Next Article in Journal
Substrate Selection of Ascidian Larva: Wettability and Nano-Structures
Next Article in Special Issue
Influence of Combined Motion of Pitch and Surge with Phase Difference on Aerodynamic Performance of Floating Offshore Wind Turbine
Previous Article in Journal
Multi-Pass Welding Distortion Analysis Using Layered Shell Elements Based on Inherent Strain
 
 
Font Type:
Arial Georgia Verdana
Font Size:
Aa Aa Aa
Line Spacing:
Column Width:
Background:
Article

Towing Performance of the Submerged Floating Offshore Wind Turbine under Different Wave Conditions

1
State Key Laboratory of Hydraulic Engineering Simulation and Safety, Tianjin University, Tianjin 300350, China
2
School of Marine Engineering and Technology, Sun Yat-sen University, Zhuhai 519082, China
*
Author to whom correspondence should be addressed.
J. Mar. Sci. Eng. 2021, 9(6), 633; https://doi.org/10.3390/jmse9060633
Submission received: 15 May 2021 / Revised: 26 May 2021 / Accepted: 2 June 2021 / Published: 6 June 2021
(This article belongs to the Special Issue Offshore Wind Turbine Dynamic Analysis)

Abstract

One of the advantages of floating offshore wind turbines (FOWTs) is that they can be designed to be easily wet towed and installed to reduce the cost of offshore construction. In this paper, a fully coupled towing system numerical model is established for a novel 10 MW FOWT concept, namely, a submerged floating offshore wind turbine (SFOWT) to investigate the towing performance. Firstly, the numerical simulation is validated by comparison with model experiment results. Then, a series of numerical simulations are conducted to predict and compare the towing performance for a three-column SFOWT (TC-SFOWT) and a four-column SFOWT (FC-SFOWT) under different wave conditions. The results show that the two forms of SFOWT have good towing performance when the significant wave height is less than 5 m, which is the maximum wave height for the allowable towing condition. The FC-SFOWT shows relatively better performance in heave motion and roll motion, but the towing force is relatively larger compared with the TC-SFOWT under the same condition. When the significant wave height is 5 m, the maximum values of heave motion, pitch motion, and roll motion of the TC-SFOWT are 2.51 m, 2.14°, and 1.38°, respectively, while they are 2.25 m, 2.70°, and 1.21°, respectively, for the FC-SFOWT. Both the roll motion and the pitch motion are satisfied with the requirement that the roll and pitch are less than 5° during the towing process. The mean towing force of FC-SFOWT is 159.1 t at the significant wave height of 5 m, which is 52.8% larger than that of TC-SFOWT. The peak period mainly influences the frequency where the response peak appears in power spectra. The findings in this paper could provide some guidelines for wet towed operations.

1. Introduction

The wind resource has the advantages of higher wind speed, stable propagation direction, lower turbulence intensity, and free surface roughness in the far-reaching sea. With the exhaustion of the shallow wind power resource, it is of great interest to explore offshore wind power in deeper and farther ocean areas. Due to the dramatically increased costs and limitations with regards to the maximum operational depth of wind turbine installation vessels, the traditional fixed foundation may no longer be feasible for sea areas with a water depth greater than 60 m. The floating offshore wind turbine (FOWT) seems to be a feasible solution for the development of wind power in the deep sea. In 2017, Hywind Scotland, the world’s first commercial floating wind power project, was officially put into operation in Scotland [1]. By the end of 2020, the wind power generation of FOWTs around the world has reached 125 MW [2]. In recent years, engineering and academia around the world have put forward various forms of foundations for FOWTs [3,4,5,6]. The FOWTs have many advantages; for example, they are not limited by water depth and geological conditions, are easy to dismantle, have little impact on the environment, and are suitable for high-power wind turbines [7]. On the other hand, they can be wet towed to the installation sites through self-floating, which is another significant advantage of the FOWTs.
For the wet towing performance of marine structures, scholars have carried out a few research works mainly focused on the stability of the towing system and towing resistance. Strandhagen et al. [8] studied the towing system based on linear theory and found that changing the frequency of the towing point and the length of towing line can make the towing system have better stability. Inoue et al. [9,10,11] used the linear theory to study the course stability of the towing system under multiple tugboats and found that the elasticity of the towing line and the weight of the object being towed have great influence on the course stability of the towing system. Varyani et al. [12] carried out numerical simulation on the towing operation of damaged ships and pointed out that wind load is the main factor affecting the stability of the towing system.
FOWTs have a high center of gravity and are subjected to the complicated environmental loads such as wind, waves, and currents in addition to the towing force during the transport phase. Thus, how to ensure the safety of transportation for FOWTs is one of the urgent problems to be addressed. In recent years, scholars have carried out preliminary research on the towing operation process for FOWTs with different types of foundation. Collu et al. [13] studied the static stability criterion of the towing process of FOWTs under a normal and severe environment and provided the calculation guidelines for the maximum values of the metacentric height and the maximum height of the towing lines, and then applied the results to design the semi-submersible floating foundation for NOVA FOWT to evidence the overall good performance of those rules. Myland et al. [14] conducted an experiment to study the towing stability of the GICON®-TLP under two different carriage speeds in the calm water and two different regular wave conditions. Two different configurations, including a squared configuration and a diagonal configuration of the GICON®-TLP, were performed to determine which configuration had a lower resistance and a better seakeeping performance. The results showed that the towing speed and wave height had significant influence on the stability and towing resistance and the diagonal configuration had a lower resistance than the squared configuration because the truss structure of the squared configuration had no hydrodynamic permeability. Moreover, the non-stationary flow, which causes detachment at the cylindrical buoyancy bodies, would generate an oscillating sway motion. Ding [15,16,17,18] designed a submerged floating foundation for supporting an NREL5 MW wind turbine, and conducted a lot of research on the dynamic response of the SFOWT in complex environmental conditions. Han et al. [19] put forward a towing system model of the SFOWT based on multi-body dynamics theory to study the wind, waves, currents, and height of the towing point on motion response of the SFOWT during the towing phase. The results show that under the standard environmental conditions, the inclination of the SFOWT meets the requirements of the standard [20] that the absolute acceleration of heave is less than 0.2 g, but the viscous damping of the SFOWT does not get considered in the towing analysis.
It is critical to be able to predict reliably the towing behavior of the FOWT in the real sea environment. In this paper, two forms of SFOWT, namely TC-SFOWT and FC-SFOWT, with the similar mass and same center of gravity, are designed to support the DTU-10MW reference wind turbine [21] in Section 2, as shown in Figure 1. The theory background is presented in Section 3. The validation of the numerical model is firstly verified by model experiments in Section 4. The towing performance of the two forms of SFOWTs under different wave conditions during the towing process are discussed by frequency domain and time domain analysis in Section 5. The conclusions are summarized in Section 6.

