Low-Cost Automatic Weather Stations in the Internet of Things
Abstract
1. Introduction
- Light AWS for measurement of few variables (precipitation and/or air temperature).
- Basic AWS for the measurement of basic meteorological measurements (air temperature, relative humidity, wind speed and direction, precipitation, and atmospheric pressure).
- Extended AWS that measure additionally solar radiation, sunshine duration, soil temperature, and evaporation.
- AWS with automation of visual observations (cloud base height and present weather).
2. Automatic Weather Station Systems and Related Work
2.1. WMO Automatic Weather Stations Observing Systems
- The AWS units and the sensing instruments attached to or connected to it.
- The local modem or interface used to connect AWS to a telecom or computer network.
- A Central Processing System fed by data transmitted by all the AWS making up the Observing Network. This system usually connects:
- To the WMO Information System (WIS), or
- To an Automatic Message Switching System (AMSS) linked to the WIS.
2.2. Automatic Weather Stations Topologies
- Point to Point. The AWS and the central unit are directly connected regardless of the connection means (wired or wireless). The same methodology can be considered in the case of sensors. Each sensor is directly connected to the AWS using a dedicated mean of data transfer (usually a cable). This topology is the most basic and easiest to implement, as it requires a direct connection of the sensor to the AWS or the AWS to the data network. For this reason, it is the easiest topology to implement. However, this type of connection is prone to failure mainly due to the fact that if the connection medium (or modem) fails, the AWS loses its connection to the network.
- Bus. The AWS share a single communication line or cable. Directly in line with the aforementioned methodology, the sensors can be connected to the AWS using a single line or cable. This methodology is used for the connection of sensors using the Serial Peripheral Protocol (SPI). This topology is used to connect AWSs (or sensors) that are located in series (for example, in case of capturing measurements across a riverbed). It is easy to implement but it has an inherent disadvantage due to the fact that if the line is damaged, then all the stations (or sensors) are completely disconnected, even if the ones before and after the break are functioning properly.
- Star. All AWSs are connected to the central unit, using a point-to-point connection. Each unit uses a wired or wireless interface to connect to the central unit. The same methodology can be used for the connection of the sensors to the AWS where each sensor is directly used to the AWS using a wired or wireless interface for data transfer. The star topology is considered a safe choice regarding the sensor connection to the AWS. This is due to the fact that even if a sensor connection fails, the others can still function properly. In the case of an AWS network, star topology is also considered a safe choice because if a station’s connection is severed, the rest of the network can still function independently. The only disadvantage of this topology is the installation complexity.
- Mesh Topology. This methodology can be used only for connecting the AWS to the central unit, which acts as a repository and process device. In this case, each AWS is connected to one or multiple hosts. This topology has AWS that are connected to one or multiple AWS. Thus, the topology can be characterized as Full Mesh, where each AWS has a point-to-point connection with each AWS in the network, and Partially Mesh, where not all AWS have point-to-point connection to every other AWS. The Mesh topology is the most complex to use and the most resilient to failure. The installation complexity derives from the fact that (in case we use wired connections) all sensors and all AWS must be connected with each other, thus increasing the implementation difficulty. However, this topology allows the network to continue to perform measurements, even if some sensors or AWS fail due to the fact that most of the times, there is always a connection route to transfer data.
2.3. Automatic Weather Stations Data Acquisition
2.3.1. Offline Data Acquisition
2.3.2. Online Data Acquisition
Wired Communications
Wireless Communications
2.4. Internet of Things, Artificial Intelligence, and Automatic Weather Stations Systems
- Edge Computing layer: This layer consists of:
- ○
- Edge Devices:
- ▪
- End Devices (IoT Perception layer): Connected End devices at the edge of a network with embedded processing power, primitive intelligence, network connectivity, and sensing capabilities.
- ▪
- Edge Servers (Edge Computing layer): In this layer operates all the intelligent computational systems that collect, pre-process, and communicate both with End Devices and the upper systems.
- Cloud Computing layer: In this layer, powerful cloud computing systems and servers collect, store, and process data using intelligent software.
- Application Layer (IoT applications and services): In this horizontal layer, end users/machines consume data using available Edged IoT applications/services from all the layers (Edge and Cloud).
