CPM-OFDM Performance over Underwater Acoustic Channels
Abstract
:1. Introduction
- An overview of the work done on CPM-OFDM and similar schemes (presented in this section).
- Design of a CPM-OFDM transceiver for low bandwidth and doubly-selective UWA channel.
- Performance evaluation of the proposed transceiver over the UWA channel using computer simulations. Specifically, we present:
- o
- Bit error rate vs. SNR plots for various rational values of the modulation indices and identification and analysis of good performing indices.
- o
- Bit error rate vs. SNR plots for varying transmitter-receiver distances and a discussion of the results.
- o
- Bit error rate vs. SNR plots for various values of channel bandwidths and a discussion of the results.
- o
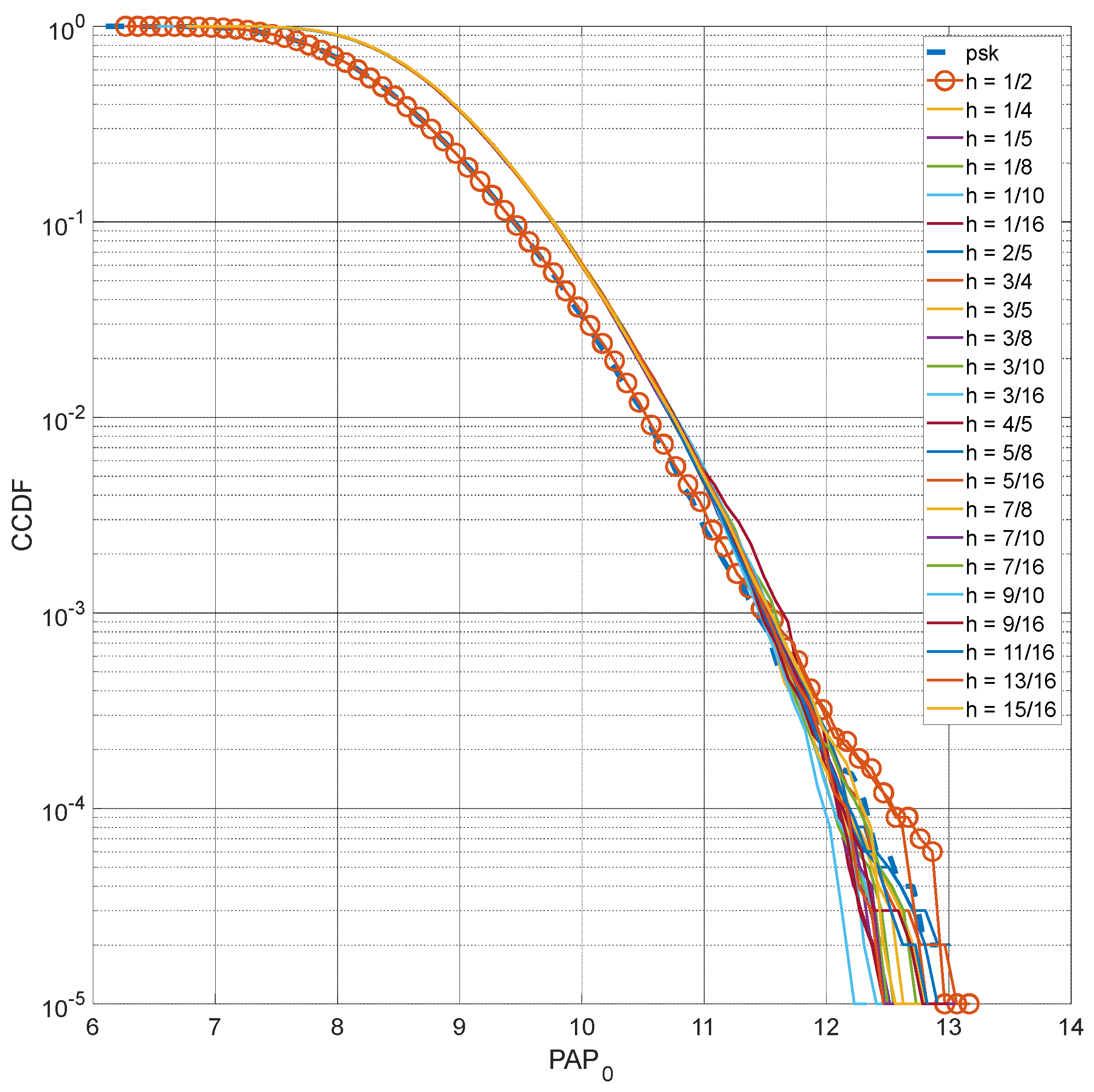
- Peak to average power ratio plots as a function of modulation indices.