2. SFOWTs and Integrated Towing System

An SFOWT is composed of a DTU 10MW reference wind turbine [21], which was released by the Danish University of Technology (DTU) and has been widely accepted by academia, and a submerged floating foundation. The main parameters of the DTU 10MW reference wind turbine are given in Table 1, and the main parameters of the towing system of SFOWTs are presented in Table 2. The submerged floating foundation is composed of a center column, three or four columns connected by horizontal pontoons, and three or four cross braces and diagonal braces. The side columns and horizontal pontoons provide the buoyancy for SFOWTs during the towing process [16]. The wind turbine tower is installed at the top of the center column, as shown in Figure 2. Because of the relatively large water plane area and shallow draft, the SFOWTs are semi-submersible and self-stabilized during the towing process.
The numerical simulation of the SFOWT towing system were carried out in the time domain based on the Sesam software developed by DNV GL. First, as shown in Figure 1, the panel models and mass models of the two forms of SFOWT were established according to the parameters listed in Table 1 and Table 2 in the GeniE module [22]. Then, the panel model and mass model were imported into the HydroD module [23], frequency domain analysis was performed using the Wadam code based on potential flow theory and considering the viscous damping (see Section 5.2), and the hydrodynamic coefficients such as the added mass, radiation damping, hydrostatic restoring stiffness, and transfer functions of the SFOWT were obtained in the frequency domain. Additionally, these hydrodynamic coefficients were then fed to the SIMO module [24]. In the SIMO module, a towing line was set up with a length of 100 m and bridle angle of 60°. A constant bollard pull force was applied to maintain a towing speed of 4 knots. The dynamic responses of the towing system of the FC-SFOWT and TC-SFOWT were predicted in the time domain based on the potential flow theory in the SIMO module. Each simulation lasted three hours with the time step of 0.2 s, in which the first 1000 s were removed to eliminate the transient effect. The bird’s eye view of the towing system in SIMO is shown in Figure 3. The wave direction during the towing process was 180°, as shown in Figure 4.

3. Theory

3.1. Hydrodynamic Load

The hydrodynamic coefficients are calculated using the Wadam code based on the potential flow theory, which mainly includes radiation force, diffraction force, and hydrostatic pressure [25].
F i H y d r o = F i W a v e s + ρ g V 0 C i j H y d r o s t a t i c q j 0 t K i j ( t τ ) q ˙ j ( τ ) d τ A i j q ¨ j
where FiWaves is the diffraction wave force, ρgV0CijHydrostaticqj is hydrostatic pressure, ρgV0 is static buoyancy, ρ is the density of water, g is the acceleration of gravity, and V0 is drainage volume of platform. CijHydrostaticqj is the hydrostatic restoring force and CijHydrostatic is the restoring stiffness matrix. 0 t K i j ( t τ ) q ˙ j ( τ ) d τ A i j q ¨ j is the radiation wave force, where Kij is a delay function and τ is a dummy variable, and t is the simulation time, Aij is the added mass, q j ( t ) and q ˙ j ( τ ) represent the displacement and velocity of the SFOWTs in the jth degree of freedom.
The wave directions when calculating hydrodynamic parameters are shown in Figure 5.

3.2. Equation of Motion of Towing System

The equation of motion of SFOWTs in waves can be expressed as follows [26].
F T i = j = 1 6 M i j x ¨ j
where FTi is the total external force on the ith degree of freedom, Mij is the mass inertia force coefficient of the SFOWTs, x ¨ j is the acceleration in surge, sway, heave, roll, pitch, and yaw motion of the SFOWTs, j = 1, 2, 3, 4, 5, 6.
F T i ( t ) = F i H y d r o ( t ) + F i t o w i n g ( t ) + F i v i s ( t )
where F i H y d r o ( t ) is hydrodynamic force, F i v i s ( t ) is the viscous force, and F i t o w i n g ( t ) is the towing force.
{ M i j } = { m 0 0 0 0 m 0 z G 0 0 m 0 0 m 0 z G 0 0 0 0 m 0 0 0 0 0 m 0 z G 0 I 11 0 0 m 0 z G 0 0 0 I 22 0 0 0 0 0 0 I 33 }
where m0 is the mass of SFOWTs, zG is the vertical coordinate of the center of gravity for SFOWTs, and Iii is the mass moment of inertia of SFOWTs, I = 1, 2, 3.

