Sedimentary Facies Analysis, Reservoir Characteristics and Paleogeography Significance of the Early Jurassic to Eocene Carbonates in Epirus (Ionian Zone, Western Greece)
Abstract
1. Introduction
2. Geological Setting
2.1. Tectonostratigraphic Evolution of Ionian Basin
2.2. Lithostratigraphy of Jurassic-Eocene Formations in the Ionian Basin
2.2.1. Pantokrator Limestones and Lateral Equivalents
2.2.2. Vigla Formation
2.2.3. Senonian Limestones
2.2.4. Paleocene-Eocene Limestones
3. Materials and Methods
4. Results
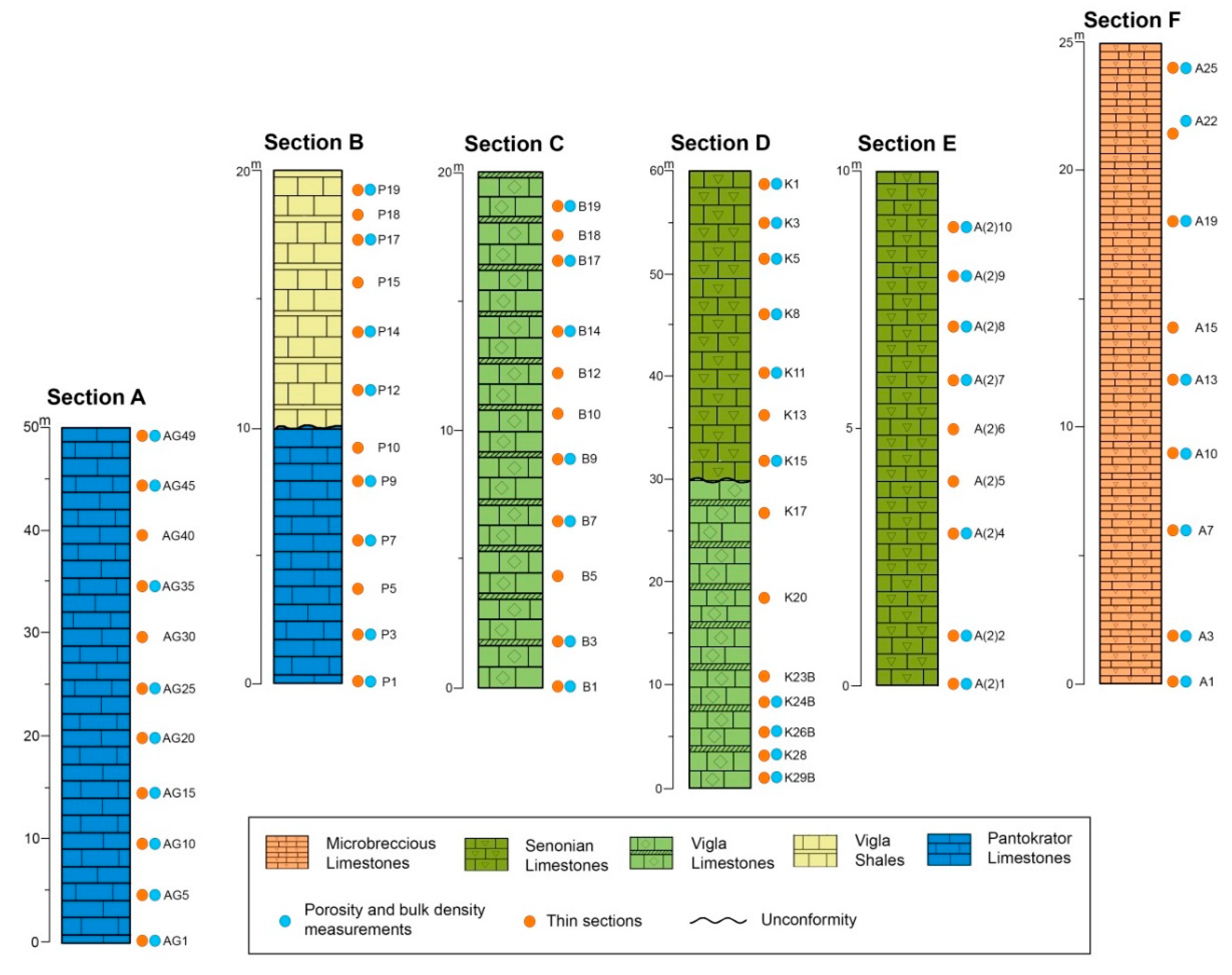
4.1. Description of the Study Sections
4.2. Sedimentary Facies Analysis
4.3. Biostratigraphic Analysis
4.4. Porosity and Bulk Density Measurements
5. Discussion
5.1. Microfacies Types and Depositional Environments
5.2. Reservoir Potential of the Early Jurassic to Eocene Carbonate Rocks of the Ionian Zone
5.3. Paleogeographic Analysis of the Ionian Zone
6. Conclusions
Author Contributions
Funding
Acknowledgments
Conflicts of Interest
References
- Morse, J.W.; Mackenzie, F.T. Geochemistry of Sedimentary Carbonates; Elsevier Science: Oxford, UK, 1990; Volume 48. [Google Scholar]
- Schlager, W.; Philip, J. Cretaceous Carbonate Platforms. In Cretaceous Resources, Events and Rhythms; Ginsburg, R.N., Beaudoin, B., Eds.; NATO ASI Series (Series C: Mathematical and Physical Sciences); Springer: Dordrecht, The Netherlands, 1990; Volume 304. [Google Scholar]
- Bruckschen, P.; Oesmann, S.; Veizer, J. Isotope stratigraphy of the European Carboniferous: Proxy signals for ocean chemistry, climate and tectonics. Chem. Geol. 1999, 161, 127–163. [Google Scholar] [CrossRef]
- Erba, E.; Bartolini, A.; Larson, R.L. Valanginian Weissert oceanic anoxic event. Geology 2004, 32, 149–152. [Google Scholar] [CrossRef]
- Volery, C.; Davaud, E.; Foubert, A.; Caline, B. Shallow-marine microporous carbonate reservoir rocks in the Middle East: Relationship with seawater Mg/Ca ratio and eustatic sea level. J. Pet. Geol. 2009, 32, 313–325. [Google Scholar] [CrossRef]
- Caruso, A.; Pierre, C.; Blanc-Valleron, M.-M.; Rouchy, J.M. Carbonate deposition and diagenesis in evaporitic environments: The evaporative and sulphurbearing limestones during the settlement of the Messinian salinity crisis in Sicily and Calabria. Palaeogeogr. Palaeoclimatol. Palaeoecol. 2015, 429, 136–162. [Google Scholar] [CrossRef]
- Kontakiotis, G.; Karakitsios, V.; Mortyn, P.G.; Antonarakou, A.; Drinia, H.; Anastasakis, G.; Agiadi, K.; Kafousia, N.; De Rafelis, M. New insights into the early Pliocene hydrographic dynamics and their relationship to the climatic evolution of the Mediterranean Sea. Palaeogeogr. Palaeoclimatol. Palaeoecol. 2016, 459, 348–364. [Google Scholar] [CrossRef]