2. Related Work
3. System Architecture
3.1. CPM-OFDM Transmitter
3.2. Continuous Phase Modulation (CPM)
3.3. CPM-OFDM Receiver
Viterbi Decoder
4. Shallow Underwater Acoustic Channel Model
4.1. Deterministic Response
4.2. Random Channel
4.3. Ambient Noise
5. Simulation Results
6. Conclusions
Author Contributions
Funding
Institutional Review Board Statement
Informed Consent Statement
Data Availability Statement
Acknowledgments
Conflicts of Interest
References
- Xu, X.; Zhaohui, W.; Shengli, Z.; Wan, L. Parameterizing Both Path Amplitude and Delay Variations of Underwater Acoustic Channels Forblock Decoding of Orthogonal Frequency Division Multiplexing. J. Acoust. Soc. Am. 2012, 131, 4672–4679. [Google Scholar] [CrossRef] [Green Version]
- Stojanovic, M.; Preisig, J. Underwater Acoustic Communication Channels: Propagation Models and Statistical Characterization. IEEE Commun. Mag. 2009, 47, 84–89. [Google Scholar] [CrossRef]
- Li, B.; Zhou, S.; Stojanovic, M.; Freitag, L. Pilot-Tone Based Zp-Ofdm Demodulation for an Underwater Acoustic Channel; IEEE: New York, NY, USA, 2006. [Google Scholar]
- Mohsin, M.; Tasadduq, I.A.; Otero, P.; Poncela, J. Flexible Ofdm Transceiver for Underwater Acoustic Channel: Modeling, Implementation and Parameter Tuning. Wirel. Pers. Commun. 2021, 116, 1423–1441. [Google Scholar]
- Gang, Q.; Babar, Z.; Ma, L.; Liu, S.; Wu, J. Mimo-Ofdm Underwater Acoustic Communication Systems—A Review. Phys. Commun. 2017, 23, 56–64. [Google Scholar]
- Sean, M.; Anstett, R.; Anicette, N.; Zhou, S. A Broadband Underwater Acoustic Modem Implementation Using Coherent Ofdm. In Proceedings of the The National Conference On Undergraduate Research (NCUR), Dominican University of California, San Rafael, CA, USA, 12–14 April 2007. [Google Scholar]
- Stojanovic, M. Low Complexity Ofdm Detector for Underwater Acoustic Channels. Oceans 2006, 2006, 1–6. [Google Scholar]
- Aulin, T.; Sundberg, C.-E. Bounds on the Performance of Binary Cpfsk Type of Signaling with Input Data Symbol Pulse Shaping. In Proceedings of the NTC’78 National Telecommunications Conference, Birmingham, UK, 3–6 December 1978; Volume 1. [Google Scholar]
- Aulin, T.; Sundberg, C. Continuous Phase Modulation-Part I: Full Response Signaling. IEEE Trans. Commun. 1981, 29, 196–209. [Google Scholar] [CrossRef]
- Aulin, T.; Rydbeck, N.; Sundberg, C.-E. Continuous Phase Modulation-Part II: Partial Response Signaling. IEEE Trans. Commun. 1981, 29, 210–225. [Google Scholar] [CrossRef]
- Sun, Y. Optimal Parameter Design of Continuous Phase Modulation for Future Gnss Signals. IEEE Access 2021, 9, 58487–58502. [Google Scholar] [CrossRef]