4. Model Validation

To validate the numerical model, a series of experiments were carried out at a Froude scale of 1:80. Figure 6 and Figure 7 show the schematic diagram of the experiment and the model-scale of the 10 MW TC-SFOWT and FC-SFOWT, respectively. One environmental condition was used for the comparisons, as shown in Table 3. The pitch motion and the towing force obtained by numerical simulation and experiments are shown in Table 4. The comparison results show good agreement between the numerical predications and the experiment results, which means the numerical simulation can predicate the towing responses with high accuracy.

5. Results and Discussion

5.1. Wave Motion Transfer Functions (RAOs)

The RAOs in the heave, roll, and pitch motion were analyzed, as shown in Figure 8, Figure 9 and Figure 10. It can be seen from Figure 8 that the heave motion RAOs were less affected by the wave direction, and when the period of incident wave was less than 32 s, the heave motion RAOs of two forms of SFOWT were greatly affected by the wave period. TC-SFOWT has two extremums around 6 and 12 s, and FC-SFOWT has three extremums around 5, 10, and 15 s for heave RAOs. When the wave period was greater than 32 s, the heave motions were less affected by the wave period and tend to be stable at maximum of the two forms of SFOWT.
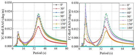
The wave directions had a great influence on the roll motion RAOs of the two forms of SFOWT as shown in Figure 9. With the increase of the wave period, the roll motion RAOs show a trend of increase first, and then decrease. TC-SFOWTs have two extremums around 9 and 38 s, which are 0.0097 and 0.022°/m, respectively, and FC-SFOWTs have two extremums also around 9 and 40 s, which are 0.029 and 0.022°/m, respectively. The extremums of roll motion RAOs for the two forms of SFOWT appear at the wave direction of 90° and tend to 0°/m when the wave directions were 0 and 180°. The roll RAOs of the two forms of SFOWT were similar in long-period wave conditions, but the short-period wave had great influence on the roll motion RAOs of the FC-SFOWT.
As depicted in Figure 10, the pitch motion RAOs of SFOWTs were also greatly affected by the wave direction. TC-SFOWTs have two extremums around 8 and 38 s, which are 0.011 and 0.024°/m, respectively, and FC-SFOWTs have three extremums around 10, 18, and 40 s, which are 0.039, 0.010, and 0.023°/m for pitch motion RAOs, respectively. The extremums all appear at the wave directions of 0 and 180°. The pitch motion RAOs were greatly influenced by short-period waves for FC-SFOWTs, and the changes of RAOs in the pitch and roll motions of the two forms of SFOWT are similar.

5.2. Viscous Damping

The RAOs of SFOWTs were calculated based on the potential flow theory, and therefore, only the potential damping of the SFOWTs was considered and the viscous damping was ignored, which leads to a larger calculation result than the actual value of RAOs in six DOFs (degree of freedoms). In order to make the calculation results subsequently more accurate, this paper calculated the viscous damping of SFOWTs to correct the calculation process. In this paper, the method in reference [27] was adopted, and 10% of the critical damping was taken into account. The inertial mass, added mass, and restoring stiffness of the structure were derived from the calculation results of hydrodynamic parameters, and the viscous damping of SFOWTs was calculated by—Equation (4). The results are summarized in Table 5.
β 0 = 2 ( M + M a ) × C i
where β 0 is critical damping, M is mass matrix of the SFOWTs, Ma is added mass matrix, and Ci is restoring stiffness matrix.

5.3. Dynamic Analysis of Towing System

5.3.1. Natural Frequencies

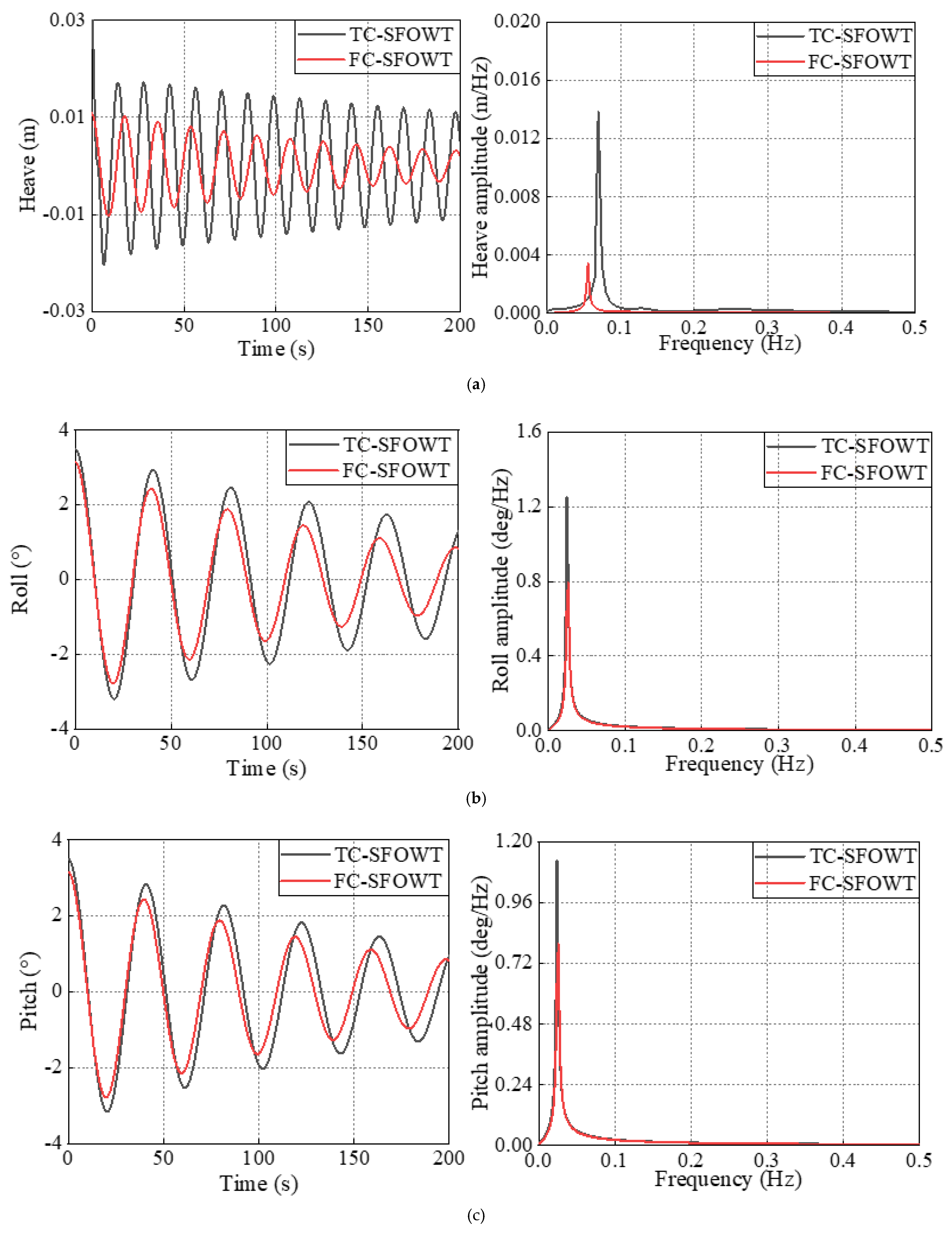
The natural frequencies of the heave, roll, and pitch motion for the two forms of SFOWT were studied by performing numerical decay tests in SIMO. The time series of free-decay can be obtained and plotted as shown in Figure 11, and the natural frequencies can be calculated based on the fast Fourier transform (FFT) method [28], as shown in Table 6.

