Combining Classifiers for Deep Learning Mask Face Recognition
Abstract
:1. Introduction
2. FaceNet
3. Proposed Methods
4. Experiment and Discussion
4.1. Dataset
4.2. CNN Models
4.3. Training
4.4. Testing
5. Discussion and Conclusions
Author Contributions
Funding
Data Availability Statement
Conflicts of Interest
References
- Alzu’bi, A.; Albalas, F.; Tawfik, A.H.; Lojin, B.Y.; Bashayreh, A. Masked Face Recognition Using Deep Learning: A Review. Electronics 2021, 10, 2666. [Google Scholar] [CrossRef]
- Hsu, G.J.; Wu, H.; Tsai, C.; Yanushkevich, S.N.; Gavrilova, M.L. Masked Face Recognition from Synthesis to Reality. IEEE Access 2022, 10, 37938–37952. [Google Scholar] [CrossRef]
- Cheng, W.-C.; Hsiao, H.-C.; Li, L.-H. Deep Learning Mask Face Recognition with Annealing Mechanism. Appl. Sci. 2023, 13, 732. [Google Scholar] [CrossRef]
- Hariri, W. Efficient masked face recognition method during the COVID-19 pandemic. Signal Image Video Process 2022, 16, 605–612. [Google Scholar] [CrossRef] [PubMed]
- Qiu, H.; Gong, D.; Li, Z.; Liu, W.; Tao, D. End2End Occluded Face Recognition by Masking Corrupted Features. IEEE Trans. Pattern Anal. Mach. Intell. 2021, 44, 6939–6952. [Google Scholar] [CrossRef] [PubMed]
- Wang, Y.; Li, Y.; Zou, H. Masked Face Recognition System Based on Attention Mechanism. Information 2023, 14, 87. [Google Scholar] [CrossRef]
- Chong, W.-J.L.; Chong, S.-C.; Ong, T.-S. Masked Face Recognition Using Histogram-Based Recurrent Neural Network. J. Imaging 2023, 9, 38. [Google Scholar] [CrossRef] [PubMed]
- Ge, Y.; Liu, H.; Du, J.; Li, Z.; Wei, Y. Masked face recognition with convolutional visual self-attention network. Neurocomputing 2023, 518, 496–506. [Google Scholar] [CrossRef] [PubMed]
- Zhu, Y.; Ren, M.; Jing, H.; Dai, L.; Sun, Z.; Li, P. Joint Holistic and Masked Face Recognition. IEEE Trans. Inf. Forensics Secur. 2023, 18, 3388–3400. [Google Scholar] [CrossRef]
- Deng, H.; Feng, Z.; Qian, G.; Lv, X.; Li, H.; Li, G. MFCosface: A Masked-Face Recognition Algorithm Based on Large Margin Cosine Loss. Appl. Sci. 2021, 11, 7310. [Google Scholar] [CrossRef]
- Zhang, L.; Xiong, W.; Zhao, K.; Chen, K.; Zhong, M. Maskdul: Data Uncertainty Learning in Masked Face Recognition. In Proceedings of the 2023 IEEE International Conference on Acoustics, Speech and Signal Processing (ICASSP), Rhodes Island, Greece, 4–10 June 2023; pp. 1–5. [Google Scholar]
- Schroff, F.; Kalenichenko, D.; Philbin, J. FaceNet: A Unified Embedding for Face Recognition and Clustering. In Proceedings of the IEEE Computer Society Conference on Computer Vision and Pattern Recognition (CVPR), Boston, MA, USA, 7–12 June 2015; pp. 815–823. [Google Scholar]
- Loshchilov, I.; Hutter, F. SGDR: Stochastic Gradient Descent with Warm Restarts. In Proceedings of the 5th International Conference on Learning Representations (ICLR), Toulon, France, 24–26 April 2017. [Google Scholar]