- Kontakiotis, G.; Besiou, E.; Antonarakou, A.; Zarkogiannis, S.D.; Kostis, A.; Mortyn, P.G.; Moissette, P.; Cornée, J.-J.; Schulbert, C.; Drinia, H.; et al. Decoding sea surface and paleoclimate conditions in the eastern Mediterranean over the Tortonian-Messinian Transition. Palaeogeogr. Palaeoclimatol. Palaeoecol. 2019, 534, 109312. [Google Scholar] [CrossRef]
- Coccioni, R.; Sideri, M.; Frontalini, F.; Montanari, A. The Rotalipora cushmani extinction at Gubbio (Italy): Planktonic foraminiferal testimonial of the onset of the Caribbean large igneous province emplacement? Geol. Soc. Am. Spec. Pap. 2016, 524, 79–96. [Google Scholar]
- Ferraro, S.; Coccioni, R.; Sabatino, N.; Del Core, M.; Sprovieri, M. Morphometric response of late Aptian planktonic foraminiferal communities to environmental changes: A case study of Paraticinella rohri at Poggio le Guaine (central Italy). Palaeogeogr. Palaeoclimatol. Palaeoecol. 2020, 538, 109384. [Google Scholar] [CrossRef]
- Jenkyns, H. Cretaceous anoxic events: From continent to oceans. J. Geol. Soc. London 1980, 137, 171–188. [Google Scholar] [CrossRef]
- Tsikos, H.; Karakitsios, V.; Van Breugel, Y.; Walsworth-Bell, B.; Bombardiere, L.; Petrizzo, M.; Sinninghe Damste, J.S.; Schouten, S.; Erba, E.; Premoli-Silva, I.; et al. Organic-carbon deposition in the Cretaceous of the Ionian Basin, NW Greece: The Paquier Event (OAE 1b) revisited. Geol. Mag. 2004, 141, 401–416. [Google Scholar] [CrossRef]
- Coccioni, R.; Luciani, V.; Marsili, A. Cretaceous oceanic anoxic events and radially elongated chambered planktonic foraminifera: Paleoecological and paleoceanographic implications. Palaeogeogr. Palaeoclimatol. Palaeoecol. 2006, 235, 66–92. [Google Scholar] [CrossRef]
- Karakitsios, V.; Tsikos, H.; Van Breugel, Y.; Koletti, L.; Sinninghe Damste, J.S.; Jenkyns, H.C. First evidence for the Cenomanian-Turonian oceanic anoxic event (OAE2 or “Bonarelli” event) from the Ionian zone, western continental Greece. Int. J. Earth Sci. 2007, 96, 343–352. [Google Scholar] [CrossRef]
- Karakitsios, V.; Tzortzaki, E.; Giraud, F.; Pasadakis, N. First evidence for the early Aptian Oceanic Anoxic Event (OAE1a) from the Western margin of the Pindos Ocean (NW Greece). Geobios 2018, 51, 187–210. [Google Scholar] [CrossRef]
- Graziano, R. Sedimentology, biostratigraphy and event stratigraphy of the Early Aptian Oceanic Anoxic Event (OAE1A) in the Apulia Carbonate Platform Margin-Ionian Basin System (Gargano Promontory, southern Italy). Cretac. Res. 2013, 39, 78–111. [Google Scholar] [CrossRef]
- Kuhnt, W.; Holbourn, A.; Moullade, M. Transient global cooling at the onset of early Aptian oceanic anoxic event (OAE) 1a. Geology 2011, 39, 323–326. [Google Scholar] [CrossRef]
- Premoli-Silva, I.; Sliter, W.V. Cretaceous planktonic foraminiferal biostratigraphy and evolutionary trends from the Bottaccione section, Gubbio, Italy. Palaeontogr. Ital. 1995, 82, 1–89. [Google Scholar]
