An Academic Text Recommendation Method Based on Graph Neural Network
Abstract
1. Introduction
- We propose an innovative TXT-SR model which is an application scenario in the text field. This model not only considers the complex transformation characteristics of the items in the text session, but also takes into account the textual semantic relationship between the texts. This is an innovation that applies session-based recommendations to a new field.
- We can represent a session directly only by nodes involved in that session, without relying on the assumption that there exists a distinct latent representation of the user for each session.
- The proposed model is evaluated on two real-world datasets. Extensive experimental results show that TXT-SR outperforms the state-of-art methods and the textual semantic relation plays an important role.
2. Related Work
2.1. Conventional Recommendation Method
2.2. Deep Learning-Based Recommendation Method
3. The Proposed Method
3.1. Notations
3.2. Using Graph Neural Networks to Learn the Text Feature Representation
- is the embedding vector corresponding to the i-th text in the reading sequence at time t during the training process. This vector changes continuously with the model training and is a d-dimensional vector.
- is the relationship matrix, which determines how the nodes in the graph are related to each other. n represents the number of different items in the sequence. This matrix will not change during the training process. can be disassembled into , corresponding to the in-out matrix, respectively.
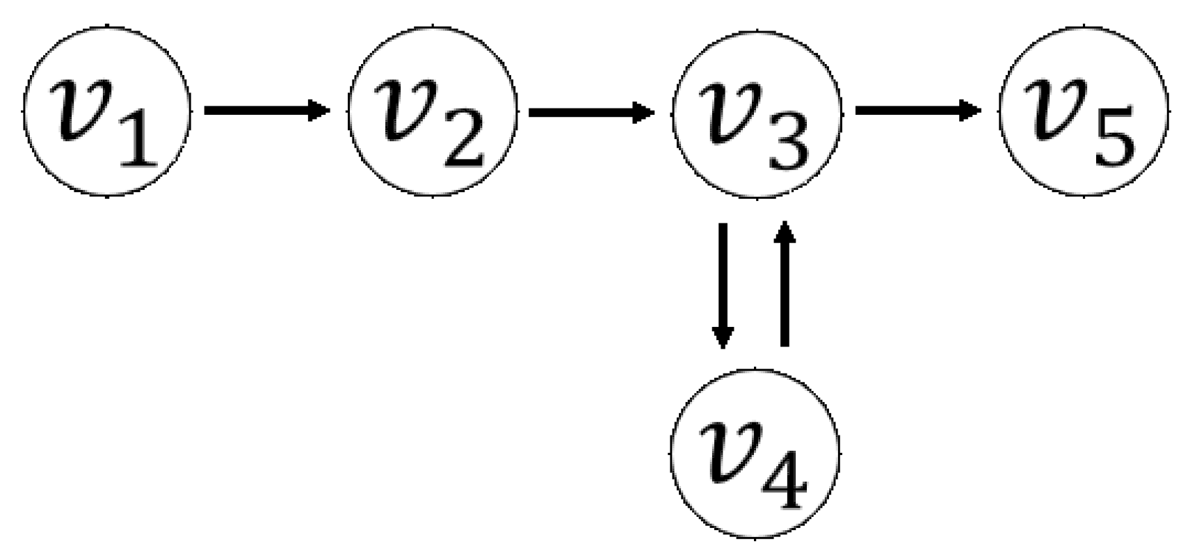
- are two columns related to node in , and it is 1*. For example, corresponding to node 3 is equal to , as shown in Figure 5.
- The function of is to extract the latent vector of the domain at time . is the input of graph neural network.
- H is the weight vector of d*, which can be decomposed into .
- and represent the reset and update gates, respectively.
3.3. Using Attention Mechanism to Learn the Session Feature Representation
3.4. Obtaining Recommendation Results
| Algorithm 1: Pseudocode of the TXT-SR algorithm. |
| Input: One browsing session sequence Output: Candidate top-K texts
|
4. Experiments and Analysis
4.1. Datasets
4.2. Evaluation Metrics
- Recall@N: It calculates the proportion of the top-N retrieved positive samples. The specific formula is
- MRR@20: It refers to the average value of the inverse of the ranking of the desired items. If the ranking exceeds N, it is set to 0. The specific formula iswhere is the number of recommended items, and is the recommended item of the actual ranking in the recommended items required.
