and Non-Generation Z as Potential Sea Cruisers. Tour. Mar. Environ. 2021, 16, 113–124. [Google Scholar] [CrossRef]
- Zeqiri, A.; Ben Youssef, A.; Maherzi Zahar, T. The Role of Digital Tourism Platforms in Advancing Sustainable Development Goals in the Industry 4.0 Era. Sustainability 2025, 17, 3482. [Google Scholar] [CrossRef]
- Islam, T.; Pradhan, B.; Nor, R.N.H.; Saleh, R.A.; Kumar, J. Unveiling the Landscape of Cruise Tourism Research: A Bibliometric Analysis and Visualisation. Pertanika J. Soc. Sci. Humanit. 2024, 32, 887–908. [Google Scholar] [CrossRef]
- Papathanassis, A. Cruise tourism research: A horizon 2050 paper. Tour. Rev. 2025, 80, 165–180. [Google Scholar] [CrossRef]
- Cai, Y.; Li, G.; Wen, L.; Liu, C. Intellectual Landscape and Emerging Trends of Big Data Research in Tourism and Hospitality: A Scientometric Analysis. Int. J. Hosp. Manag. 2024, 117, 103633. [Google Scholar] [CrossRef]
- Gutierriz, I.; Ferreira, J.J.; Fernandes, P.O. Digital transformation and the new combinations in tourism: A systematic literature review. Tour. Hosp. Res. 2023, 25, 194–213. [Google Scholar] [CrossRef]
- Nonaka, I.; Hirotaka, T. The Wise Company: How Companies Create Continuous Innovation; Oxford University Press: New York, NY, USA, 2019. [Google Scholar]
- Sakas, D.P.; Reklitis, D.P.; Terzi, M.C.; Vassilakis, C. Multichannel Digital Marketing Optimizations through Big Data Analytics in the Tourism and Hospitality Industry. J. Theor. Appl. Electron. Commer. Res. 2022, 17, 1383–1408. [Google Scholar] [CrossRef]
- Tang, L.; Wang, X.; Kim, E. Predicting Conversion Rates in Online Hotel Bookings with Customer Reviews. J. Theor. Appl. Electron. Commer. Res. 2022, 17, 1264–1278. [Google Scholar] [CrossRef]
- Blanco-Moreno, S.; González-Fernández, A.M.; Muñoz-Gallego, P.A.; Casaló, L.V. Understanding engagement with Instagram posts about tourism destinations. J. Destin. Mark. Manag. 2024, 34, 100948. [Google Scholar] [CrossRef]
- Christou, E.; Giannopoulos, A.; Simeli, I. The Evolution of Digital Tourism Marketing: From Hashtags to AI-Immersive Journeys in the Metaverse Era. Sustainability 2025, 17, 6016. [Google Scholar] [CrossRef]
- Abayomi, A.A.; Ogeawuchi, J.C.; Onifade, A.Y.; Agboola, O.A.; Dosumu, R.E.; George, O.O. Systematic review of marketing attribution techniques for omnichannel customer acquisition models. Int. J. Adv. Multidiscip. Res. Stud. 2023, 3, 1621–1633. [Google Scholar] [CrossRef]
- Al-Haraizah, A.; Abdelfattah, F.A.; Rehman, S.U.; Ismaeel, B.; Mufleh, M.; Omeish, F.Y. The impact of search engine optimization and website engagement towards customer buying behaviour. Glob. Knowl. Mem. Commun. 2025; ahead-of-print. [Google Scholar] [CrossRef]