- Premoli-Silva, I.; Erba, E.; Salvini, G.; Verga, D.; Locatelli, C. Biotic changes in Cretaceous anoxic events. J. Foramin. Res. 1999, 29, 352–370. [Google Scholar]
- Leckie, R.M.; Bralower, T.J.; Cashman, R. Oceanic anoxic events and plankton evolution: Biotic response to tectonic forcing during the mid-Cretaceous. Paleoceanography 2002, 17, 13–29. [Google Scholar] [CrossRef]
- Coccioni, R.; Luciani, V. Planktonic foraminifers across the Bonarelli Event (OAE2, latest Cenomanian): The Italian record. Palaeogeogr. Palaeoclimatol. Palaeoecol. 2005, 224, 167–185. [Google Scholar] [CrossRef]
- Coccioni, R.; Luciani, V. Guembelitria irregularis bloom at the K-T boundary: Morphological abnormalities induced by impact related extreme environmental stress. In Biological Processes Associated with Impact Events: Impact Studies; Cockell, C., Koeberl, C., Gilmour, I., Eds.; Springer: Heidelberg, Germany, 2006; Volume 8, pp. 179–196. [Google Scholar] [CrossRef]
- Pomoni-Papaioannou, F.; Photiades, A. Chlorozoan vs. foramol carbonate sedimentary systems in an Upper Jurassic-Cretaceous Pelagonian margIn Rhodiani area (West Macedonia, Greece). Boll. Soc. Geol. It. Ital. J. Geosci. 2007, 126, 172, 32/05–130. [Google Scholar]
- Simone, L.; Carannante, G. Peri-Tethyan Cretaceous shallow-water carbonate systems: Sedimentary patterns and lithofacies. Geoacta 2008, 1, 193–216. [Google Scholar]
- Simone, L.; Bravi, S.; Carannante, G.; Masucci, I.; Pomoni-Papaioannou, F. Arid versus wet climatic evidence in the “middle Cretaceous” calcareous successions of the Southern Apennines (Italy). Cretac. Res. 2012, 36, 6–23. [Google Scholar] [CrossRef]
- Bernoulli, D.; Jenkyns, H.C. Alpine, Mediterranean, and Central Atlantic Mesozoic facies in relation to the early evolution of the Tethys. In Modern and Ancient Geosynclinal Sedimentation; Dott, R.H., Shaver, R.H., Eds.; SEPM Special Publications; SEPM: Tulsa, OK, USA, 1974; Volume 19, pp. 129–160. [Google Scholar]
- Philip, J.; Masse, J.P.; Camoin, G. Tethyan carbonate platforms. In The Ocean Basins and Margins; Nairn, A.E.M., Ricou, L.E., Vrielynck, B., Dercourt, J., Eds.; The Tethys Ocean Plenum Press: New York, NY, USA, 1995; Volume 8, pp. 239–265. [Google Scholar]
- Dercourt, J.; Gaetani, M.; Vrielynck, B.; Barrier, E.; Biju-Duval, B.; Brunet, M.F.; Cadet, J.P.; Crasquin, S.; Sandulescu, M. Atlas PeriTethys, Palaeogeographical Maps; CCGM/CGMW: Paris, France, 2000; p. 269. [Google Scholar]
- Kiessling, W.; Flügel, E.; Golonka, J. Patterns of Phanerozoic carbonate platform sedimentation. Lethaia 2003, 36, 195–225. [Google Scholar] [CrossRef]
- Bernoulli, D. Mesozoic-Tertiary carbonate platforms, slopes and basins of the external Apennines and Sicliy. In Anatomy of an Orogen: The Apennines and Adjacent Mediterranean Basins; Vai, G.B., Martini, I.P., Eds.; Kluwer Academic Publishers: London, UK, 2001; pp. 307–326. [Google Scholar]