- Szegedy, C.; Ioffe, S.; Vanhoucke, V.; Alemi, A. Inception-v4, Inception-ResNet and the Impact of Residual Connections on Learning. In Proceedings of the Thirty-First AAAI Conference on Artificial Intelligence (AAAI), San Francisco, CA, USA, 4–9 February 2017; pp. 4278–4284. [Google Scholar]
- Szegedy, C.; Vanhoucke, V.; Ioffe, S.; Shlens, J.; Wojna, Z. Rethinking the Inception Architecture for Computer Vision. In Proceedings of the IEEE/CVF Conference on Computer Vision and Pattern Recognition (CVPR), Las Vegas, NV, USA, 26 June–1 July 2016; pp. 2818–2826. [Google Scholar]
- Sandler, M.; Howard, A.; Zhu, M.; Zhmoginov, A.; Chen, L.C. MobileNetV2: Inverted Residuals and Linear Bottlenecks. In Proceedings of the IEEE/CVF Conference on Computer Vision and Pattern Recognition (CVPR), Salt Lake City, UT, USA, 18–22 June 2018; pp. 4510–4520. [Google Scholar]
- Dosovitskiy, A.; Beyer, L.; Kolesnikov, A.; Weissenborn, D.; Zhai, X.; Unterthiner, T.; Dehghani, M.; Minderer, M.; Heigold, G.; Gelly, S.; et al. An Image is Worth 16x16 Words: Transformers for Image Recognition at Scale. arXiv 2020, arXiv:2010.11929v2. [Google Scholar]
- Carion, N.; Massa, F.; Synnaeve, G.; Usunier, N.; Kirillov, A.; Zagoruyko, S. End-to-End Object Detection with Transformers. arXiv 2020, arXiv:2005.12872v3. [Google Scholar]
- Ge, S.; Li, J.; Ye, Q.; Luo, Z. Detecting Masked Faces in the Wild with LLE-CNNs. In Proceedings of the IEEE Conference on Computer Vision and Pattern Recognition (CVPR), Honolulu, HI, USA, 21–26 July 2017. [Google Scholar]
- Wan, W.; Chen, J. Occlusion robust face recognition based on mask learning. In Proceedings of the IEEE International Conference on Image Processing (ICIP), Beijing, China, 17–20 September 2017; pp. 3795–3799. [Google Scholar]
- Song, L.; Gong, D.; Li, Z.; Liu, W. Occlusion Robust Face Recognition Based on Mask Learning with Pairwise Differential Siamese Network. In Proceedings of the 2019 IEEE/CVF International Conference on Computer Vision (ICCV), Seoul, Republic of Korea, 27 October–2 November 2019; pp. 773–782. [Google Scholar]
- Li, C.; Ge, S.; Zhang, D.; Li, J. Look Through Masks: Towards Masked Face Recognition with De-Occlusion Distillation. In Proceedings of the 28th ACM International Conference on Multimedia, Seattle, WA, USA, 12–16 October 2020; pp. 3016–3024. [Google Scholar]
- Boutros, F.; Damer, N.; Kirchbuchnera, F.; Kuijper, A. Self-restrained Triplet Loss for Accurate Masked Face Recognition. Pattern Recognit. 2022, 124, 108473. [Google Scholar] [CrossRef]
- Chen, H.Q.; Xie, K.; Li, M.R.; Wen, C.; He, J.B. Face Recognition with Masks Based on Spatial Fine-Grained Frequency Domain Broadening. IEEE Access 2022, 10, 75536–75548. [Google Scholar] [CrossRef]
