Abstract
Recent findings demonstrate how database technology enhances the computation of formal verification tasks expressible in linear time logic for finite traces (LTLf). Human-readable declarative languages also help the common practitioner to express temporal constraints in a straightforward and accessible language. Notwithstanding the former, this technology is in its infancy, and therefore, few optimization algorithms are known for dealing with massive amounts of information audited from real systems. We, therefore, present four novel algorithms subsuming entire LTLf expressions while outperforming previous state-of-the-art implementations on top of KnoBAB, thus postulating the need for the corresponding, leading to the formulation of novel xtLTLf-derived algebraic operators.
1. Introduction
Grounded in formal methods, verified artificial intelligence [1] is concerned with defining, designing, and verifying systems represented mathematically. In context-free data, this focuses on a system to be verified through properties described in , while the model of the environment is neglected. In this regard, a formal verification task ascertains whether a given system complies with a specification . In the context of business process management, we can consider model [2], conformance [3], or compliance [4,5] checking as all synonyms of the former. Concerning temporal data, we focus our attention on systems described as logs, a collection of temporally ordered records (i.e., traces) of observed and completed (or aborted) labelled activities unravelling one possible run of a process. These real-world processes might include the auditing of malware in terms of system calls being invoked [6,7], records describing patients’ hospitalization procedures [8,9,10], as well as transactions between producers and retailers through a brokerage system [11]. As an example, each trace of a log can describe three distinct patient registration events at an emergency department (ED) [12] as given by the following log expressed in terms of the activity labels associated to our events:
In all these contexts, a formal verification task returns whether the current instances of the processes being collected as traces of a log abide by specific temporal quality requirements while determining which temporal constraints in are explicitly violated. Linear Temporal Logic over Finite traces (LTLf, Section 2.1) [13] can be used to express these temporal specifications . This logic is defined as linear since it assumes there is only one future possible event immediately following a given event in a sequence of events of interest. Such low-level semantics are then exploited to give the semantics of temporal templates, expressing occurring temporal correlations of interest; the present paper will discuss Declare [14].
The emerging area of temporal big data analytics, having data with time as a first-class citizen, makes the need to efficiently process the aforementioned tasks more pressing [15,16]. In such real scenarios, adopting relational databases provides an ideal setting for dealing with such temporal data [17]. This also includes the storage and querying of numerical time series [18], or considering different versions in time of entities and relationships represented in the relational model [19,20,21,22]. In recent years, researchers have demonstrated that time series can be represented as traces via time series segmentation by discretizing the variation in time series into discrete, observable, linear events that are distinct from each other, enabling identification of a system’s transitional states [23] as well as variations in the values associated with time series [24]. As a result of such segmentation, pattern searches can now be run using streamlined approaches. LTLf has now been applied to a widespread set of applications in real use case scenario contexts, such as controlling actuation upon sensing the environment in Industry 4.0 settings [25] as well as for the verification of smart contracts [26], for which this technology proved to be effective for verified artificial intelligence. The large adoption of such formal language pushes us to focus on this well-known and consolidated language [13,27].
In the context of formal specification tasks expressed in LTLf, recent research clearly remarked on the inadequacy of off-the-shelf row-based relational databases and SQL as a query language for expressing LTLf temporal constraints, as it clearly showed that a customized relational algebra for expressing formal specification (eXTended LTLf, xtLTLf [28]) and query plan minimizing the running of sub-queries [29] running on customized column-based storage (KnoBAB [28,30]) outperformed the previous solution. The main benefit of this approach is that any LTLf can be directly expressed in terms of xtLTLf, while high-level and human-readable temporal constraints expressed through temporal clauses can be directly specified in a semantics query at warm-up, thus allowing the support of any declarative temporal language (queryplan in Figure 1). As this line of research is in its infancy, very few algorithms for efficiently running xtLTLf are known. We now remark on two use cases addressed for the first time in the present paper.
Figure 1.
High-level representation of the KnoBAB query plan for running a for different specifications over a pre-loaded log within a columnar data-storage. After loading and indexing some traces stored as a log, we obtain a columnar data storage. At warm-up time, we can specify a queryplan which, at formal verification (model-check) time, converts a Declare specification into a xtLTLf query plan. As KnoBAB supports multiple queryplans at once, we can run the same formal verification task over different resulting query plans.
First, due to their formulation, some of the logical operators such as the timed until operator Until ( in LTLf) are associated with very high computational complexity, as it prescribes that the occurrence of at least one future event matching a condition per trace shall always be preceded by events matching . Under the occasions that this temporal post-condition shall be considered only after determining the occurrence of a first event , this could drastically reduce the amount of computation associated with the overall task. This is not taken into account in our previous implementation in KnoBAB, as it computed a union between the cases where does not occur and the ones where occurs, for which the evaluation of Until is extended to any event occurring of the trace. Walking in the footsteps of relational algebra, where -joins are expressed as the combination of natural joins [31] or cross-products [32] with -selections and join operations can be streamlined through cogrouping [33], we then propose similarly derived operators, combining the matching of a given pre-condition with the subsequent requirement that all the intermediate events should meet the alternance requirements dictated by Until. This paper will then contextualize the need for such derived operators for two specific Declare temporal templates, AltPrecedence and AltResponse, thus substantiating the interest in these temporal patterns from the current literature (Table 1).
Table 1.
Declare templates as exemplifying clauses. A (B) represents the activation (target) condition as an activity label.
Example 1.
requires that, when
A
occurs,
B
shall occur anytime in the future while no otherAshall occur in between. In xtLTLf, this can be expressed as □(¬A∨(A∧◯(¬A B))) (Original in Figure 1). On the other hand, the present paper shows that, by replacing A∧◯(¬A B) with a single operator, we obtain a significant reduction in running time by reducing the amount of result scans and data allocations. This is possible by providing a different (Proposed)
xtLTLf queryplan while implementing AndAltFuture as a novel operator. This difference is remarked in the two resulting query plans in Figure 1.
Second, temporal constraints requiring that events abiding by a specification shall always precede (or follow) other events abiding by are currently implemented in KnoBAB by equi-joining all the events matching with the ones matching , while the predicate is (or ), where i (or ) and j (or ) are, respectively, referring to the trace id and event id associated to a record coming from the first (or second) operand (see AndxtLTLf in Section 2.2.2). Even this implementation can be further boosted by minimizing the data table access to just one operator (e.g., ) for directly accessing the immediately preceding or following events within the relational database and checking whether they abide by . Even this second observation is motivated by the existence of ChainResponse and ChainPrecedence Declare templates, thus requiring the definition of novel derived operators for performance purposes.
To support our research claims, we extend (https://github.com/datagram-db/knobab/releases/tag/v2.3, Accessed on 3 January 2024) the current implementation of KnoBAB [34], a column-oriented main memory DBMS supporting formal verification and specification mining tasks by defining relational operations for temporal logic and customary mining algorithms. Despite this being a main memory engine, it currently supports intra-query parallelism and hybrid algorithms (Section 2.2.1). To our knowledge, no other database management system for temporal formal verification over LTLf provides these features, for which we choose to extend such a system. Furthermore, KnoBAB already proved to consistently outperform previous state-of-the-art algorithms on both tasks [35], thus including competing approaches interpreting the same temporal constraints over SQL and row-oriented relational database architecture [17]. After providing a brief literature overview on the landscape of formal verification for temporal data (Section 2), we outline the following main contributions leading to the our performance analysis result for our newly proposed xtLTLf operators:
- We formally introduce the novel temporal operators optimizing the aforementioned scenarios in the context of Declare as a declarative language for formal verification (Section 3).