5.3.2. Influence of the Wave Height

Table 7 shows four wave conditions with different significant wave heights to study the influence of wave height on the integrated towing process. The water depth was 72 m, and the sea bottom was assumed to be flat. The JONSWAP wave spectrum was selected, and the simulation was performed for 3 h.
Figure 12 and Figure 13 show the time series and statistics of heave, pitch, roll motion, and towing force of SFOWTs under different wave height conditions. It can be seen from the figures that the wave height has a significant influence on the responses of SFOWTs. When the significant wave height is 2 m, the maximum value of heave motion for TC-SFOWTs is 1.06 m, increasing by 43.4%, 99.1%, and 136.8%, respectively, when the significant wave heights are 3, 4, and 5 m. The maximum values of heave motion for FC-SFOWTs under different conditions are 0.86, 1.27, 1.71, and 2.25 m, respectively, and the maximum and minimum values of heave motion are lower than those of TC-SFOWTs under the same wave condition. The increase of wave height has a significant effect on the inclination of SFOWTs during the towing process. When the significant wave height is 5 m, the maximum value of pitch and roll motions of TC-SFOWTs are 2.14 and 1.38°, respectively, and they are 2.70 and 1.21° for FC-SFOWTs, respectively. The mean towing forces of TC-SFOWTs and FC-SFOWTs are 104.1 and 159.1 t, respectively, under C4. The pitch motion of the FC-SFOWT is larger, while the roll motion is smaller than those of the TC-SFOWT under the same wave condition. In addition, the mean towing force of the FC-SFOWT is larger than that of the TC-SFOWT under the same wave height condition.
Figure 14 shows the power spectra density (PSD) of the heave, pitch, and roll motion during the towing process at the different significant wave height conditions. Because the wave period for different conditions is the same, the frequencies corresponding to the heave, pitch, and roll peak of the SFOWTs are changeless under different conditions. The heave peak was more affected by significant wave height, as shown in Figure 14a, because the heave frequency of the SFOWTs was consistent with the wave frequency during the towing process. It can be seen from Figure 14c that the roll response of SFOWTs during the towing process was mainly caused by the resonance excited by wave-frequency loads. However, the main wave frequency range is 0.05~0.15 Hz, which avoids the roll natural frequency of SFOWTs (0.025 Hz for TC-SFOWT and 0.026 Hz for FC-SFOWT), so the frequency where the roll peak was appearing was less affected by the significant wave height changes.

5.3.3. Influence of the Wave Period

Table 8 shows four wave conditions with different wave periods to study the influence of the wave period on the towing process.
Figure 15 and Figure 16 are the time series and statistics of SFOWTs under different wave period conditions. The peak period has great influence on the heave motion of TC-SFOWTs. With the increase of the peak period, the maximum value of heave motion increases. When the peak period is 15.2 s, it is close to the heave natural period (14.3 s) of the TC-SFOWT, and the maximum value is 2.5 m, which increases by 62.6%, 10.2%, and 1.8% more than that of C5–C7, respectively. Peak period has little influence on the pitch motion of SFOWTs, and the pitch of FC-SFOWTs is larger than TC-SFOWTs under the same condition. When the peak period is 15.2 s, the mean towing forces of TC-SFOWTs and FC-SFOWTs are 138.1 and 180.3 t, which increase by 38.0% and 14.5% more than those under the C5, respectively. Under the same wave condition, a larger towing force is needed for FC-SFOWTs to obtain the same towing speed.
Figure 17 shows the power spectra density (PSD) of the heave, pitch, and roll motion during the towing process under different peak period conditions. The influence on the heave motion of SFOWTs is that the heave peak appears at the frequency corresponding to the peak period, but the value of the heave peak is less affected by the changes of the peak period. For pitch motion, with the increase of the peak period, the value of the peak which appears at the pitch resonance frequency increases, but the value of the other peak which appears at the frequency corresponding to the peak period changes little. Since the roll peak of SFOWTs appears at the resonance frequency excited by wave loads, the change of peak period will only affect the value of the roll peak, but has little influence on its occurrence frequency.

