Synchronization Control of Dynamic Positioning Ships Using Model Predictive Control
Abstract
:1. Introduction
- (1)
 - The underway replenishment of the DP ship is formulated into the leader-tracking configuration, and a novel model predictive control design (MPC) is presented; both the position and orientation are controlled to achieve the desired responses, and the velocities are controlled to be synchronized simultaneously.
 - (2)
 - (3)
 - The closed-loop stability, frequently neglected by traditional model predictive control, can be guaranteed herein by means of integrating the terminal cost function exported from the Lyapunov equation into the objective function.
 
2. Preliminaries and Problem Formulation
2.1. The Mathematical Model of DP Ship
2.2. Wave-Frequency (WF) Model
2.3. Problem Formulation
3. The Controller Design
3.1. Design of Terminal State Matrix
3.2. MPC Design
3.3. Neurodynamic Optimization Design
4. Simulation Results
4.1. Performance of Synchronization Control from Different Initial Points with Disturbances
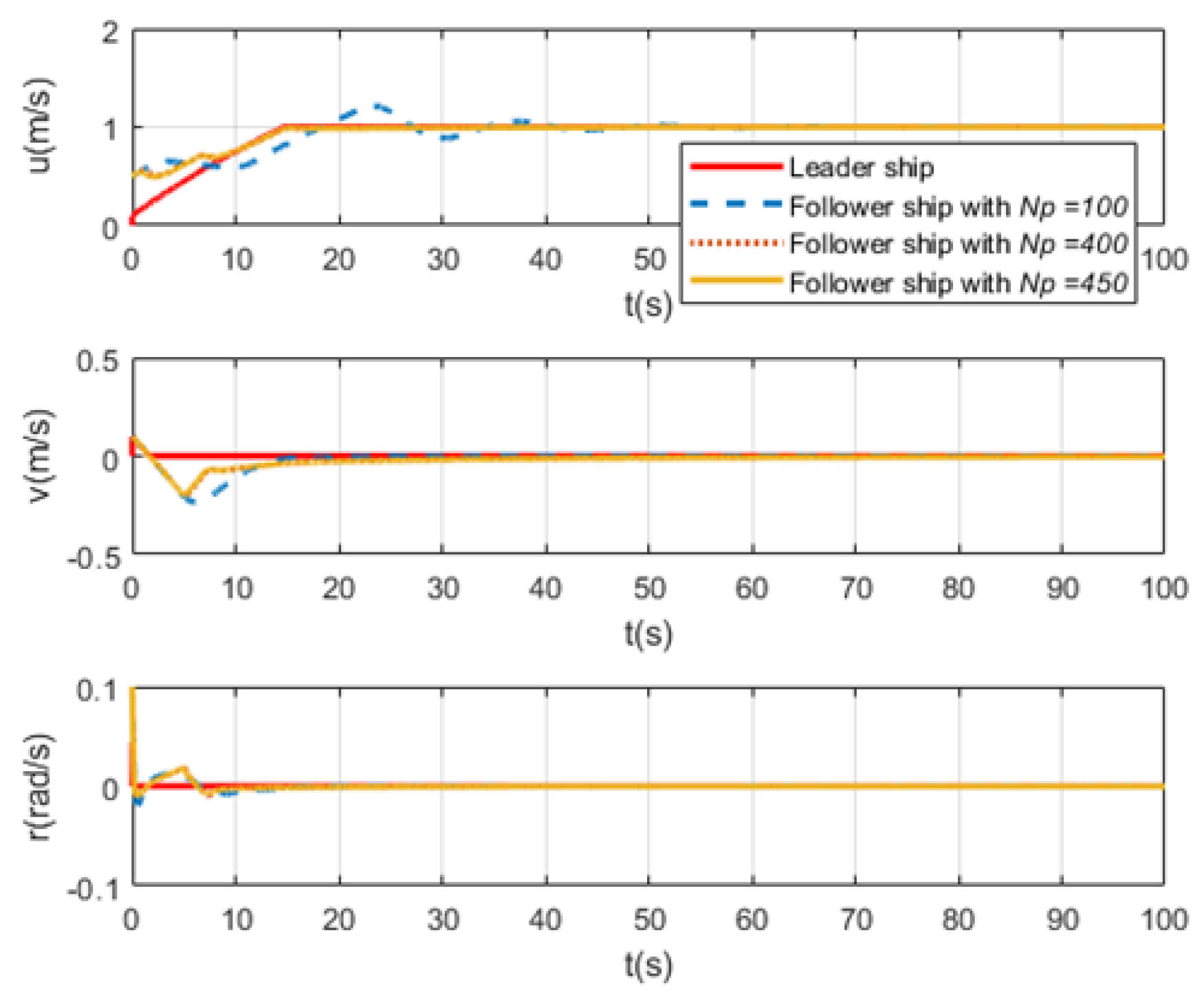
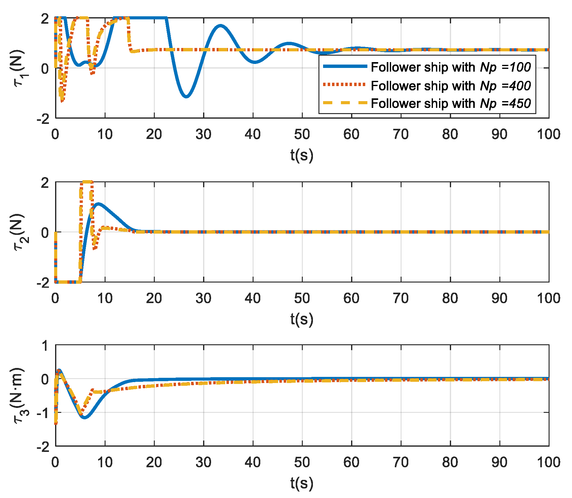
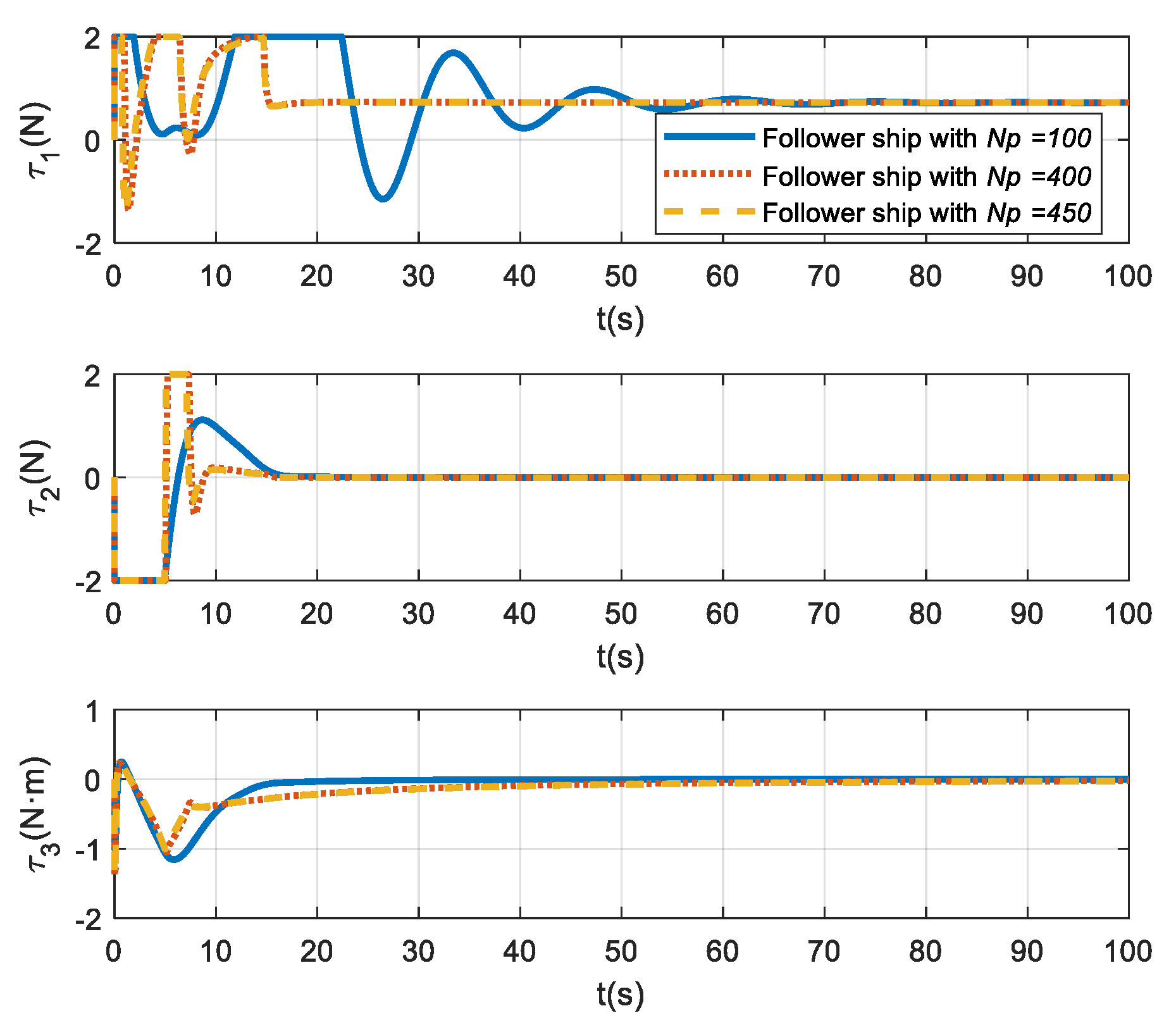
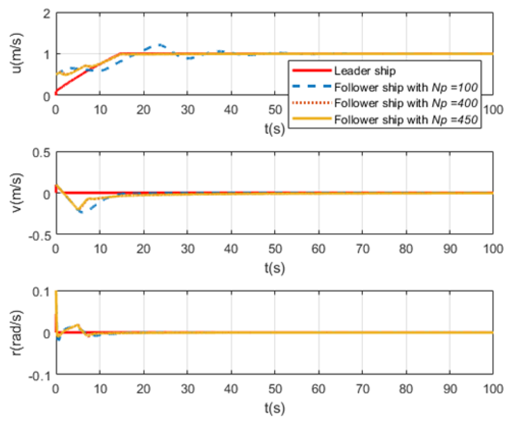
4.2. Influence of Prediction Horizon
4.3. Comparative Studies on Input Constraints
4.4. Performance of Synchronization Control with Changes in Velocities and Course
4.5. Comparative Studies on Computation Efficiency
5. Conclusions
Author Contributions
Funding
Institutional Review Board Statement
Informed Consent Statement
Data Availability Statement
Conflicts of Interest
References
- Sørensen, A.J. A survey of dynamic position control systems. Annu. Rev. Control 2011, 35, 123–136. [Google Scholar] [CrossRef]
 - Ahai, A.; Ketabdari, M.J. Reduction of state vector size in dynamic positioning simulation of supply vessel using a nonlinear extension of Kalman Filter. Ocean Eng. 2019, 177, 60–69. [Google Scholar]