- We describe the implementation of the aforementioned operators over the KnoBAB architecture leveraging columnar-oriented main memory storage (Section 4).
- We present experimental results to evaluate the effectiveness of such newly introduced operators in the context of formal verification in Declare (Section 5).
2. Related Works
2.1. Languages for Temporal Formal Specifications
2.1.1. LTLf
Taking the possible worlds as finite traces, LTLf is a well-established extension of modal logic with modalities referring to time; it assumes that all the events of interest are fully observable and therefore deterministic and that, for each occurring event, they should be immediately followed by at most one event. This entails that the i-th trace in a log can be considered as a sequence of n totally ordered events , where each event is associated to a single activity label [3]. When events are associated to a payload represented as a key-value association , we refer to such logs as dataful and as dataless otherwise. In the eventuality of the former, such payloads can be represented as finite functions , where K is the set of the keys and V is the overall set of non-NULL values. Concerning our datasets of interest, we only consider ones where trace events are not associated with a data payload, and therefore even such logs can be considered as dataless. On the other hand, with reference to Equation (1), event payloads can store patient information, thus registering the recorded medical condition being observed [28]; in the context of good brokerage, such payload might contain the relevant contract information between the supplier and the customer which are required to be respected (e.g., delivery times), as well as the location of the goods, their number, and quality [11].
LTLf semantics is usually defined in terms of First-Order Logic [36]; more informally, Next () requires to occur from the subsequent temporal step, Globally () that always holds from the current instant of time, Future () that must eventually hold, and Until that must hold until the first occurrence of does. Weak Until is a derived operator for , while the logical implication can be rewritten as . Please observe that LTLf does not provide full support for handing data correlation conditions between operands of binary operations, as it only supports the declaration of data conditions that can be applied to one single event [3]. To the best of our knowledge, xtLTLf (Section 2.2.2) is the only extension of this language supporting data payload correlation across events matched by both arguments of the binary operator, thus providing a complete dataful support.
2.1.2. Declare
Declare [14,37] provides a human-readable declarative language on top of LTLf (first column of Table 1), where each template is associated with a specific LTLf formula (third column), which can be instantiated with arbitrary activity labels. We refer to the instantiation of such templates via activity labels in a finite set as (declarative) clauses. Declare circumscribes the set of all the possible behaviors expressible in LTLf to the ones of interest over a set of possible ; Table 1 recalls some of the most used templates while remarking on the four templates of interest optimized in the present paper.
At the time of writing, Declare expresses specifications as a set of clauses being usually associated with an LTLf semantics ; in this context, a trace satisfies a Declare specification if it jointly satisfies all the clauses associated to the specification. If these clauses can be characterized by a precondition which, if satisfied by some event, imposes the occurrence of a post-condition, then we refer to these as activation and target conditions, respectively. Please observe that post-conditions are considered as such merely in terms of causal implication (i.e., ⇒) and not necessarily in temporal terms, e.g., while ChainResponse requires the target to immediately follow any existing activation, ChainPrecedence requires that the targeted event shall instead precede the activation. Please consider that Declare clauses do not necessarily reflect association rules, as the latter do not provide temporal constraints correlating the activation of activation and target conditions. In this paper, we focus on Declare clauses only predicating over the events’ activity labels, which are then referred to as dataless; on the other hand, dataful Declare clauses can express data payload conditions over both activation and target conditions, as well as representing payload correlation conditions between activating and targeted conditions [28]. Thus, both clauses and logs are referred to dataful otherwise.
Despite the fact that the four clauses of interest in Table 1 might appear to express similar behavior, they express substantially different concepts. Table 2 provides four traces distinguishing the behavior of such four templates, the validity of which can be easily controlled by transforming the associated LTLf formulæ into a DFA (http://ltlf2dfa.diag.uniroma1.it/dfa, Accessed on 3 January 2024).
Table 2.
Traces from the Log in Figure 1 distinguishing the temporal behavior of the Declare clauses of interest in this paper, where each trace is expressed in terms of their associated activity labels, . ✓(and ✗) remarks a trace satisfying (violating) a corresponding clause.
2.2. KnoBAB and xtLTLf
We now summarize our previous contributions on temporal formal verification tasks run over our proposed main memory columnar database, KnoBAB.
2.2.1. KnoBAB
KnoBAB [28,34] is a column database store tailored for both loading dataful logs being represented in XES [38] and dataless ones described as a tab-separated file. This outperformed the previous state of the art in terms of both specification mining [39] and formal verification [35] tasks on tailored non-database solutions.
Logical and Physical Model
The resulting column-based relational database is then represented through some tables having fixed schema independently from its data representation. As the present paper focuses on dataless datasets, we describe in this paper just two of those; Table 3 describes the relational representation of the log presented in Equation (1). The ActivityTable (Table 3a) lists each trace event of a given log, where records are sorted in ascending order for activity label, trace id, and event id. Cells under the Prev (and Next) column store a pointer to the record representing the immediately preceding (and following) event in the same trace if any. After mapping each existing activity label in the log to a unique natural number , we can define a primary dense and clustered index that can be accessed in time as it is an array of offset pointers. We also define a secondary index structured as a block of two records, associating each trace in the log to the first and last trace event; given that all the traces are associated with a unique natural number, this index can also be accessed on time by trace id. The CountTable (Table 3b), also created at loading time like the previous, merely lists the number of occurrences of each activity label per trace and can be used to determine the absence or presence of an event with a given activity label per trace.
Table 3.
KnoBAB representation for the dataless log in Equation (1). (a) ActivityTable; (b) CountTable.
Formal Verification Tasks over Query Plans
In spite of the ActivityTable also appearing in SQLMiner’s log representation [17] (except for the Prev and Next columns), this still used an off-the-shelf relational database engine and a translation of Declare specification into SQL for carrying out formal verification tasks over a dataless log. KnoBAB showed a new pathway for enhancing temporal queries over customary main memory relational database through the combined provision of both ad hoc relational operators expressing LTLf over relational tables (xtLTLf) and the definition of a query plan represented as a rooted DAG where shared subqueries are computed only once [29]. This was sensibly different from competing approaches [40,41] also relying on main memory engines where, instead, the query plan associated to a formal verification task is always expressed in terms of trees, thus not allowing the detection of shared sub-expressions to be merged to avoid wasteful recomputations. As vertices for a DAG can be sorted topologically, we can obtain for free the scheduling order in which the operators must be executed and, by associating each node a maximum distance value from the root, we can safely run in parallel all the operators laying at the same depth level, as all the previously called operators will pertain their information in an intermediate cache, thus achieving intraquery parallelism as a free meal [28]. This parallelization approach greatly differs from straightforward parallelization algorithms known in the Business Process Management area, where they simply run each declarative clause occurring in the specification in a separate thread [35]. In addition to the former, KnoBAB guarantees efficient access to the tables through the provision of specific indexing data structures such as primary indices for directly accessing the blocks of the table concerning a specific activity label as well as the provision of secondary indices mapping a specific trace id i and event id j for into a table offset. KnoBAB outperformed SQLMiner run over PostgreSQL within two to five orders of magnitude, thus demonstrating the inadequacy of using customary relational operators for computing temporal tasks over relational databases.
KnoBAB enables the specification of user-defined template names in terms of xtLTLf operators through a queryplan “semanticsname” {…} query, thus allowing the co-presence of multiple possible definitions of declarative clauses. Then, we can select the most appropriate semantics while carrying out the formal verification task by specifying such a name, e.g., model-check …plan “semanticsname” … This then enables us in this paper to test multiple possible specifications of Declare clauses without necessarily recompiling the database’s source code.