- Albqaeen, J.; Al Ajlouni, B.; Amayreh, M. The Influence of Social Media Engagement and Customer Satisfaction on Booking Intention in Five-Star Hotels in Jordan: The Mediating Role of Information Trust. Int. J. Acad. Res. Bus. Soc. Sci. 2025, 15, 1078–1086. [Google Scholar] [CrossRef]
- Chatterjee, S.; Rana, N.P.; Khorana, S.; Mikalef, P.; Sharma, A. Assessing Organizational Users’ Intentions and Behavior to AI Integrated CRM Systems: A Meta-UTAUT Approach. Inf. Syst. Front. 2023, 25, 1299–1313. [Google Scholar] [CrossRef]
- Roy, G. Travelers’ online review on hotel performance—Analyzing facts with the Theory of Lodging and sentiment analysis. Int. J. Hosp. Manag. 2023, 111, 103459. [Google Scholar] [CrossRef]
- Tajvidi, R.; Karami, A. The effect of social media on firm performance. Comput. Hum. Behav. 2017, 115, 105174. [Google Scholar] [CrossRef]
- Mikalef, P.; Parmiggiani, E. A Framework for Digital Transformation for Research and Practice: Putting Things into Perspective. In Digital Transformation in Norwegian Enterprises; Mikalef, P., Parmiggiani, E., Eds.; Springer: Cham, Switzerland, 2022. [Google Scholar] [CrossRef]
- Wu, D.C.; Zhong, S.; Wu, J.; Song, H. Tourism and Hospitality Forecasting With Big Data: A Systematic Review of the Literature. J. Hosp. Tour. Res. 2024, 49, 615–634. [Google Scholar] [CrossRef]
- Cuong, T.N.; Kim, H.S.; Long, L.N.B.; You, S.S. Seaport profit analysis and efficient management strategies under stochastic disruptions. Marit. Econ. Logist. 2024, 26, 212–240. [Google Scholar] [CrossRef]
- Glykas, M. Fuzzy Cognitive Maps: Advances in Theory, Methodologies, Tools and Applications; Springer: Berlin, Germany, 2010; Volume 247. [Google Scholar] [CrossRef]
- Krimpas, G.A.; Krimpas, N.A.; Groumpos, P.P. An Overview of Making Decisions on Medical Problems Using Fuzzy Cognitive Maps. In 2023 14th International Conference on Information, Intelligence, Systems & Applications (IISA); IEEE: Piscataway, NJ, USA, 2023; pp. 1–6. [Google Scholar]
- Li, X.; Law, R.; Xie, G.; Wang, S. Review of tourism forecasting research with internet data. Tour. Manag. 2021, 83, 104245. [Google Scholar] [CrossRef]
- Papageorgiou, K.; Carvalho, G.; Papageorgiou, E.I.; Bochtis, D.; Stamoulis, G. Decision-Making Process for Photovoltaic Solar Energy Sector Development using Fuzzy Cognitive Map Technique. Energies 2020, 13, 1427. [Google Scholar] [CrossRef]
- Qiu, D.; Lv, B.; Chan, C.M.L. How Digital Platforms Enhance Urban Resilience. Sustainability 2022, 14, 1285. [Google Scholar] [CrossRef]
- Sarmiento, I.; Cockcroft, A.; Dion, A.; Belaid, L.; Silver, H.; Pizarro, K.; Pimentel, J.; Tratt, E.; Skerritt, L.; Ghadirian, M.Z.; et al. Fuzzy cognitive mapping in participatory research and decision making: A practice review. Arch. Public Health 2024, 82, 76. [Google Scholar] [CrossRef] [PubMed]