 - Benetazzo, F.; Ippoliti, G.; Longhi, S.; Raspa, P. Advanced control for fault-tolerant dynamic positioning of an offshore supply vessel. Ocean Eng. 2015, 106, 472–484. [Google Scholar] [CrossRef]
 - Li, W.H.; Sun, Y.Q.; Chen, H.Q.; Wang, G. Model predictive controller design for ship dynamic position system based on state-space equations. J. Mar. Sci. Technol. 2017, 22, 426–431. [Google Scholar] [CrossRef]
 - Li, Y.; An, L.; Jiang, Y.Q.; He, J.Y.; Cao, J.; Guo, H.D. Dynamic position test for removable of ocean observation platform. Ocean Eng. 2018, 153, 112–121. [Google Scholar] [CrossRef]
 - Lin, X.G.; Nie, J.; Jiao, Y.Z.; Liang, K.; Li, H. Nonlinear adaptive fuzzy output-feedback controller design for dynamic position system of ships. Ocean Eng. 2018, 158, 186–195. [Google Scholar] [CrossRef]
 - Witkowska, A.; Śmierzchalski, R. Adaptive dynamic control allocation for dynamic position of marine vessel based on backstepping method and sequential quadratic programming. Ocean Eng. 2018, 163, 570–582. [Google Scholar] [CrossRef]
 - Du, J.L.; Hu, X.; Kristić, M.; Sun, Y.Q. Dynamic position of ships with unknown parameters and disturbances. Control Eng. Pract. 2018, 76, 22–30. [Google Scholar] [CrossRef]
 - Fossen, T.I.; Grøvlen, Å. Nonlinear output feedback control of dynamically positioned ships vectorial observer backstepping. IEEE Trans. Control Syst. Technol. 1998, 6, 121–128. [Google Scholar] [CrossRef]
 - Fossen, T.I.; Strand, J.P. Passive nonlinear observer design for ships using Lyapunov methods: Full-scale experiments with a supply vessel. Automatica 1999, 35, 3–16. [Google Scholar] [CrossRef]
 - Kyrkjebø, E.; Pettersen, K.Y.; Wondergem, M.; Nijmerjer, H. Output synchronization control of ship replenishment operations: Theory and experiments. Control Eng. Pract. 2007, 15, 741–755. [Google Scholar] [CrossRef] [Green Version]
 - Skejic, R.; Breivik, M.; Fossen, T.I.; Faltinsen, O.M. Modeling and control of underway replenishment operations in calm water. IFAC Proc. Vol. 2009, 42, 78–85. [Google Scholar] [CrossRef] [Green Version]