4.3. Parameter Setup
4.4. Baselines
- POP exploits the frequency of items in the training set. It always recommends items that appear most often in the training set.
- S-POP is similar to POP; S-POP also exploits the frequency, but it recommends items that appear most often in the current sequence
- Item-KNN [11] uses content information to compute the cosine similarity between items.
- BPR-MF is a model representing a group of models with matrix factorization (MF) and Bayesian personalized ranking loss (BPR). By introducing the ranking loss, BPR-MF shows a better performance than a typical MF in the recommendation.
- GRU4Rec (https://github.com/hidasib/GRU4Rec, accessed on accessed on 15 April 2021) [4] is a sequential model with GRUs for the recommendation. This model adopts a session parallel batch and a loss function such as CrossEntropy, TOP1, or BPR.
- GRU4Rec+ [5] is the improvement of the application of RNN in the field of session-based recommendation. It uses a data enhancement technology and changes the data distribution of the input data to improve the performance.
- NARM (https://github.com/lijingsdu/sessionRec_NARM, accessed on accessed on 15 April 2021)[6] is a model based on GRU4REC with an attention to consider the long-term dependency. Besides, it adopts an efficient bilinear loss function to improve the performance with fewer parameters.
- STAMP (https://github.com/uestcnlp/STAMP, accessed on accessed on 15 April 2021) [7] employs attention layers to replace all RNN encoders in previous work by fully relying on the self-attention of the last item in the current session to capture the user’s short-term interest.
- SR-GNN (https://github.com/CRIPAC-DIG/SR-GNN, accessed on accessed on 15 April 2021) [8] employs a gated GNN layer to obtain item embeddings, followed by a self-attention of the last item as STAMP [7] to compute the session level embeddings for session-based recommendation.
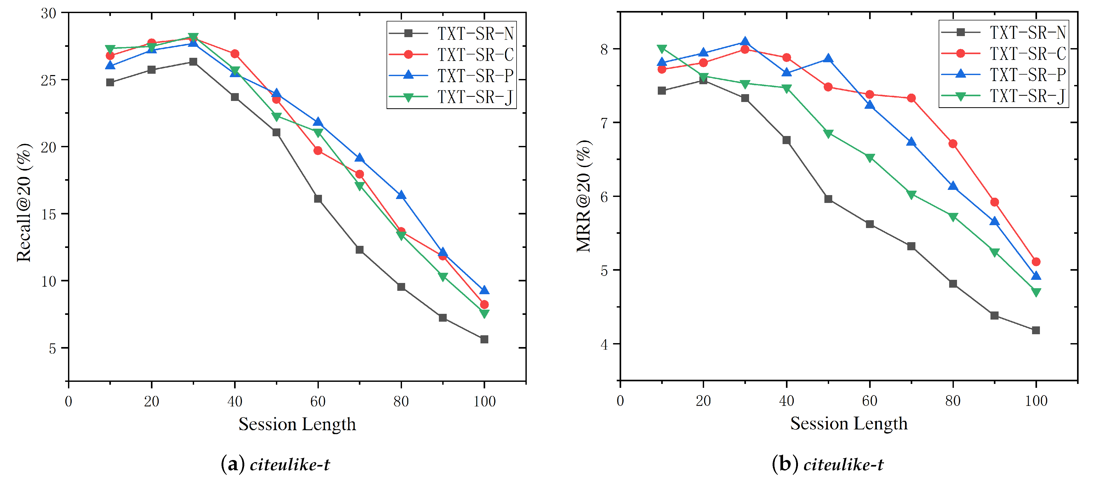
4.5. Impact of Wether to Incorporate Textual Semantics
- TXT-SR-N: Not using textual semantics, whose effect is equivalent to SR-GNN [8].
- TXT-SR-C: Replacing the weight of the edge in the constructed session graph with the cosine similarity of the adjacent vectors converted previously, which is our proposed model just to highlight the difference.
