A Multi-AUV Path Planning System Based on the Omni-Directional Sensing Ability
Abstract
:1. Introduction
- We propose an underwater information collection AUV, the O-AUV, that can perceive an omnidirectional area. Then, we develop an underwater three-dimensional omnidirectional perception model according to the characteristics of the O-AUV.
- We present a trajectory optimization algorithm for multiple O-AUVs, and this algorithm is adapted from targets traveling missions in large and complex seabed environments.
- The validity of our data is verified according to virtual submarine data.
2. Motivation
2.1. Benefits of Underwater Exploration for Multiple AUVs
2.2. The Need for O-AUV Path Planning
2.3. Challenges
3. Model Design
3.1. O-AUV Sensing Model
3.2. Cube-Based Environment Modeling
3.3. Calculation of Candidate Observation Points
3.4. Voyage CM Building
3.4.1. The Dijkstra Algorithm
3.4.2. Improvement of Dijkstra Algorithm
- The corresponding can be decoded by the calculation .
- Then, we identify the corresponding value through .
- The calculation method of the and of j is consistent with the above method. Thus, the shortest path from the COP of the target point to the COP of the target point is stored in the element (i, j) in CM. The formula is as follows:where represents the distance obtained through the R-Dijkstra algorithm, and , the numerical relationship between and , is not required.
| Algorithm 1: R-Dijkstra Algorithm | 
|  | 
3.5. ANSGA for Trajectory Planning
4. Evaluation
4.1. O-AUV Sensing Model
4.2. Calculation of the COPs
4.3. Voyage CM
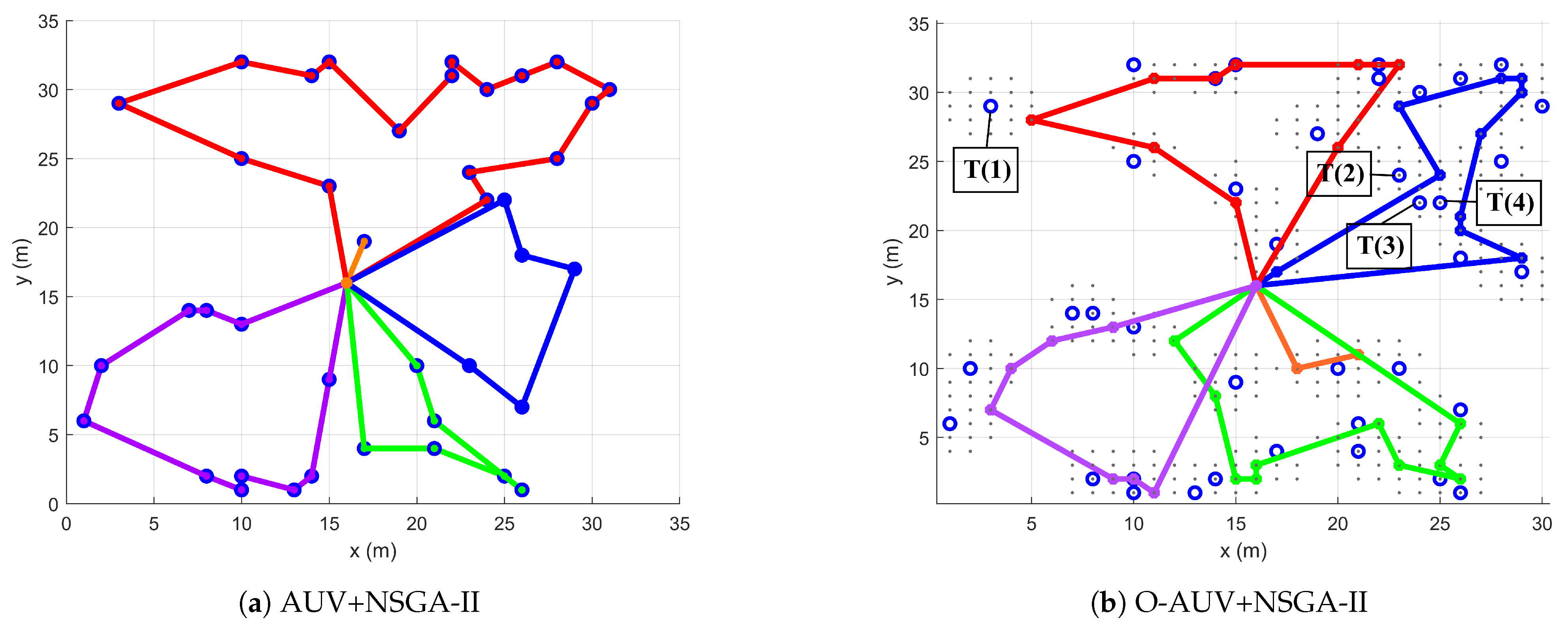
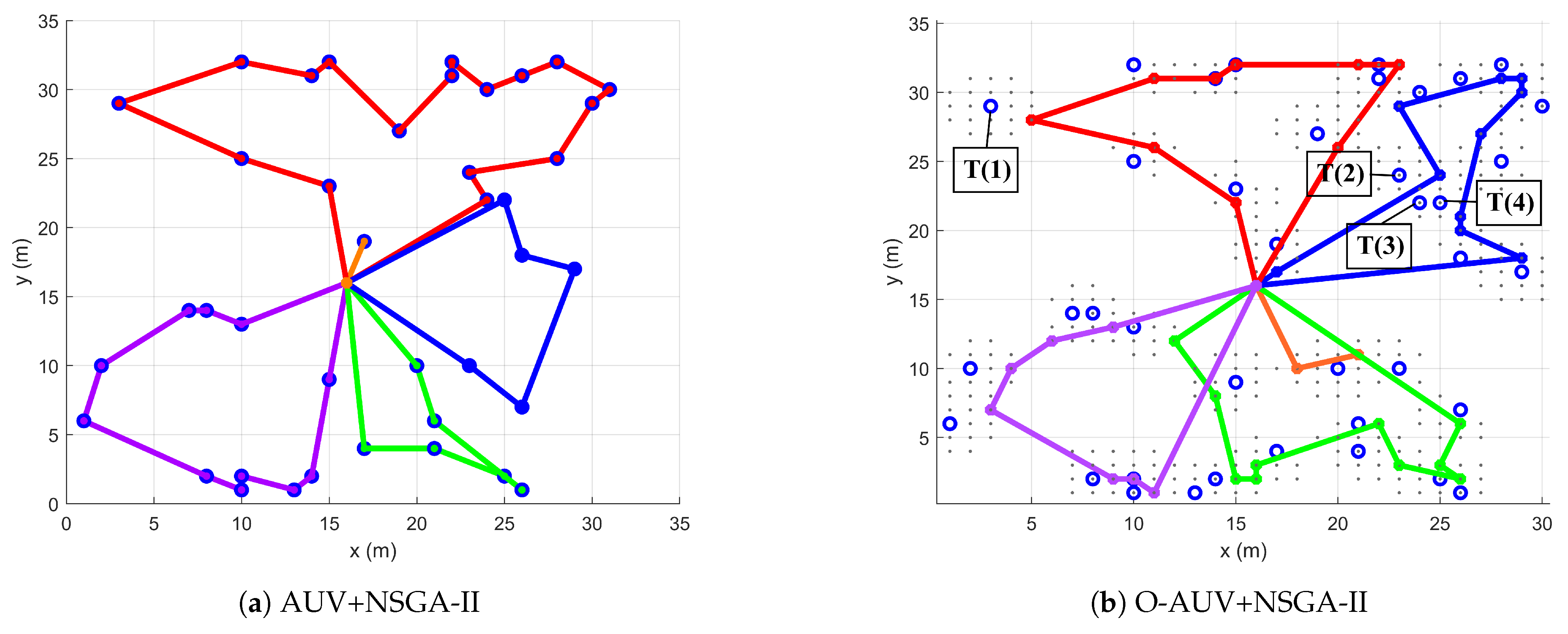
4.4. Effectiveness of the O-AUV-Based Multiple Trajectory Planning
5. Related Works
6. Conclusions
Author Contributions
Funding
Informed Consent Statement
Data Availability Statement
Conflicts of Interest
Appendix A
| Experimental Data for Task Points | ||||||||||||||||||||||||||||||||||||||||
|---|---|---|---|---|---|---|---|---|---|---|---|---|---|---|---|---|---|---|---|---|---|---|---|---|---|---|---|---|---|---|---|---|---|---|---|---|---|---|---|---|
| X | 8 | 22 | 25 | 26 | 20 | 18 | 9 | 31 | 27 | 9 | 11 | 18 | 23 | 14 | 11 | 27 | 25 | 15 | 16 | 4 | 16 | 21 | 24 | 23 | 11 | 27 | 11 | 3 | 29 | 32 | 16 | 22 | 29 | 15 | 24 | 30 | 26 | 11 | 27 | 2 | 
| Y | 15 | 5 | 23 | 23 | 28 | 5 | 15 | 30 | 8 | 3 | 33 | 20 | 32 | 2 | 2 | 2 | 31 | 32 | 10 | 30 | 24 | 11 | 11 | 33 | 26 | 32 | 14 | 11 | 26 | 31 | 33 | 7 | 33 | 3 | 25 | 18 | 3 | 3 | 19 | 7 | 