 - Bondhus, A.K.; Pettersen, K.Y. Control of ship replenishment by output feedback synchronization. In Proceedings of the OCEANS 2005 MTS/IEEE, Washington, DC, USA, 18–23 September 2005. [Google Scholar]
 - Fu, M.Y.; Yu, L.L.; Wang, Y.H.; Jiao, J.F. A cross-coupling control approach for coordinated formation of surface vessels with uncertain disturbances. Asian J. Control 2018, 20, 1–10. [Google Scholar] [CrossRef]
 - He, S.D.; Dai, S.L.; Fei, L. Asymptotic trajectory tracking control with guaranteed transient behavior for MSV with uncertain dynamics and external disturbances. IEEE Tran. Ind. Election. 2019, 66, 3712–3720. [Google Scholar] [CrossRef]
 - Peng, Z.H.; Wang, D.; Wang, J. Cooperative dynamic positioning of multiple marine offshore vessels: A modular design. IEEE Tran. Mech. 2016, 21, 1210–1221. [Google Scholar] [CrossRef]
 - Mina, T.; Singh, Y.; Min, B.C. Maneuvering ability-based weighted potential field framework for multi-usv navigation, guidance, and control. Mar. Technol. Soc. J. 2020, 54, 40–58. [Google Scholar] [CrossRef]
 - He, S.; Wang, M.; Dai, S.; Luo, F. Leader-follower formation control of USVs with prescribed performance and collision avoidance. IEEE Trans. Ind. Inform. 2019, 15, 572–581. [Google Scholar] [CrossRef]
 - Han, T.; Guan, Z.H.; Chi, M.; Hu, B.; Li, T.; Zhang, X.H. Multi-formation control of nonlinear leader-following multi-agent systems. ISA Trans. 2017, 69, 140–147. [Google Scholar] [CrossRef] [PubMed]
 - Gu, N.; Wang, Z.; Peng, Z.; Liu, L. Distributed containment maneuvering of uncertain underactuated unmanned surface vehicles guided by multiple virtual leaders with a formation. Ocean Eng. 2019, 187, 105996. [Google Scholar] [CrossRef]
 - Mayne, D.Q. Model predictive control: Recent developments and future promise. Automatica 2014, 50, 2967–2986. [Google Scholar] [CrossRef]