- Vlahović, I.; Tisljar, J.; Velić, I.; Matićec, D. Evolution of the Adriatic Carbonate Platform: Palaeogeography, main events and depositional dynamics. Palaeogeogr. Palaeoclimatol. Palaeoecol. 2005, 220, 333–360. [Google Scholar] [CrossRef]
- Korbar, T. Orogenic evolution of the external Dinarides in the NE Adriatic region: A model constrained by tectonostratigraphy of Upper Cretaceous to Paleogene carbonates. Earth Sci. Rev. 2009, 96, 296–312. [Google Scholar] [CrossRef]
- Karakitsios, V.; Rigakis, N. Evolution and petroleum potential of western Greece. J. Petr. Geol. 2007, 30, 197–218. [Google Scholar] [CrossRef]
- Karakitsios, V. Western Greece and Ionian Petroleum systems. AAPG Bull. 2013, 97, 1567–1595. [Google Scholar] [CrossRef]
- Zelilidis, A.; Maravelis, A.G.; Tserolas, P.; Konstantopoulos, P.A. An overview of the petroleum systems in the Ionian Zone, onshore NW Greece and Albania. J. Petr. Geol. 2015, 38, 331–348. [Google Scholar] [CrossRef]
- Cazzola, C.; Soudet, H.J. Facies and Reservoir Characterization of Cretaceous-Eocene Turbidites in the Northern Adriatic. In Accumulation and Production of Europe’s Hydrocarbons III Generation; Spencer, A.M., Ed.; Special Publication of the European Association of Petroleum Geoscientists; Springer: Berlin/Heidelberg, Germany, 1993; Volume 3. [Google Scholar]
- Cazzini, F.; Dal Zotto, O.; Fantoni, R.; Ghielmi, M.; Ronchi, P.; Scotti, P. Oil and gas in the Adriatic foreland, Italy. J. Petr. Geol. 2015, 38, 255–279. [Google Scholar] [CrossRef]
- Velaj, T.; Davison, I.; Serjani, A.; Alsop, I. Thrust tectonics and the role of evaporites in the Ionian Zone of the Albanides. AAPG Bull. 1999, 83, 1408–1425. [Google Scholar]
- Van Geet, M.; Swennen, R.; Durmishi, C.; Roure, F.; Muchez, P. Paragenesis of Cretaceous to Eocene carbonate reservoirs in the Ionian fold and thrust belt (Albania): Relation between tectonism and fluid flow. Sedimentology 2002, 49, 696–718. [Google Scholar] [CrossRef]
- Zelilidis, A.; Piper, D.J.W.; Vakalas, J.; Avramidis, P.; Getsos, K. Oil and gas plays in Albania: Do equivalent plays exist in Greece? J. Petr. Geol. 2003, 26, 29–48. [Google Scholar] [CrossRef]
- Casabianca, D.; Bosence, D.; Beckett, D. Reservoir potential of Cretaceous platform-margin breccias, central Italian Apennines. J. Petr. Geol. 2002, 25, 179–202. [Google Scholar] [CrossRef]
- Bourli, N.; Pantopoulos, G.; Maravelis, A.G.; Zoumpoulis, E.; Iliopoulos, G.; Pomoni-Papaioannou, F.; Kostopoulou, S.; Zelilidis, A. Late Cretaceous to early Eocene geological history of the eastern Ionian Basin, southwestern Greece: A sedimentological approach. Cretac. Res. 2019, 98, 47–71. [Google Scholar] [CrossRef]