3. Case Study
3.1. The AgroComp Project
- Soil Humidity (Adafruit STEMMA Soil Sensor—I2C)
- Soil Temperature (DS18b20)
- Air Temperature (SHT-10/DHT22/BMP180)
- Air Humidity (SHT-10 or DHT22)
- Atmospheric Pressure (BMP180)
- Wind Vane (Analog)
- Wind Direction (Analog)
- Rain Gauge (Analog)
3.2. Area Measurement Using Wireless Nodes
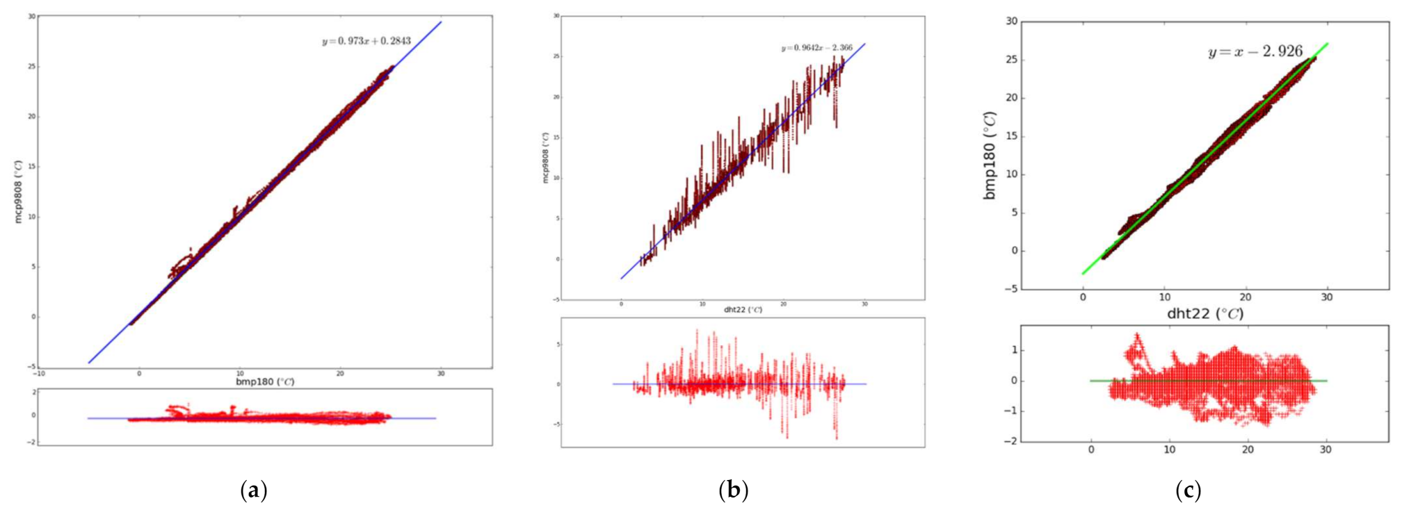
3.3. Results, Measurement Accuracy of Low-Cost Sensors
3.4. Future Improvements Using AI
4. Discussion
- Fast and Low-Cost setup: The user selects the preinstalled nodes based on the research demands.
- Multiuser services: The same nodes can also provide data to other researchers as they can simultaneously be active parts of several virtual AWS.
- Measurement Accuracy and redundancy: The existence of several nodes measuring the same variable (temperature, humidity, etc.) ensures the quality of the measurements. Any sensor malfunction can be easily detected, and the node can be removed from the virtual AWS.
5. Conclusions
6. Patents
Author Contributions
Funding
Institutional Review Board Statement
Informed Consent Statement
Data Availability Statement
Conflicts of Interest
References
- Ahrens, C.D. Meterorology Today, 9th ed.; Brooks, Cole, Cengage Learning: Belmont, CA, USA, 2009; ISBN 0-495-55573-8. [Google Scholar]
- Flokas, A. Lessons in Meteorology and Climatology; Ziti Publications: Thessaloniki, Greece, 1992. [Google Scholar]
- Bagiorgas, H.S.; Assimakopoulos, M.N.; Patentalaki, A.; Konofaos, N.; Matthopoulos, D.P.; Mihalakakou, G. The Design, Installation and Operation of a Fully Computerized, Automatic Weather Station for High Quality Meteorological Measurements. Fresenius Environ. Bull. 2007, 16, 948–962. [Google Scholar]
- Guide to Instruments and Methods of Observation; Volume III—Observing Systems; World Meteorological Organization: Geneva, Switzerland, 2018; Available online: https://community.wmo.int/activity-areas/imop/wmo-no_8 (accessed on 29 March 2021).
