Distributed Simulation with Multi-Agents for IoT in a Retail Pharmacy Facility
Abstract
1. Introduction
2. Simulation Paradigm in the IoT Environment
3. Case Study
3.1. Description of Manufacturing Environment
3.2. Agents in the Simulation Model
3.2.1. Analysis of Data
3.2.2. Unified Modeling Language (UML) of ABSM Model
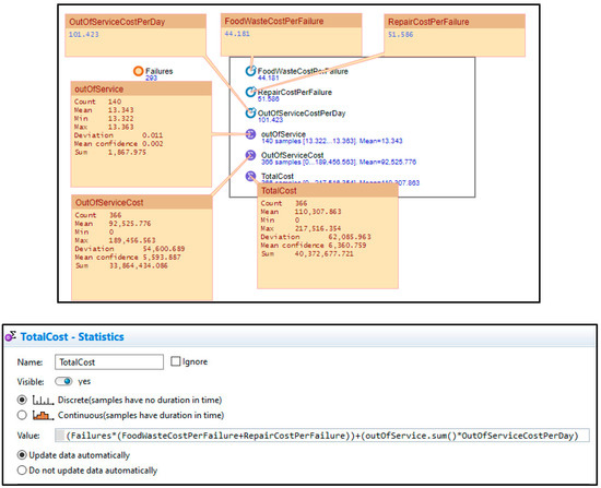
3.2.3. Build the Simulation Model
3.2.4. ABSM Validation
- Face validity: the facility managers approve the ABSM base case initial results.
- Statistical validation: the initial results of out of service time in ABSM for 250 days were compared with a subset of out of service time for the same period, which was obtained from the facility management. The comparison shows a 4.32% relative difference between the two results, which suggests the ABSM is valid to mimic and imitate the real system.
3.3. Simulation Results
3.3.1. Optimization Experiment
3.3.2. What-If Scenarios
3.3.3. Financial Analysis
4. Discussion and Conclusions
Funding
Conflicts of Interest
References
- Xu, L.D.; He, W.; Li, S. Internet of Things in Industries: A Survey. IEEE Trans. Ind. Inform. 2014, 10, 2233–2243. [Google Scholar] [CrossRef]
- Lee, I.; Lee, K. The Internet of Things (IoT): Applications, investments, and challenges for enterprises. Bus. Horiz. 2015, 58, 431. [Google Scholar] [CrossRef]
- Basingab, M. Investigating The Adoption of Internet of Things Technology Using Agent-Based Simulation. In Proceedings of the International Conference on Industrial Engineering and Operations Management, Bangkok, Thailand, 5–7 March 2019. [Google Scholar]
- Brous, P.; Janssen, M.; Herder, P. The dual effects of the Internet of Things (IoT): A systematic review of the benefits and risks of IoT adoption by organizations. Int. J. Inf. Manag. 2020, 51, 101952. [Google Scholar] [CrossRef]
- Gunasekaran, A.; Subramanian, N.; Tiwari, M.K.; Yan, B.; Yan, C.; Ke, C.; Tan, X. Information sharing in supply chain of agricultural products based on the Internet of Things. Ind. Manag. Data Syst. 2016. [Google Scholar] [CrossRef]
- Rezaei, M.; Shirazi, M.A.; Karimi, B. IoT-based framework for performance measurement. Ind. Manag. Data Syst. 2017. [Google Scholar] [CrossRef]
- Fang, C.; Liu, X.; Pei, J.; Fan, W.; Pardalos, P.M. Optimal production planning in a hybrid manufacturing and recovering system based on the internet of things with closed loop supply chains. Oper. Res. 2016, 16, 543–577. [Google Scholar] [CrossRef]
- Pan, F.; Shen, F. Fresh Produce Supply Chain Optimization of Our Country Based on the Internet of Things. Manag. Eng. 2011, 4, 19. [Google Scholar]
- Yan, B.; Wu, X.-h.; Ye, B.; Zhang, Y.-w. Three-level supply chain coordination of fresh agricultural products in the Internet of Things. Ind. Manag. Data Syst. 2017. [Google Scholar] [CrossRef]
- Aljumaili, M.; Wandt, K.; Karim, R.; Tretten, P. eMaintenance ontologies for data quality support. J. Qual. Maint. Eng. 2015, 21, 358–374. [Google Scholar] [CrossRef]
- Parpala, R.C.; Iacob, R. Application of IoT concept on predictive maintenance of industrial equipment. In Proceedings of the MATEC Web of Conferences, Sibiu, Romania, 7–9 June 2017; Volume 121, p. 02008. [Google Scholar]
- Plaza, S.; Ortega, M.; Celaya, A.; Sanchez, J.A.; De Lopez Lacalle, L.N.; Lzquierdo, B. About the importance of simulation tools in the learning process of metal forming and moulding. Mater. Sci. Forum 2011, 692, 1–7. [Google Scholar] [CrossRef]
- Ahmed, R.; Robinson, S. Modelling and simulation in business and industry: Insights into the processes and practices of expert modellers. J. Oper. Res. Soc. 2014, 65, 660–672. [Google Scholar] [CrossRef]
- Wintersim.org. Winter Simulation Conference. 2014. Available online: http://www.wintersim.org/2014/bigdataanalytics.html (accessed on 11 November 2020).