- Yuan, G.; Zheng, H.; Dong, J. MSML: Enhancing Occlusion-Robustness by Multi-Scale Segmentation-Based Mask Learning for Face Recognition. In Proceedings of the AAAI Conference on Artificial Intelligence, Virtual, 22 February–1 March 2022; pp. 3197–3205. [Google Scholar]
- Shakeel, M.S. BAM: A Bidirectional Attention Module for Masked Face Recognition. In Proceedings of the 2022 IEEE International Conference on Visual Communications and Image Processing (VCIP), Suzhou, China, 13–16 December 2022. [Google Scholar]
- Yang, Y.; Tian, X.; Ng, W.W.Y.; Gao, Y. Knowledge Distillation Hashing for Occluded Face Retrieval. IEEE Trans. Multimed. 2023. [Google Scholar] [CrossRef]
- Bridle, J. Training Stochastic Model Recognition Algorithms as Networks can Lead to Maximum Mutual Information Estimation of Parameters. In Proceedings of the Advances in Neural Information Processing Systems 2 (NIPS 1989), Denver, CO, USA, 27–30 November 1989; pp. 211–217. [Google Scholar]
- Zhang, Z.; Sabuncu, M.R. Generalized Cross Entropy Loss for Training Deep Neural Networks with Noisy Labels. In Proceedings of the 2nd Conference on Neural Information Processing Systems (NeurIPS 2018), Montréal, QC, Canada, 3–8 December 2018. [Google Scholar]
- Thompson, N.C.; Greenewald, K.; Lee, K.; Manso, G.F. The Computational Limits of Deep Learning. arXiv 2020, arXiv:2007.05558v2. [Google Scholar]
- Strubell, E.; Ganesh, A.; McCallum, A. Energy and Policy Considerations for Deep Learning in NLP. In Proceedings of the 57th Annual Meeting of the Association for Computational Linguistics (ACL), Florence, Italy, 28 July–2 August 2019; pp. 3645–3650. [Google Scholar]
- The Generative AI Race Has a Dirty Secret. Available online: https://www.wired.com/story/the-generative-ai-search-race-has-a-dirty-secret/ (accessed on 11 April 2023).
- Lucic, M.; Kurach, K.; Michalski, M.; Gelly, S.; Bousquet, O. Are GANs Created Equal? A Large-Scale Study. In Proceedings of the Advances in Neural Information Processing Systems (NeurIPS), Montreal, QC, Canada, 3–8 December 2018; pp. 700–709. [Google Scholar]
- IMAGENET. Available online: https://www.image-net.org/challenges/LSVRC (accessed on 24 May 2023).
- Cheng, W.C.; Hsiao, H.C.; Lee, D.W. Face recognition system with feature normalization. Int. J. Appl. Sci. Eng. 2021, 18, 1–9. [Google Scholar]
- VGGface2_HQ_cropped. Available online: https://www.kaggle.com/datasets/zenbot99/vggface2-hq-cropped (accessed on 3 May 2023).
- Anwar, A.; Raychowdhury, A. Masked Face Recognition for Secure Authentication. arXiv 2020, arXiv:2008.11104v1. [Google Scholar]
- Deep Face Recognition with Keras, Dlib and OpenCV. Available online: https://github.com/krasserm/face-recognition/blob/master/face-recognition.ipynb (accessed on 3 May 2023).