- Spence, G.H.; Finch, E. Influences of nodular chert rhythmites on natural fracture networks in carbonates: An outcrop and two-dimensional discrete element modelling study. In Advances in the Study of Fractured Reservoirs; Spence, G.H., Redfern, J., Aguilera, R., Bevan, T.G., Cosgrove, J.W., Couples, G.D., Daniel, J.M., Eds.; Geological Society of London Special Publications; Geological Society of London: London, UK, 2015; Volume 374, pp. 211–249. [Google Scholar]
- Coniglio, M.; Dix, G.R. Carbonate slopes. In Facies Models; Walker, R.G., James, N.P., Eds.; Geological Association of Canada: St. Johns, NL, Canada, 1992; p. 409. [Google Scholar]
- Anselmetti, F.S.; Eberli, G.P.; Bernoulli, D. Seismic modeling of a carbonate platform margin (Montagna della Maiella, Italy): Variations in seismic facies and implications for sequence stratigraphy. Carbonate Seismol. 1997, 6, 373–406. [Google Scholar]
- Cilona, A.; Baud, P.; Tondi, E.; Agosta, F.; Vinciguerra, S.; Rustichelli, A.; Spiers, C.J. Deformation bands in porous carbonate grainstones: Field and laboratory observations. J. Struct. Geol. 2012, 45, 137–157. [Google Scholar] [CrossRef]
- Cilona, A.; Faulkner, D.R.; Tondi, E.; Agosta, F.; Mancini, L.; Rustichelli, A.; Baud, P.; Vinciguerra, S. The effects of rock heterogeneity on compaction localization in porous carbonates. J. Struct. Geol. 2014, 67, 75–93. [Google Scholar] [CrossRef]
- Eberli, G.P.; Baechle, G.T.; Anselmetti, F.S.; Incze, M.L. Factors controlling elastic properties in carbonate sediments and rocks. Lead. Edge 2003, 22, 654–660. [Google Scholar] [CrossRef]
- Rustichelli, A.; Torrieri, S.; Tondi, E.; Laurita, S.; Strauss, C.; Agosta, F.; Balsamo, F. Fracture characteristics in Cretaceous platform and overlying ramp carbonates: An outcrop study from Maiella Mountain (central Italy). Mar. Pet. Geol. 2016, 76, 68–87. [Google Scholar] [CrossRef]
- Trippetta, F.; Carpenter, B.M.; Mollo, S.; Scuderi, M.M.; Scarlato, P.; Collettini, C. Physical and transport property variations within carbonate-bearing fault zones: Insights from the Monte Maggio fault (Central Italy). Geochem. Geophys. Geosyst. 2017, 18, 4027–4042. [Google Scholar] [CrossRef]
- Trippetta, F.; Ruggieri, R.; Brandano, M.; Giorgetti, C. Petrophysical properties of heavy oil-bearing carbonate rocks and their implications on petroleum system evolution: Insights from the Majella Massif. Mar. Pet. Geol. 2020, 111, 350–362. [Google Scholar] [CrossRef]
- Fabricius, I.L.; Røgen, B.; Gommesen, L. How depositional texture and diagenesis control petrophysical and elastic properties of samples from five North Sea chalk fields. Petrol. Geosci. 2007, 13, 81–95. [Google Scholar] [CrossRef]
- Fabricius, I.; Bächle, G.; Eberli, G. Elastic moduli of dry and water-saturated carbonates-effect of depositional texture, porosity, and permeability. Geophysics 2010, 75, N65–N78. [Google Scholar] [CrossRef]