- Staff, W. Modeling and simulation in the big data era. UPI Space Daily. 15 June 2014. Available online: https://www.spacedaily.com/reports/Modeling_and_simulation_in_the_big_data_era_999.html (accessed on 11 November 2020).
- Laghari, S.; Niazi, M.A. Modeling the internet of things, self-organizing and other complex adaptive communication networks: A cognitive agent-based computing approach. PLoS ONE 2016, 11, e0146760. [Google Scholar] [CrossRef] [PubMed]
- Savaglio, C.; Ganzha, M.; Paprzycki, M.; Bădică, C.; Ivanović, M.; Fortino, G. Agent-based Internet of Things: State-of-the-art and research challenges. Future Gener. Comput. Syst. 2020, 102, 1038–1053. [Google Scholar] [CrossRef]
- Fortino, G.; Guerrieri, A.; Russo, W.; Savaglio, C. Integration of agent-based and cloud computing for the smart objects-oriented IoT. In Proceedings of the 2014 IEEE 18th International conference on Computer Supported Cooperative Work in Design (CSCWD), Hsinchu, Taiwan, 21–23 May 2014; pp. 493–498. [Google Scholar]
- Bernstein, S.L.; Verghese, V.; Leung, W.; Lunney, A.T.; Perez, I. Development and validation of a new index to measure emergency department crowding. Acad. Emerg. Med. 2003, 10, 938–942. [Google Scholar] [CrossRef]
- Dugdale, J.; Moghaddam, M.T.; Muccini, H. Agent-based Simulation for IoT Facilitated Building Evacuation. In Proceedings of the 2019 International Conference on Information and Communication Technologies for Disaster Management (ICT-DM), Paris, France, 18–20 December 2019; pp. 1–8. [Google Scholar]
- Batool, K.; Niazi, M.A. Modeling the internet of things: A hybrid modeling approach using complex networks and agent-based models. Complex Adapt. Syst. Modeling 2017, 5, 4. [Google Scholar] [CrossRef]
- Suryanarayanan, V.; Theodoropoulos, G.; Lees, M. PDES-MAS: Distributed simulation of multi-agent systems. Procedia Comput. Sci. 2013, 18, 671–681. [Google Scholar] [CrossRef]
- Weyns, D.; Van Dyke Parunak, H.; Michel, F. Environments for Multi-Agent Systems II; Springer: Berlin/Heidelberg, Germany, 2006. [Google Scholar]
- North, M.; Macal, C.; Pieper, G.; Drugan, C. Agent-Based Modeling and Simulation for EXASCALE Computing; Argonne National Lab (ANL): Argonne, IL, USA, 2008. [Google Scholar]
- Kennedy, C.; Theodoropoulos, G.; Sorge, V.; Ferrari, E.; Lee, P.; Skelcher, C. Data driven simulation to support model building in the social sciences. J. Algorithms Comput. Technol. 2011, 5, 561–581. [Google Scholar] [CrossRef]
- Anderson, J. A generic distributed simulation system for intelligent agent design and evaluation. In Proceedings of the Tenth Conference on AI, Simulation and Planning, AIS-2000, Society for Computer Simulation International; Springer: Berlin/Heidelberg, Germany, 2000; pp. 36–44. [Google Scholar]
- Schattenberg, B.; Uhrmacher, A.M. Planning agents in JAMES. Proc. IEEE 2001, 89, 158–173. [Google Scholar] [CrossRef]