6. Conclusions

In this paper, a comparative study of towing performance among the FC-SFOWTs and TC-SFOWTs under different wave conditions was performed. The effect of wave height and wave period in irregular wave conditions on the responses of heave, pitch, and roll motion and the towing force were discussed based on the potential flow theory considering the viscous damping.
RAOs in the heave, roll, and pitch motion were studied. When the wave period was greater than 32 s, the heave response of the two forms of SFOWT was less affected by the wave period and the heave RAOs tended to be stable at the maximum value of 1 m/m. As for the RAOs in roll motion, they were similar in long-period wave conditions of the two forms of SFOWT, but the short-period wave had a great influence on the roll RAOs of FC-SFOWTs. In addition, the changes of RAOs in the pitch and roll motions of the two forms of SFOWT were similar.
The heave, pitch, and roll motion response and towing force of the two forms of SFOWT increase with the increase of significant wave height, and the heave motion was significantly affected by the change of wave height. When the significant wave height was 2 m, the maximum values of heave motion for TC-SFOWTs were 1.06, 1.52, 2.11, and 2.51 m, respectively; when the significant wave heights were 3, 4, and 5 m, they were 0.86, 1.27, 1.71, and 2.25 m, respectively, for FC-SFOWTs. The maximum roll and pitch motion amplitudes were 2.14 and 1.38°, respectively, for the TC-SFOWT, and 2.70 and 1.21°, respectively, for the FC-SFOWT when the significant wave height was less than 5 m, which is the maximum wave height for the allowable towing condition. Both the roll motion and the pitch motion are satisfied with the requirement that the roll and pitch are less than 5° during the towing process. The mean towing force of FC-SFOWT was 159.1 t, increasing by 52.8% compared with the TC-SFOWT, when the significant wave height was 5 m. The peak period mainly affected the frequency where the peak of motions appeared in power spectra. The heave peak appeared at the frequency corresponding to the peak period, but the value of the heave peak was less affected by the changes of the peak period. As for the roll motion, the change of the peak period only affected the value of the roll peak, but had little influence on its occurrence frequency in power spectra. Under the same wave condition, the FC-SFOWT showed relatively better performance in the platform motion, but the towing force was relatively larger compared with the TC-SFOWT.
In the next steps, the influence of more variables, such as the wind, current, the towing speed, and the layout of the mooring lines on the towing performance for two forms of SFOWT can be discussed. Furthermore, it is necessary to predict the towing performance of SFOWTs in damaged conditions.

Author Contributions

Conceptualization, C.L., P.Z. and H.D.; Methodology, C.L. and J.R.; Software, J.R. and C.L.; Validation, C.L., P.Z. and H.D.; Formal Analysis, J.R. and C.L.; Writing—Original Draft Preparation, J.R., C.L. and K.W.; Writing—Review and Editing, C.L., J.R., K.W.; Supervision, C.L., P.Z. and H.D.; Project Administration, C.L., H.D. and P.Z.; Funding Acquisition, C.L., H.D. and P.Z. All authors have read and agreed to the published version of the manuscript.

Funding

This research was funded by the Tianjin Municipal Natural Science Foundation (Grant No. 18JCYBJC22800); Special fund for promoting high-quality economic development of province in 2020 from Department of Natural Resources of Guangdong Province (Grant No. GDNRC [2020]015), and General Program of Natural Science Foundation of Guangdong Province, China (Grant No. 2021A1515011771).

Institutional Review Board Statement

Not applicable.

Informed Consent Statement

Not applicable.

Data Availability Statement

Not applicable.

Conflicts of Interest

The authors declare no conflict of interest.