- Sun, Y.; Yu, H.; Wang, H. A systems perspective on the approach to industrial chain and supply chain ecology. Syst. Res. Behav. Sci. 2024, 42, 1181–1194. [Google Scholar] [CrossRef]
- Zhou, W.; Lin, M.; Xiao, M.; Fang, L. Higher precision is not always better: Search algorithm and consumer engagement. Manag. Sci. 2025, 71, 6204–6226. [Google Scholar] [CrossRef]









| Variable | Count | Mean | Std Dev | Min | Max |
|---|---|---|---|---|---|
| Direct | 35 | 14,778,580.71 | 25,792,024.67 | 1035 | 93,983,360 |
| Referral | 35 | 1,827,704.43 | 3,531,398.33 | 333 | 10,089,640 |
| Organic Search | 35 | 4,646,843.69 | 7,843,881.53 | 8878 | 26,837,640 |
| Paid Search | 35 | 175,416.83 | 222,877.21 | 0 | 613,329 |
| Organic Social | 35 | 846,270.63 | 1,826,695.35 | 0 | 6,702,804 |
| Paid Social | 35 | 18,114.17 | 33,764.72 | 0 | 111,601 |
| 35 | 112,107.06 | 117,667.54 | 0 | 364,039 | |
| Display Ads | 35 | 22,930.31 | 42,295.78 | 0 | 137,930 |
| Pages per Visit | 35 | 3.25 | 1.76 | 1.2 | 7.8 |
| Time on Site (min) | 35 | 6.61 | 3.26 | 0.18 | 13.04 |
| Website Users | 35 | 10,033,146.89 | 17,416,392.57 | 12,158 | 59,812,060 |
| Website Visits | 35 | 22,427,967.83 | 39,002,173.84 | 16,554 | 134,127,600 |
| Organic Traffic | 35 | 8,592,370.46 | 11,970,144.93 | 40,522 | 31,317,730 |
| Organic Traffic Cost | 35 | 10,829,993.06 | 14,577,056.13 | 60,095 | 41,449,780 |
| Paid Traffic | 35 | 318,874.57 | 440,074.13 | 0 | 1,242,407 |
| Paid Traffic Cost | 35 | 750,659.40 | 1,116,185.76 | 0 | 3,552,071 |
| Authority Score | 35 | 61.40 | 18.21 | 42 | 86 |
| Backlinks | 35 | 2,757,760.00 | 3,575,580.28 | 40,300 | 9,500,000 |
| Entropy | 35 | 0.93 | 0.20 | 0.51 | 1.25 |
| Variable | Organic Search | Referral | Website Visits | Organic Social | Time on Site | Pages per Visit | Organic Traffic | Bounce Rate | Authority Score | Direct | Paid Traffic | Paid Traffic Cost | Backlinks | Entropy | |
|---|---|---|---|---|---|---|---|---|---|---|---|---|---|---|---|
| Organic Search | 1.00 | 0.92 *** | 1.00 *** | 0.85 *** | 0.34 * | −0.20 | 0.95 *** | 0.32 | 0.77 *** | 0.94 *** | 0.91 *** | 0.91 *** | 0.95 *** | −0.05 | 0.94 *** |
| Referral | 0.92 *** | 1.00 | 0.98 *** | 0.87 *** | 0.28 | −0.26 | 0.92 *** | 0.37 * | 0.69 *** | 0.92 *** | 0.90 *** | 0.90 *** | 0.92 *** | 0.03 | 0.88 *** |
| Website Visits | 1.00 *** | 0.98 *** | 1.00 | 0.90 *** | 0.32 | −0.21 | 0.94 *** | 0.33 | 0.76 *** | 1.00 *** | 0.92 *** | 0.93 *** | 0.97 *** | −0.04 | 0.88 *** |
| Organic Social | 0.85 *** | 0.87 *** | 0.90 *** | 1.00 | 0.21 | −0.26 | 0.85 *** | 0.34 * | 0.64 *** | 0.90 *** | 0.84 *** | 0.87 *** | 0.85 *** | 0.08 | 0.93 *** |
| Time on Site | 0.34 * | 0.28 | 0.32 | 0.21 | 1.00 | 0.56 *** | 0.41 * | −0.51 ** | 0.52 ** | 0.33 | 0.37 * | 0.38 * | 0.43 ** | −0.12 | 0.59 *** |