- TXT-SR-P: Like TXT-SR-C, the part being replaced with is Pearson correlation coefficient.
- TXT-SR-J: Regarding each text as a unique set of the bag-of-words, then calculating Jaccard coefficient to replace the weight of the edge.
4.6. Impact of Using Different Session Embeddings
5. Conclusions
Author Contributions
Funding
Data Availability Statement
Conflicts of Interest
References
- Bergamaschi, S.; Guerra, F.; Leiba, B. Guest editors’ introduction: Information overload. IEEE Internet Comput. 2010, 14, 10–13. [Google Scholar] [CrossRef]
- Geiger, D.; Schader, M. Personalized task recommendation in crowdsourcing information systems—Current state of the art. Decis. Support Syst. 2014, 65, 3–16. [Google Scholar] [CrossRef]
- Resnick, P.; Varian, H.R. Recommender systems. Commun. ACM 1997, 40, 56–58. [Google Scholar] [CrossRef]
- Hidasi, B.; Karatzoglou, A.; Baltrunas, L.; Tikk, D. Session-based recommendations with recurrent neural networks. arXiv 2015, arXiv:1511.06939. [Google Scholar]
- Tan, Y.K.; Xu, X.; Liu, Y. Improved recurrent neural networks for session-based recommendations. In Proceedings of the 1st Workshop on Deep Learning for Recommender Systems, Boston, MA, USA, 15 September 2016; pp. 17–22. [Google Scholar]
- Jing, L.; Ren, P.; Chen, Z.; Ren, Z.; Ma, J. Neural Attentive Session-based Recommendation. In Proceedings of the 2017 ACM on Conference on Information and Knowledge Management, Singapore, 6–10 November 2017. [Google Scholar]
- Liu, Q.; Zeng, Y.; Mokhosi, R.; Zhang, H. STAMP: Short-term attention/memory priority model for session-based recommendation. In Proceedings of the 24th ACM SIGKDD International Conference on Knowledge Discovery & Data Mining, London, UK, 19–23 August 2018; pp. 1831–1839. [Google Scholar]
- Wu, S.; Tang, Y.Y.; Zhu, Y.Q.; Wang, L.; Xie, X.; Tan, T.N. Session-Based Recommendation with Graph Neural Networks. In Proceedings of the Thirty-Third AAAI Conference on Artificial Intelligence/Thirty-First Innovative Applications of Artificial Intelligence Conference/Ninth AAAI Symposium on Educational Advances in Artificial Intelligence, Honolulu, HI, USA, 27 January–1 February 2019; pp. 346–353. [Google Scholar]
- Chen, R.; Hua, Q.; Chang, Y.S.; Wang, B.; Zhang, L.; Kong, X. A survey of collaborative filtering-based recommender systems: From traditional methods to hybrid methods based on social networks. IEEE Access 2018, 6, 64301–64320. [Google Scholar] [CrossRef]
- Zhao, Z.D.; Shang, M.S. User-Based Collaborative-Filtering Recommendation Algorithms on Hadoop. In Proceedings of the Third International Conference on Knowledge Discovery and Data Mining, WKDD 2010, Phuket, Thailand, 9–10 January 2010. [Google Scholar]
- Sarwar, B.; Karypis, G.; Konstan, J.; Riedl, J. Item-based collaborative filtering recommendation algorithms. In Proceedings of the 10th International Conference on World Wide Web, Hong Kong, China, 1–5 May 2001; pp. 285–295. [Google Scholar]
- Wang, J.; Vries, A.; Reinders, M. Unifying user-based and item-based collaborative filtering approaches by similarity fusion. In Proceedings of the SIGIR 2006: 29th Annual International ACM SIGIR Conference on Research and Development in Information Retrieval, Seattle, WA, USA, 6–11 August 2006. [Google Scholar]