Walking in the footsteps of the BAT algebra for columnar databases [42], each of the novel temporal operands for xtLTLf (Section 2.2.2) not requiring direct data access to the aforementioned KnoBAB tables both accepts as an input and returns a uniform data representation with schema:
where the first (and second) argument refers to the trace (and event) id matching a specific temporal condition of choice, while witnesses represents the relevant activated or targeted conditions occurring from the position EventId in a given TraceId trace onwards via a tagged extension of semiring provenance [43]; such tags mainly refer to the distinction between activated and targeted events, respectively A and T. Dataful matching occurring between witnessed activated and targeted events certified via a binary predicate are represented as . Matches can be represented as semiring products, while the listing of all the activated, targeted, and matched events can be represented as a semiring sum; the latter is simply rendered as a list. As the table is sorted by trace id and event id by design for any given activity label, such intermediate representation also returns trace entities sorted by ascending trace id and event id.
2.2.2. xtLTLf
We now discuss some xtLTLf operators of relevance for the current paper. By using KnoBAB as a computational model, we can also discuss the time complexity associated with such operators. While LTLf operators can mainly be used to establish a yes/no question about whether a single trace abides by some temporal specification, an xtLTLf expression returns all the traces in the log conforming to a temporal specification by composing the trace events as records through temporal operations. Furthermore, the latter can also be directly exploited to express confidence, maximum satisfiability, and support metrics similar to association rules. So to better support future explainable temporal AI tasks, xtLTLf also carries out information concerning activated/targeted events justifying the algorithmics’ outcome, while the cache associated to the leaves can be analyzed so as to check which events were activated/targeted without necessarily satisfying the temporal requirements computed through xtLTLf.
Table Access (“Leaf”) Operators
We determine all the events being associated with a specific activity label through the ActivityLabel’s primary block index and express the outcome of this retrieval in terms of intermediate representation:
where provides the optional tags for remarking the matching event of interest as being part of an activation/target condition. By associating each activity label with a unique natural number , we can now seek the presence of events with label in time and retrieve all the events associated to such a label. If, on the other hand, we are interested in events matching a specific data predicate q, we define the following operator:
Despite the fact that this might appear as a simple selection operation, the atomization of a predicate into mutually exclusive data conditions required for both minimizing the data access to the tables holding the key-value payload associations within the dataful events and merging multiple equivalent sub-expressions into one makes both its associated query plan and its actual formal definition quite convoluted. As describing this is not the major purpose of the paper, we refer to [28] for any further information. By accessing the secondary index of the ActivityTable, we can collect the last events for each trace in linear time over the log’s size using the following operator:
Unary Operators
We discuss the main difference between operators’ execution in xtLTLf from corresponding ones in LTLf; the latter computes semantics from the first occurring operator appearing in the formula towards the leaves, whereas the former assumes intermediate results coming from the leaves. In this, the downstream operator is completely agnostic about the semantics associated with the upstream operator, so it must combine the intermediate results appropriately. Therefore, the Next (timed) xtLTLf unary operator returns all the events witnessing the satisfaction of an activation, target, or correlation condition being returned by a downstream operator as an intermediate result , while will simply increment the internal time counter over , thus determining the time from which to assess the specification in .
Due to this structural discrepancy in the order of computation, xtLTLf must distinguish timed operators (assessing the occurrence of a specification sub-expression anytime in the trace) from the untimed operators (determining the properties holding from the beginning of the trace). The aforementioned xtLTLf operator can therefore be expressed as follows:
This operator can then be computed in linear time over the size of the input, i.e., . On the other hand, the timed negation operator subtracts from the universal relation, being all the events occurring in any trace, the ActivityTables events appearing in while still guaranteeing the return of the records in ascending order for trace and event id. Given , the maximum trace length, this operator takes at most time by assuming . The globally timed operator prescribes to return a if also all the subsequent events within the same trace are in , and can be computed in time by starting scanning the events from the last occurring in the trace.
Binary Operators
We now stress further differences between xtLTLf and LTLf in terms of binary operators. While xtLTLf can express dataful matching conditions between activation and target conditions, LTLf can only express properties associated with one single event at a time through atoms. In these regards, timed logical conjunction () extending the logical conjunction in LTLf with a binary match condition over the event’s payloads can be expressed as a nested -join returning the records from both operands having the same trace id and event id, while all the pairs of witnessed events satisfying an activation and target conditions from the matching record shall satisfy the matching condition when provided; the matching is then registered with . Timed logical disjunction () can be similarly expressed through a full outer -join. Given that the ActivityTable is pre-sorted at indexing time, we can efficiently implement such algorithms through sorted joins. As these can be computed with a joint linear scan of both operands, both operators have at most a time complexity in . The timed until operator () for is defined similarly to the corresponding LTLf operator; it returns all the events within a given log trace in the second operand and the events from the first operand if all the immediately following events until the first occurrence of an event in the second operand also belong to the first:
This can be computed in time in its worst-case scenario. The in-depth discussion concerning the formal definition of such an operator when matching a non-trivially true matching condition is deferred due to its technicalities and can be retrieved from the original paper [28].
2.3. Algebraic Specification for Queries
We now compare
xtLTLf with other long-standing definitions of temporal operators regarding database temporal representations.
Current research [17] outlined the possibility of loading logs composed of multiple traces within row-based relational databases while providing a direct translation of dataless Declare-driven formal verification and specification mining tasks into SQL [44]. Our previous research remarked on the inefficiency of directly expressing temporal formal verification tasks on top of off-the-shelf relational databases, thus motivating the definition of a novel query plan specification directly exploiting temporal algebra operators, xtLTLf [28]. As SQL queries are translated into query plans where each operator expresses an implementation of a relational algebra operator, this demonstrates the overall inefficiency of exploiting traditional relational algebra for representing temporal queries. Please observe that LTLf temporal requirements cannot be expressed in traditional relational algebra without aggregation operators while not naturally assuming a columnar database storage. Therefore, traditional relational algebra cannot be directly exploited to predicate about the necessity or the eventuality of a given event to occur without any further extension.
For all these considerations, our proposed algebra more resembles BAT from MonetDB [42,45], where the intermediate result output for each operator records the table’s record being selected, without necessarily carrying out values stored within the specific row. Given the specificity of our scenario, our intermediate results carry the trace id and the event id as unique record identifiers. We further had to extend this representation to possibly carry out the activated and targeted events as witnesses of the computation’s correctness, providing explainable justifications for the computation, and correctly expressing predicates over dataful logs. xtLTLf then provides a required extension of such a representation for new computation needs.
Concerning Allen’s algebra for temporal intervals [46], we can first see that such algebra considers events as temporal intervals that might also be overlapping, while xtLTLf inherits the same assumptions from LTLf and considers events as pointwise and non-overlapping activities. Secondly, while the former only supports conditions on the activity labels, xtLTLf also supports predicating on the conditions for the payload values (expressed as key-value pairs) associated with the specific events [28], as well as supporting binary predicates to be tested across activated and targeted conditions similarly to -joins. Recent extensions of Allen’s algebra aimed at supporting single data conditions over single events [40]. Thirdly, such algebra only expresses temporal correlations between two single events, albeit expressed with a duration and a termination time, and can predicate natively neither the eventuality nor the necessity of some properties to occur in a trace (e.g., globally and future) from a given instant in time.