- Peng, B.; Rossi, P.S.; Dong, H.; Kansanen, K. Time-Domain Oversampled Ofdm Communication in Doubly-Selective Underwater Acoustic Channels. IEEE Commun. Lett. 2015, 19, 1081–1084. [Google Scholar] [CrossRef]
- Proakis, J.G.; Salehi, M. Digital Communications; McGraw-Hill: New York, NY, USA, 2008. [Google Scholar]
- Kassan, K.; Farès, H.; Glattli, D.C.; Louët, Y. Performance Vs. Spectral Properties for Single-Sideband Continuous Phase Modulation. IEEE Trans. Commun. 2021, 69, 4402–4416. [Google Scholar] [CrossRef]
- Güntürkün, U.; Vandendorpe, L. Low-Complexity Lmmse–Sic Turbo Receiver for Continuous Phase Modulation, Based on a Multiaccess–Multipath Analogy. IEEE Trans. Commun. 2020, 68, 7672–7686. [Google Scholar] [CrossRef]
- Xu, Z.; Wang, Q. Autocorrelation Function of Full-Response Cpm Signals and Its Application to Synchronization. IEEE Access 2019, 7, 133781–133786. [Google Scholar] [CrossRef]
- Tasadduq, I.A.; Rao, R.K. Ofdm-Cpm Signals. Electron. Lett. 2002, 38, 80–81. [Google Scholar] [CrossRef]
- Imran, A.T.; Raveendra, K.R. Detection of Ofdm-Cpm Signals over Multipath Channels. In Proceedings of the 2002 IEEE International Conference on Communications, Conference Proceedings, ICC 2002, New York, NY, USA, 28 April–2 May 2002. [Google Scholar]
- Tasadduq, I.A.; Rao, R.K. Ofdm-Cpm Signals for Wireless Communications. Can. J. Electr. Comput. Eng. 2003, 28, 19–25. [Google Scholar] [CrossRef]
- Tasadduq, I.A.; Rao, R.K. Performance of Optimum and Suboptimum Ofdm-Cpm Receivers over Multipath Fading Channels. Wirel. Commun. Mob. Comput 2005, 5, 365–374. [Google Scholar] [CrossRef]
- Tasadduq, I.A.; Rao, R.K. Viterbi Decoding of Ofdm-Cpm Signals. Arab. J. Sci. Eng. 2003, 28, 71–80. [Google Scholar]
- Tasadduq, I.A.; Rao, R.K. Ofdm-Cpm Signals for Indoor Wireless Communications. In Proceedings of the 14th International Conference on Wireless Communications, Calgary, AB, Canada, 8–10 July 2002. [Google Scholar]
- Wylie, M.; Green, G. On the Performance of Serially Concatenated Cpm-Ofdma Schemes for Aeronautical Telemetry; Air Force Flight Test Center: Edwards, CA, USA, 2011.
- Hisojo, M.A.; Lebrun, J.; Deneire, L. Zero-Forcing Approach for L2-Orthogonal St-Codes with Cpm-Ofdm Schemes and Frequency Selective Rayleigh Fading Channels. In Proceedings of the 2014 IEEE Military Communications Conference, Baltimore, MD, USA, 6–8 October 2014. [Google Scholar]
- Morioka, K.; Kanada, N.; Futatsumori, S.; Kohmura, A.; Yonemoto, N.; Sumiya, Y.; Asano, D. An Implementation of Cpfsk-Ofdm Systems by Using Software Defined Radio. In Proceedings of the 2014 IEEE Annual Conference on Wireless and Microwave Technology (WAMICON), Tampa, FL, USA, 6 June 204.