References

  1. Skaare, B.; Nielsen, F.G.; Hanson, T.D.; Yttervik, R.; Havmøller, O.; Rekdal, A. Analysis of measurements and simulations from the Hywind Demo floating wind turbine. Wind Energy 2015, 18, 1105–1122. [Google Scholar] [CrossRef]
  2. Global Wind Energy Council (GWEC). Global Wind Report 2021; GWEC: Brussels, Belgium, 2021. [Google Scholar]
  3. Guillaume, B.; Christian, B.; Christine, B.; Cecile, M.; Timothee, P.; Yann, P. Design and Performance of a TLP Type Floating Support Structure for a 6MW Offshore Wind Turbine. In Proceedings of the Offshore Technology Conference, Houston, TX, USA, 6–9 May 2019. [Google Scholar]
  4. Blue H Engineering. Historical Development [N/OL]. Available online: https.//www.bluehengineer-ing.com/historical-development.html (accessed on 1 May 2021).
  5. Adam, F.; Myland, T.; Dahlhaus, F.; Großmann, J. GICON®-TLP for Wind Turbines–the Path of Development. In Proceedings of the 1st International Conference on Renewable Energies Offshore (RENEW), Lisbon, Portugal, 24–26 November 2014; pp. 24–26. [Google Scholar]
  6. Vita, L.; Ramachandran, G.K.V.; Krieger, A.; Kvittem, M.I.; Merino, D.; Cross-Whiter, J.; Ackers, B.B. Comparison of Numerical Models and Verification Against Experimental Data, Using pilaster TLP Concept. In Proceedings of the International Conference on Offshore Mechanics and Arctic Engineering, St. John’s, NL, Canada, 31 May–5 June 2015; American Society of Mechanical Engineers: London, UK, 31 May 2015; p. V009T09A047. [Google Scholar]
  7. European Wind Energy Association (EWEA). The Economics of Wind Energy; EWEA: Brussels, Belgium, 2015. [Google Scholar]
  8. Strandhagen, A.; Schoenherr, K.E.; Kobayashi, F.M. The dynamic stability on course of towed ship. SNAME 1950, 58, 32–66. [Google Scholar]
  9. Inoue, S.; Kakizaki, S.; Kasai, H.; Kubota, T.; Yamashita, Y. The course stability of towed boats. Trans. West Jpn. Soc. Nav. Archit. 1971, 42, 11–26. [Google Scholar]
  10. Inoue, S.; Lim, S.T. The course stability of towed boats (continued). Trans. West Jpn. Soc. Nav. Archit. 1971, 43, 35–44. [Google Scholar]
  11. Inoue, S.; Lim, S.T. The course stability of towed boats-When the mass of tow rope is continued. Trans. West Jpn. Soc. Nav. Archit. 1972, 44, 129–140. [Google Scholar]
  12. Varyani, K. Course Stability Problem Formulation. In Proceedings of the 13th International Conference on Hydrodynamic in Ship Design (HYDRONAV 99), 2nd International Symposiums on Ship Manoeuvring (MANOEUVRING 99), Gdansk, Poland, 20–24 September 1999. [Google Scholar]
  13. Collu, M.; Maggi, A.; Gualeni, P.; Rizzo, C.M.; Brennan, F. Stability requirements for floating offshore wind turbine (FOWT) during assembly and temporary phases: Overview and application. Ocean Eng. 2014, 84, 164–175. [Google Scholar] [CrossRef]
  14. Hyland, T.; Adam, F.; Dahlias, F.; Großmann, J. Towing tests with the GICON®-TLP for wind turbines. In Proceedings of the 24th International Ocean and Polar Engineering Conference, Busan, Korea, 15–20 June 2014; pp. 283–287. [Google Scholar]
  15. Ding, H.; Han, Y.; Zhang, P. Dynamic analysis of a new type of floating platform for offshore wind turbine. In Proceedings of the 26th International Ocean and Polar Engineering Conference, Rhodes, Greece, 26 June–2 July 2016. [Google Scholar]
  16. Le, C.; Li, Y.; Ding, H. Study on the coupled dynamic responses of a submerged floating wind turbine under different mooring conditions. Energies 2019, 12, 418. [Google Scholar] [CrossRef]
  17. Le, C.; Zhang, J.; Ding, H.; Zhang, P.; Wang, G. Preliminary Design of a Submerged Support Structure for Floating Wind Turbines. J. Ocean Univ. China 2020, 19, 1265–1282. [Google Scholar] [CrossRef]
  18. Ding, H.; Han, Y.; Zhang, P.; Le, C. Dynamic Analysis of a Floating Wind Turbine in Wet Tows Based on Multibody Dynamics. J. Renew. Sustain. Energy 2017, 9, 033301. [Google Scholar] [CrossRef]
  19. Han, Y.; Le, C.; Ding, H.; Cheng, Z.; Zhang, P. Stability and dynamic response analysis of a submerged tension leg platform for offshore wind turbines. Ocean Eng. 2017, 129, 68–82. [Google Scholar] [CrossRef]
  20. Gerwick, C. Construction of Marine and Offshore Structures; CRC Press: Boca Raton, FL, USA, 2002. [Google Scholar]
  21. Bak, C.; Zahle, F.; Bitsche, R.; Kim, T.; Yde, A.; Henriksen L., C.; Natajaran, A.; Hansen M., H. Description of the DTU 10 MW Reference Wind Turbine; Technical Report; Technical University of Denmark Wind Energy: Roskilde, Denmark, 2013. [Google Scholar]
  22. DNV. SESAM User Manual GeniE v6.4. Concept Design and Analysis of Offshore Structures. Det Norsk Veritas. 2013. Available online: https://www.dnv.com/services/conceptual-modelling-of-offshore-and-maritime-structures-genie-89128?gclid=EAIaIQobChMIsc7AzaiC8QIVwRwrCh2QbQ6WEAAYAiAAEgJSUfD_BwE&gclsrc=aw.ds (accessed on 4 June 2021).
  23. DNV. SESAM User Manual HydroD v4.7. Wave Load & Stability Analysis of Fixed and Floating Structures. Det Norsk Veritas. 2014. Available online: https://www.dnv.com/services/hydrodynamic-analysis-and-stability-analysis-software-hydrod-14492 (accessed on 4 June 2021).
  24. DNV. SIMO User Manual Version 4.0 rev 0; Norwegian Marine Technology Research Institute, Marintek: Trondheim, Norway, 2012. [Google Scholar]
  25. DNV. SESAM User Manual WASIM. Wave Loads on Vessels with Forward Speed; Marintek: Trondheim, Norway, 2006. [Google Scholar]
  26. DNV. DNV-RP-C205 Environmental Conditions and Environmental Loads; Det Norske Veritas: Oslo, Norway, 2010. [Google Scholar]
  27. Roddier, D.; Peiffer, A.; Aubault, A.; Weinstein, J. A generic 5MW WindFloat for numerical tool validation & comparison against a generic Spar. In Proceedings of the ASME 2011 30th International Conference on Ocean, Offshore and Arctic Engineering, Rotterdam, The Netherlands, 19–24 June 2011. [Google Scholar]
  28. Cooley, J.W.; Lewis, P.A.; Welch, P.D. The fast Fourier transform and its applications. IEEE Trans. Educ. 1969, 12, 27–34. [Google Scholar] [CrossRef]
Figure 1. Overall model of SFOWTs.
Figure 1. Overall model of SFOWTs.
Jmse 09 00633 g001
Figure 2. The structure of the SFOWT.
Figure 2. The structure of the SFOWT.
Jmse 09 00633 g002
Figure 3. Bird’s eye view of the TC-SFOWT and FC-SFOWT towing system.
Figure 3. Bird’s eye view of the TC-SFOWT and FC-SFOWT towing system.
Jmse 09 00633 g003
Figure 4. Definition of wave directions under the towing condition.
Figure 4. Definition of wave directions under the towing condition.
Jmse 09 00633 g004
Figure 5. Wave directions.
Figure 5. Wave directions.
Jmse 09 00633 g005
Figure 6. Schematic diagram of towing experiments.
Figure 6. Schematic diagram of towing experiments.
Jmse 09 00633 g006