References
- Williams, S.B.; Pizarro, O.; Johnson-Roberson, M.; Mahon, I.; Webster, J.; Beaman, R.; Bridge, T. Auv-assisted surveying of relic reef sites. In Proceedings of the OCEANS 2008, Quebec City, QC, Canada, 15–18 September 2008; pp. 1–7. [Google Scholar] [CrossRef]
- Chatzichristofis, S.; Kapoutsis, A.; Kosmatopoulos, E.; Doitsidis, L.; Rovas, D.; Borges de Sousa, J. New insights into the formation of submarine glacial landforms from high-resolution Autonomous Underwater Vehicle data. Geomorphology 2020, 370, 1–17. [Google Scholar] [CrossRef]
- Cao, J.; Su, Y.; Zhao, J. Design of an adaptive controller for dive-plane control of a torpedo-shaped AUV. J. Mar. Sci. Appl. 2011, 10, 333–339. [Google Scholar] [CrossRef]
- Loc, M.B.; Choi, H.S.; Seo, J.M.; Baek, S.H.; Kim, J.Y. Development and control of a new AUV platform. Int. J. Control. Autom. Syst. 2014, 12, 886–894. [Google Scholar] [CrossRef]
- Tsiogkas, N.; Saigol, Z.; Lane, D. Distributed multi-AUV cooperation methods for underwater archaeology. In Proceedings of the OCEANS 2015-Genova, Genoa, Italy, 18–21 May 2015; pp. 1–5. [Google Scholar] [CrossRef] [Green Version]
- Fang, Z.; Wang, J.; Jiang, C.; Zhang, Q.; Ren, Y. AoI inspired collaborative information collection for AUV assisted Internet of underwater things. IEEE Internet Things J. 2021, 1–13. [Google Scholar] [CrossRef]
- Tiwari, S. Mosaicking of the ocean floor in the presence of three-dimensional occlusions in visual and side-scan sonar images. In Proceedings of the Symposium on Autonomous Underwater Vehicle Technology, Monterey, CA, USA, 2–6 June 1996; pp. 308–314. [Google Scholar] [CrossRef]
- Yu, X.; Chen, W.N.; Hu, X.M.; Gu, T.; Yuan, H.; Zhou, Y.; Zhang, J. Path Planning in Multiple-AUV Systems for Difficult Target Traveling Missions: A Hybrid Metaheuristic Approach. IEEE Trans. Cogn. Dev. Syst. 2020, 12, 561–574. [Google Scholar] [CrossRef]
- Neto, E.C.; Sá, R.C.; Holanda, G.C.; Da Mota, F.A.; Varela, A.T.; Araújo, A.L.; Loiola, Í.J.; De Alexandria, A.; De Albuquerque, V. Autonomous underwater vehicle to inspect hydroelectric dams. Int. J. Comput. Appl. 2014, 101, 1–11. [Google Scholar] [CrossRef]
- Jiang, C.m.; Wan, L.; Sun, Y.s. Design of motion control system of pipeline detection AUV. J. Cent. South Univ. 2017, 24, 637–646. [Google Scholar] [CrossRef]
- Wulff, T.; Bauerfeind, E.; von Appen, W.J. Physical and ecological processes at a moving ice edge in the Fram Strait as observed with an AUV. Deep Sea Res. Part I Oceanogr. Res. Pap. 2016, 115, 253–264. [Google Scholar] [CrossRef] [Green Version]