Concerning the temporal relational algebra [22] defined over temporal relational databases [47] (also referred to as temporal modules [21]), it mainly proposes timestamp transformation operations currently supported by Oracle Cloud [48] as well as windowing functions, thus retaining the entities and relationships occurring within a window time frame. This allows the slicing of a temporal module into a finite sequence of finite database states, where such a snapshot sequence can be ascribed to a single trace and each event can be mapped to a single database state [49]. Despite time being considered as a first citizen within these operators, no operator of such an algebra temporally correlates entities at different timestamps while also requiring the eventuality or the necessity for a specific condition within a given lapse of time. An orthogonal contemporary approach attempted at mapping LTLf to TSQL2 [50], a de facto extension of SQL for querying temporal modules [51]. Differently from the approach mentioned above, this preserved LTLf temporal operators such as Until (); as the authors preceded the definition of LTLf extensions considering data payload conditions [3,28], these are not considered in their transformation. Furthermore, as these temporal modules represent one single distinct trace as a result of temporal snapshotting of a single database into multiple distinct states, they cannot be effectively used to run a single formal verification task over numerous traces as per our proposed approach, as this would require running a single TSQL2 query over multiple databases, one for each log trace. In fact, our solution can assess multiple traces simultaneously by leveraging an extended relational representation to the one initially described in [17].
3. Proposed Derived Operators
Similarly to the definition of the derived operators in relational algebra, we now provide the definition of our proposed operators extending xtLTLf by expressing those in terms of the ones already known in such a temporal algebra. These are then defined in Equations (3), (5), (7) and (9).
3.1. AndAltFuture
We want this operator to seek all the instants of time when an event activates the Declare clause while the target follows anytime in the future, while requiring that no further activation occurs between these two events. This operator aims to optimize the AltResponse(A,B) clause and can be then expressed in terms of basic xtLTLf operators as follows:
By implementing this operator from scratch, we want to avoid running the costly computation of the timed Until unless the activation condition associated with the intermediate result returned as is satisfied. Furthermore, we want to avoid explicitly computing the negation of the activation condition and express this by explicitly checking that, given any activating event in in with an immediately following targeting one in with , no other events in with shall occur. We can then express the aforementioned Declare clause in terms of the recently defined operator as follows:
where and under the dataless assumption.
Example 2.
With reference to the log in Equation (1), (redirect, examine) requires that a patient redirected to a given department shall be examined before being further redirected. This constraint satisfies all the traces within that equation. By considering only the events from the second trace, in our previous xtLTLf solution we have intermediate results (redirect) =
for the activation condition and (examine) =
for the target one. The timed Until returns:
as each event in xtLTLf can only witness a future event, and returns:
Hence, returns just , while witnessing that, from that time onwards, both activation and target condition will occur from the same event 1. The rest of the events will be returned via , which are finally grouped-by temporally via untimed Globally. Before running it, we previously ran the timed Until operator independently from the occurrence of in a trace.
On the other hand, our new AndAltFuture operator directly returns f after taking as an argument ρ and ; this scans the events in occurring after each occurrence of events in ρ while immediately discarding the events in ρ containing another redirect event in between. This reduces the memory footprint and the number of scans from our previous query plan.
3.2. AndAltWFuture
Reflecting upon the definition of AltPrecedence(A,B) which this operator is aiming to optimize, we can observe that implementing an ad hoc operator AndAltWFuture for this might provide even greater optimization, as we might as well avoid checking the global absence of A-labelled events if no B occurs in a trace after an A. Therefore, this operator acts as an extension of the former by either requiring an alternate occurrence between activation and target condition, as previously, or requiring the absence of any future activation if no targeting event is expected to occur. can be then defined as follows:
We can now express AltPrecedence(A,B) by replacing, in the original xtLTLf Declare semantics, the previous equation with the currently introduced operator, thus obtaining:
3.3. AndNext
This operator aims to optimize the ChainResponse operator by reducing the data access by accessing the ActivityTable just for the activation condition. This makes this operator intrinsically unary, as the target condition, both in terms of data predicate and activity label, has to be provided as additional arguments for the operator alongside the correlation condition for dataful scenarios. To check whether the target condition occurs immediately after the operand’s current event, we need to check whether it is associated with an activity table and whether it satisfies a predicate q. This can be then expressed in xtLTLf in terms of the following derived operator:
At this stage, we can then express the semantics associated to the Declare template ChainResponse(A,B) as follows:
where in a dataless scenario.
3.4. NextAnd
The second operator aims at optimizing ChainPrecedence(A,B) similarly to the previous one, but with a swapped temporal occurrence. Please observe that negating the fact that an event shall occur after another can be expressed in terms of all the events occurring at the end of a trace and all of the events not matching the activation condition a when occurring in a non-first position. So, ChainPrecedence is usually represented as:
where and in a dataless scenario. After compactly representing the subexpression in the second row of the previous definition, as follows:
we aim to optimize this last declarative clause by using this last introduced operator by rewriting the semantics associated to ChainPrecedence(A,B) as such:
Please observe that the intended optimization induced by these operators can be considered as non-trivial, as these do not directly subsume the entire xtLTLf semantics associated to a template, rather than optimizing a specific part.
4. Algorithmic Implementation
We discuss the implementation of the previously introduced operators outlined in Algorithm 1, thus justifying their definition as novel derived operators. For each of them, we briefly discuss their computational complexity and compare it to the expected theoretical speed-up not considering the cost of memory allocation and page-faults.
| Algorithm 1 Newly proposed xtLTLf operators. |
| 1: function AndAltFuture() 2: for all s.t. do 3: if s.t. then 4: if and and 5: 6: if then yield 7: else yield 8: end if 9: end if 10: end for 11: function AndAltWFuture() 12: for all do 13: for all s.t. do 14: if s.t. then 15: if continue; 16: if and and 17: 18: if then yield 19: else yield 20: end if 21: end if 22: end for 23: if then 24: yield 25: end if 26: end for 27: function AndNext() 28: if then return ∅ 29: for all s.t. and do 30: 31: if 32: if and then continue 33: else 34: end if 35: if then yield 36: end for 37: function NextAnd() 38: for all s.t. and do 39: 40: if 41: if and then continue 42: else 43: end if 44: if then yield 45: end for |
4.1. AndAltFuture
As all the intermediate results in the KnoBAB pipeline are always sorted by ascending trace and event id, we can scan all the events within the same trace where the targets follow the activations in linear time similarly to the timed and operator, despite this being expressed in pseudocode with a cross product for simplifying the overall notation (Line 2). We then consider all the events in the same trace having no immediate subsequent event in prior to the occurrence of the next event in ; this can be simply checked in by determining that the next record appearing in after has an event id less than k (Line 3). If there is a non-trivially true predicate, we also impose that at least one activation occurring after or at and at least one target occurring after or at matches with (Line 6). Otherwise, we compute no match, and we straightforwardly collect the activation and target conditions from both events (Line 7). In the code, we explicitly injected an early-stopping condition avoiding testing subsequent events in within the same trace as soon as we detect one event in , invalidating the condition at Line 3. By considering the time complexities for each xtLTLf operator in Section 2.3, we can argue that the time complexity associated with computing this operator as in the previous section without the aforementioned computation is totalled to , where . On the other hand, by assuming to always scan each trace quadratically of length for each event in , we obtain the time complexity of for the derived operator when implemented as per the previous discussion. If we assume that and are associated with a single activity label, as per the scenario in Declare, where the number of events and the activity labels are uniformly distributed such that for each , we can derive that the provided algorithm always provides a positive speed-up if compared to the original formulation in Equation (3).