- Roberts, L.G.; Wessler, B.D. Computer Network Development to Achieve Resource Sharing. In Proceedings of the May 5–7, 1970, Spring Joint Computer Conference; Association for Computing Machinery: New York, NY, USA, 1970; pp. 543–549. [Google Scholar]
- Nitu, R.; Wong, K. Measurement of Solid Precipitation at Automatic Weather Stations, Challenges and Opportunities. Meteorol. Serv. Can. 2010, 4905, 1–10. [Google Scholar]
- Groth, D.; Skandier, T. Network+ Study Guide, 4th ed.; Sybex: Sedona, AZ, USA, 2005; ISBN 978-0-7821-4406-2. [Google Scholar]
- Genere, B. Tropicalisation of Automatic Weather Stations and Initial Results for Improved Irrigation Water Management in Reunion Island. Agric. Water Manag. 1990, 17, 141–149. [Google Scholar] [CrossRef]
- Strangeways, I.C. A Cold Regions Automatic Weather Station. J. Hydrol. 1985, 79, 323–332. [Google Scholar] [CrossRef]
- Nsabagwa, M.; Byamukama, M.; Kondela, E.; Otim, J.S. Towards a Robust and Affordable Automatic Weather Station. Dev. Eng. 2019, 4, 100040. [Google Scholar] [CrossRef]
- Abbate, S.; Avvenuti, M.; Carturan, L.; Cesarini, D. Deploying a Communicating Automatic Weather Station on an Alpine Glacier. In Proceedings of the Procedia Computer Science, Barcelona, Spain, 5–7 June 2013. [Google Scholar]
- Mestre, G.; Ruano, A.; Duarte, H.; Silva, S.; Khosravani, H.; Pesteh, S.; Ferreira, P.M.; Horta, R. An Intelligent Weather Station. Sensors 2015, 15, 31005–31022. [Google Scholar] [CrossRef]
- Strigaro, D.; Cannata, M.; Antonovic, M. Boosting a Weather Monitoring System in Low Income Economies Using Open and Non-Conventional Systems: Data Quality Analysis. Sensors 2019, 19, 1185. [Google Scholar] [CrossRef] [PubMed]
- Villagrán, V.; Montecinos, A.; Franco, C.; Muñoz, R.C. Environmental Monitoring Network along a Mountain Valley Using Embedded Controllers. Meas. J. Int. Meas. Confed. 2017. [Google Scholar] [CrossRef]
- Alliance, L. LoRaWANTM 1.1 Specification; LoRa Alliance: Fremont, CA, USA, 2017. [Google Scholar]
- Lee, C.-J.; Ki-Seon, R.; Beum-Joon, K. Periodic Ranging in a Wireless Access System for Mobile Station in Sleep Mode. U.S. Patent 8,514,757, 20 August 2013. [Google Scholar]
- Kochhar, A.; Kumar, N. Wireless Sensor Networks for Greenhouses: An End-to-End Review. Comput. Electron. Agric. 2019, 163, 104877. [Google Scholar] [CrossRef]
- Sinha, R.S.; Wei, Y.; Hwang, S.-H. A Survey on LPWA Technology: LoRa and NB-IoT. ICT Express 2017, 3, 14–21. [Google Scholar] [CrossRef]
- Adityawarman, Y.; Matondang, J. Development of Micro Weather Station Based on Long Range Radio Using Automatic Packet Reporting System Protocol. In Proceedings of the 2018 International Conference on Information Technology Systems and Innovation (ICITSI), Bandung, Indonesia, 22–26 October 2018; pp. 221–224. [Google Scholar]
- Pietrosemoli, E.; Rainone, M.; Zennaro, M. On Extending the Wireless Communications Range of Weather Stations Using LoRaWAN. In Proceedings of the 5th EAI International Conference on Smart Objects and Technologies for Social Good, Valencia, Spain, 25–27 September 2019; Association for Computing Machinery: New York, NY, USA, 2019; pp. 78–83. [Google Scholar]
- Rahman, N.H.A.; Yamada, Y.; Husni, M.H.; Aziz, N.H.A. Analysis of Propagation Link for Remote Weather Monitoring System through LoRa Gateway. In Proceedings of the 2018 2nd International Conference on Telematics and Future Generation Networks (TAFGEN), Kuching, Malaysia, 24–26 July 2018; pp. 55–60. [Google Scholar]
- Lee, H.; Ke, K. Monitoring of Large-Area IoT Sensors Using a LoRa Wireless Mesh Network System: Design and Evaluation. IEEE Trans. Instrum. Meas. 2018, 67, 2177–2187. [Google Scholar] [CrossRef]
- Hossinuzzaman, M.D.; Dahnil, D.P. Enhancement of Packet Delivery Ratio during Rain Attenuation for Long Range Technology. Int. J. Adv. Comput. Sci. Appl. 2019, 10. [Google Scholar] [CrossRef]
- Bezerra, N.S.; Ahlund, C.; Saguna, S.; de Sousa, V.A. Temperature Impact in LoraWAN—A Case Study in Northern Sweden. Sensors 2019, 19, 4414. [Google Scholar] [CrossRef]
- Cardell-Oliver, R.; Hübner, C.; Leopold, M.; Beringer, J. Dataset: LoRa Underground Farm Sensor Network. In Proceedings of the DATA 2019, 2nd ACM Workshop on Data Acquisition To Analysis, Part of SenSys 2019, New York, NY, USA, 10 November 2019. [Google Scholar]
- Xue-fen, W.; Yi, Y.; Jian, C. Wireless Sensor Node with Lightning and Atmospheric Pressure Detection for Severe Convective Weather Warning Networks. In Proceedings of the 2018 International Symposium in Sensing and Instrumentation in IoT Era (ISSI), Shanghai, China, 6–7 September 2018; pp. 1–6. [Google Scholar]
- Malhi, G.S.; Kaur, M.; Kaushik, P. Impact of Climate Change on Agriculture and Its Mitigation Strategies: A Review. Sustainability 2021, 13, 1318. [Google Scholar] [CrossRef]
- European Environment Agency. Progress of the European Union towards Its Renewable Energy Targets. 2017. Available online: https://www.eea.europa.eu/themes/climate/trends-and-projections-in-europe/trends-and-projections-in-europe-2016/4-progress-of-the-european (accessed on 29 March 2021).
