Capacity of the Weakly Absorbent Turbulent Ocean Channel with the Coaxial Double-Position Power Gaussian Vortex
Abstract
:1. Introduction
2. Kolmogorov Ocean Spectrum and Random Coaxial Double-Position Power Gaussian Vortex
2.1. Kolmogorov Ocean Spectrum
2.2. Random Coaxial Double-Position Power Gaussian Vortex
3. Bit Error Rate of the OAM Link and Channel Capacity
3.1. Bit Error Rate of OAM Links
3.2. Channel Capacity
4. Numeric Analysis
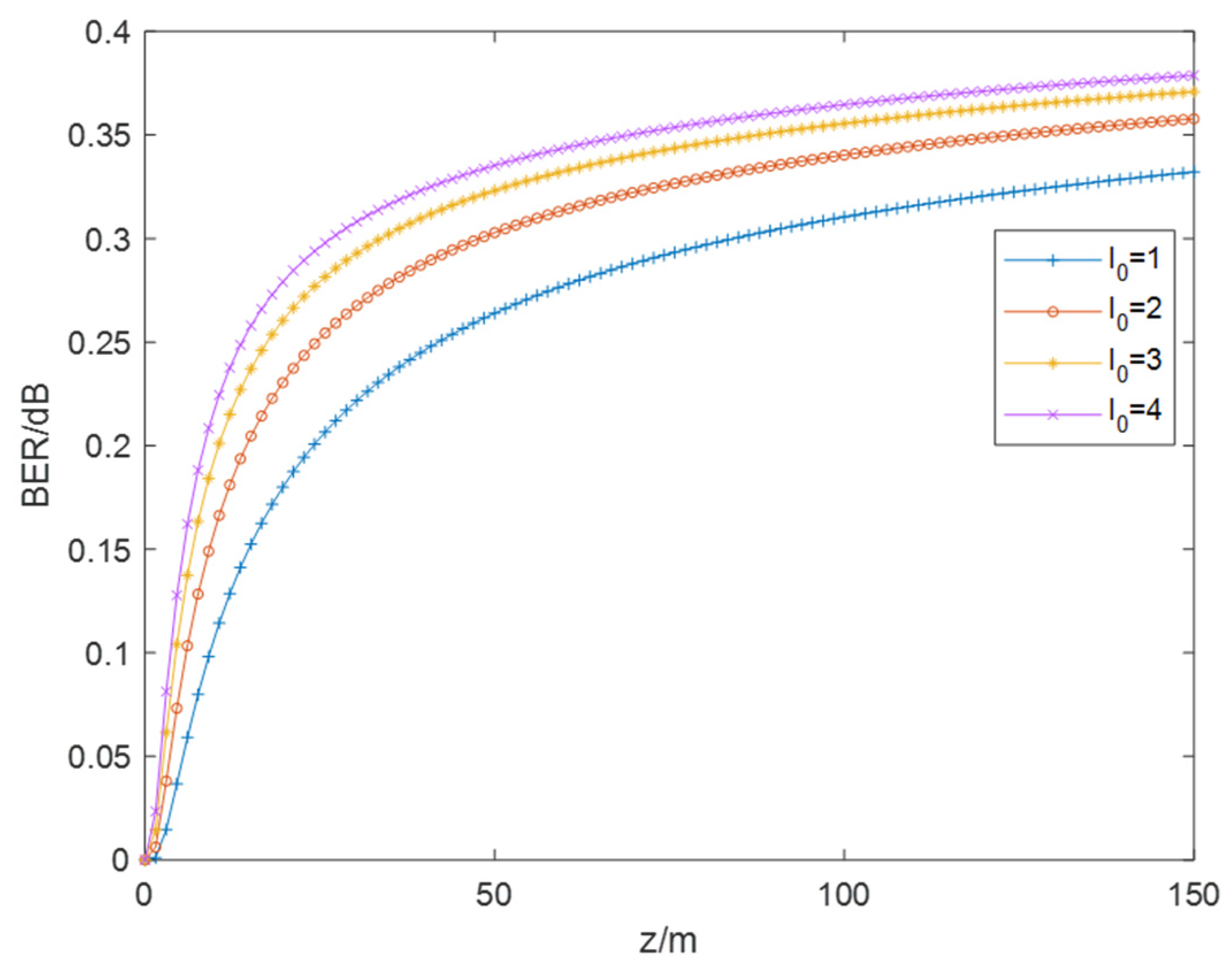
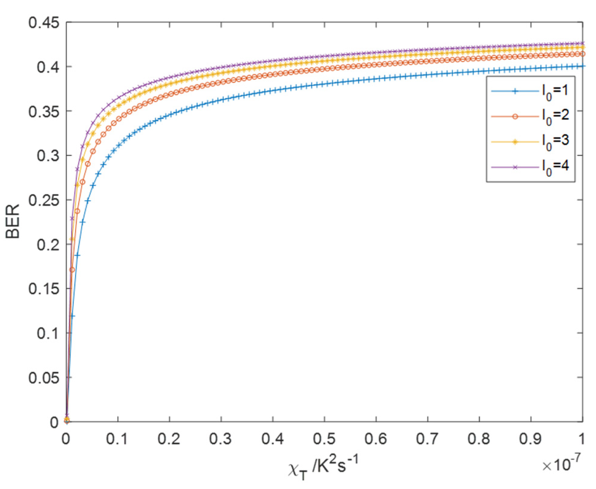
4.1. Effects of Seawater Turbulence and Beam Parameters on the BER
4.2. Effects of Seawater Turbulence and Beam Parameters on Channel Capacity
5. Conclusions
Author Contributions
Funding
Institutional Review Board Statement
Informed Consent Statement
Data Availability Statement
Conflicts of Interest
Appendix A
Appendix B
Appendix C
Appendix D
References
- Allen, L.; Beijersbergen, M.W.; Spreeuw, R.J.C.; Woerdman, J.P.; Barnett, S.M.; Padgett, M.J. Orbital angular momentum of light and the transformation of Laguerre-Gaussian laser modes. Optical. Angular. Momentum. 2004, 45, 8185–8189. [Google Scholar] [CrossRef]
- Krenn, M.; Fickler, R.; Fink, M.; Handsteiner, J.; Malik, M.; Scheidl, T.; Ursin, R.; Zeilinger, A. Communication with spatially modulated light through turbulent air across Vienna. New J. Phys. 2014, 16. [Google Scholar] [CrossRef]
- Paterson, C. Atmospheric Turbulence and Orbital Angular Momentum of Single Photons for Optical Communication. Phys. Rev. Lett. 2005, 94, 153901. [Google Scholar] [CrossRef]
- Krenn, M.; Handsteinera, J.; Fink, M.; Fickler, F.; Ursin, R.; Malik, M.; Zeilinge, A. Twisted light transmission over 143 km. PNAS 2016, 113, 13648–13653. [Google Scholar] [CrossRef] [Green Version]
- Qasem, Z.A.H.; Leftah, H.A.; Sun, H.; Qi, J.; Esmaiel, H. X-Transform Time-Domain Synchronous IM-OFDM-SS for Underwater Acoustic Communication. IEEE Syst. J. 2021, 99, 1–12. [Google Scholar] [CrossRef]
- Qasem, A.H.; JWang, J.; Kuai, X.; Sun, H.; Esmaiel, H. Enabling Unique Word OFDM for Underwater Acoustic Communication; IEEE Wireless Communications Letters: Xiamen, China, 2021. [Google Scholar] [CrossRef]