- Tasadduq, I.A.; Rao, R.K. Papr Reduction of Ofdm Signals Using Multiamplitude Cpm. Electron. Lett. 2002, 38, 915–917. [Google Scholar] [CrossRef]
- Thompson, S.C.; Ahmed, A.U.; Proakis, J.G.; Zeidler, J.R.; Geile, M.J. Constant Envelope Ofdm. IEEE Trans. Commun. 2008, 56, 1300–1312. [Google Scholar] [CrossRef]
- Thompson, S.C.; Ahmed, A.U.; Proakis, J.G.; Zeidler, J.R. Constant Envelope Ofdm Phase Modulation: Spectral Containment, Signal Space Properties and Performance. In Proceedings of the IEEE MILCOM 2004 Military Communications Conference, Monterey, CA, USA, 31 October–3 November 2004. [Google Scholar]
- Tasadduq, I.A. Novel Ofdm-Cpm Signals for Wireless Communications: Properties, Receivers and Performance. Ph.D. Thesis, University of Western Ontario, London, ON, Canada, 2002. [Google Scholar]
- Hassan, E.S.; Zhu, X.; El Khamy, S.E.; Dessouky, M.I.; El Dolil, S.A.; El Samie, F.E.A. Performance Evaluation of Ofdm and Single-Carrier Systems Using Frequency Domain Equalization and Phase Modulation. Int. J. Commun. Syst. 2011, 24, 1–13. [Google Scholar] [CrossRef]
- Hassan, E.S.; Zhu, X.; El-Khamy, S.E.; Dessouky, M.I.; El-Dolil, S.A.; El-Samie, F.E.A. Chaotic Interleaving Scheme for Single-and Multi-Carrier Modulation Techniques Implementing Continuous Phase Modulation. J. Frankl. Inst. 2013, 350, 770–789. [Google Scholar] [CrossRef]
- Kiviranta, M.; Mammela, M.; Cabric, D.; Sobel, D.A.; Brodersen, R.W. Constant Envelope Multicarrier Modulation: Performance Evaluation Awgn and Fading Channels. In Proceedings of the MILCOM 2005 IEEE Military Communications Conference, Atlantic City, NJ, USA, 17–20 October 2005. [Google Scholar]
- Tan, J.; Stuber, L. Constant Envelope Multi-Carrier Modulation. In Proceedings of the 2002 Military Communications Conference (MILCOM), Anaheim, CA, USA, 7–10 October 2002. [Google Scholar]
- Anderson, J.B.; Aulin, T. Digital Phase Modulation; Plenum: New York, NY, USA, 1986. [Google Scholar]
- Viterbi, A. Error Bounds for Convolutional Codes and an Asymptotically Optimum Decoding Algorithm. IEEE Trans. Inf. Theory 1967, 13, 260–269. [Google Scholar] [CrossRef] [Green Version]
- Omura, J. On the Viterbi Decoding Algorithm. IEEE Trans. Inf. Theory 1969, 15, 177–179. [Google Scholar] [CrossRef]
- Kobayashi, H. Correlative Level Coding and Maximum-Likelihood Decoding. IEEE Trans. Inf. Theory 1971, 17, 586–594. [Google Scholar] [CrossRef]
- Forney, G.D. The Viterbi Algorithm. Proc. IEEE 1973, 61, 268–278. [Google Scholar] [CrossRef]
- Hayes, J.F. The Viterbi Algorithm Applied to Digital Data Transmission. IEEE Commun. Mag. 2002, 40, 26–32. [Google Scholar] [CrossRef]
- Hayes, J. The Viterbi Algorithm Applied to Digital Data Transmission. Commun. Soc. 1975, 13, 15–20. [Google Scholar] [CrossRef]
- Sklar, B. Digital Communications: Fundamentals and Applications, 2nd ed.; Prentice-Hall: Englewood Cliffs, NJ, USA, 2001. [Google Scholar]