- Gasser, L.; Kakugawa, K. MACE3J: Fast flexible distributed simulation of large, large-grain multi-agent systems. In Proceedings of the First International Joint Conference on Autonomous Agents and Multiagent Systems: Part 2; Association for Computing Machinery: New York, NY, USA, 2002; pp. 745–752. [Google Scholar]
- Ferscha, A.; Tripathi, S.K. Parallel and Distributed Simulation of Discrete Event Systems; Wiley: Hoboken, NJ, USA, 1998. [Google Scholar]
- Fujimoto, R.M. Parallel discrete event simulation. Commun. ACM 1990, 33, 30–53. [Google Scholar] [CrossRef]
- Siebers, P.-O.; Macal, C.M.; Garnett, J.; Buxton, D.; Pidd, M. Discrete-event simulation is dead, long live agent-based simulation! J. Simul. 2010, 4, 204–210. [Google Scholar] [CrossRef]
- Dzaferagic, M.; Butt, M.M.; Murphy, M.; Kaminski, N.; Marchetti, N. Agent-Based Modelling Approach for Distributed Decision Support in an IoT Network. arXiv 2019, arXiv:1901.04585. [Google Scholar]
- Pogson, M.; Smallwood, R.; Qwarnstrom, E.; Holcombe, M. Formal agent-based modelling of intracellular chemical interactions. Biosystems 2006, 85, 37–45. [Google Scholar] [CrossRef] [PubMed]
- Benenson, I.; Martens, K.; Birfir, S. PARKAGENT: An agent-based model of parking in the city. Comput. Environ. Urban Syst. 2008, 32, 431–439. [Google Scholar] [CrossRef]
- Twomey, P.; Cadman, R. Agent-based modelling of customer behaviour in the telecoms and media markets. info 2002, 4, 56–63. [Google Scholar] [CrossRef]
- Douglas, C.C.; Lee, H.; Lee, W. A computational agent-based modeling approach for competitive wireless service market. In Proceedings of the 2011 International Conference on Information Science and Applications, Jeju Island, Korea, 26–29 April 2011; pp. 1–6. [Google Scholar]
- Tonmukayakul, A.; Weiss, M.B. An agent-based model for secondary use of radio spectrum. In Proceedings of the First IEEE International Symposium on New Frontiers in Dynamic Spectrum Access Networks DySPAN, Baltimore, MD, USA, 8–11 November 2005; pp. 467–475. [Google Scholar]
- Horváth, D.; Gazda, V.; Gazda, J. Agent-based modeling of the cooperative spectrum management with insurance in cognitive radio networks. Eurasip J. Wirel. Commun. Netw. 2013, 2013, 261. [Google Scholar] [CrossRef][Green Version]
- Kano, T.; Yasui, K.; Mikami, T.; Asally, M.; Ishiguro, A. An agent-based model for interrelation between COVID-19 outbreak and economic activities. arXiv 2020, arXiv:2007.11988. [Google Scholar]
- Cuevas, E. An agent-based model to evaluate the COVID-19 transmission risks in facilities. Comput. Biol. Med. 2020, 103827. [Google Scholar] [CrossRef]
- Houston, C.; Gooberman-Hill, S.; Mathie, R.; Kennedy, A.; Li, Y.; Baiz, P. Case Study for the Return on Investment of Internet of Things Using Agent-Based Modelling and Data Science. Systems 2017, 5, 4. [Google Scholar] [CrossRef]
- Klügl, F. A validation methodology for agent-based simulations. In Proceedings of the 2008 ACM Symposium on Applied Computing, Ceara, Brazil, 16–20 March 2008; pp. 39–43. [Google Scholar]














| Agent-Based Models | DES Models |
|---|---|
| Bottom-up modeling approach | Top-down modeling approach |