- Qasem, A.H.; Leftah, H.A.; Sun, H.; Qi, J.; Wang, J.; Esmaiel, H. Deep learning-based code indexed modulation for autonomous underwater vehicles systems. Veh. Commun. 2021, 28, 100314. [Google Scholar]
- Cheng, M.; Guo, L.; Li, J.; Huang, Q.; Cheng, Q.; Zhang, D. Propagation of an optical vortex carried by a partially coherent Laguerre–Gaussian beam in turbulent ocean. Appl. Opt. 2016, 55, 4642–4648. [Google Scholar] [CrossRef]
- Li, Y.; Cui, Z.; Han, Y.; Hui, Y. Channel capacity of orbital-angular-momentum-based wireless communication systems with partially coherent elegant Laguerre–Gaussian beams in oceanic turbulence. J. Opt. Soc. Am. A 2019, 36, 471–477. [Google Scholar] [CrossRef]
- Zhang, W.; Wang, L.; Wang, W.; Zhao, S. Propagation property of Laguerre-Gaussian beams carrying fractional orbital angular momentum in an underwater channel. OSA Contin. 2019, 2, 3281–3287. [Google Scholar] [CrossRef]
- Cheng, M.; Guo, L.; Li, J.; Zhang, Y. Channel Capacity of the OAM-Based Free-Space Optical Communication Links with Bessel–Gauss Beams in Turbulent Ocean. IEEE Photon. J. 2016, 8, 1–11. [Google Scholar] [CrossRef]
- Chen, M.; Zhang, Y. Effects of anisotropic oceanic turbulence on the propagation of the OAM mode of a partially coherent modified Bessel correlated vortex beam. Waves Random. Complex. Media. 2019, 29, 694–705. [Google Scholar] [CrossRef]
- Deng, S.; Yang, D.Y.; Zhang, Y. Capacity of communication link with carrier of vortex localized wave in absorptive turbulent seawater. Waves Random. Complex. Media. 2020, 1–14. [Google Scholar] [CrossRef]
- Wang, X.; Yang, Z.; Zhao, S. Influence of oceanic turbulence on propagation of Airy vortex beam carrying orbital angular momentum. Optik 2019, 176, 49–55. [Google Scholar] [CrossRef] [Green Version]
- Yu, L.; Zhang, Y. Analysis of modal crosstalk for communication in turbulent ocean using Lommel-Gaussian beam. Opt. Express 2017, 25, 22565–22574. [Google Scholar] [CrossRef]
- Hu, Z.; Liu, H.; Xia, J.; He, A.; Li, H.; Du, Z.; Chen, T.; Li, Z.; Lü, Y. Propagation characteristics of the perfect vortex beam in anisotropic oceanic turbulence. Appl. Opt. 2020, 59, 9956–9962. [Google Scholar] [CrossRef]
- Liang, Q.; Yang, D.; Zhang, Y.; Zheng, Y.; Hu, L. Probability of orbital angular momentum modes carried by a finite energy frozen wave in turbulent seawater. OSA Contin. 2020, 3, 2429. [Google Scholar] [CrossRef]