4.2. AndAltWFuture
This algorithm works similarly to the previous, where we relax the until condition with a weak until, thus also admitting an absence of activation conditions after the first occurrence (of an activation) if no further target events are present (Line 23). Even in this scenario, we have a similar time complexity to the previous, while the original formulation in Equation (5) introduced an additional overhead to the previous by computing an additional timed disjunction and the global computation over the negation of the possibly activating events. Therefore, we expect an even greater speed up for this latest operator.
4.3. AndNext
As previously observed in the formal definition of this operator, we transformed this into an unary operator where, instead of retrieving two sets of events associated with two activity labels, we just scan one of the two. Before starting any form of scan, we immediately return if, after a scan of the CountTable, we detect that no event is associated with the target condition (Line 28). Otherwise, we consider only events both coming from traces containing an event with activity label B and not being at the end of the trace, and for which the immediately next event is associated to an activity label B as a target condition (, Line 29); we implementationally further enhanced this by completely skipping any test whether the event resides in a trace where no B event resides. If , then we also have to guarantee that each activation condition appearing in should match with the target event at time (Line 33) and, upon provision of q, the target condition should also match with this (Line 35). The computational complexity of this operator is in and, if we are taking into account the accessing time to the immediately following event, if any, we obtain a time in . If compared to the time complexity of Equation (7) of , we then obtain a positive speed up, i.e., , for and .
4.4. NextAnd
This other operator works similarly to the previous, where we are checking instead the immediately preceding event instead of looking at the immediately following one, thus requiring that each element of interest in shall never be at the beginning of the trace. The same considerations over speed-up and time complexity follow from the previous algorithm.
After associating each of the novel operators in the aforementioned algorithmic implementation, Equations (4), (6), (8) and (10) will then provide the semantics generating the query plan as Proposed in this current paper, while the direct translation of the LTLf expressions in Table 1 to the operators outlined in Section 2.2.2 provides the Original formulation of the query plan also in [28], where none of the previous algorithms are used.
5. Empirical Evaluation
Given that the aim of our derived operators is to enhance formal verification tasks conducted over temporal clauses expressed in Declare, we compare the different running times of carrying out formal verification tasks over our previous set of operators as well as by replacing those with our currently proposed derived ones, while focusing on benchmarking formal verification tasks over specifications written in Declare. We discard from our evaluation the benchmark of the single operator, as this is insufficient to remark on their adequacy in enhancing formal verification tasks in Declare. Thus, we compare different query plans being generated from different Declare semantics being specified at runtime through the queryplan “name” {…} query. With this, achieving a positive speed-up in Declare formal verification tasks as in our previous work [28] by using the proposed operators will tell us that, under specific data conditions, the original xtLTLf
query plan associated with the declarative clauses available in KnoBAB constitutes the major computational bottleneck. Having a negligible speed-up will likely remark other components in the query plan dominating the overall running time, while having a negative speed-up only on specific data conditions will motivate some future work on hybrid algorithms, thus allowing us to choose between different algorithms for specific temporal operators depending on the data distribution within the loaded dataset [52].
Our benchmarks exploited a Dell Mobile Precision Workstation 5760 on Ubuntu 22.04: Intel® Xeon(R) W-11955M CPU @ 2.60 GHz × 16, 64 GB DDR4 3200 MHz RAM. We took two real-world datasets and a synthetic one for our experiments, both being dataless. The first real dataset (Hospital) monitors the patient flow and different medical procedures to which the patients in question were subjected; each trace tracks a single patient from his hospitalization to dismissal, and each activity label describes the name associated to such phases [10]. The second one (Cybersecurity) provides the auditing step of different malware, where each trace represents a single malware being audited, while each activity label identifies one single system call event being audited as invoked by the malware [6,7]. The synthetic dataset was derived from temporal graphs generated by FoodBroker [11] while describing trades and shipments of goods mediated by a brokerage company. For each GraphTransaction, we sort all the vertices describing an event occurring at a specific date, thus also including creation timestamps. For vertices describing a ticket being filed by a client raising a complaint, we return an activity label associated with the type of complaint (problem); otherwise, we keep the original vertex label. We then collect the set of temporally ordered activity labels and represent those as log traces. The updated FoodBroker codebase for generating event logs is also available online (https://github.com/jackbergus/foodbroker/, Accessed on 3 January 2024).
For each dataset, we then obtain the sampled trace length distribution, and we sample sub-logs of various sizes while trying to abide by the trace distribution from the original dataset, notwithstanding their skewness. For the first and third (or second) datasets, we sample the logs so that their sizes are powers of ten (or nine) while always guaranteeing that each sub-log (or ) is always a subset of any larger sub-log. We also keep the original log as the last sample dataset. This random sampling mechanism is required to better assess the scalability of the proposed operator’s implementation while guaranteeing an approximation of the original trace length distribution across the board to guarantee similar running time conditions. Figure 2 reports the sample PDF trace length for each of the sampled logs alongside the size of each sample. The FoodBroker synthetic dataset contains the shorter traces (Figure 2a); all the sampled logs except the first one have a maximum trace length of 24, while the first sublog has a maximum trace length of 21. On the other hand, the first two smaller log samples of the real-world Hospital dataset (Figure 2b) have traces with a maximum length of 1200, while the remaining two have a maximum trace length of 1814. The Cybersecurity dataset (Figure 2c) contains the longest traces, having a maximum trace length of for the smaller two sub-logs and of for the remaining ones. This information will soon become relevant while conducting our following analysis of the algorithmic speed-ups given by our proposed derived operators while performing formal verification over the models described in the following paragraph.
Figure 2.
Sampled probability density function associated with the length of the traces for each sub-log extracted from each original dataset: (a) FoodBroker, (b) Hospital, and (c) Cybersecurity.
Given that we aim to test these newly introduced xtLTLf operators in the context of a Declare-based formal verification task when xtLTLf is used to represent its semantics, we generate four specifications for each declarative clause of interest c, AltPrecedence, AltResponse, ChainPrecedence, and ChainResponse, where each contains exactly i binary clauses determined by instantiating an activity label among the most frequently occurring ones within the smaller sub-log. We then use the same specifications generated for the smaller log and the greater sub logs, thus comparing the running times for each sub-log over the same Declare specifications. We then use the specifications to conduct a formal verification task via a model-check… query. The resulting logs and specifications are freely available online (https://osf.io/6y8cv/, Accessed on 3 January 2024).
Last, as our previous work already showed that computing such queries on top of relational databases such as PostgreSQL with shorter traces leads to a greater running time than running similar queries over KnoBAB, we just focus on comparing the results from our previous implementation with the ones after applying the changes discussed in this paper.
With reference to Figure 3, AndAlt✳ operators can be deemed responsible for evidently outperforming the proposed query plan if compared to the one from the previous implementation, as they lead to an associated speed-up always strictly greater than one. Our previous definition of the Declare operators is greatly affected by the number of clauses within the model, which becomes even more apparent when the maximum and average trace length per sampled log increases. On the other hand, running our former formal verification query plan for AndAlt✳ clauses over the Cybersecurity dataset always took more than one 1H ( ms), thus demonstrating an increased running time for the original query plan strategy when longer traces occur. We stopped recording the running time, as the overhead introduced by the intermediate operators for carrying out the actual matching between activation and target conditions was strikingly evident, while our proposed operators could instead carry out the formal verification task within one minute. Although no out-of-memory exceptions were observed before the timeout, these were clearly observed in larger specifications and log sizes, thus clearly demonstrating KnoBAB’s limits as a main memory engine by not maintaining the query intermediate results in secondary memory. Despite the code allowing the clearing of intermediate caches to be run to free extra memory, this only partially addresses the out-of-memory failure for larger specifications. Overall, this demonstrates that this proposed extension for AndAlt✳ operators outperforms our previous query plan definition, as also expected from our previous analysis concerning the overall theoretical time complexity.