 - Sun, S.J.; Badgwell, T.A. A survey of industrial model predictive control technology. Control Eng. Pract. 2003, 11, 733–764. [Google Scholar]
 - Sun, J.; Kolmanovsky, L.V.; Ghaemi, R.; Chen, S.H. A stable block model predictive control wit variable implementation horizon. Automatica 2007, 43, 1945–1953. [Google Scholar] [CrossRef]
 - Xia, Y.S.; Leung, H.; Wang, J. A collaborative neurodynamic approach to multiobjective optimization. IEEE Trans. Circuits Syst. 2002, 49, 447–458. [Google Scholar]
 - Leung, M.F.; Wang, J. A collaborative neurodynamic approach to multiobjective optimization. IEEE Trans. Neural Netw. Learn. Syst. 2018, 26, 5738–5748. [Google Scholar] [CrossRef]
 - Xiao, H.Z.; Li, Z.J.; Yang, C.G.; Zhang, L.X.; Yuan, P.J.; Ding, L.; Wang, T.M. Robust stabilization of a wheeled mobile robot using model predictive control based on neurodynamics optimization. IEEE Trans. Ind. Electron. 2017, 64, 505–516. [Google Scholar] [CrossRef] [Green Version]
 - Liu, C.; Li, C.; Li, W.H. Computationally efficient MPC for path following of underactuated marine vessels using projection neural network. Neural Comput. Appl. 2020, 32, 7455–7464. [Google Scholar] [CrossRef]
 - Peng, Z.H.; Wang, J.; Wang, D. Distributed maneuvering of autonomous surface vehicles based on neurodynamic optimization and fuzzy approximation. IEEE Trans. Control Syst. Technol. 2017, 26, 1083–1090. [Google Scholar] [CrossRef]
 - Fan, J.C.; Wang, J. A two-phase fuzzy clustering algorithm based on neurodynamic optimization with its application for PolSAR image segmentation. IEEE Trans. Fuzzy Syst. 2018, 26, 72–83. [Google Scholar] [CrossRef]
 - Yu, S.Y.; Reble, M.; Chen, H.; Allgöwer, F. Inherent robustness properties of quasi-infinite horizon nonlinear model predictive control. Automatica 2014, 50, 2269–2280. [Google Scholar] [CrossRef]
 - Chen, H.; Allgöwer, F. A quasi-infinite horizon nonlinear model predictive control scheme with guaranteed stability. Automatica 1998, 34, 1205–1217. [Google Scholar] [CrossRef]
