Is the Dilution Technique Underestimating the Picophytoplankton Growth Measurements?
Abstract
1. Introduction
2. Materials and Methods
2.1. Water Sampling
2.2. Experimental Design for the Incubation
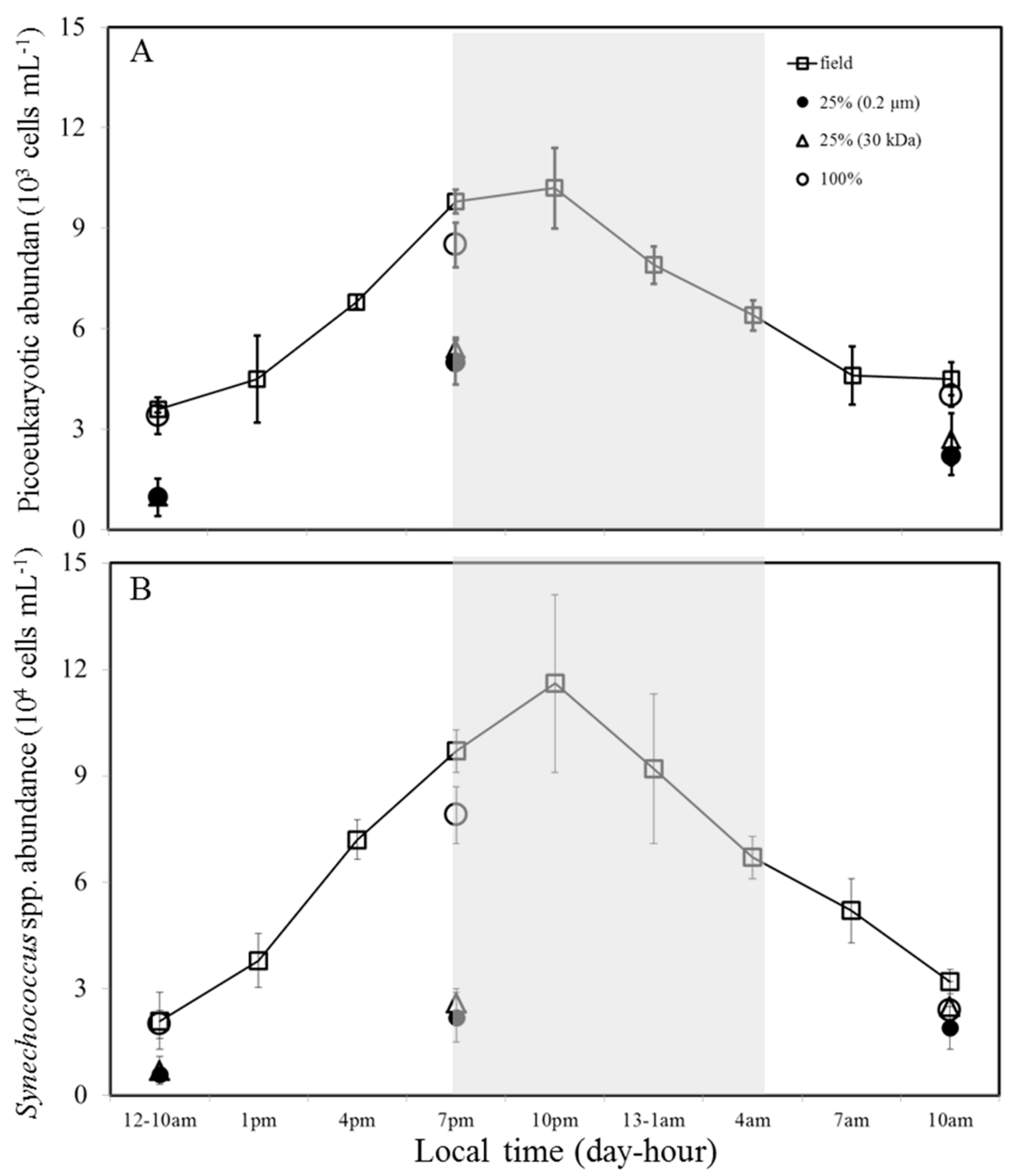
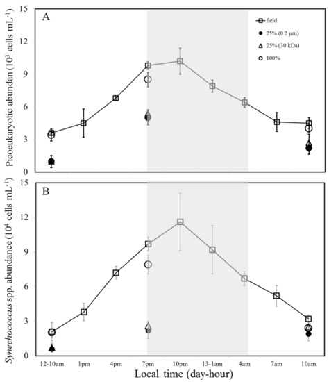
3. Results
4. Discussion
5. Conclusions
Author Contributions
Funding
Institutional Review Board Statement
Informed Consent Statement
Data Availability Statement
Conflicts of Interest
References
- Mann, N.H. Phages of the marine cyanobacterial picophytoplankton. FEMS Microbiol. Rev. 2003, 27, 17–34. [Google Scholar] [CrossRef]
- Vaulot, D.; Marie, D. Diel variability of photosynthetic picoplankton in the equatorial Pacific. J. Geophys. Res. Ocean. 1999, 104, 3297–3310. [Google Scholar] [CrossRef]
- Tsai, A.-Y.; Chin, W.-M.; Chiang, K.-P. Diel patterns of grazing by pigmented nanoflagellates on Synechococcus spp. In the coastal ecosystem of subtropical western pacific. Hydrobiologia 2009, 636, 249–256. [Google Scholar] [CrossRef]
- Tsai, A.-Y.; Chiang, K.-P.; Chang, J.; Gong, G.-C. Seasonal diel variations of picoplankton and nanoplankton in a subtropical western Pacific coastal ecosystem. Limnol. Oceanogr. 2005, 50, 1221–1231. [Google Scholar] [CrossRef]
- Lefort, T.; Gasol, J.M. Short-time scale coupling of picoplankton community structure and single-cell heterotrophic activity in winter in coastal NW Mediterranean Sea waters. J. Plankton Res. 2014, 36, 243–258. [Google Scholar] [CrossRef]
- Landry, M.R.; Hassett, R.P. Estimating the grazing impact of marine microzooplankton. Mar. Biol. 1982, 67, 283–288. [Google Scholar] [CrossRef]
- Reckermann, M.; Veldhuis, M.J.W. Trophic interactions between picophytoplankton and micro- and nanozooplankton in the western Arabian Sea during the NE monsoon 1993. Aquat. Microb. Ecol. 1997, 12, 263–273. [Google Scholar] [CrossRef]
- Kuipers, B.R.; Witte, H.J. Prochlorophytes as secondary prey for heterotrophic nanoflagellates in the deep chlorophyll maximum layer of the (sub)tropical North Atlantic. Mar. Ecol. Prog. Ser. 2000, 204, 53–63. [Google Scholar] [CrossRef]