- Haykin, S. Communication Systems; John Wiley & Sons: Hoboken, NJ, USA, 2008. [Google Scholar]
- Liu, C.; Zakharov, Y.V.; Chen, T. Doubly Selective Underwater Acoustic Channel Model for a Moving Transmitter/Receiver. IEEE Trans. Veh. Technol. 2012, 61, 938–950. [Google Scholar]
- Bocus, M.J.; Agrafiotis, D.; Doufexi, A. Underwater Acoustic Video Transmission Using Mimo-Fbmc. In Proceedings of the 2018 OCEANS-MTS/IEEE Kobe Techno-Oceans (OTO), Kobe, Japan, 28–31 May 2018. [Google Scholar]
- Wang, X.; Wang, J.; He, L.; Song, J. Doubly Selective Underwater Acoustic Channel Estimation with Basis Expansion Model. In Proceedings of the 2017 IEEE International Conference on Communications (ICC), Paris, France, 21–25 May 2017. [Google Scholar]
- Stojanovic, M. Underwater Acoustic Communications: Design Considerations on the Physical Layer. In Proceedings of the 2008 Fifth Annual Conference on Wireless on Demand Network Systems and Services, Garmisch-Partenkirchen, Germany, 23–25 January 2008. [Google Scholar]
- Urick, R.J. Sound Propagation in the Sea; Peninsula Publishing: Westport, CT, USA, 1982. [Google Scholar]
- Wan, L. Underwater Acoustic Ofdm: Algorithm Design, Dsp Implementation, and Field Performance. Ph.D. Thesis, University of Connecticut, Mansfield, CT, USA, 2014. [Google Scholar]
- Philip, M.M.; Ingard, K.U. Theoretical Acoustics; Princeton University Press: Princeton, NJ, USA, 1986. [Google Scholar]
- Roth, P.O. Fundamentos de Propagación de Ondas; Universidad de Malaga, Manual: Malaga, Spain, 2015. [Google Scholar]
- Medwin, H. Speed of Sound in Water: A Simple Equation for Realistic Parameters. J. Acoust. Soc. Am. 1975, 58, 1318–1319. [Google Scholar] [CrossRef]
- Kulhandjian, H.; Melodia, T. Modeling Underwater Acoustic Channels in Short-Range Shallow Water Environments. In Proceedings of the International Conference on Underwater Networks & Systems, Rome, Italy, 12–14 November 2014. [Google Scholar]
- Radosevic, A.; Proakis, J.G.; Stojanovic, M. Statistical Characterization and Capacity of Shallow Water Acoustic Channels. In Proceedings of the OCEANS 2009—EUROPE, Bremen, Germany, 11–14 May 2009. [Google Scholar]
- Ruiz-Vega, F.; Clemente, M.C.; Paris, J.F.; Otero, P. Ricean Shadowed Statistical Characterization of Shallow Water Acoustic Channels for Wireless Communications. In IEEE Conf. Underwater Communications: Channel Modelling & Validation, UComms; IEEE: Sestri Levante, Italy, 2012. [Google Scholar]
- Melodia, T.; Kulhandjian, H.; Kuo, L.; Demirors, E. Mobile Ad Hoc Networking: Cutting Edge Directions. In Advances in Underwater Acoustic Networking; John Wiley & Sons: Hoboken, NJ, USA, 2013. [Google Scholar]
- Jeruchim, M.; Balaban, P.; Shanmugan, K.S. Simulation of Communication Systems, 2nd ed.; Kluwer Academic/Plenum: New York, NY, USA, 2000. [Google Scholar]
- Stojanovic, M. On the Relationship between Capacity and Distance in an Underwater Acoustic Communication Channel. ACM SIGMOBILE Mob. Comput. Commun. Rev. 2007, 11, 34–43. [Google Scholar] [CrossRef]