- Wang, X.; Wang, L.; Zhao, S. Research on Hypergeometric-Gaussian Vortex Beam Propagating under Oceanic Turbulence by Theoretical Derivation and Numerical Simulation. J. Mar. Sci. Eng. 2021, 9, 442. [Google Scholar] [CrossRef]
- Zhang, Y.; Zheng, Y.; Yan, Q.; Yu, L. Average capacity of an absorptive turbulent ocean channel with diffraction-and attenuation-resistant beam carriers. Opt. Commun. 2021, 499, 127291. [Google Scholar] [CrossRef]
- Deng, S.; Yang, D.; Hu, L.; Zhang, Y. Transmittance of Diffraction- and Attenuation-Resistant Vortex Frozen Beams in Oceanic Turbulence; PIERS Fall: Rome, Italy, 2019; pp. 2528–2621. [Google Scholar]
- Deng, S.; Zhu, Y.; Zhang, Y. Received Probability of Vortex Modes Carried by Localized Wave of Bessel–Gaussian Amplitude Envelope in Turbulent Seawater. J. Mar. Sci. Eng. 2019, 7, 203. [Google Scholar] [CrossRef] [Green Version]
- Yang, D.; Zhang, Y.; Shi, H. Capacity of turbulent ocean links with carrier Bessel–Gaussian localized vortex waves. Appl. Opt. 2019, 58, 9484–9490. [Google Scholar] [CrossRef]
- Zheng, Y.; Yang, D.; Qin, S.; Zhang, Y. Received probability of orbital-angular-momentum modes carried by diffraction- and attenuation resistant beams in weak turbulent oceans. J. Mar. Sci. Eng. 2020, 8, 701. [Google Scholar] [CrossRef]
- Li, Y.; Zhang, Y.; Zhu, Y. Oceanic spectrum of unstable stratification turbulence with outer scale and scintillation index of Gaussian-beam wave. Opt. Express 2019, 27, 7656–7672. [Google Scholar] [CrossRef]
- Andrews, L.C.; Phillips, R.L. Laser Beam Propagation through Random Media; SPIE Optical Engineering Press: Bellingham, WA, USA, 1998; pp. 47–50. [Google Scholar]
- Kotlyar, V.V.; Kovalev, A.A.; Porfirev, A.P. Vortex Laser Beams; Taylor & Francis Group; CRC Press: Boca Raton, FL, USA, 2019. [Google Scholar]
- Bazhenov, V.; Vasnetsov, M.V.; Soskin, M.S. Laser-beam with screw dislocations in the wavefrom. JETP Lett. 1990, 52, 429–431. [Google Scholar]
- Yousif, B.B.; Elsayed, E.E. Performance enhancement of an orbital-angular-momentum-multiplexed free-space optical link under atmospheric turbulence effects using apatial-mode multiplexing and hybrid diversity based on adaptive MIMO equalization. IEEE Acess 2020, 7, 84401–84412. [Google Scholar] [CrossRef]