- Fitch, P.J.R.; Lovell, M.A.; Davies, S.J.; Pritchard, T.; Harvey, P.K. An integrated and quantitative approach to petrophysical heterogeneity. Mar. Petrol. Geol. 2015, 63, 82–96. [Google Scholar] [CrossRef]
- Fjaer, E.H.; Raaen, A.M.; Risnes, R. Petroleum Related Rock Mechanics; Elsevier Science: Amsterdam, The Netherlands, 1992; p. 514. [Google Scholar]
- Mateus, J.; Saavedra, N.; Carrillo, Z.C.; Mateus, D. Correlation development between indentation parameters and uniaxial compressive strength for Colombian sandstones. CT&F Ciencia Tecnol. Y Futur. 2007, 3, 125–136. [Google Scholar]
- Garcia, R.A.; Saavedra, N.F.; Calderon-Carrillo, Z.; Mateus, D. Development of experimental correlations between indentation parameters and unconfined compressive strength (UCS) values in shale samples. CT&F Ciencia Tecnol. Futur. 2008, 3, 61–81. [Google Scholar]
- Karakitsios, V. The influence of pre-existing structure and halokinesis on organic matter preservation and thrust system evolution in the Ionian basin, northwestern Greece. AAPG Bull. 1995, 79, 960–980. [Google Scholar]
- Karakitsios, V. Ouverture et inversion tectonique du basin Ionien (Epire, Grèce). Ann. Géol. Pays Hellén. 1992, 35, 185–318. [Google Scholar]
- Doutsos, T.; Koukouvelas, I.; Xypolias, P. A new orogenic model for the External Hellenides. In Tectonic Evolution of the Eastern Mediterranean Regions; Robertson, A.H.F., Mountrakis, D., Brun, J.-P., Eds.; Geological Society of London Special Publications; Geological Society of London: London, UK, 2006; pp. 507–520. [Google Scholar]
- Maravelis, A.; Makrodimitras, G.; Zelilidis, A. Hydrocarbon prospectivity in the Apulian platform and Ionian zone, in relation to strike-slip fault zones, foreland and back-thrust basins of Ionian thrust, in Greece. Oil Gas Europ. Mag. 2012, 38, 64–89. [Google Scholar]
- Konstantopoulos, P.A.; Zelilidis, A. Provenance analysis of Eocene-Oligocene turbidite deposits in Pindos Foreland Basin, fold and thrust belt of SW Greece: Constraints from framework petrography and bulk-rock geochemistry. Arab. J. Geosci. 2013, 6, 4671–4700. [Google Scholar] [CrossRef]
- Konstantopoulos, P.A.; Maravelis, A.; Zelilidis, A. The implication of transfer faults in foreland basin evolution. Application on Pindos Foreland Basin, West Peloponnesus, Greece. Terra Nova 2013, 25, 323–336. [Google Scholar] [CrossRef]
- Karakitsios, V. Chronologie et Géométrie de L’ouverture d’un Bassin et de Son Inversion Tectonique: Le Basin Ionien (Epire, Grèce). Ph.D. Thesis, University of Pierre and Marie Curie, Paris, France, 1990; p. 310. [Google Scholar]
- Aubouin, J. Contribution à l’ étude géologique de la Grèce septentrionale: Le confins de l’ Epire et de la Thessalie. Ann. Geol. Des. Pays Hell. 1959, 10, 1–483. [Google Scholar]
- IGRS-IFP (Institut deGéologie et Recherches du Sous-solInstitut Français du Pétrole). Etude Géologique de L’EPIRE (Grèce Nord-Occidentale); Technip, Ed.; IGRS-IFP: Paris, France, 1966; p. 306. [Google Scholar]