- Forrest, A.L.; Lund-Hansen, L.C.; Sorrell, B.K.; Bowden-Floyd, I.; Lucieer, V.; Cossu, R.; Lange, B.A.; Hawes, I. Exploring spatial heterogeneity of Antarctic sea ice algae using an autonomous underwater vehicle mounted irradiance sensor. Front. Earth Sci. 2019, 7, 1–13. [Google Scholar] [CrossRef] [Green Version]
- Campbell, K.J.; Kinnear, S.; Thame, A. AUV technology for seabed characterization and geohazards assessment. Lead. Edge 2015, 34, 170–178. [Google Scholar] [CrossRef]
- Matos, A.; Martins, A.; Dias, A.; Ferreira, B.; Almeida, J.M.; Ferreira, H.; Amaral, G.; Figueiredo, A.; Almeida, R.; Silva, F. Multiple robot operations for maritime search and rescue in euRathlon 2015 competition. In Proceedings of the OCEANS 2016, Shanghai, China, 10–13 April 2016; pp. 1–7. [Google Scholar] [CrossRef] [Green Version]
- Maqsood, H.; Javaid, N.; Yahya, A.; Ali, B.; Khan, Z.A.; Qasim, U. MobiL-AUV: AUV-Aided Localization Scheme for Underwater Wireless Sensor Networks. In Proceedings of the 2016 10th International Conference on Innovative Mobile and Internet Services in Ubiquitous Computing (IMIS), Fukuoka, Japan, 6–8 July 2016; pp. 170–175. [Google Scholar] [CrossRef]
- Wang, H.; Yuan, J.; Lv, H.; Li, Q. Task allocation and online path planning for AUV swarm cooperation. In Proceedings of the OCEANS 2017, Aberdeen, Scotland, 19–22 June 2017; pp. 1–6. [Google Scholar] [CrossRef]
- Xue, T.; Li, R.; Tokgo, M.; Ri, J.; Han, G. Trajectory planning for autonomous mobile robot using a hybrid improved QPSO algorithm. Soft Comput. 2017, 21, 2421–2437. [Google Scholar] [CrossRef]
- Ru, J.; Jia, Z.; Yang, Y.; Yu, X.; Wu, C.; Xu, M. A 3D coverage algorithm based on complex surfaces for UAVs in wireless multimedia sensor networks. Sensors 2019, 19, 1902. [Google Scholar] [CrossRef] [PubMed] [Green Version]
- Arinaga, S.; Nakajima, S.; Okabe, H.; Ono, A.; Kanayama, Y. A motion planning method for an AUV. In Proceedings of the Symposium on Autonomous Underwater Vehicle Technology, Monterey, CA, USA, 2–6 June 1996; pp. 477–484. [Google Scholar] [CrossRef]
- Garau, B.; Alvarez, A.; Oliver, G. Path Planning of Autonomous Underwater Vehicles in Current Fields with Complex Spatial Variability: An A* Approach. In Proceedings of the 2005 IEEE International Conference on Robotics and Automation, Barcelona, Spain, 18–22 April 2005; pp. 194–198. [Google Scholar] [CrossRef]