- Shi, W.; Cao, J.; Zhang, Q.; Li, Y.; Xu, L. Edge Computing: Vision and Challenges. IEEE Internet Things J. 2016, 3, 637–646. [Google Scholar] [CrossRef]
- Tsai, C.W.; Lai, C.F.; Vasilakos, A.V. Future Internet of Things: Open Issues and Challenges. Wirel. Netw. 2014, 20, 2201–2217. [Google Scholar] [CrossRef]
- Chen, J.; Ran, X. Deep Learning With Edge Computing: A Review. Proc. IEEE 2019, 107, 1655–1674. [Google Scholar] [CrossRef]
- Seferagić, A.; Famaey, J.; De Poorter, E.; Hoebeke, J. Survey on Wireless Technology Trade-Offs for the Industrial Internet of Things. Sensors 2020, 20, 488. [Google Scholar] [CrossRef]
- Lagkas, T.; Argyriou, V.; Bibi, S.; Sarigiannidis, P. UAV IoT Framework Views and Challenges: Towards Protecting Drones as “Things”. Sensors 2018, 18, 4015. [Google Scholar] [CrossRef]
- Li, H.; Ota, K.; Dong, M. Learning IoT in Edge: Deep Learning for the Internet of Things with Edge Computing. IEEE Netw. 2018, 32, 96–101. [Google Scholar] [CrossRef]
- Galanopoulos, A.; Iosifidis, G.; Salonidis, T. Cooperative Analytics for the Internet of Things. In Proceedings of the Twentieth ACM International Symposium on Mobile Ad Hoc Networking and Computing, Catania, Italy, 2–5 July 2019; Association for Computing Machinery: New York, NY, USA, 2019; pp. 395–396. [Google Scholar]
- Chavan, G.; Momin, B. An Integrated Approach for Weather Forecasting over Internet of Things: A Brief Review. In Proceedings of the 2017 International Conference on I-SMAC (IoT in Social, Mobile, Analytics and Cloud) (I-SMAC), Palladam, India, 10–11 February 2017. [Google Scholar]
- Yazici, M.T.; Basurra, S.; Gaber, M.M. Edge Machine Learning: Enabling Smart Internet of Things Applications. Big Data Cogn. Comput. 2018, 2, 26. [Google Scholar] [CrossRef]
- Guillén-Navarro, M.Á.; Pereñíguez-García, F.; Martínez-España, R. IoT-Based System to Forecast Crop Frost. In Proceedings of the 2017 International Conference on Intelligent Environments (IE), Seoul, Korea, 21–25 August 2017; pp. 28–35. [Google Scholar]
- Nguyen Gia, T.; Qingqing, L.; Pena Queralta, J.; Zou, Z.; Tenhunen, H.; Westerlund, T. Edge AI in Smart Farming IoT: CNNs at the Edge and Fog Computing with LoRa. In Proceedings of the IEEE AFRICON Conference, Accra, Ghana, 25–27 September 2019. [Google Scholar]
- Ioannou, K.; Emmanouloudis, D.; Xenitidis, K. Low Cost Computer Platforms for Environmental Monitoring the Case of the AgroComp Project. In Proceedings of the 8th International Conference on Information and Communication Technologies in Agriculture, Food and Environment, Crete, Greece, 21–24 September 2017; CEUR: Chania, Greece, 2017. [Google Scholar]
- Ioannou, K.; Emmanouloudis, D.; Xenitidis, K. A Comparative Analysis among Three Commercial Temperature Sensors. In Proceedings of the 8th International Conference on Information and Communication Technologies in Agriculture, Food and Environment, Crete, Greece, 21–24 September 2017; CEUR: Chania, Greece, 2017. [Google Scholar]
- Muthukumar, J. Kaggle—Weather Dataset. Available online: https://www.kaggle.com/muthuj7/weather-dataset (accessed on 21 January 2021).