Figure 7. Model-scale of 10MW TC-SFOWT and FC-SFOWT in the wave basin. (a) TC-SFOWT, (b) FC-SFOWFT.
Figure 7. Model-scale of 10MW TC-SFOWT and FC-SFOWT in the wave basin. (a) TC-SFOWT, (b) FC-SFOWFT.
Jmse 09 00633 g007
Figure 8. Heave motion RAOs of SFOWTs.
Figure 8. Heave motion RAOs of SFOWTs.
Jmse 09 00633 g008
Figure 9. Roll motion RAOs of SFOWTs.
Figure 9. Roll motion RAOs of SFOWTs.
Jmse 09 00633 g009
Figure 10. Pitch RAOs of SFOWTs.
Figure 10. Pitch RAOs of SFOWTs.
Jmse 09 00633 g010
Figure 11. Free-decay and frequency spectrum. (a) Free-decay in heave motion, (b) free-decay in roll motion, (c) free-decay in pitch motion.
Figure 11. Free-decay and frequency spectrum. (a) Free-decay in heave motion, (b) free-decay in roll motion, (c) free-decay in pitch motion.
Jmse 09 00633 g011
Figure 12. Time series of the SFOWT under different wave height conditions (Tp = 8.9s). (a) Heave motion of TC-SFOWT, (b) heave motion of FC-SFOWT, (c) pitch motion of TC-SFOWT, (d) pitch motion of FC-SFOWT, (e) roll motion of TC-SFOWT, (f) roll motion of FC-SFOWT, (g) towing force of TC-SFOWT, (h) towing force of FC-SFOWT.
Figure 12. Time series of the SFOWT under different wave height conditions (Tp = 8.9s). (a) Heave motion of TC-SFOWT, (b) heave motion of FC-SFOWT, (c) pitch motion of TC-SFOWT, (d) pitch motion of FC-SFOWT, (e) roll motion of TC-SFOWT, (f) roll motion of FC-SFOWT, (g) towing force of TC-SFOWT, (h) towing force of FC-SFOWT.
Jmse 09 00633 g012aJmse 09 00633 g012bJmse 09 00633 g012c
Figure 13. Statistics of the SFOWTs under different wave height conditions (Tp = 8.9). (a) Heave motion, (b) pitch motion, (c) roll motion, (d) towing force.
Figure 13. Statistics of the SFOWTs under different wave height conditions (Tp = 8.9). (a) Heave motion, (b) pitch motion, (c) roll motion, (d) towing force.
Jmse 09 00633 g013aJmse 09 00633 g013b
Figure 14. Power spectra of the SFOWT motion under different wave height conditions (Tp = 8.9 s). (a) Heave motion, (b) pitch motion, (c) roll motion.
Figure 14. Power spectra of the SFOWT motion under different wave height conditions (Tp = 8.9 s). (a) Heave motion, (b) pitch motion, (c) roll motion.
Jmse 09 00633 g014
Figure 15. Time series of the SFOWTs under different wave period conditions (Hs = 5 m). (a) Heave motion of TC-SFOWT, (b) heave motion of FC-SFOWT, (c) pitch motion of TC-SFOWT, (d) pitch motion of FC-SFOWT, (e) roll motion of TC-SFOWT, (f) roll motion of FC-SFOWT, (g) towing force of TC-SFOWT, (h) towing force of FC-SFOWT.
Figure 15. Time series of the SFOWTs under different wave period conditions (Hs = 5 m). (a) Heave motion of TC-SFOWT, (b) heave motion of FC-SFOWT, (c) pitch motion of TC-SFOWT, (d) pitch motion of FC-SFOWT, (e) roll motion of TC-SFOWT, (f) roll motion of FC-SFOWT, (g) towing force of TC-SFOWT, (h) towing force of FC-SFOWT.
Jmse 09 00633 g015aJmse 09 00633 g015bJmse 09 00633 g015c
Figure 16. Statistics of the SFOWTs under different wave period conditions (Hs = 5 m). (a) Heave motion, (b) pitch motion, (c) roll motion, (d) towing force.
Figure 16. Statistics of the SFOWTs under different wave period conditions (Hs = 5 m). (a) Heave motion, (b) pitch motion, (c) roll motion, (d) towing force.
Jmse 09 00633 g016aJmse 09 00633 g016b
Figure 17. Power spectra of the SFOWT motion under different wave period conditions (Hs = 5 m). (a) Heave motion, (b) pitch motion, (c) roll motion.
Figure 17. Power spectra of the SFOWT motion under different wave period conditions (Hs = 5 m). (a) Heave motion, (b) pitch motion, (c) roll motion.
Jmse 09 00633 g017aJmse 09 00633 g017b
Table 1. Main parameters of the DTU 10MW reference wind turbine [21].
Table 1. Main parameters of the DTU 10MW reference wind turbine [21].
ItemValue
Rated power (MW)10
Cut-in, rated, cut-out wind speeds (m/s)4, 11.4, 25
Number of blades 3
Diameter of rotor (m)178.3
Blade length (m)86.366
Hub height (m)119
Mass of impeller, nacelle, tower (kg)227,962, 446,036, 628,422
Overall center of gravity (CoG) (m)(−0.3, 0.0, 85.5)
Table 2. Main parameters of the towing system of SFOWTs.
Table 2. Main parameters of the towing system of SFOWTs.
ItemTC-SFOWTFC-SFOWT
Diameter of center column (m)8.38.3
Diameter of vertical pontoon (m)12.6811.0
Diameter of side column (m)15.015.0
Distance between side column (m)61.2450.0
Width and height of horizontal pontoon (m)6.3, 4.46.6, 4.0
Diameter of diagonal brace (m)2.52.5
Towing speed (knots)44
Draft (m)5.26.0
Angle of towing bridle (°)6060
Length of towing line (m)100100
Mass of platform (kg)4,819,0004,812,000
Mass moment of inertia in roll (kg∙m2)1.94 × 1092.31 × 109
Mass moment of inertia in pitch (kg∙m2)1.94 × 1092.31 × 109
Mass moment of inertia in yaw (kg∙m2)3.41 × 1094.02 × 109
Table 3. Load case for verification of numerical model.
Table 3. Load case for verification of numerical model.
Significant Wave Height (m)Peak Period (s)Towing Speed (m/s)
SimulationExperimentSimulationExperimentSimulationExperiment
50.06258.91.02.060.23
Table 4. Comparison results for model validation in full scale. (Note: Num., Exp., and Max. are the abbreviations for numerical, experimental, and maximum).
Table 4. Comparison results for model validation in full scale. (Note: Num., Exp., and Max. are the abbreviations for numerical, experimental, and maximum).
Pitch Motion (°)Towing Force (N)
TC-SFOWTFC-SFOWTTC-SFOWTFC-SFOWT
Num. Max.Exp. Max.Num. Max.Exp. MaxNum. MeanExp. MeanNum. MeanExp. Mean
2.4462.7462.7042.5871,200,5431,254,4001,771,5001,690,562
Table 5. Viscous damping for SFOWTs.
Table 5. Viscous damping for SFOWTs.
DOFsInertial Mass (kg)Added Mass (kg)Restoring Stiffness (N/m, N/rad)Viscous Damping
(N/(m/s), N(rad/s))
HeaveTC-SFOWT6.02 × 1066.94 × 1063.78 × 1061.40 × 106
FC-SFOWT6.01 × 1061.47 × 1073.78 × 1061.77 × 106
RollTC-SFOWT2.05 × 10102.68 × 1095.78 × 1087.32 × 108
FC-SFOWT2.08 × 10105.23 × 1096.69 × 1088.34 × 108
PitchTC-SFOWT2.05 × 10102.63 × 1095.78 × 1087.32 × 108
FC-SFOWT2.08 × 10104.58 × 1096.69 × 1088.25 × 108
Table 6. Natural frequencies in 3 DOFs of the SFOWTs.
Table 6. Natural frequencies in 3 DOFs of the SFOWTs.
DOFsFrequency (Hz)
HeaveTC-SFOWT0.070
FC-SFOWT0.056
RollTC-SFOWT0.025
TC-SFOWT0.026
PitchFC-SFOWT0.024
FC-SFOWT0.026
Table 7. Typical wave conditions under different wave heights.
Table 7. Typical wave conditions under different wave heights.
Wave ConditionsC1C2C3C4
Significant wave height (Hs)2 m3 m4 m5 m
Peak period (Tp)8.9 s8.9 s8.9 s8.9 s
Table 8. Typical wave conditions under different wave periods.
Table 8. Typical wave conditions under different wave periods.
Wave ConditionsC5C6C7C8
Significant wave height (Hs)5 m5 m5 m 5 m
Peak period (Tp)8.9 s11.6 s13.4 s15.2 s
Publisher’s Note: MDPI stays neutral with regard to jurisdictional claims in published maps and institutional affiliations.