- Linden, G.; Smith, B.; York, J. Amazon. com recommendations: Item-to-item collaborative filtering. IEEE Internet Comput. 2003, 7, 76–80. [Google Scholar] [CrossRef]
- Paterek, A. Improving regularized singular value decomposition for collaborative filtering. In Proceedings of the KDD Cup and Workshop, San Jose, CA, USA, 12 August 2007; Volume 2007, pp. 5–8. [Google Scholar]
- Koren, Y. Factorization meets the neighborhood: A multifaceted collaborative filtering model. In Proceedings of the 14th ACM SIGKDD International Conference on Knowledge Discovery and Data Mining, Las Vegas, NV, USA, 24–27 August 2008. [Google Scholar]
- Shani, G.; Heckerman, D.; Brafman, R.I.; Boutilier, C. An MDP-Based Recommender System. J. Mach. Learn. Res. 2005, 6, 1265–1295. [Google Scholar]
- Wu, M.L.; Chang, C.H.; Liu, R.Z. Integrating content-based filtering with collaborative filtering using co-clustering with augmented matrices. Expert Syst. Appl. 2014, 41, 2754–2761. [Google Scholar] [CrossRef]
- Zimdars, A.; Chickering, D.M.; Meek, C. Using Temporal Data for Making Recommendations. arXiv 2013, arXiv:1301.2320. [Google Scholar]
- Lecun, Y.; Bengio, Y.; Hinton, G. Deep learning. Nature 2015, 521, 436. [Google Scholar] [CrossRef] [PubMed]
- Zhang, S.A.; Yao, L.N.; Sun, A.X.; Tay, Y. Deep Learning Based Recommender System: A Survey and New Perspectives. Acm Comput. Surv. 2019, 52, 1–38. [Google Scholar] [CrossRef]
- Cheng, H.T.; Koc, L.; Harmsen, J.; Shaked, T.; Chandra, T.; Aradhye, H.; Anderson, G.; Corrado, G.; Chai, W.; Ispir, M. Wide & Deep Learning for Recommender Systems. In Proceedings of the 1st Workshop on Deep Learning for Recommender Systems, Boston, MA, USA, 15 September 2016. [Google Scholar]
- Covington, P.; Adams, J.; Sargin, E. Deep Neural Networks for YouTube Recommendations. In Proceedings of the 10th ACM Conference on Recommender Systems, Boston, MA, USA, 15–19 September 2016; pp. 191–198. [Google Scholar]
- Okura, S.; Tagami, Y.; Ono, S.; Tajima, A. Embedding-based news recommendation for millions of users. In Proceedings of the 23rd ACM SIGKDD International Conference on Knowledge Discovery and Data Mining, Halifax, NS, Canada, 13–17 August 2017; pp. 1933–1942. [Google Scholar]
- Bobadilla, J.; Alonso, S.; Hernando, A. Deep learning architecture for collaborative filtering recommender systems. Appl. Sci. 2020, 10, 2441. [Google Scholar] [CrossRef]
- Sulikowski, P.; Zdziebko, T. Deep learning-enhanced framework for performance evaluation of a recommending interface with varied recommendation position and intensity based on eye-tracking equipment data processing. Electronics 2020, 9, 266. [Google Scholar] [CrossRef]
- Sulikowski, P.; Zdziebko, T.; Turzyński, D.; Kańtoch, E. Human-website interaction monitoring in recommender systems. Procedia Comput. Sci. 2018, 126, 1587–1596. [Google Scholar] [CrossRef]
- Sulikowski, P.; Zdziebko, T.; Coussement, K.; Dyczkowski, K.; Kluza, K.; Sachpazidu-Wójcicka, K. Gaze and Event Tracking for Evaluation of Recommendation-Driven Purchase. Sensors 2021, 21, 1381. [Google Scholar] [CrossRef]
- Heaton, J. Ian Goodfellow, Yoshua Bengio, and Aaron Courville: Deep learning. Genet. Program. Evolvable Mach. 2017, 19, 1–3. [Google Scholar]
- Wu, S.; Ren, W.; Yu, C.; Chen, G.; Zhang, D.; Zhu, J. Personal recommendation using deep recurrent neural networks in NetEase. In Proceedings of the IEEE International Conference on Data Engineering, Helsinki, Finland, 16–20 May 2016. [Google Scholar]