| Pages per Visit | −0.20 | −0.26 | −0.21 | −0.26 | 0.56 *** | 1.00 | −0.08 | −0.42 * | 0.18 | −0.21 | −0.08 | −0.10 | −0.06 | −0.18 | 0.18 |
| Organic Traffic | 0.95 *** | 0.92 *** | 0.94 *** | 0.85 *** | 0.41 * | −0.08 | 1.00 | 0.14 | 0.91 *** | 0.94 *** | 0.97 *** | 0.97 *** | 0.99 *** | −0.12 | 0.94 *** |
| Bounce Rate | 0.32 | 0.37 * | 0.33 | 0.34 * | −0.51 ** | −0.42 * | 0.14 | 1.00 | −0.12 | 0.33 | 0.15 | 0.16 | 0.14 | 0.27 | 0.09 |
| Authority Score | 0.77 *** | 0.69 *** | 0.76 *** | 0.64 *** | 0.52 ** | 0.18 | 0.91 *** | −0.12 | 1.00 | 0.75 *** | 0.86 *** | 0.87 *** | 0.85 *** | −0.16 | 0.92 *** |
| Direct | 0.94 *** | 0.92 *** | 1.00 *** | 0.90 *** | 0.33 | −0.21 | 0.94 *** | 0.33 | 0.75 *** | 1.00 | 0.92 *** | 0.92 *** | 0.97 *** | −0.05 | 0.88 *** |
| Paid Traffic | 0.91 *** | 0.90 *** | 0.92 *** | 0.84 *** | 0.37 * | −0.08 | 0.97 *** | 0.15 | 0.86 *** | 0.92 *** | 1.00 | 0.99 *** | 0.96 *** | −0.10 | 0.93 *** |
| Paid Traffic Cost | 0.91 *** | 0.90 *** | 0.93 *** | 0.87 *** | 0.38 * | −0.10 | 0.97 *** | 0.16 | 0.87 *** | 0.92 *** | 0.99 *** | 1.00 | 0.96 *** | −0.11 | 0.93 *** |
| Backlinks | 0.95 *** | 0.92 *** | 0.97 *** | 0.85 *** | 0.43 ** | −0.06 | 0.99 *** | 0.14 | 0.85 *** | 0.97 *** | 0.96 *** | 0.96 *** | 1.00 | −0.07 | 0.94 *** |
| Entropy | −0.05 | 0.03 | −0.04 | 0.08 | −0.12 | −0.18 | −0.12 | 0.27 | −0.16 | −0.05 | −0.10 | −0.11 | −0.07 | 1.00 | −0.18 |
| 0.94 *** | 0.88 *** | 0.88 *** | 0.93 *** | 0.59 *** | 0.18 | 0.94 *** | 0.09 | 0.92 *** | 0.88 *** | 0.93 *** | 0.93 *** | 0.94 *** | −0.18 | 1.00 |
| Dependent Variable | Independent Variable | Coefficient | Std. Error | t | Sig. | R2 | Adj. R2 | N |
|---|---|---|---|---|---|---|---|---|
| Pages per Visit | Organic Search share | −5.173 | 1.64 | −3.16 | ** | 0.33 | 0.29 | 35 |
| Referral share | −7.061 | 2.84 | −2.49 | * | ||||
| Time on Site | Organic Search share | −8.842 | 2.12 | −4.17 | *** | 0.42 | 0.38 | 35 |
| Referral share | −6.967 | 3.10 | −2.25 | * | ||||
| Bounce Rate | Organic Search share | 12.531 | 3.86 | 3.25 | ** | 0.36 | 0.32 | 35 |
| Referral share | 9.387 | 4.12 | 2.28 | * |
| Dependent Variable | Independent Variable | Coefficient | Std. Error | t | Sig. | R2 | Adj. R2 | N |
|---|---|---|---|---|---|---|---|---|
| Website Visits | Paid Traffic Cost | 18.943 | 4.21 | 4.50 | *** | 0.88 | 0.87 | 35 |
| Paid Traffic | 45.762 | 9.74 | 4.70 | *** | ||||
| Pages per Visit | Paid Traffic Cost | −0.002 | 0.01 | −0.25 | ns | 0.03 | 0.00 | 35 |
| Paid Traffic | 0.004 | 0.01 | 0.41 | ns |
| Dependent Variable | Independent Variable | Coefficient | Std. Error | t | Sig. | R2 | Adj. R2 | N |
|---|---|---|---|---|---|---|---|---|
| Organic Traffic | Authority Score | 56,234.0 | 11,123.0 | 5.06 | *** | 0.92 | 0.91 | 35 |