- Hebbar, R.P.; Poddar, P.G. Generalized Frequency Division Multiplexing–Based Acoustic Communication for Underwater Systems. Int. J. Commun. Syst. 2020, 33, e4292. [Google Scholar] [CrossRef]










| Parameters | Values |
|---|---|
| Number of Subcarriers | 512 |
| CP Length | 128 (typically, 1/4th the no. of subcarriers) |
| Modulation Index | 23 rational values |
| Bandwidth | 10 kHz |
| Average Path Gains | dB |
| Path Delays | ms |
| Sampling Frequency | 10,000 samples per second |
| OFDM Symbol Duration | 51.2 ms |
| No. of OFDM Symbols Transmitted | 160,000 |
| No. of Simulation Runs | 20 |
| Tx-Rx Distance | 500 m |
| Transmitter Depth | 50 m |
| Receiver Depth | 50 m |
| Doppler Frequency | 10 Hz |
| Atmospheric pressure | Pa |
| Salinity | 35 parts/1000 |
| Density | 103 kg/m3 |
| Water temperature | 25 °C |
| SNR (dB) | ||||||||
|---|---|---|---|---|---|---|---|---|
| 0 | 5 | 10 | 15 | 20 | 25 | 30 | ||
| 1 | 2 | 0.389864 | 0.274086 | 0.145444 | 0.04784 | 0.01437 | 0.006743 | 0.003461 |
| 1 | 4 | 0.358647 | 0.241738 | 0.124955 | 0.051068 | 0.022901 | 0.012591 | 0.007052 |
| 1 | 5 | 0.360902 | 0.261278 | 0.158968 | 0.075665 | 0.032758 | 0.016251 | 0.009047 |
| 1 | 8 | 0.377929 | 0.303389 | 0.219292 | 0.132342 | 0.06248 | 0.028433 | 0.015397 |
| 1 | 10 | 0.388773 | 0.325632 | 0.250118 | 0.169976 | 0.10423 | 0.060461 | 0.033599 |
| 1 | 16 | 0.412185 | 0.367027 | 0.307857 | 0.232441 | 0.151332 | 0.082683 | 0.039188 |
| 2 | 5 | 0.343899 | 0.189986 | 0.06111 | 0.008237 | 0.00025 | 0 | |
| 3 | 4 | 0.358597 | 0.241657 | 0.124931 | 0.051127 | 0.022885 | 0.012581 | 0.007057 |
| 3 | 5 | 0.343854 | 0.186318 | 0.047827 | 0.003423 | 0 | ||
| 3 | 8 | 0.337594 | 0.175321 | 0.043152 | 0.002893 | 0 | 0 | |
| 3 | 10 | 0.341311 | 0.188547 | 0.059988 | 0.007768 | 0.00016 | 0 | |
| 3 | 16 | 0.357686 | 0.239549 | 0.113669 | 0.030198 | 0.002457 | 0 | |
| 4 | 5 | 0.360941 | 0.261225 | 0.170811 | 0.109233 | 0.06671 | 0.0368 | 0.018393 |
| 5 | 8 | 0.337572 | 0.175237 | 0.043122 | 0.002893 | 0 | 0 | |
| 5 | 16 | 0.337189 | 0.180792 | 0.052542 | 0.005163 | 0 | 0 | |
| 7 | 8 | 0.37788 | 0.303382 | 0.219266 | 0.132345 | 0.06243 | 0.028404 | 0.015389 |
| 7 | 10 | 0.341236 | 0.188574 | 0.059911 | 0.00778 | 0.000159 | 0 | |
| 7 | 16 | 0.329276 | 0.162725 | 0.037263 | 0.001883 | 0 | 0 | |
| 9 | 10 | 0.388748 | 0.325557 | 0.250039 | 0.169949 | 0.104257 | 0.060448 | 0.033613 |
| 9 | 16 | 0.329302 | 0.16274 | 0.037281 | 0.001882 | 0 | 0 | |
| 11 | 16 | 0.337094 | 0.180739 | 0.052517 | 0.005183 | 0 | 0 | |
| 13 | 16 | 0.357658 | 0.239519 | 0.113663 | 0.030164 | 0.002452 | 0 | |
| 15 | 16 | 0.412149 | 0.367034 | 0.30793 | 0.232537 | 0.151276 | 0.082633 | 0.039155 |
| SNR (dB) | |||||||||
|---|---|---|---|---|---|---|---|---|---|
| 0 | 5 | 10 | 15 | 20 | 25 | 30 | |||
| Category A | 7 | 16 | 0.329276 | 0.162725 | 0.037263 | 0.001883 | 0 | 0 | |