- Huang, Z.Q.; Chen, Y.C.; Wen, C.Y. Real-Time Weather Monitoring and Prediction Using City Buses and Machine Learning. Sensors 2020, 20, 5173. [Google Scholar] [CrossRef] [PubMed]
- Staudemeyer, R.C.; Morris, E.R. Understanding LSTM—A Tutorial into Long Short-Term Memory Recurrent Neural Networks. arXiv 2019, arXiv:1909.09586. [Google Scholar]
- WMO International Conference on Automatic Weather Stations. Automatic Weather Stations for Environmental Intelligence—The AWS in the 21st Century, ICAWS 2017 Proceedings; WMO Report No.127; WMO: Geneva, Switzerland, 2017. [Google Scholar]









| Day 1 | Day 2 | Day 3 | Day 4 | Day 5 | ||||||
|---|---|---|---|---|---|---|---|---|---|---|
| Mean | St. d. | Mean | St. d. | Mean | St. d. | Mean | St. d. | Mean | St. d. | |
| Mercury—BMP | 0.055 | 0.769 | 0.427 | 1.049 | 0.635 | 1.907 | 0.879 | 1.814 | 0.433 | 2.482 |
| Mercury—MCP | −1.523 | 0.749 | −1.134 | 0.996 | −0.853 | 1.759 | −0.664 | 1.732 | −1.101 | 2.406 |
| Mercury—DHT | −3.045 | 0.838 | −2.554 | 1.066 | −2.163 | 1.989 | −1.906 | 1.851 | −2.706 | 2.551 |
| Regression | Standard Error of Estimate | |
|---|---|---|
| H.N.M.S. and BMP | y = 0.986x − 0.154 | 1.374 |
| H.N.M.S. and MCP | y = 0.96 − 0.829 | 1.455 |
| H.N.M.S. and DHT | y = 1.068x − 2.948 | 1.574 |
| DL Model Architecture | ||
|---|---|---|
| Layers | Units | Activation Function |
| LSTM | 40 | Sigmoid |
| Dense | 3 | Linear |
| Training Parameter | ||
| Epochs | 20 | |
| Steps per epoch | 100 | |
| Results | ||
| Trained model | 45.5 KB | |
| Test loss | 0.009 | |
| Test Acc | 0.88 | |
| Cloud | Edge Server | End Device | |
|---|---|---|---|
| Hardware | GPU—Google Colab | CPU Intel i7-6700, 8 GB RAM | CPU, ARM Cortex-A72, 4 GB RAM |
| Training time | 195 s | 110 min 32 s | Not applicable |
| Inferencing time | 2 s | 4 s | 6 s |
Publisher’s Note: MDPI stays neutral with regard to jurisdictional claims in published maps and institutional affiliations. |
© 2021 by the authors. Licensee MDPI, Basel, Switzerland. This article is an open access article distributed under the terms and conditions of the Creative Commons Attribution (CC BY) license (https://creativecommons.org/licenses/by/4.0/).
Share and Cite
Ioannou, K.; Karampatzakis, D.; Amanatidis, P.; Aggelopoulos, V.; Karmiris, I. Low-Cost Automatic Weather Stations in the Internet of Things. Information 2021, 12, 146. https://doi.org/10.3390/info12040146
Ioannou K, Karampatzakis D, Amanatidis P, Aggelopoulos V, Karmiris I. Low-Cost Automatic Weather Stations in the Internet of Things. Information. 2021; 12(4):146. https://doi.org/10.3390/info12040146
Chicago/Turabian StyleIoannou, Konstantinos, Dimitris Karampatzakis, Petros Amanatidis, Vasileios Aggelopoulos, and Ilias Karmiris. 2021. "Low-Cost Automatic Weather Stations in the Internet of Things" Information 12, no. 4: 146. https://doi.org/10.3390/info12040146
APA StyleIoannou, K., Karampatzakis, D., Amanatidis, P., Aggelopoulos, V., & Karmiris, I. (2021). Low-Cost Automatic Weather Stations in the Internet of Things. Information, 12(4), 146. https://doi.org/10.3390/info12040146

