The Decline of User Experience in Transition from Automated Driving to Manual Driving
Abstract
1. Introduction
User Experience
2. Method
2.1. Participants
2.2. Setup
2.3. Procedure
2.4. Data Collection
2.4.1. Qualitative
2.4.2. Quantitative
2.5. Analysis
2.5.1. Qualitative Analysis
2.5.2. Quantitative Analysis
3. Findings
3.1. Reasons Behind the Experience of the Transition
3.2. Comparison between Drivers’ Experience and Take-Over Time
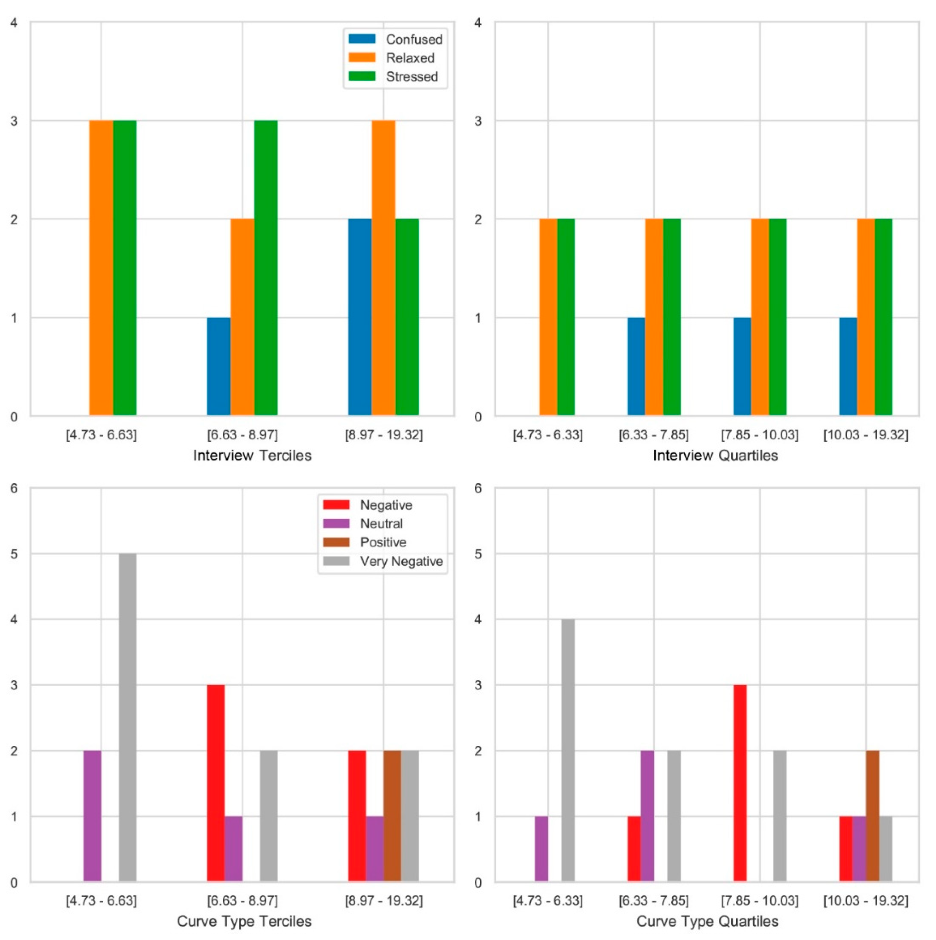
3.2.1. Quantile
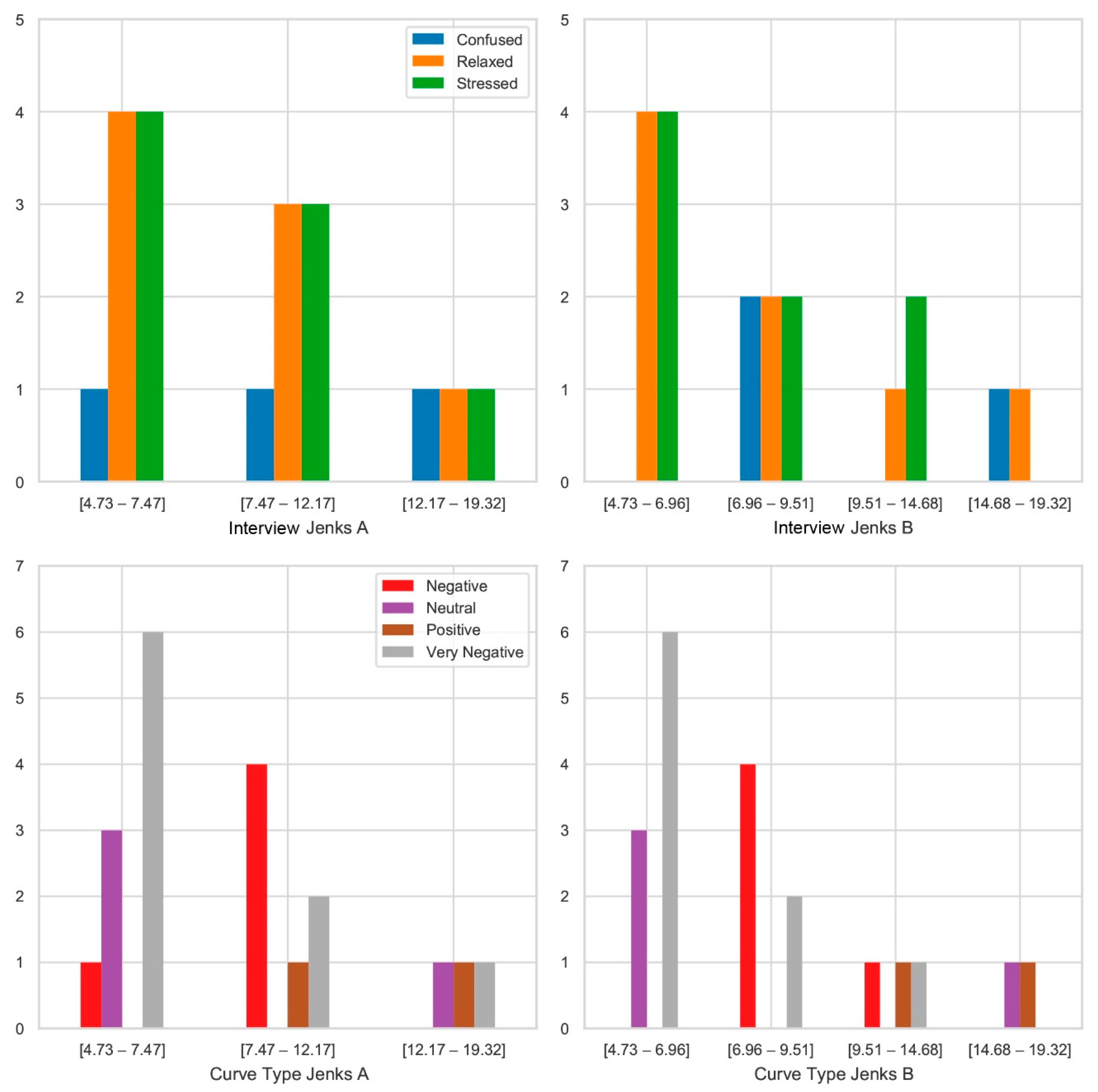
3.2.2. Jenks Method
Cluster Evaluation
Jenks Method Clusters
4. Discussion
4.1. The Decline of User Experience
4.2. UX of Transitions and Take-Over Time
4.3. Methodological Influence on Take-Over Time and UX
5. Conclusions
Author Contributions
Funding
Institutional Review Board Statement
Informed Consent Statement
Data Availability Statement
Acknowledgments
Conflicts of Interest
References
- Litman, T. Autonomous Vehicle Implementation Predictions; Victoria Transport Policy Institute: Victoria, BC, Canada, 2018. [Google Scholar]
- SAE. Taxonomy and Definitions for Terms Related to Driving Automation Systems for On-Road Motor Vehicles; SAE International: Warrendale, PA, USA, 2018. [Google Scholar] [CrossRef]
- Eriksson, A.; Stanton, N.A. Driving Performance After Self-Regulated Control Transitions in Highly Automated Vehicles. Hum. Factors 2017, 59, 1233–1248. [Google Scholar] [CrossRef] [PubMed]
- Forster, Y.; Hergeth, S.; Naujoks, F.; Beggiato, M.; Krems, J.F.; Keinath, A. Learning to use automation: Behavioral changes in interaction with automated driving systems. Transp. Res. Part F Traffic Psychol. Behav. 2019, 62, 599–614. [Google Scholar] [CrossRef]
- Gold, C.; Körber, M.; Lechner, D.; Bengler, K. Taking Over Control From Highly Automated Vehicles in Complex Traffic Situations:The Role of Traffic Density. Hum. Factors 2016, 58, 642–652. [Google Scholar] [CrossRef]
- Eriksson, A.; Stanton, N.A. Takeover Time in Highly Automated Vehicles: Noncritical Transitions to and From Manual Control. Hum. Factors 2017, 59, 689–705. [Google Scholar] [CrossRef]
- Naujoks, F.; Purucker, C.; Wiedemann, K.; Marberger, C. Noncritical State Transitions During Conditionally Automated Driving on German Freeways: Effects of Non–Driving Related Tasks on Takeover Time and Takeover Quality. Hum. Factors 2019, 61, 596–613. [Google Scholar] [CrossRef] [PubMed]