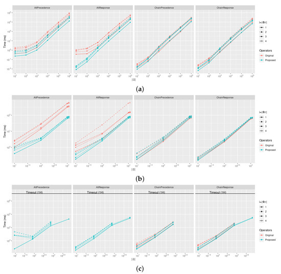
Figure 3.
Comparing the proposed implementation of the derived operators with the previous implementation given in KnoBAB. (a) FoodBroker dataset; (b) Hospital dataset; (c) Cybersecurity dataset. (d) Datasets’ speed-up: (left) FoodBroker, (center) Hospital, and (right) Cybersecurity.
Chain✳ operators provide a more convoluted scenario to be examined carefully. First, we observe a clear trend correlating datasets with longer traces with an overall increase in speed-up. In fact, the Hospital datasets exhibit more speed-ups compared to the FoodBroker one, where the recently proposed operators yield comparable or underperforming running times. Notwithstanding the former, we can clearly observe that the recently proposed operators consistently outperform our previous solution over the Cybersecurity dataset. Differently from our previous set-up, we can now observe that the original formulation of the declarative clauses without the currently presented operators now runs out of memory before hitting the 1H timeout for the larger sample, being the full dataset, while our solution still manages to carry out some temporal formal verification tasks over specifications containing fewer clauses. Last, we consistently observe that such operators still provide greater speed-ups over datasets with smaller log sizes, thus providing theoretical validation to our speed-up equations for such operators. This postulates the need for such operators while dealing with massive datasets, while advocating the usage of hybrid algorithms for switching between the previous solution and the currently proposed one.
6. Conclusions and Future Works
This paper proposes an extension to our previous work on KnoBAB by optimizing our previously proposed query plan by introducing novel algebraic temporal operators expressing formal verification tasks on column database storages in main memory. As a consequence, we extended our temporal algebra xtLTLf with four novel operators, subsuming entire xtLTLf expressions which before could only be represented in terms of combinations of costly basic operators. Preliminary results over such operators provide non-negligible speed-up to the formal verification tasks over realistic datasets, where several events are audited and collected in a larger collection of traces.
Despite these experiments demonstrating the efficiency of carrying out formal verification computations on columnar databases implemented as a main memory engine, the consistent out-of-memory faults that we experienced over larger collections of data containing more events (i.e., longer traces) encourage us to store the intermediate query results in secondary memory, as customary for off-the-shelf databases such as PostgreSQL. We see this as the last required step for fully supporting real data alongside the orthogonal operator optimization, as discussed in the present paper. Despite the fact that putting this solution in place will come at the detriment of overall performance, this will guarantee the carriage of the entire formal verification computation. This drawback might be alleviated by determining at runtime whether to represent intermediate results in primary or secondary memory depending on the log and trace size. Another possible way to alleviate such a problem is to re-implement the overall pipeline using a pull-based strategy [33] when operations are not run concurrently. Another way to challenge this primary memory limitation would be migrating the proposed architecture over Oracle Cloud [48], which already supports traditional time-transactional database operations compatible with the aforementioned temporal modules. While doing so, we will be walking in the footsteps of previous literature [50] by attempting to rewrite dataful xtLTLf specifications into the supported temporal extension of SQL.
The current experiment noted the optimality of the proposed operators when dealing with datasets with longer traces (i.e., greater ). Future work will consider the possibility of defining hybrid algorithms [27] over the operators, optimizing Chain✳ clauses by empirically determining the table size threshold over which we prefer the derived operators over the original. As an orthogonal approach, we will also define the “dual” operators for AndNext and NextAnd so as to start scanning from the target condition while moving backwards towards any existing activation condition when the number of targets is deemed to be fewer than the activations. Our future works will also aim to further benchmark these operators in the context of dataful logs, where events are also associated with a payload expressed as a key-value pair as in customary semi-structured data formats. These works will then outline the overhead required to compute a correlation condition between activation and target event.
Previous research on temporal modules demonstrated the possibility of expressing LTLf specifications when traces have multiple events occurring at one specific point in time [50]; the current theoretical literature on conformance checking suggests that this is actually possible by representing each single event as a conjunction of multiple mutually exclusive events, thus obtaining the characterization of composite events. However, realizing this in practice for events with distinct labels would require a drastic overhaul of KnoBAB’s relational representation, as the current architecture is focused on the linear representation of each individual trace. Future work will therefore contemplate the possibility of extending the current relational model with an object-oriented one [53], better supporting the nesting and composition of objects, a feature also required for coalescing multiple events in a single instant in time.
Finally, an interesting outcome of these observations on relational databases would be the application of such an algebra in the context of temporal graphs [54], thus enabling the efficient temporal verification under this different data representation. Despite the recent attempt at representing logs as temporal graphs [55], the aforementioned is still a desideratum, as no graph temporal operator for expressing formal verification tasks is currently known. Differently from the previously pursued approach [56], this will then require us to define tailored temporal operators for graph query languages similarly to xtLTLf.
Funding
This research received no external funding.
Institutional Review Board Statement
Not applicable.
Informed Consent Statement
Not applicable.
Data Availability Statement
The dataset is available at https://osf.io/6y8cv/, accessed on 3 January 2024.
Conflicts of Interest
The author declares no conflict of interest.
References
- Seshia, S.A.; Sadigh, D.; Sastry, S.S. Toward verified artificial intelligence. Commun. ACM 2022, 65, 46–55. [Google Scholar] [CrossRef]
- Baier, C.; Katoen, J. Principles of Model Checking; MIT Press: Cambridge, MA, USA, 2008. [Google Scholar]
- Bergami, G.; Maggi, F.M.; Marrella, A.; Montali, M. Aligning Data-Aware Declarative Process Models and Event Logs. In Proceedings of the Business Process Management-19th International Conference, BPM 2021, Rome, Italy, 6–10 September 2021; Lecture Notes in Computer, Science. Polyvyanyy, A., Wynn, M.T., Looy, A.V., Reichert, M., Eds.; Springer: Berlin/Heidelberg, Germany, 2021; Volume 12875, pp. 235–251. [Google Scholar]
- Awad, A.; Decker, G.; Weske, M. Efficient Compliance Checking Using BPMN-Q and Temporal Logic. In Proceedings of the Business Process Management, 6th International Conference, BPM 2008, Milan, Italy, 2–4 September 2008; Lecture Notes in Computer, Science. Dumas, M., Reichert, M., Shan, M., Eds.; Springer: Berlin/Heidelberg, Germany, 2008; Volume 5240, pp. 326–341. [Google Scholar]
- Weidlich, M.; Polyvyanyy, A.; Desai, N.; Mendling, J.; Weske, M. Process compliance analysis based on behavioural profiles. Inf. Syst. 2011, 36, 1009–1025. [Google Scholar] [CrossRef]
- Catak, F.O.; Ahmed, J.; Sahinbas, K.; Khand, Z.H. Data augmentation based malware detection using convolutional neural networks. PeerJ Comput. Sci. 2021, 7, e346. [Google Scholar] [CrossRef] [PubMed]
- Yazi, A.F.; Çatak, F.Ö.; Gül, E. Classification of Methamorphic Malware with Deep Learning (LSTM). In Proceedings of the 27th Signal Processing and Communications Applications Conference, SIU 2019, Sivas, Turkey, 24–26 April 2019; IEEE: Piscataway, NJ, USA, 2019; pp. 1–4. [Google Scholar]
- Zheng, W.; Du, Y.; Wang, S.; Qi, L. Repair Process Models Containing Non-Free-Choice Structures Based on Logic Petri Nets. IEEE Access 2019, 7, 105132–105145. [Google Scholar] [CrossRef]
- Xu, H.; Pang, J.; Yang, X.; Yu, J.; Li, X.; Zhao, D. Modeling clinical activities based on multi-perspective declarative process mining with openEHR’s characteristic. BMC Med. Inform. Decis. Mak. 2020, 20-S, 303. [Google Scholar] [CrossRef] [PubMed]
- van Dongen, B. Real-Life Event Logs-Hospital Log. 2011. Available online: https://data.4tu.nl/articles/_/12716513/1 (accessed on 3 January 2024).