| Sets | Subjects | Numbers |
|---|---|---|
| Train set | 500 | 93,516 |
| Test set | 100 | 19,056 |
| Total | 600 | 112,572 |
| Methods | Parameters | Size (MB) | ||
|---|---|---|---|---|
| Cheng et al., 2023 [3] | Proposed | Cheng et al., 2023 [3] | Proposed | |
| InceptionResNetV2 | 56,106,336 | 56,170,836 | 214.0 | 215.0 |
| InceptionV3 | 24,162,208 | 24,226,708 | 92.5 | 92.7 |
| MobileNetV2 | 6,354,112 | 6,418,612 | 24.4 | 24.6 |
| Hyperparameters | |
|---|---|
| Image Size | 160 160 3 |
| Initial weights | imagenet |
| Epochs | 100 |
| Batch Size | 192 |
| Optimizer | Adam |
| Annealing | Cosine |
| Loss | TL + CCEL |
| Max Learning Rate | |
| Min Learning Rate | |
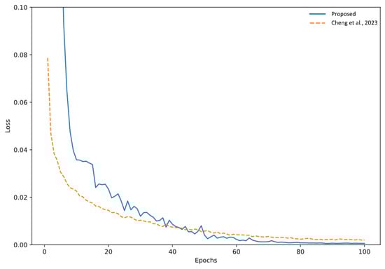
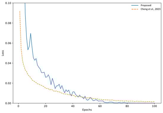
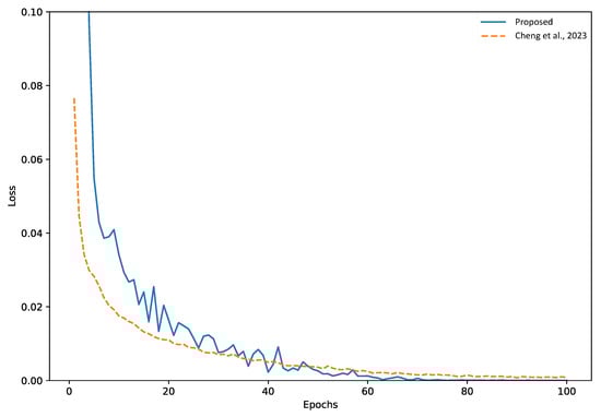
| Methods | Loss | |
|---|---|---|
| Cheng et al., 2023 [3] | Proposed | |
| InceptionResNetV2 | ||
| InceptionV3 | ||
| MobileNetV2 | ||
| Methods | F1 score (%) | Accuracy (%) | ||
|---|---|---|---|---|
| Cheng et al., 2023 [3] | Proposed | Cheng et al., 2023 [3] | Proposed | |
| InceptionResNetV2 | 58.19 | 74.22 | 93.60 | 93.76 |
| InceptionV3 | 56.56 | 71.96 | 93.04 | 93.31 |
| MobileNetV2 | 57.06 | 76.42 | 93.17 | 93.59 |
| Methods | Time (Seconds) | |
|---|---|---|
| Cheng et al., 2023 [3] | Proposed | |
| InceptionResNetV2 | 334.20 | 337.90 |
| InceptionV3 | 208.88 | 209.56 |
| MobileNetV2 | 211.82 | 213.64 |
Disclaimer/Publisher’s Note: The statements, opinions and data contained in all publications are solely those of the individual author(s) and contributor(s) and not of MDPI and/or the editor(s). MDPI and/or the editor(s) disclaim responsibility for any injury to people or property resulting from any ideas, methods, instructions or products referred to in the content. |
© 2023 by the authors. Licensee MDPI, Basel, Switzerland. This article is an open access article distributed under the terms and conditions of the Creative Commons Attribution (CC BY) license (https://creativecommons.org/licenses/by/4.0/).
Share and Cite
Cheng, W.-C.; Hsiao, H.-C.; Huang, Y.-F.; Li, L.-H. Combining Classifiers for Deep Learning Mask Face Recognition. Information 2023, 14, 421. https://doi.org/10.3390/info14070421
Cheng W-C, Hsiao H-C, Huang Y-F, Li L-H. Combining Classifiers for Deep Learning Mask Face Recognition. Information. 2023; 14(7):421. https://doi.org/10.3390/info14070421
Chicago/Turabian StyleCheng, Wen-Chang, Hung-Chou Hsiao, Yung-Fa Huang, and Li-Hua Li. 2023. "Combining Classifiers for Deep Learning Mask Face Recognition" Information 14, no. 7: 421. https://doi.org/10.3390/info14070421
APA StyleCheng, W.-C., Hsiao, H.-C., Huang, Y.-F., & Li, L.-H. (2023). Combining Classifiers for Deep Learning Mask Face Recognition. Information, 14(7), 421. https://doi.org/10.3390/info14070421