- Zeeb, K.; Buchner, A.; Schrauf, M. What determines the take-over time? An integrated model approach of driver take-over after automated driving. Accid. Anal. Prev. 2015, 78, 212–221. [Google Scholar] [CrossRef]
- McDonald, A.D.; Alambeigi, H.; Engström, J.; Markkula, G.; Vogelpohl, T.; Dunne, J.; Yuma, N. Toward Computational Simulations of Behavior During Automated Driving Takeovers: A Review of the Empirical and Modeling Literatures. Hum. Factors 2019, 61, 642–688. [Google Scholar] [CrossRef]
- Zhang, B.; de Winter, J.; Varotto, S.; Happee, R.; Martens, M. Determinants of take-over time from automated driving: A meta-analysis of 129 studies. Transp. Res. Part F Traffic Psychol. Behav. 2019, 64, 285–307. [Google Scholar] [CrossRef]
- Frison, A.-K.; Forster, Y.; Wintersberger, P.; Geisel, V.; Riener, A. Where We Come from and Where We Are Going: A Systematic Review of Human Factors Research in Driving Automation. Appl. Sci. 2020, 10, 8914. [Google Scholar] [CrossRef]
- Pettersson, I.; Lachner, F.; Frison, A.-K.; Riener, A.; Butz, A. A Bermuda Triangle? A Review of Method Application and Triangulation in User Experience Evaluation. In Proceedings of the 2018 CHI Conference on Human Factors in Computing Systems, Montreal, QC, Canada, 21–26 April 2018; p. 461. [Google Scholar]
- Hassenzahl, M. The Thing and I: Understanding the Relationship Between User and Product. In Funology 2: From Usability to Enjoyment; Blythe, M., Monk, A., Eds.; Springer International Publishing: Cham, The Netherlands, 2018; pp. 301–313. [Google Scholar] [CrossRef]
- Hassenzahl, M. User experience (UX): Towards an experiential perspective on product quality. In Proceedings of the 20th Conference on l’Interaction Homme-Machine, Metz, France, 2–5 September 2008; pp. 11–15. [Google Scholar]
- Forlizzi, J.; Ford, S. The building blocks of experience: An early framework for interaction designers. In Proceedings of the 3rd conference on Designing Interactive Systems: Processes, Practices, Methods, and Techniques, New York City, NY, USA, 17–19 August 2000; pp. 419–423. [Google Scholar]