- Hidasi, B.; Quadrana, M.; Karatzoglou, A.; Tikk, D. Parallel Recurrent Neural Network Architectures for Feature-rich Session-based Recommendations. In Proceedings of the ACM Conference on Recommender Systems, Boston, MA, USA, 15 September 2016. [Google Scholar]
- Quadrana, M.; Karatzoglou, A.; Hidasi, B.; Cremonesi, P. Personalizing Session-based Recommendations with Hierarchical Recurrent Neural Networks. In Proceedings of the Eleventh ACM Conference on Recommender Systems, Como, Italy, 27–31 August 2017. [Google Scholar]
- Wu, C.Y.; Ahmed, A.; Beutel, A.; Smola, A.J.; Jing, H. Recurrent Recommender Networks. In Proceedings of the Tenth Acm International Conference on Web Search & Data Mining, Cambridge, UK, 6–10 February 2017. [Google Scholar]
- Jhamb, Y.; Ebesu, T.; Yi, F. Attentive Contextual Denoising Autoencoder for Recommendation. In Proceedings of the 2018 ACM SIGIR International Conference, Tianjin, China, 14–17 September 2018. [Google Scholar]
- Loyola, P.; Liu, C.; Hirate, Y. Modeling User Session and Intent with an Attention-based Encoder-Decoder Architecture. In Proceedings of the Eleventh ACM Conference on Recommender Systems, Como, Italy, 27–31 August 2017; pp. 147–151. [Google Scholar]
- Wang, X.; Yu, L.; Kan, R.; Tao, G.; Zhang, W.; Yong, Y.; Wang, J. Dynamic Attention Deep Model for Article Recommendation by Learning Human Editors’ Demonstration. In Proceedings of the 23rd ACM Sigkdd International Conference on Knowledge Discovery and Data Mining, Halifax, NS, Canada, 13–17 August 2017. [Google Scholar]
- Ying, R.; He, R.; Chen, K.; Eksombatchai, P.; Hamilton, W.L.; Leskovec, J. Graph convolutional neural networks for web-scale recommender systems. In Proceedings of the 24th ACM SIGKDD International Conference on Knowledge Discovery & Data Mining, London, UK, 19–23 August 2018; pp. 974–983. [Google Scholar]
- Dettmers, T.; Minervini, P.; Stenetorp, P.; Riedel, S. Convolutional 2d knowledge graph embeddings. In Proceedings of the AAAI Conference on Artificial Intelligence, New Orleans, LA, USA, 2–7 February 2018; Volume 32. [Google Scholar]
- Yan, S.; Xiong, Y.; Lin, D. Spatial temporal graph convolutional networks for skeleton-based action recognition. In Proceedings of the AAAI Conference on Artificial Intelligence, New Orleans, LA, USA, 2–7 February 2018; Volume 32. [Google Scholar]
- Ullah, I.; Manzo, M.; Shah, M.; Madden, M. Graph Convolutional Networks: analysis, improvements and results. arXiv 2019, arXiv:1912.09592. [Google Scholar]
- Li, Y.; Tarlow, D.; Brockschmidt, M.; Zemel, R. Gated Graph Sequence Neural Networks. arXiv 2015, arXiv:1511.05493. [Google Scholar]
- Beck, D.; Haffari, G.; Cohn, T. Graph-to-Sequence Learning using Gated Graph Neural Networks. In Proceedings of the 56th Annual Meeting of the Association for Computational Linguistics (ACL), Melbourne, Australia, 15–20 July 2018; Volume 1, pp. 273–283. [Google Scholar]
- Arora, S.; Liang, Y.; Ma, T. A simple but tough-to-beat baseline for sentence embeddings. In Proceedings of the International Conference on Learning Representations (ICLR), Caribe Hilton, San Juan, 2–5 May 2016. [Google Scholar]
- Wang, C.; Blei, D.M. Collaborative topic modeling for recommending scientific articles. In Proceedings of the 17th ACM SIGKDD International Conference on Knowledge Discovery and Data Mining, San Diego, CA, USA, 21–24 August 2011; pp. 448–456. [Google Scholar]