| The concept of queue does not exist | Queue is a main element |
| The input distributions of the simulation are mostly based on subjective data or perceptions | The input distributions of the simulation are mostly based on objective data |
| Each agent in the model has its own control | One direction of control |
| # | Parameter | Value | Unit | Source |
|---|---|---|---|---|
| 1 | Refrigerator Failure Probability | Weibull (5.7, 0.044) | Rate/Year | Analysis of Failure Dataset |
| 2 | Refrigeration Repair Time | Uniform (2, 3) | Hour | Client |
| 3 | Response Rate to Failure | Uniform (0.7, 0.99) | Rate/Failure | Client |
| 4 | Number of Manufacturing Facility | 1 | Facility | Client |
| 5 | Number of store locations | 12 | Locations | Client |
| 6 | Average Refrigeration unit/Store | 20 | Refrigerators | Client |
| 7 | Number of Refrigeration units | 240 | Refrigerators | Client |
| 8 | Delay of the repair | Uniform (5, 10) | Hour | Client |
| 9 | Number of Trucks | 10 | Trucks | Client |
| 10 | Truck Speed | 70 | Km/hour | Client |
| 11 | Queue Capacity | 40 | Trucks | Client |
| 12 | Cost of Repair | Triangular (50, 60, 100) | $ | Client Refrigerators Specialist |
| 13 | Cost of food waste/Refrigerator | Triangular (20, 50, 150) | $ | Client Refrigerators Specialist |
| 14 | Cost of Out of Service/Refrigerator/Day | Triangular (20, 80, 100) | $ | Client Refrigerators Specialist |
| 15 | Distance between the Manufacturing Facility and each store | AnyLogic GIS | Km | AnyLogic GIS |
| # | Store | Longitude | Latitude | |
| 1 | Al Nahdi Warehouse, Al Nakheel, Jeddah, Makkah Al-Mukarramah Region, 23241, Saudi Arabia | 39.25031 | 21.51589 | |
| 2 | Al Nahdi Pharmacy, Abdul Rahman Al Sudairi Street, Jeddah, Makkah Al-Mukarramah Region, 23437, Saudi Arabia | 39.15542 | 21.59468 | |
| 3 | Al Nahdi, Ahmad Al Attas st. Street, Jeddah, Makkah Province, 23424, Saudi Arabia | 39.13148 | 21.59764 | |
| 4 | Al Nahdi Pharmacy, Ali Al-Murtada St., Jeddah, Makkah Province, 21589, Saudi Arabia | 39.23951 | 21.51747 | |
| 5 | Al Sudais Pharmacy, Ahmed Ibrahim Al Tibi, Jeddah, Makkah Al-Mukarramah Region, 21589, Saudi Arabia | 39.23941 | 21.51284 | |
| 6 | Al Nahdi Pharmacy, Bani Malik Street, Historic Jeddah, Jeddah, Al-Mabahith Roundabout, Saudi Arabia | 39.23009 | 21.52764 | |
| 7 | Al Nahdi Pharmacy, Umm Al Muminin Safia, Jeddah, Makkah Al Mukarramah Region, Saudi Arabi | 39.22284 | 21.51971 | |
| 8 | Al Nahdi Pharmacy, Abi Al-Abbas Al-Hadithi, Historic Jeddah, Jeddah, Makkah Al-Mukarramah Region, 21589, Saudi Arabia | 39.22615 | 21.51232 | |
| 9 | Al Nahdi Pharmacy, Ba Khashab st. Bakhashab Street, Jeddah, Makkah Al-Mukarramah Region, 22331, Saudi Arabi | 39.21296 | 21.48603 | |
| 10 | Al Nahdi Pharmacy, King Khalid Street, Al Qurayyat, Makkah Al Mukarramah Region, 22331, Saudi Arabia | 39.20554 | 21.482 | |
| 11 | Al Nahdi Pharmacy, Al Matar st. Airport Street, Jeddah, Makkah Al-Mukarramah Region, 16992, Saudi Arabia | 39.19677 | 21.49728 | |