- Chang, Z.H.; Tang, Z.D.; Cai, H.G.; Shi, X.C.; Bian, X.Q. GA path planning for AUV to avoid moving obstacles based on forward looking sonar. In Proceedings of the 2005 International Conference on Machine Learning and Cybernetics, Guangzhou, China, 18–21 August 2005; pp. 1498–1502. [Google Scholar] [CrossRef]
- Zhang, Q. A Hierarchical Global Path Planning Approach for AUV Based on Genetic Algorithm. In Proceedings of the 2006 International Conference on Mechatronics and Automation, Luoyang, China, 25–28 June 2006; pp. 1745–1750. [Google Scholar] [CrossRef]
- Alvarez, A.; Caiti, A.; Onken, R. Evolutionary path planning for autonomous underwater vehicles in a variable ocean. IEEE J. Ocean. Eng. 2004, 29, 418–429. [Google Scholar] [CrossRef]
- Petres, C.; Pailhas, Y.; Patron, P.; Petillot, Y.; Evans, J.; Lane, D. Path Planning for Autonomous Underwater Vehicles. IEEE Trans. Robot. 2007, 23, 331–341. [Google Scholar] [CrossRef]
- Khatib, O. Real-time obstacle avoidance for manipulators and mobile robots. In Proceedings of the 1985 IEEE International Conference on Robotics and Automation, St. Louis, MO, USA, 25–28 March 1985; pp. 500–505. [Google Scholar] [CrossRef]
- Sun, B.; Zhu, D.; Yang, S.X. An optimized fuzzy control algorithm for three-dimensional AUV path planning. Int. J. Fuzzy Syst. 2018, 20, 597–610. [Google Scholar] [CrossRef]
- Fan, X.; Guo, Y.; Liu, H.; Wei, B.; Lyu, W. Improved artificial potential field method applied for AUV path planning. Math. Probl. Eng. 2020, 2020, 1–21. [Google Scholar] [CrossRef]
- Cao, J.; Li, Y.; Zhao, S.; Bi, X. Genetic-Algorithm-Based Global Path Planning for AUV. In Proceedings of the 2016 9th International Symposium on Computational Intelligence and Design (ISCID), Hangzhou, China, 10–11 December 2016; pp. 79–82. [Google Scholar] [CrossRef]
- Teng, M.; Ye, L.; Yuxin, Z.; Yanqing, J.; Zheng, C.; Qiang, Z.; Shuo, X. An AUV localization and path planning algorithm for terrain-aided navigation. ISA Trans. 2020, 103, 215–227. [Google Scholar] [CrossRef] [PubMed]
- Sands, T. Development of Deterministic Artificial Intelligence for Unmanned Underwater Vehicles (UUV). J. Mar. Sci. Eng. 2020, 8, 578. [Google Scholar] [CrossRef]
- Zhu, D.; Cao, X.; Sun, B.; Luo, C. Biologically Inspired Self-Organizing Map Applied to Task Assignment and Path Planning of an AUV System. IEEE Trans. Cogn. Dev. Syst. 2018, 10, 304–313. [Google Scholar] [CrossRef]