- Avramidis, P.; Zelilidis, A. The nature of deep-marine sedimentation and palaeocurrent trends as an evidence of Pindos foreland basin fill conditions. Episodes 2001, 24, 252–256. [Google Scholar] [CrossRef]
- Avramidis, P.; Zelilidis, A.; Vakalas, I.P.; Kontopoulos, N. Interactions between tectonic activity and eustatic sea-level changes in the Pindos and Mesohellenic Basins, NW Greece: Basin evolution and hydrocarbon potential. J. Pet. Geol. 2002, 25, 53–82. [Google Scholar] [CrossRef]
- Pantopoulos, G.; Vakalas, I.; Maravelis, A.; Zelilidis, A. Statistical analysis of turbidite bed thickness patterns from the Alpine fold and thrust belt of western and southeastern Greece. Sed. Geol. 2013, 294, 37–57. [Google Scholar] [CrossRef]
- Karakitsios, V.; Roveri, M.; Lugli, S.; Manzi, V.; Gennari, R.; Antonarakou, A.; Triantaphyllou, M.; Agiadi, K.; Kontakiotis, G. Remarks on the Messinian evaporites of Zakynthos Island (Ionian Sea, Eastern Mediterranean). Bull. Geol. Soc. Gr. 2013, 47, 146–156. [Google Scholar]
- Karakitsios, V.; Roveri, M.; Lugli, S.; Vinicio, M.; Rocco, G.; Antonarakou, A.; Triantaphyllou, M.; Agiadi, K.; Kontakiotis, G.; Kafousia, N.; et al. A record of the Messinian Salinity Crisis in the eastern Ionian tectonically-active domain (Greece, eastern Mediterranean). Bas. Res. 2017, 29, 203–233. [Google Scholar] [CrossRef]
- Karakitsios, V.; Tsaila-Monopolis, S. Données nouvelles sur les niveaux supérieurs (Lias inférieur-moyen) des Calcaires de Pantokrator (zone ionienne moyenne, Epire, Grèce continentale). Description des Calcaires de Louros. Rev. Micropaleont. 1988, 31, 49–55. [Google Scholar]
- Danelian, T.; De Wever, P.; Azéma, J. Palaeoceanographic significance of new and revised palaeontological datings for the onset of Vigla Limestone sedimentation in the Ionian zone of Greece. Geol. Mag. 1997, 134, 869–872. [Google Scholar] [CrossRef]
- Karakitsios, V.; Tsikos, H.; van Breugel, Y.; Bakopoulos, I.; Koletti, L. Cretaceous oceanic anoxic events in western continental Greece. Bull. Geol. Soc. Gr. 2004, 34, 846–855. [Google Scholar] [CrossRef][Green Version]
- Skourtsis-Coroneou, V.; Solacious, N.; Constantinidis, I. Cretaceous stratigraphy of the Ionain Zone, Hellenides, western Greece. Cretac. Res. 1995, 16, 539–558. [Google Scholar] [CrossRef]
- BP (British Petroleum) Co. Ltd. The geological results of petroleum exploration in western Greece: Institute for Geology and Subsurface Research (now Institute of Geology and Mineral Exploration). Spec. Rep. 1971, 10, 1–73. [Google Scholar]
- Dunham, R.J. Classification of Carbonate Rocks According to Depositional Texture. In Classification of Carbonate Rocks; Hamm, W.E., Ed.; A Symposium; American Association of Petroleum Geologists: Tulsa, OK, USA, 1962. [Google Scholar]
