Self-Calibration Spherical Video Stabilization Based on Gyroscope
Abstract
:1. Introduction
2. Proposed Framework
3. Methodology
3.1. Motion Estimation and Smoothing
3.2. Motion Compensation
3.2.1. Spherical Projection
3.2.2. Self-Calibration of the Spherical Radius
3.2.3. Spherical Rotation Compensation
4. Experiment and Result Analysis
4.1. Experiment Setting and Videos
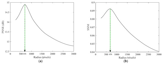
4.2. Comparison of Different Spherical Radius Values
4.3. Comparison with the Intrinsic Parameter Matrix Method
4.4. Discussion
5. Conclusions
Author Contributions
Funding
Data Availability Statement
Conflicts of Interest
References
- Zhao, M.D.; Ling, Q. Adaptively Meshed Video Stabilization. IEEE Trans. Circuits Syst. Video Technol. 2020, 1. [Google Scholar] [CrossRef]
- Wu, R.; Xu, Z.; Zhang, J.; Zhang, L. Robust Global Motion Estimation for Video Stabilization Based on Improved K-Means Clustering and Superpixel. Sensors 2021, 21, 2505. [Google Scholar] [CrossRef] [PubMed]
- Akira, H.; Katsuhiro, H. Sensorless Attitude Estimation of Three-degree-of-freedom Actuator for Image Stabilization. Int. J. Appl. Electromagn. Mech. 2021, 6, 249–263. [Google Scholar]
- Shankarpure, M.R.; Abin, D. Video stabilization by mobile sensor fusion. J. Crit. Rev. 2020, 7, 1012–1018. [Google Scholar]
- Raj, R.; Rajiv, P.; Kumar, P.; Khari, M.; Verdú, E.; Crespo, R.G.; Manogaran, G. Feature based video stabilization based on boosted HAAR Cascade and representative point matching algorithm. Image Vis. Comput. 2020, 2020, 103957. [Google Scholar] [CrossRef]
- Hu, X.; Olesen, D.; Knudsen, P. Gyroscope Aided Video Stabilization Using Nonlinear Regression on Special Orthogonal Group. In Proceedings of the 2020 IEEE International Conference on Acoustics, Speech and Signal Processing (ICASSP), Barcelona, Spain, 4–8 May 2020; pp. 2707–2711. [Google Scholar]
- Wang, Z.M.; Xu, Z.G. A Survey on Electronic Image Stabilization. J. Image Graph. 2010, 15, 470–480. [Google Scholar]
- Huang, W.Q.; Dang, B.N.; Wang, Y.; Sun, M.X. Two-freedom image stabilization institution of large stroke of bidirectional actuation. Opt. Precis. Eng. 2017, 25, 1494–1501. [Google Scholar] [CrossRef]
- Rodriguez-Padilla, I.; Castelle, B.; Marieu, V.; Morichon, D. A Simple and Efficient Image Stabilization Method for Coastal Monitoring Video Systems. Remote Sens. 2020, 12, 70. [Google Scholar] [CrossRef] [Green Version]
- Guilluy, W.; Oudre, L.; Beghdadi, A. Video stabilization: Overview, challenges and perspectives. Signal Process. Image Commun. 2021, 2021, 116015. [Google Scholar] [CrossRef]
- Cao, M.; Zheng, L.; Jia, W.; Liu, X. Real-time video stabilization via camera path correction and its applications to augmented reality on edge devices. Comput. Commun. 2020, 158, 104–115. [Google Scholar] [CrossRef]
- Jia, C.; Evans, B.L. Constrained 3D Rotation Smoothing via Global Manifold Regression for Video Stabilization. IEEE Trans. Signal Process. 2014, 64, 3293–3304. [Google Scholar] [CrossRef]