- Worden, A.Z.; Binder, B.J. Application of dilution experiments for measuring growth and mortality rates among Prochlorococcus and Synechococcus populations in oligotrophic environments. Aquat. Microb. Ecol. 2003, 30, 159–174. [Google Scholar] [CrossRef]
- Gutiérrez-Rodríguez, A.; Selph, K.E.; Landry, M.R. Phytoplankton growth and microzooplankton grazing dynamics across vertical environmental gradients determined by transplant in situ dilution experiments. J. Plankton Res. 2016, 38, 271–289. [Google Scholar] [CrossRef] [PubMed]
- Kanayama, T.; Kobari, T.; Suzuki, K.; Yoshie, N.; Honma, T.; Karu, F.; Kume, G. Impact of microzooplankton grazing on the phytoplankton community in the Kuroshio of the East China sea: A major trophic pathway of the Kuroshio ecosystem. Deep Sea Res. Part I Oceanogr. Res. Pap. 2020, 163, 103337. [Google Scholar] [CrossRef]
- Taniguchi, D.A.A.; Landry, M.R.; Franks, P.J.S.; Selph, K.E. Size-specific growth and grazing rates for picophytoplankton in coastal and oceanic regions of the eastern Pacific. Mar. Ecol. Prog. Ser. 2014, 509, 87–101. [Google Scholar] [CrossRef][Green Version]
- Anderson, S.R.; Harvey, E.L. Seasonal variability and drivers of microzooplankton grazing and phytoplankton growth in a subtropical estuary. Front. Mar. Sci. 2019, 6, 174. [Google Scholar] [CrossRef]
- Gasol, J.M.; del Giorgio, P.A. Using flow cytometry for counting natural planktonic bacteria and understanding the structure of planktonic bacterial communities. Sci. Mar. 2000, 64, 197–224. [Google Scholar] [CrossRef]
- Christaki, U.; Courties, C.; Karayanni, H.; Giannakourou, A.; Maravelias, C.; Kormas, K.A.; Lebaron, P. Dynamic characteristics of Prochlorococcus and Synechococcus consumption by bacterivorous nanoflagellates. Microb. Ecol. 2002, 43, 341–352. [Google Scholar] [CrossRef]
- Ayukai, T. Possible limitation of the dilution technique for estimating growth and grazing mortality rates of picoplanktonic cyanobacteria in oligotrophic tropical waters. J. Exp. Mar. Bio. Ecol. 1996, 198, 101–111. [Google Scholar] [CrossRef]
- Liu, H.; Suzuki, K.; Saino, T. Phytoplankton growth and microzooplankton grazing in the subarctic Pacific Ocean and the Bering Sea during summer 1999. Deep Sea Res. Part I Oceanogr. Res. Pap. 2002, 49, 363–375. [Google Scholar] [CrossRef]