 - Fossen, T.I. Handbook of Marine Craft Hydrodynamics and Motion Control; Wiely: London, UK, 2011. [Google Scholar]
 - Skjetne, R.; Fossen, T.I.; Kokotović, P.V. Adaptive maneuvering, with experiments, for a model ship in a marine control laboratory. Automatica 2005, 41, 289–298. [Google Scholar] [CrossRef]
 - Loria, A.; Fossen, T.I.; Panteley, E. A separation principle for dynamic positioning of ships: Theoretical and experimental results. IEEE Trans. Control Syst. Technol. 2000, 8, 332–343. [Google Scholar] [CrossRef] [Green Version]
 - Liu, C.; Sun, J.; Zou, Z.J. Integrated line of sight and model predictive control for path following and roll motion control using rudder. J. Ship Res. 2015, 59, 99–112. [Google Scholar] [CrossRef]
 - Fu, S.H.; Cheng, C.C.; Yin, C.Y. Nonlinear adaptive tracking control for underway replenishment process. In Proceedings of the 2004 IEEE International Conference on Networking, Sensing & Control, Taipei, Taiwan, 21–23 March 2004. [Google Scholar]
 - Kyrkjebø, E. Motion Coordinated of Mechanical Systems: Leader-Follower Synchronization of Euler-Lagrange Systems Using Output Feedback Control. Ph.D. Thesis, Norwegian University of Science and Technology, Trondheim, Norway, 2007. [Google Scholar]
 - Lefeber, E.; Pettersen, K.Y.; Nijmeijer, H. Tracking control of an underactuated ship. IEEE Trans. Control Syst. Technol. 2003, 11, 52–61. [Google Scholar] [CrossRef] [Green Version]
 - Liu, C.; Zou, Z.J.; Yin, J.C. Trajectory tracking of underactuated surface vessels based on neural network and hierarchical sliding mode. J. Mar. Sci. Technol. 2015, 20, 322–330. [Google Scholar] [CrossRef]
 - Wang, L.P. Model Predictive Control System Design and Implementation Using MATLAB; Springer: Berlin/Heidelberg, Germany, 2009. [Google Scholar]
 - Liang, L.H.; Wen, Y. Rudder roll stabilization with disturbance compensation model predictive control. J. Mar. Sci. Technol. 2019, 24, 249–259. [Google Scholar] [CrossRef]