- Frison, A.-K.; Aigner, L.; Wintersberger, P.; Riener, A. Who is Generation A? Investigating the Experience of Automated Driving for Different Age Groups. In Proceedings of the 10th International Conference on Automotive User Interfaces and Interactive Vehicular Applications, Toronto, ON, Canada, 23–25 September 2018; pp. 94–104. [Google Scholar]
- Eckoldt, K.; Knobel, M.; Hassenzahl, M.; Schumann, J. An Experiential Perspective on Advanced Driver Assistance Systems. It Inf. Technol. 2012, 54, 165–171. [Google Scholar] [CrossRef]
- Bjørner, T. Driving pleasure and perceptions of the transition from no automation to full self-driving automation. Appl. Mobilities 2019, 4, 257–272. [Google Scholar] [CrossRef]
- Pettersson, I.; Karlsson, I.C.M. Setting the stage for autonomous cars: A pilot study of future autonomous driving experiences. IET Intell. Transp. Syst. 2015, 9, 694–701. [Google Scholar] [CrossRef]
- Frison, A.-K.; Wintersberger, P.; Riener, A.; Schartmüller, C. Driving Hotzenplotz: A Hybrid Interface for Vehicle Control Aiming to Maximize Pleasure in Highway Driving. In Proceedings of the 9th International Conference on Automotive User Interfaces and Interactive Vehicular Applications, Oldenburg, Germany, 24–27 September 2017; pp. 236–244. [Google Scholar]
- Karjanto, J.; Yusof, N.M.; Wang, C.; Terken, J.; Delbressine, F.; Rauterberg, M. The effect of peripheral visual feedforward system in enhancing situation awareness and mitigating motion sickness in fully automated driving. Transp. Res. Part F Traffic Psychol. Behav. 2018, 58, 678–692. [Google Scholar] [CrossRef]
- Pettersson, I. Eliciting User Experience Information in Early Design Phases: The CARE Approach to In-Vehicle UX; Chalmers University of Technology: Gothenburg, Sweden, 2018. [Google Scholar]
- van der Heiden, R.M.; Iqbal, S.T.; Janssen, C.P. Priming Drivers before Handover in Semi-Autonomous Cars. In Proceedings of the 2017 CHI Conference on Human Factors in Computing Systems, Denver, CO, USA, 6–11 May 2017; pp. 392–404. [Google Scholar] [CrossRef]
- Kutchek, K.; Jeon, M. Takeover and Handover Requests using Non-Speech Auditory Displays in Semi-Automated Vehicles. In Proceedings of the Extended Abstracts of the 2019 CHI Conference on Human Factors in Computing Systems, Glasgow, Scotland, UK, 4–9 May 2019. Paper LBW0228. [Google Scholar]
- Brandenburg, S.; Epple, S. Drivers’ Individual Design Preferences of Takeover Requests in Highly Automated Driving. i-Com 2019, 18, 167–178. [Google Scholar] [CrossRef]