- Umani, S.F.; Tirelli, V.; Beran, A.; Guardiani, B. Relationships between microzooplankton and mesozooplankton: Competition versus predation on natural assemblages of the Gulf of Trieste (northern Adriatic Sea). J. Plankton Res. 2005, 27, 973–986. [Google Scholar] [CrossRef]
- Agis, M.; Granda, A.; Dolan, J.R. A cautionary note: Examples of possible microbial community dynamics in dilution grazing experiments. J. Exp. Mar. Bio. Ecol. 2007, 341, 176–183. [Google Scholar] [CrossRef]
- Paterson, H.L.; Knott, B.; Koslow, A.J.; Waite, A.M. The grazing impact of microzooplankton off south west Western Australia: As measured by the dilution technique. J. Plankton Res. 2008, 30, 379–392. [Google Scholar] [CrossRef]
- Pasulka, A.L.; Samo, T.J.; Landry, M.R. Grazer and viral impacts on microbial growth and mortality in the southern California Current Ecosystem. J. Plankton Res. 2015, 37, 320–336. [Google Scholar] [CrossRef]
- Sooria, P.M.; Menon, N.N.; Ranith, R.; Nair, M.; Anjusha, A.; Shivaprasad, A.; Joseph, K.A. Occurrence of enhanced herbivory in the microbial food web of a tropical estuary during southwest monsoon. Estuar. Coast. Shelf Sci. 2020, 246, 107017. [Google Scholar] [CrossRef]
- Suttle, C.A.; Chan, A.M. Dynamics and distribution of cyanophages and their effect on marine Synechococcus spp. Appl. Environ. Microbiol. 1994, 60, 3167–3174. [Google Scholar] [CrossRef]
- Dolan, J.R.; Šimek, K. Diel periodicity in Synechococcus populations and grazing by heterotrophic nanoflagellates: Analysis of food vacuole contents. Limnol. Oceanogr. 1999, 44, 1565–1570. [Google Scholar] [CrossRef]
- Suttle, C.A. Cyanophages and their role in the ecology of cyanobacteria. In The Ecology of Cyanobacteria: Their Diversity in Time and Space; Whitton, B.A., Potts, M., Eds.; Springer: Dordrecht, The Netherlands, 2002; pp. 563–589. ISBN 978-0-306-46855-1. [Google Scholar]
- Tsai, A.-Y.; Gong, G.-C.; Sanders, R.W.; Chiang, K.-P.; Huang, J.-K.; Chan, Y.-F. Viral lysis and nanoflagellate grazing as factors controlling diel variations of Synechococcus spp. summer abundance in coastal waters of Taiwan. Aquat. Microb. Ecol. 2012, 66, 159–167. [Google Scholar] [CrossRef]