 - Liu, C.G.; Negenborn, R.R.; Chu, X.M.; Zheng, H.R. Predictive path following based on adaptive line-of-sight for underactuated autonomous surface vessels. J. Mar. Sci. Technol. 2018, 23, 483–494. [Google Scholar] [CrossRef]
 - DNV. Assessment of Station Keeping Capability of Dynamic Positioning Vessels; DNV: Bærum, Norway, 2016. [Google Scholar]
 















| Leader Ship | Follower Point-1 | Follower Point-2 | Follower Point-3 | |
|---|---|---|---|---|
| (m) | 0 | 18 | 25 | 30 | 
| (m) | 0 | 0 | −5 | −10 | 
| (deg) | 45 | 45 | 45 | 45 | 
| (m/s) | 0.1 | 0.5 | 1 | 1 | 
| (m/s) | 0.1 | 0.1 | 0 | 1 | 
| (rad/s) | 0.05 | 0.1 | 0 | 0.5 | 
Publisher’s Note: MDPI stays neutral with regard to jurisdictional claims in published maps and institutional affiliations.  | 
© 2021 by the authors. Licensee MDPI, Basel, Switzerland. This article is an open access article distributed under the terms and conditions of the Creative Commons Attribution (CC BY) license (https://creativecommons.org/licenses/by/4.0/).
Share and Cite
Liu, C.; Sun, T.; Hu, Q. Synchronization Control of Dynamic Positioning Ships Using Model Predictive Control. J. Mar. Sci. Eng. 2021, 9, 1239. https://doi.org/10.3390/jmse9111239
Liu C, Sun T, Hu Q. Synchronization Control of Dynamic Positioning Ships Using Model Predictive Control. Journal of Marine Science and Engineering. 2021; 9(11):1239. https://doi.org/10.3390/jmse9111239
Chicago/Turabian StyleLiu, Cheng, Ting Sun, and Qizhi Hu. 2021. "Synchronization Control of Dynamic Positioning Ships Using Model Predictive Control" Journal of Marine Science and Engineering 9, no. 11: 1239. https://doi.org/10.3390/jmse9111239
APA StyleLiu, C., Sun, T., & Hu, Q. (2021). Synchronization Control of Dynamic Positioning Ships Using Model Predictive Control. Journal of Marine Science and Engineering, 9(11), 1239. https://doi.org/10.3390/jmse9111239
        
                                                