- Frison, A.-K.; Wintersberger, P.; Oberhofer, A.; Riener, A. ATHENA: Supporting UX of conditionally automated driving with natural language reliability displays. In Proceedings of the 11th International Conference on Automotive User Interfaces and Interactive Vehicular Applications: Adjunct Proceedings, Utrecht, The Netherlands, 21–25 September 2019; pp. 187–193. [Google Scholar]
- Muthumani, A.; Diederichs, F.; Galle, M.; Schmid-Lorch, S.; Forsberg, C.; Widlroither, H.; Feierle, A.; Bengler, K. How Visual Cues on Steering Wheel Improve Users’ Trust, Experience, and Acceptance in Automated Vehicles; Springer International Publishing: Cham, The Netherlands, 2020; pp. 186–192. [Google Scholar]
- Mok, B.; Johns, M.; Yang, S.; Ju, W. Actions speak louder: Effects of a transforming steering wheel on post-transition driver performance. In Proceedings of the 2017 IEEE 20th International Conference on Intelligent Transportation Systems (ITSC), Yokohama, Japan, 16–19 October 2017; pp. 1–8. [Google Scholar]
- European Parliament. Regulation (EU) 2016/679 of the European Parliament and of the Council of 27 April 2016 on the Protection of Natural Persons with Regard to the Processing of Personal Data and on the Free Movement of Such Data, and Repealing Directive 95/46/EC (General Data Protection Regulation) (Text with EEA Relevance). pp. 1–88. Available online: https://eur-lex.europa.eu/eli/reg/2016/679/oj (accessed on 20 February 2021).
- Gkouskos, D.; Pettersson, I.; Karlsson, M.; Chen, F. Exploring User Experience in the Wild: Facets of the Modern Car; Springer International Publishing: Cham, The Netherlands, 2015; pp. 450–461. [Google Scholar]
- Wintersberger, P.; Frison, A.-K.; Riener, A.; Sawitzky, T.v. Fostering User Acceptance and Trust in Fully Automated Vehicles: Evaluating the Potential of Augmented Reality. Presence: Virtual Augment. Real. 2019, 27, 46–62. [Google Scholar] [CrossRef]
- Kujala, S.; Roto, V.; Väänänen-Vainio-Mattila, K.; Karapanos, E.; Sinnelä, A. UX Curve: A method for evaluating long-term user experience. Interact. Comput. 2011, 23, 473–483. [Google Scholar] [CrossRef]
- DEWESoft. SIRIUS Data Acquisition (DAQ) System. 2020. Available online: https://dewesoft.com/products/daq-systems/sirius#sbox (accessed on 10 August 2020).