| Picoeukaryotes | Synechococcus spp. | |||||
|---|---|---|---|---|---|---|
| 25% (0.2 μm) | 25% (30 kDa) | 100% | 25% (0.2 μm) | 25% (30 kDa) | 100% | |
| Net growth rate (h−1) | 0.18 ± 0.03 | 0.19 ± 0.04 | 0.10 ± 0.02 | 0.14 ± 0.07 | 0.15 ± 0.06 | 0.15 ± 0.04 |
| (daytime) | ||||||
| Net growth rate (h−1) | −0.03 ± 0.01 | −0.03 ± 0.02 | −0.07 ± 0.02 | −0.01 ± 0.01 | −0.00 ± 0.02 | −0.08 ± 0.03 |
| (nighttime) | ||||||
| Net growth rate (h−1) | 0.03 ± 0.01 | 0.04 ± 0.01 | 0.01 ± 0.01 | 0.05 ± 0.02 | 0.05 ± 0.01 | 0.01 ± 0.01 |
| (24 h) | ||||||
| growth rate | grazing rate | viral lysis | growth rate | grazing rate | viral lysis | |
| (daytime) | 0.21 ± 0.04 * | 0.11 ± 0.03 * | nd | 0.15 ± 0.06 * | nd | nd |
| (nighttime) | −0.02 ± 0.01 * | 0.05 ± 0.02 | nd | 0.02 ± 0.02 * | 0.09 ± 0.02 * | 0.01 ± 0.01 |
| (24 h) | 0.06 ± 0.01 | 0.05 ± 0.01 | nd | 0.06 ± 0.02 | 0.05 ± 0.01 | nd |
Publisher’s Note: MDPI stays neutral with regard to jurisdictional claims in published maps and institutional affiliations. |
© 2021 by the authors. Licensee MDPI, Basel, Switzerland. This article is an open access article distributed under the terms and conditions of the Creative Commons Attribution (CC BY) license (https://creativecommons.org/licenses/by/4.0/).
Share and Cite
Ho, P.-C.; Gong, G.-C.; Mukhanov, V.; Tsai, A.-Y. Is the Dilution Technique Underestimating the Picophytoplankton Growth Measurements? J. Mar. Sci. Eng. 2021, 9, 628. https://doi.org/10.3390/jmse9060628
Ho P-C, Gong G-C, Mukhanov V, Tsai A-Y. Is the Dilution Technique Underestimating the Picophytoplankton Growth Measurements? Journal of Marine Science and Engineering. 2021; 9(6):628. https://doi.org/10.3390/jmse9060628
Chicago/Turabian StyleHo, Pei-Chi, Gwo-Ching Gong, Vladimir Mukhanov, and An-Yi Tsai. 2021. "Is the Dilution Technique Underestimating the Picophytoplankton Growth Measurements?" Journal of Marine Science and Engineering 9, no. 6: 628. https://doi.org/10.3390/jmse9060628
APA StyleHo, P.-C., Gong, G.-C., Mukhanov, V., & Tsai, A.-Y. (2021). Is the Dilution Technique Underestimating the Picophytoplankton Growth Measurements? Journal of Marine Science and Engineering, 9(6), 628. https://doi.org/10.3390/jmse9060628