- Anguita, J.A.; Neifeld, M.A.; Vasic, B.V. Turbulence-induced channel crosstalk in an orbital angular momentum-multiplexed free-space optical link. Appl. Opt. 2008, 47, 2414–2429. [Google Scholar] [CrossRef]
- Tyler, A.G.; Boyd, R.W. Influence of atmospheric turbulence on the propagation of quantum states of light carrying orbital angular momentum. Opt. Lett. 2009, 34, 142–144. [Google Scholar] [CrossRef]
- Keskin, A.; Baykal, Y. Effects of underwater turbulence on average transmittance of cos-Gaussian and cosh-Gaussian optical beams. Waves Random. Complex. Media. 2020, 1–12. [Google Scholar] [CrossRef]
- Gradshteyn, I.S.; Ryzhik, I.M. Table of Integrals, Series, and Products; Academic Press: Cambridge, MA, USA, 2007. [Google Scholar]
- Korotkova, O. Random Light Beams Theory and Applications; CRC Press: Boca Raton, FL, USA, 2014. [Google Scholar]










Publisher’s Note: MDPI stays neutral with regard to jurisdictional claims in published maps and institutional affiliations. |
© 2021 by the authors. Licensee MDPI, Basel, Switzerland. This article is an open access article distributed under the terms and conditions of the Creative Commons Attribution (CC BY) license (https://creativecommons.org/licenses/by/4.0/).
Share and Cite
Yan, Q.; Zhu, Y.; Zhang, Y. Capacity of the Weakly Absorbent Turbulent Ocean Channel with the Coaxial Double-Position Power Gaussian Vortex. J. Mar. Sci. Eng. 2021, 9, 1117. https://doi.org/10.3390/jmse9101117
Yan Q, Zhu Y, Zhang Y. Capacity of the Weakly Absorbent Turbulent Ocean Channel with the Coaxial Double-Position Power Gaussian Vortex. Journal of Marine Science and Engineering. 2021; 9(10):1117. https://doi.org/10.3390/jmse9101117
Chicago/Turabian StyleYan, Qingze, Yun Zhu, and Yixin Zhang. 2021. "Capacity of the Weakly Absorbent Turbulent Ocean Channel with the Coaxial Double-Position Power Gaussian Vortex" Journal of Marine Science and Engineering 9, no. 10: 1117. https://doi.org/10.3390/jmse9101117
APA StyleYan, Q., Zhu, Y., & Zhang, Y. (2021). Capacity of the Weakly Absorbent Turbulent Ocean Channel with the Coaxial Double-Position Power Gaussian Vortex. Journal of Marine Science and Engineering, 9(10), 1117. https://doi.org/10.3390/jmse9101117