- Wang, H.; Chen, B.; Li, W.J. Collaborative Topic Regression with Social Regularization for Tag Recommendation. In Proceedings of the International Joint Conference on Artificial Intelligence, Beijing, China, 3–9 August 2013. [Google Scholar]
- Huang, P.S.; He, X.; Gao, J.; Deng, L.; Acero, A.; Heck, L. Learning deep structured semantic models for web search using clickthrough data. In Proceedings of the 22nd ACM International Conference on Information & Knowledge Management, San Francisco, CA, USA, 27 October–1 November 2013; pp. 2333–2338. [Google Scholar]








| Notations | Descriptions |
|---|---|
| G | A graph. |
| V | The set of nodes in a graph. |
| A node . | |
| E | The set of edges in a graph. |
| the i-th clicked text in the s | |
| The features vector set of nodes. | |
| d | The dimension of node features. |
| The recent purpose of the session. | |
| The long-term purpose of the session. | |
| The features vector of the whole session. | |
| The probabilities for optional texts. | |
| The score for each candidate text option. |
| Statistics | citeulike-a | citeulike-t |
|---|---|---|
| Clicks | 204,986 | 134,860 |
| Training sessions | 199,436 | 127,409 |
| Test sessions | 35,446 | 16,821 |
| Academic texts | 16,980 | 25,975 |
| Method | citeulike-a | citeulike-t | ||||||
|---|---|---|---|---|---|---|---|---|
| Recall@5 | Recall@20 | MRR@5 | MRR@20 | Recall@5 | Recall@20 | MRR@5 | MRR@20 | |
| POP | 1.46 | 5.81 | 0.89 | 1.42 | 1.28 | 4.33 | 0.91 | 1.40 |
| S-POP | 1.54 | 6.36 | 0.98 | 1.54 | 1.65 | 5.07 | 1.12 | 1.86 |
| Item-KNN | 0.00 | 6.91 | 0.00 | 3.76 | 0.00 | 5.76 | 0.00 | 1.89 |
| BPR-MF | 0.49 | 3.72 | 0.29 | 0.93 | 1.69 | 4.23 | 0.31 | 0.97 |
| GRU4Rec | 7.32 | 22.23 | 5.28 | 7.30 | 7.13 | 21.17 | 4.72 | 6.76 |
| GRU4Rec+ | 7.63 | 23.84 | 5.59 | 7.63 | 7.46 | 21.81 | 4.93 | 7.14 |
| NARM | 8.13 | 23.98 | 5.47 | 7.48 | 7.90 | 22.35 | 5.35 | 7.57 |
| STAMP | 7.95 | 21.96 | 4.97 | 6.89 | 7.38 | 21.92 | 5.01 | 6.93 |
| SR-GNN | 8.67 | 24.12 | 5.51 | 7.59 | 8.03 | 22.68 | 5.53 | 7.61 |
| TXT-SR | 8.98 | 25.89 | 6.21 | 8.17 | 8.28 | 24.29 | 5.98 | 7.92 |
Publisher’s Note: MDPI stays neutral with regard to jurisdictional claims in published maps and institutional affiliations. |
© 2021 by the authors. Licensee MDPI, Basel, Switzerland. This article is an open access article distributed under the terms and conditions of the Creative Commons Attribution (CC BY) license (https://creativecommons.org/licenses/by/4.0/).
Share and Cite
Yu, J.; Pan, C.; Li, Y.; Wang, J. An Academic Text Recommendation Method Based on Graph Neural Network. Information 2021, 12, 172. https://doi.org/10.3390/info12040172
Yu J, Pan C, Li Y, Wang J. An Academic Text Recommendation Method Based on Graph Neural Network. Information. 2021; 12(4):172. https://doi.org/10.3390/info12040172
Chicago/Turabian StyleYu, Jie, Chenle Pan, Yaliu Li, and Junwei Wang. 2021. "An Academic Text Recommendation Method Based on Graph Neural Network" Information 12, no. 4: 172. https://doi.org/10.3390/info12040172
APA StyleYu, J., Pan, C., Li, Y., & Wang, J. (2021). An Academic Text Recommendation Method Based on Graph Neural Network. Information, 12(4), 172. https://doi.org/10.3390/info12040172