| 9 | 16 | 0.329302 | 0.16274 | 0.037281 | 0.001882 | 0 | 0 | ||
| 3 | 8 | 0.337594 | 0.175321 | 0.043152 | 0.002893 | 0 | 0 | ||
| 5 | 8 | 0.337572 | 0.175237 | 0.043122 | 0.002893 | 0 | 0 | ||
| 3 | 5 | 0.343854 | 0.186318 | 0.047827 | 0.003423 | 0 | |||
| 11 | 16 | 0.337094 | 0.180739 | 0.052517 | 0.005183 | 0 | 0 | ||
| 5 | 16 | 0.337189 | 0.180792 | 0.052542 | 0.005163 | 0 | 0 | ||
| 7 | 10 | 0.341236 | 0.188574 | 0.059911 | 0.00778 | 0.000159 | 0 | ||
| 3 | 10 | 0.341311 | 0.188547 | 0.059988 | 0.007768 | 0.00016 | 0 | ||
| 2 | 5 | 0.343899 | 0.189986 | 0.06111 | 0.008237 | 0.00025 | 0 | ||
| 13 | 16 | 0.357658 | 0.239519 | 0.113663 | 0.030164 | 0.002452 | 0 | ||
| 3 | 16 | 0.357686 | 0.239549 | 0.113669 | 0.030198 | 0.002457 | 0 | ||
| Category B | 1 | 2 | 0.389864 | 0.274086 | 0.145444 | 0.04784 | 0.01437 | 0.006743 | 0.003461 |
| 3 | 4 | 0.358597 | 0.241657 | 0.124931 | 0.051127 | 0.022885 | 0.012581 | 0.007057 | |
| 1 | 4 | 0.358647 | 0.241738 | 0.124955 | 0.051068 | 0.022901 | 0.012591 | 0.007052 | |
| 1 | 5 | 0.360902 | 0.261278 | 0.158968 | 0.075665 | 0.032758 | 0.016251 | 0.009047 | |
| 7 | 8 | 0.37788 | 0.303382 | 0.219266 | 0.132345 | 0.06243 | 0.028404 | 0.015389 | |
| 1 | 8 | 0.377929 | 0.303389 | 0.219292 | 0.132342 | 0.06248 | 0.028433 | 0.015397 | |
| 4 | 5 | 0.360941 | 0.261225 | 0.170811 | 0.109233 | 0.06671 | 0.0368 | 0.018393 | |
| 1 | 10 | 0.388773 | 0.325632 | 0.250118 | 0.169976 | 0.10423 | 0.060461 | 0.033599 | |
| 9 | 10 | 0.388748 | 0.325557 | 0.250039 | 0.169949 | 0.104257 | 0.060448 | 0.033613 | |
| 15 | 16 | 0.412149 | 0.367034 | 0.30793 | 0.232537 | 0.151276 | 0.082633 | 0.039155 | |
| 1 | 16 | 0.412185 | 0.367027 | 0.307857 | 0.232441 | 0.151332 | 0.082683 | 0.039188 | |
Publisher’s Note: MDPI stays neutral with regard to jurisdictional claims in published maps and institutional affiliations. |
© 2021 by the authors. Licensee MDPI, Basel, Switzerland. This article is an open access article distributed under the terms and conditions of the Creative Commons Attribution (CC BY) license (https://creativecommons.org/licenses/by/4.0/).
Share and Cite
Tasadduq, I.A.; Murad, M.; Otero, P. CPM-OFDM Performance over Underwater Acoustic Channels. J. Mar. Sci. Eng. 2021, 9, 1104. https://doi.org/10.3390/jmse9101104
Tasadduq IA, Murad M, Otero P. CPM-OFDM Performance over Underwater Acoustic Channels. Journal of Marine Science and Engineering. 2021; 9(10):1104. https://doi.org/10.3390/jmse9101104
Chicago/Turabian StyleTasadduq, Imran A., Mohsin Murad, and Pablo Otero. 2021. "CPM-OFDM Performance over Underwater Acoustic Channels" Journal of Marine Science and Engineering 9, no. 10: 1104. https://doi.org/10.3390/jmse9101104
APA StyleTasadduq, I. A., Murad, M., & Otero, P. (2021). CPM-OFDM Performance over Underwater Acoustic Channels. Journal of Marine Science and Engineering, 9(10), 1104. https://doi.org/10.3390/jmse9101104