- Cui, R.; Li, Y.; Yan, W. Mutual Information-Based Multi-AUV Path Planning for Scalar Field Sampling Using Multidimensional RRT. IEEE Trans. Syst. Man, Cybern. Syst. 2016, 46, 993–1004. [Google Scholar] [CrossRef]

















| Parameter Settings | Value | 
|---|---|
| 10 m | |
| 2 m | |
| Algorithm | Time ( m) | Time ( m) | Time ( m) | Time ( m) | 
|---|---|---|---|---|
| R-Dijsktra | 4.1 s | 19.7 s | 46.0 s | 75.2 s | 
| Dijsktra | 4.1 s | 37.2 s | 190.6 s | 459.6 s | 
| Parameter Settings | Value | 
|---|---|
| population | 200 | 
| Maximum number of evolutions | 1000 | 
| Basic mutation probability | |
| Number of O-AUV | 5 | 
| Target number K | 40 | 
| Energy cost limitation of single O-AUV | 120 m | 
| Energy cost limitation of all O-AUVs | 700 m | 
| The Average Value of | The Average Value of | |
|---|---|---|
| Normal AUV | 293.5584 m | 82.19484 m | 
| O-AUV | 274.69 m | 64.00 m | 
| Ratio | −6.43% | −22.13% | 
| Different Algorithms | (Generations = 1000) | Generations | |
|---|---|---|---|
| 273.27 m | 249.18 m | ||
| AUV+NSGA-II | 273.27 m | 1000 | |
| O-AUV+DE-C-ACO | 249.18 m | 400 | 1000 | 
| O-AUV+NSGA-II | 234.36 m | 350 | 600 | 
| O-AUV+ANSGA | 231.24 m | 200 | 400 | 
| Publisher’s Note: MDPI stays neutral with regard to jurisdictional claims in published maps and institutional affiliations. | 
© 2021 by the authors. Licensee MDPI, Basel, Switzerland. This article is an open access article distributed under the terms and conditions of the Creative Commons Attribution (CC BY) license (https://creativecommons.org/licenses/by/4.0/).
Share and Cite
Ru, J.; Yu, S.; Wu, H.; Li, Y.; Wu, C.; Jia, Z.; Xu, H. A Multi-AUV Path Planning System Based on the Omni-Directional Sensing Ability. J. Mar. Sci. Eng. 2021, 9, 806. https://doi.org/10.3390/jmse9080806
Ru J, Yu S, Wu H, Li Y, Wu C, Jia Z, Xu H. A Multi-AUV Path Planning System Based on the Omni-Directional Sensing Ability. Journal of Marine Science and Engineering. 2021; 9(8):806. https://doi.org/10.3390/jmse9080806
Chicago/Turabian StyleRu, Jingyu, Shuangjiang Yu, Hao Wu, Yuhan Li, Chengdong Wu, Zixi Jia, and Hongli Xu. 2021. "A Multi-AUV Path Planning System Based on the Omni-Directional Sensing Ability" Journal of Marine Science and Engineering 9, no. 8: 806. https://doi.org/10.3390/jmse9080806
APA StyleRu, J., Yu, S., Wu, H., Li, Y., Wu, C., Jia, Z., & Xu, H. (2021). A Multi-AUV Path Planning System Based on the Omni-Directional Sensing Ability. Journal of Marine Science and Engineering, 9(8), 806. https://doi.org/10.3390/jmse9080806
 
        

 
       