- Yang, J.; Lai, L.; Zhang, L.; Huang, H. Online Video Stabilization Algorithm on Lie Group Manifold. Pattern Recognit. Artif. Intell. 2019, 32, 295–305. [Google Scholar]
- Pengwei, Z.; Yuanji, J.; Chao, D.; Tian, L.; Shichuan, H. Video Stabilization Technique Based on Optical Flow Sensor. Opto-Electron. Eng. 2019, 46, 180581. [Google Scholar]
- Zhuang, B.; Bai, D.; Lee, J. 5D Video Stabilization through Sensor Vision Fusion. In Proceedings of the 2019 IEEE International Conference on Image Processing, Taipei, Taiwan, 22–25 September 2019; pp. 4340–4344. [Google Scholar]
- Ren, Z.W.; Fang, M.; Chen, C.Y.; Kaneko, S.I. Video stabilization algorithm based on virtual sphere model. Electron. Imaging 2021, 30, 1–18. [Google Scholar] [CrossRef]
- Fang, M.; Tian, Y. Robust Electronic Image Stabilization Method Based on IMU-Camera Calibration. Inf. Control 2018, 47, 156–165. [Google Scholar]
- Chen, B.H.; Kopylov, A.; Huang, S.C.; Seredin, O.; Karpov, R.; Kuo, S.Y.; Lai, K.R.; Tan, T.-H.; Gochoo, M.; Hung, P.C.K. Improved global motion estimation via motion vector clustering for video stabilization. Eng. Appl. Artif. Intell. 2016, 54, 39–48. [Google Scholar] [CrossRef]
- Zhao, M.D.; Ling, Q. PWStableNet: Learning pixel-wise warping maps for video stabilization. IEEE Trans. Image Process. 2020, 2020, 3582–3595. [Google Scholar] [CrossRef] [PubMed]











| Evaluation | Method [12] | Method [13] | Method [15] | Proposed |
|---|---|---|---|---|
| PSNR SSIM Cropping ratio | 24.79 | 24.58 | 25.13 | 25.81 |
| 0.83 | 0.87 | 0.85 | 0.88 | |
| 0.71 | 0.75 | 0.72 | 0.76 | |
| Distortion score | 0.68 | 0.65 | 0.62 | 0.69 |
| Stability score | 0.73 | 0.71 | 0.74 | 0.76 |
| Evaluation | Method [12] | Method [13] | Method [15] | Proposed |
|---|---|---|---|---|
| PSNR SSIM Cropping ratio | 22.87 | 23.07 | 22.45 | 24.30 |
| 0.79 | 0.81 | 0.76 | 0.85 | |
| 0.68 | 0.62 | 0.65 | 0.69 | |
| Distortion score | 0.76 | 0.72 | 0.69 | 0.76 |
| Stability score | 0.71 | 0.73 | 0.71 | 0.74 |
Publisher’s Note: MDPI stays neutral with regard to jurisdictional claims in published maps and institutional affiliations. |
© 2021 by the authors. Licensee MDPI, Basel, Switzerland. This article is an open access article distributed under the terms and conditions of the Creative Commons Attribution (CC BY) license (https://creativecommons.org/licenses/by/4.0/).
Share and Cite
Ren, Z.; Fang, M.; Chen, C. Self-Calibration Spherical Video Stabilization Based on Gyroscope. Information 2021, 12, 299. https://doi.org/10.3390/info12080299
Ren Z, Fang M, Chen C. Self-Calibration Spherical Video Stabilization Based on Gyroscope. Information. 2021; 12(8):299. https://doi.org/10.3390/info12080299
Chicago/Turabian StyleRen, Zhengwei, Ming Fang, and Chunyi Chen. 2021. "Self-Calibration Spherical Video Stabilization Based on Gyroscope" Information 12, no. 8: 299. https://doi.org/10.3390/info12080299
APA StyleRen, Z., Fang, M., & Chen, C. (2021). Self-Calibration Spherical Video Stabilization Based on Gyroscope. Information, 12(8), 299. https://doi.org/10.3390/info12080299