- McMaster, R. In Memoriam: George F. Jenks (1916–1996). Cartogr. Geogr. Inf. Syst. 1997, 24, 56–59. [Google Scholar] [CrossRef]
- Jenks, G.F. The data model concept in statistical mapping. Int. Yearb. Cartogr. 1967, 7, 186–190. [Google Scholar]
- Rousseeuw, P.J. Silhouettes: A graphical aid to the interpretation and validation of cluster analysis. J. Comput. Appl. Math. 1987, 20, 53–65. [Google Scholar] [CrossRef]
- Ekman, F.; Johansson, M.; Bligård, L.-O.; Karlsson, M.; Strömberg, H. Exploring automated vehicle driving styles as a source of trust information. Transp. Res. Part F Traffic Psychol. Behav. 2019, 65, 268–279. [Google Scholar] [CrossRef]
- Ning, W.; Wang, X.; Qian, Y. Transition to Automated: The Interaction of Activating the In-vehicle Automated Driving System; Springer International Publishing: Cham, The Netherlands, 2019; pp. 101–113. [Google Scholar]
- Novakazi, F.; Johansson, M.; Erhardsson, G.; Lidander, L. Who’s in charge? The influence of perceived control on responsibility and mode awareness in driving automation. It Inf. Technol. 2020. [Google Scholar] [CrossRef]
- Said, F.; Chauvin, C. Automated vehicles: Multivariate analysis of drivers’ take-over behaviour. In Proceedings of the 2017 13th International Conference on Natural Computation, Fuzzy Systems and Knowledge Discovery (ICNC-FSKD), Guilin, China, 29–31 July 2017; pp. 2391–2396. [Google Scholar]
- Lindgren, T.; Fors, V.; Pink, S.; Osz, K. Anticipatory experience in everyday autonomous driving. Pers. Ubiquitous Comput. 2020, 24, 747–762. [Google Scholar] [CrossRef]








| All | |
|---|---|
| N | 58 |
| Mean | 8.73 |
| Standard deviation | 5.12 |
| Minimum | 1.18 |
| Maximum | 24.34 |
| 5th percentile | 2.71 |
| 25th percentile | 4.41 |
| Median | 7.69 |
| 75th percentile | 12.40 |
| 95th percentile | 18.83 |
| Category | Reasons | n | Impact |
|---|---|---|---|
| Preference | Familiar with driving | 2 | Positive |
| Liked automated driving system | 4 | Negative | |
| Do not enjoy driving | 1 | Negative | |
| Exposure | New experience | 5 | Negative |
| General assessment | Abrupt transition | 6 | Negative |
| Good/smooth transition | 3 | Positive | |
| Change of state | Relaxed state in AP | 2 | Negative |
| High workload | 2 | Negative | |
| Awareness | Control confusion | 2 | Negative |
| Why transition occurred | 2 | Negative | |
| Feedback | Clear haptic feedback | 1 | Positive |
| Good combination of feedback | 1 | Positive | |
| A lot of feedback | 1 | Negative | |
| Haptic feedback (belt) | 2 | Negative | |
| Interaction | Deactivation issues | 2 | Negative |
Publisher’s Note: MDPI stays neutral with regard to jurisdictional claims in published maps and institutional affiliations. |
© 2021 by the authors. Licensee MDPI, Basel, Switzerland. This article is an open access article distributed under the terms and conditions of the Creative Commons Attribution (CC BY) license (http://creativecommons.org/licenses/by/4.0/).
Share and Cite
Johansson, M.; Mullaart Söderholm, M.; Novakazi, F.; Rydström, A. The Decline of User Experience in Transition from Automated Driving to Manual Driving. Information 2021, 12, 126. https://doi.org/10.3390/info12030126
Johansson M, Mullaart Söderholm M, Novakazi F, Rydström A. The Decline of User Experience in Transition from Automated Driving to Manual Driving. Information. 2021; 12(3):126. https://doi.org/10.3390/info12030126
Chicago/Turabian StyleJohansson, Mikael, Mattias Mullaart Söderholm, Fjollë Novakazi, and Annie Rydström. 2021. "The Decline of User Experience in Transition from Automated Driving to Manual Driving" Information 12, no. 3: 126. https://doi.org/10.3390/info12030126
APA StyleJohansson, M., Mullaart Söderholm, M., Novakazi, F., & Rydström, A. (2021). The Decline of User Experience in Transition from Automated Driving to Manual Driving. Information, 12(3), 126. https://doi.org/10.3390/info12030126