- Petermann, A.; Junghanns, M.; Müller, R.; Rahm, E. FoodBroker-Generating Synthetic Datasets for Graph-Based Business Analytics. In Proceedings of the Big Data Benchmarking-5th International Workshop, WBDB 2014, Potsdam, Germany, 5–6 August 2014; Revised Selected Papers; Lecture Notes in Computer Science. Rabl, T., Sachs, K., Poess, M., Baru, C.K., Jacobsen, H., Eds.; Lecture Notes in Computer, Science. Springer: Berlin/Heidelberg, Germany, 2014; Volume 8991, pp. 145–155. [Google Scholar]
- Petsis, S.; Karamanou, A.; Kalampokis, E.; Tarabanis, K. Forecasting and explaining emergency department visits in a public hospital. J. Intell. Inf. Syst. 2022, 59, 479–500. [Google Scholar] [CrossRef]
- Giacomo, G.D.; Vardi, M.Y. Linear Temporal Logic and Linear Dynamic Logic on Finite Traces. In Proceedings of the IJCAI 2013, Proceedings of the 23rd International Joint Conference on Artificial Intelligence, Beijing, China, 3–9 August 2013; Rossi, F., Ed.; AAAI Press: Menlo Park, CA, USA, 2013; pp. 854–860. [Google Scholar]
- Pesić, M.; Schonenberg, H.; van der Aalst, W.M. DECLARE: Full Support for Loosely-Structured Processes. In Proceedings of the 11th IEEE International Enterprise Distributed Object Computing Conference (EDOC 2007), Annapolis, MD, USA, 15–19 October 2007; p. 287. [Google Scholar]
- Cuzzocrea, A. Temporal Big Data Analytics: New Frontiers for Big Data Analytics Research. In Proceedings of the 28th International Symposium on Temporal Representation and Reasoning (TIME 2021), Klagenfurt, Austria, 27–29 September 2021; Combi, C., Eder, J., Reynolds, M., Eds.; Leibniz International Proceedings in Informatics (LIPIcs): Dagstuhl, Germany, 2021; Volume 206, pp. 4:1–4:7. [Google Scholar]
- Amer-Yahia, S.; Palpanas, T.; Tsytsarau, M.; Kleisarchaki, S.; Douzal, A.; Christophides, V. Temporal Analytics in Social Media. In Encyclopedia of Database Systems, 2nd ed.; Liu, L., Özsu, M.T., Eds.; Springer: Berlin/Heidelberg, Germany, 2018. [Google Scholar] [CrossRef]
- Schönig, S.; Rogge-Solti, A.; Cabanillas, C.; Jablonski, S.; Mendling, J. Efficient and Customisable Declarative Process Mining with SQL. In Advanced Information Systems Engineering, Proceedings of the 28th International Conference, CAiSE 2016, Ljubljana, Slovenia, 13–17 June 2016; Lecture Notes in Computer, Science; Nurcan, S., Soffer, P., Bajec, M., Eder, J., Eds.; Springer: Berlin/Heidelberg, Germany, 2016; Volume 9694, pp. 290–305. [Google Scholar]
- Huang, S.; Zhu, E.; Chaudhuri, S.; Spiegelberg, L. T-Rex: Optimizing Pattern Search on Time Series. Proc. ACM Manag. Data 2023, 1, 130:1–130:26. [Google Scholar] [CrossRef]
- Anselma, L.; Bottrighi, A.; Montani, S.; Terenziani, P. Extending BCDM to Cope with Proposals and Evaluations of Updates. IEEE Trans. Knowl. Data Eng. 2013, 25, 556–570. [Google Scholar] [CrossRef]
- Kaufmann, M.; Vagenas, P.; Fischer, P.M.; Kossmann, D.; Färber, F. Comprehensive and Interactive Temporal Query Processing with SAP HANA. Proc. VLDB Endow. 2013, 6, 1210–1213. [Google Scholar] [CrossRef]
- Wang, X.S.; Jajodia, S.; Subrahmanian, V.S. Temporal Modules: An Approach Toward Federated Temporal Databases. Inf. Sci. 1995, 82, 103–128. [Google Scholar] [CrossRef]
- Wang, X.S. Algebraic Query Languages on Temporal Databases with Multiple Time Granularities. In Proceedings of the CIKM ’95, 1995 International Conference on Information and Knowledge Management, Baltimore, MD, USA, 28 November–2 December 1995; Pissinou, N., Silberschatz, A., Park, E.K., Makki, K., Eds.; ACM: New York, NY, USA, 1995; pp. 304–311. [Google Scholar]
- Wang, C.; Wu, K.; Zhou, T.; Cai, Z. Time2State: An Unsupervised Framework for Inferring the Latent States in Time Series Data. Proc. ACM Manag. Data 2023, 1, 17:1–17:18. [Google Scholar] [CrossRef]
- Huo, X.; Hao, K.; Chen, L.; Tang, X.; Wang, T.; Cai, X. A dynamic soft sensor of industrial fuzzy time series with propositional linear temporal logic. Expert Syst. Appl. 2022, 201, 117176. [Google Scholar] [CrossRef]
- Mao, X.; Li, X.; Huang, Y.; Shi, J.; Zhang, Y. Programmable Logic Controllers Past Linear Temporal Logic for Monitoring Applications in Industrial Control Systems. IEEE Trans. Ind. Inform. 2022, 18, 4393–4405. [Google Scholar] [CrossRef]
- Fionda, V.; Greco, G.; Mastratisi, M.A. Reasoning about Smart Contracts Encoded in LTL. In Proceedings of the AIxIA, Milan, Italy, 1–3 December 2021; pp. 123–136. [Google Scholar]
- Pnueli, A. The temporal logic of programs. In Proceedings of the 18th Annual Symposium on Foundations of Computer Science (sfcs 1977), Providence, RI, USA, 31 October–2 November 1977; pp. 46–57. [Google Scholar] [CrossRef]
- Bergami, G.; Appleby, S.; Morgan, G. Quickening Data-Aware Conformance Checking through Temporal Algebras. Information 2023, 14, 173. [Google Scholar] [CrossRef]
- Bellatreche, L.; Kechar, M.; Bahloul, S.N. Bringing Common Subexpression Problem from the Dark to Light: Towards Large-Scale Workload Optimizations. In Proceedings of the IDEAS, Montreal, QC, Canada, 14–16 July 2021; ACM: New York, NY, USA, 2021. [Google Scholar]
- Appleby, S.; Bergami, G.; Morgan, G. Running Temporal Logical Queries on the Relational Model. In Proceedings of the 26th International Database Engineered Applications Symposium, Budapest, Hungary, 22–24 August 2022. [Google Scholar]
- Atzeni, P.; Ceri, S.; Paraboschi, S.; Torlone, R. Database Systems—Concepts, Languages and Architectures; McGraw-Hill Book Company: New York, NY, USA, 1999. [Google Scholar]
- Elmasri, R.; Navathe, S.B. Fundamentals of Database Systems, 7th ed.; Pearson: London, UK, 2015. [Google Scholar]
- Dittrich, J. Patterns in Data Management: A Flipped Textbook; CreateSpace Independent Publishing Platform: Scotts Valley, CA, USA, 2016. [Google Scholar]