| Backlinks | 1.832 | 0.22 | 8.34 | *** | ||||
| Bounce Rate | Authority Score | −0.112 | 0.09 | −1.22 | ns | 0.04 | 0.00 | 35 |
| Backlinks | 0.003 | 0.01 | 0.45 | ns |
| Dependent Variable | Independent Variable | Coefficient | Std. Error | t | Sig. | R2 | Adj. R2 | N |
|---|---|---|---|---|---|---|---|---|
| Time on Site | Email share | 22.318 | 6.78 | 3.29 | ** | 0.28 | 0.24 | 35 |
| Organic Social share | 1.452 | 2.14 | 0.68 | ns | ||||
| Pages per Visit | Email share | 12.912 | 2.87 | 4.50 | *** | 0.55 | 0.52 | 35 |
| Organic Social share | 2.135 | 1.21 | 1.76 | p < 0.10 |
| Dependent Variable | Independent Variable | Coefficient | Std. Error | t | Sig. | R2 | Adj. R2 | N |
|---|---|---|---|---|---|---|---|---|
| Website Visits | Entropy | −11,674,080 | 49,704,710 | −0.23 | ns | 0.002 | −0.029 | 35 |
| Bounce Rate | Entropy | —no valid variation detected |
Disclaimer/Publisher’s Note: The statements, opinions and data contained in all publications are solely those of the individual author(s) and contributor(s) and not of MDPI and/or the editor(s). MDPI and/or the editor(s) disclaim responsibility for any injury to people or property resulting from any ideas, methods, instructions or products referred to in the content. |
© 2025 by the authors. Licensee MDPI, Basel, Switzerland. This article is an open access article distributed under the terms and conditions of the Creative Commons Attribution (CC BY) license (https://creativecommons.org/licenses/by/4.0/).
Share and Cite
Reklitis, D.P.; Giannakopoulos, N.T.; Terzi, M.C.; Sakas, D.P.; Tountas, S.K.; Kanellos, N.; Reklitis, P. Digital Innovation Through Behavioural Analytics: Evidence from Acquisition Channels and Engagement in Global Cruise Firms. Information 2025, 16, 1012. https://doi.org/10.3390/info16111012
Reklitis DP, Giannakopoulos NT, Terzi MC, Sakas DP, Tountas SK, Kanellos N, Reklitis P. Digital Innovation Through Behavioural Analytics: Evidence from Acquisition Channels and Engagement in Global Cruise Firms. Information. 2025; 16(11):1012. https://doi.org/10.3390/info16111012
Chicago/Turabian StyleReklitis, Dimitrios P., Nikolaos T. Giannakopoulos, Marina C. Terzi, Damianos P. Sakas, Stylianos K. Tountas, Nikos Kanellos, and Panagiotis Reklitis. 2025. "Digital Innovation Through Behavioural Analytics: Evidence from Acquisition Channels and Engagement in Global Cruise Firms" Information 16, no. 11: 1012. https://doi.org/10.3390/info16111012
APA StyleReklitis, D. P., Giannakopoulos, N. T., Terzi, M. C., Sakas, D. P., Tountas, S. K., Kanellos, N., & Reklitis, P. (2025). Digital Innovation Through Behavioural Analytics: Evidence from Acquisition Channels and Engagement in Global Cruise Firms. Information, 16(11), 1012. https://doi.org/10.3390/info16111012