| 12 | Al Nahdi Pharmacy, Abu Ubaidah bin Al Jarrah, Jeddah, Makkah Al-Mukarramah Region, 22238, Saudi Arabia | 39.1974 | 21.49167 | |
| 13 | Al Nahdi Pharmacy, Old Makkah Road, Historical Jeddah, Jeddah, Makkah Al Mukarramah Region, 22331, Saudi Arabia | 39.20527 | 21.48507 | |
| Annual Total Cost | The Out of Service Cost | The Out of Service Time Reduced By | |
|---|---|---|---|
| Scenario 1 | $215,545.142 | $187,485.351 | 19 days |
| Scenario 2 | $208,276.813 | $185,516.657 | 38 days |
| Failure Reduction Rate By | Failed Refrigerators |
|---|---|
| 80% | 144 |
| 85% | 106 |
| 90% | 76 |
| 95% | 33 |
| 99% | 7 |
| Response Rate | |||||
|---|---|---|---|---|---|
| Failure Rate Reduction | 70% | 80% | 85% | 90% | 95% |
| 80% | $189,811.623 | $189,439.906 | $189,254.051 | $189,068.194 | $188,885.337 |
| 85% | $142,182.738 | $141,903.953 | $141,764.56 | $141,625.167 | $141,485.665 |
| 90% | $103,206.331 | $103,003.578 | $102,902,201 | $102,800.825 | $102,793.021 |
| 95% | $47,171.959 | $47,079.03 | $47,032.566 | $46,986.102 | $46,939.638 |
| 99% | $10,006.472 | $9986.76 | $976.904 | $9967.048 | $9957.192 |
| Year | 0 | 1 | 2 | 3 | 4 | 5 | 6 |
|---|---|---|---|---|---|---|---|
| Cost Saving | - | $170,483.79 | $170,483.79 | $170,483.79 | $170,483.79 | $170,483.79 | $170,483.79 |
| PV (Cost Saving) | - | $151,138.11 | $133,987.69 | $118,783.41 | $105,304.44 | $93,355.00 | $82,761.53 |
| Total PV (Cost Sav.) | $151,138.11 | $285,125.80 | $403,909.21 | $509,213.65 | $602,568.65 | $685,330.17 | |
| Investment | $550,000 | ||||||
| PV(Investment) | $550,000 | ||||||
| ROI | −72.5% | −48.2% | −26.6% | −7.4% | 9.5% | 24.6% |
| Facility Response Rate = 0.80 | ROI Values | ||||||||
|---|---|---|---|---|---|---|---|---|---|
| Reduction rates of failures | Annual cost-simulation result | 1 | 2 | 3 | 4 | 5 | 6 | 7 | 8 |
| 0.95 | $47,079.03 | −72.5% | −48.2% | −26.6% | −7.4% | 9.5% | 24.6% | 37.9% | 49.7% |
| 0.99 | $9,986.76 | −66.5% | −36.9% | −10.6% | 12.7% | 33.4% | 51.7% | 67.9% | 82.3% |
Publisher’s Note: MDPI stays neutral with regard to jurisdictional claims in published maps and institutional affiliations. |
© 2020 by the author. Licensee MDPI, Basel, Switzerland. This article is an open access article distributed under the terms and conditions of the Creative Commons Attribution (CC BY) license (http://creativecommons.org/licenses/by/4.0/).
Share and Cite
Basingab, M. Distributed Simulation with Multi-Agents for IoT in a Retail Pharmacy Facility. Information 2020, 11, 527. https://doi.org/10.3390/info11110527
Basingab M. Distributed Simulation with Multi-Agents for IoT in a Retail Pharmacy Facility. Information. 2020; 11(11):527. https://doi.org/10.3390/info11110527
Chicago/Turabian StyleBasingab, Mohammed. 2020. "Distributed Simulation with Multi-Agents for IoT in a Retail Pharmacy Facility" Information 11, no. 11: 527. https://doi.org/10.3390/info11110527
APA StyleBasingab, M. (2020). Distributed Simulation with Multi-Agents for IoT in a Retail Pharmacy Facility. Information, 11(11), 527. https://doi.org/10.3390/info11110527