- Bergami, G.; Appleby, S.; Morgan, G. Specification Mining over Temporal Data. Computers 2023, 12, 185. [Google Scholar] [CrossRef]
- Burattin, A.; Maggi, F.M.; Sperduti, A. Conformance checking based on multi-perspective declarative process models. Expert Syst. Appl. 2016, 65, 194–211. [Google Scholar] [CrossRef]
- Zhu, S.; Pu, G.; Vardi, M.Y. First-Order vs. Second-Order Encodings for \textsc ltl_f -to-Automata Translation. In Theory and Applications of Models of Computation, Proceedings of the 15th Annual Conference, TAMC 2019, Kitakyushu, Japan, 13–16 April 2019; Lecture Notes in Computer, Science; Gopal, T.V., Watada, J., Eds.; Springer: Berlin/Heidelberg, Germany, 2019; Volume 11436, pp. 684–705. [Google Scholar]
- Li, J.; Pu, G.; Zhang, Y.; Vardi, M.Y.; Rozier, K.Y. SAT-based explicit LTLf satisfiability checking. Artif. Intell. 2020, 289, 103369. [Google Scholar] [CrossRef]
- Acampora, G.; Vitiello, A.; Stefano, B.N.D.; van der Aalst, W.M.P.; Günther, C.W.; Verbeek, E. IEEE 1849: The XES Standard: The Second IEEE Standard Sponsored by IEEE Computational Intelligence Society [Society Briefs]. IEEE Comput. Intell. Mag. 2017, 12, 4–8. [Google Scholar] [CrossRef]
- Maggi, F.M.; Bose, R.P.J.C.; van der Aalst, W.M.P. Efficient Discovery of Understandable Declarative Process Models from Event Logs. In Advanced Information Systems Engineering; Springer: Berlin/Heidelberg, Germany, 2012; pp. 270–285. [Google Scholar]
- de Murillas, E.G.L.; Reijers, H.A.; van der Aalst, W.M.P. Data-Aware Process Oriented Query Language. In Process Querying Methods; Polyvyanyy, A., Ed.; Springer: Berlin/Heidelberg, Germany, 2022; pp. 49–83. [Google Scholar] [CrossRef]
- Kammerer, K.; Pryss, R.; Reichert, M. Retrieving, Abstracting, and Changing Business Process Models with PQL. In Process Querying Methods; Polyvyanyy, A., Ed.; Springer: Berlin/Heidelberg, Germany, 2022; pp. 219–254. [Google Scholar] [CrossRef]
- Idreos, S.; Groffen, F.; Nes, N.; Manegold, S.; Mullender, K.S.; Kersten, M.L. MonetDB: Two Decades of Research in Column-oriented Database Architectures. IEEE Data Eng. Bull. 2012, 35, 40–45. [Google Scholar]
- Green, T.J.; Karvounarakis, G.; Tannen, V. Provenance Semirings. In Proceedings of the Twenty-Sixth ACM SIGMOD-SIGACT-SIGART Symposium on Principles of Database Systems, New York, NY, USA, 11–13 June 2007; pp. 31–40. [Google Scholar] [CrossRef]
- Schönig, S. SQL Queries for Declarative Process Mining on Event Logs of Relational Databases. arXiv 2015, arXiv:1512.00196. [Google Scholar]
- Boncz, P.A.; Manegold, S.; Kersten, M.L. Database Architecture Evolution: Mammals Flourished long before Dinosaurs became Extinct. Proc. VLDB Endow. 2009, 2, 1648–1653. [Google Scholar] [CrossRef]
- Allen, J.F. Maintaining Knowledge about Temporal Intervals. Commun. ACM 1983, 26, 832–843. [Google Scholar] [CrossRef]
- Revesz, P.Z. Introduction to Databases—From Biological to Spatio-Temporal; Texts in Computer Science; Springer: Berlin/Heidelberg, Germany, 2010. [Google Scholar]
- Kvet, M. Developing Robust Date and Time Oriented Applications in Oracle Cloud: A Comprehensive Guide to Efficient Date and Time Management in Oracle Cloud; Packt Publishing: Birmingham, UK, 2023. [Google Scholar]
- Tuzhilin, A.; Kedem, Z. Using Temporal Logic and Datalog to Query Databases Evolving in Time; New York University: New York, NY, USA, 1989. [Google Scholar]
- Böhlen, M.H.; Chomicki, J.; Snodgrass, R.T.; Toman, D. Querying TSQL2 databases with temporal logic. In Advances in Database Technology—EDBT ’96, Proceedings of the 5th International Conference on Extending Database Technology, Avignon, France, 25–29 March 1996; Apers, P., Bouzeghoub, M., Gardarin, G., Eds.; Springer: Berlin/Heidelberg, Germany, 1996; pp. 325–341. [Google Scholar]
- Snodgrass, R.T. TSQL2. In Encyclopedia of Database Systems; Liu, L., Özsu, M.T., Eds.; Springer: Boston, MA, USA, 2009; pp. 3192–3197. [Google Scholar] [CrossRef]
- Musser, D.R. Introspective Sorting and Selection Algorithms. Softw. Pract. Exp. 1997, 27, 983–993. [Google Scholar] [CrossRef]
- van der Aalst, W.M.P. Object-Centric Process Mining: Unraveling the Fabric of Real Processes. Mathematics 2023, 11, 2691. [Google Scholar] [CrossRef]
- Rost, C.; Gómez, K.; Täschner, M.; Fritzsche, P.; Schons, L.; Christ, L.; Adameit, T.; Junghanns, M.; Rahm, E. Distributed temporal graph analytics with GRADOOP. VLDB J. 2022, 31, 375–401. [Google Scholar] [CrossRef]
- Khayatbashi, S.; Hartig, O.; Jalali, A. Transforming Event Knowledge Graph to Object-Centric Event Logs: A Comparative Study for Multi-dimensional Process Analysis. In Proceedings of the 42nd International Conference on Conceptual Modeling, Lisbon, Portugal, 6–9 November 2023. [Google Scholar]
- Zaki, N.M.; Helal, I.M.A.; Hassanein, E.E.; Awad, A. Efficient Checking of Timed Ordered Anti-patterns over Graph-Encoded Event Logs. In Model and Data Engineering: Proceedings of the 11th International Conference, MEDI 2022, Cairo, Egypt, 21–24 November 2022; Lecture Notes in Computer, Science; Fournier-Viger, P., Yousef, A.H., Bellatreche, L., Eds.; Springer: Berlin/Heidelberg, Germany, 2022; Volume 13761, pp. 147–161. [Google Scholar]
Disclaimer/Publisher’s Note: The statements, opinions and data contained in all publications are solely those of the individual author(s) and contributor(s) and not of MDPI and/or the editor(s). MDPI and/or the editor(s) disclaim responsibility for any injury to people or property resulting from any ideas, methods, instructions or products referred to in the content. |
© 2024 by the author. Licensee MDPI, Basel, Switzerland. This article is an open access article distributed under the terms and conditions of the Creative Commons Attribution (CC BY) license (https://creativecommons.org/licenses/by/4.0/).