Share and Cite

MDPI and ACS Style

Le, C.; Ren, J.; Wang, K.; Zhang, P.; Ding, H. Towing Performance of the Submerged Floating Offshore Wind Turbine under Different Wave Conditions. J. Mar. Sci. Eng. 2021, 9, 633. https://doi.org/10.3390/jmse9060633

AMA Style

Le C, Ren J, Wang K, Zhang P, Ding H. Towing Performance of the Submerged Floating Offshore Wind Turbine under Different Wave Conditions. Journal of Marine Science and Engineering. 2021; 9(6):633. https://doi.org/10.3390/jmse9060633

Chicago/Turabian Style

Le, Conghuan, Jianyu Ren, Kai Wang, Puyang Zhang, and Hongyan Ding. 2021. "Towing Performance of the Submerged Floating Offshore Wind Turbine under Different Wave Conditions" Journal of Marine Science and Engineering 9, no. 6: 633. https://doi.org/10.3390/jmse9060633

APA Style

Le, C., Ren, J., Wang, K., Zhang, P., & Ding, H. (2021). Towing Performance of the Submerged Floating Offshore Wind Turbine under Different Wave Conditions. Journal of Marine Science and Engineering, 9(6), 633. https://doi.org/10.3390/jmse9060633

Note that from the first issue of 2016, this journal uses article numbers instead of page numbers. See further details here.

Article Metrics

Back to TopTop