- Embry, A.F.; Klovan, J.E. A late devonian reef tract on northeastern banks island. N.W.T. Bull. Can. Pet. Geol. 1971, 19, 730–781. [Google Scholar] [CrossRef]
- Wilson, J.L. Carbonate Facies in Geological History; Springer: Berlin/Heidelberg, Germany, 1975; p. 471. [Google Scholar]
- Buxton, M.W.N.; Pedley, H.M. A standardized model for Tethyan Tertiary carbonates ramps. J. Geol. Soc. 1989, 146, 746–748. [Google Scholar] [CrossRef]
- Burchette, T.P.; Wright, V.P. Carbonate ramp depositional systems. Sediment. Geol. 1992, 79, 3–57. [Google Scholar] [CrossRef]
- Pedley, M. A review of sediment distributions and processes in Oligo-Miocene ramps of southern Italy and Malta (Mediterranean divide). Geol. Soc. London Spec. Publ. 1998, 149, 163–179. [Google Scholar] [CrossRef]
- Pomar, L. Types of carbonate platforms: A genetic approach. Basin Res. 2001, 13, 313–334. [Google Scholar] [CrossRef]
- Flügel, E. Microfacies Analysis of Limestones: Analysis, Interpretation and Application; Springer Verlag: Berlin, Germany, 2004; p. 976. [Google Scholar]
- Flügel, E. Microfacies Analysis of Carbonate Rocks; Springer Verlag: Berlin, Germany, 2010; p. 745. [Google Scholar]
- Moforis, L. Stratigraphy, Reservoir Characteristics and Paleogeographic Distribution of the Triassic to Eocene Carbonates in Western Greece and Albania, Based on Field, Laboratory and Well Data. Master’s Thesis, National and Kapodistrian University of Athens, Athens, Greece, 2016; pp. 1–122. [Google Scholar]
- I.G.S.R. Geological Map of Greece Series, Pappadatai Sheet, Scale 1:50.000; Institute for Geology and Subsurface Research: Athens, Greece, 1966. [Google Scholar]
- I.G.S.R. Geological Map of Greece Series, Ioannina Sheet, Scale 1:50.000; Institute for Geology and Subsurface Research: Athens, Greece, 1967. [Google Scholar]
- I.G.S.R. Geological Map of Greece Series, Doliana Sheet, Scale 1:50.000; Institute for Geology and Subsurface Research: Athens, Greece, 1968. [Google Scholar]
- I.G.S.R. Geological Map of Greece Series, Tsepelovo Sheet, Scale 1:50.000; Institute for Geology and Subsurface Research: Athens, Greece, 1970. [Google Scholar]
- Ahr, W.M. Geology of Carbonate Reservoirs: The Identification, Description, and Characterization of Hydrocarbon Reservoirs in Carbonate Rocks; John Wiley & Sons Inc.: Hoboken, NJ, USA, 2008. [Google Scholar]
- Brown, A. Porosity variation in carbonates as a function of depth: Mississippian Madison Group, Williston basin. In Reservoir Quality Prediction in Sandstones and Carbonates; Kupecz, J.A., Gluyas, J., Bloch, S., Eds.; AAPG Memoir: Tulsa, OK, USA, 1997; Volume 69, pp. 29–46. [Google Scholar]
- Ehrenberg, S.N.; Nadeau, P.H. Sandstone versus carbonate petroleum reservoirs: A global perspective on porosity-depth and porosity-permeability relationships. AAPG Bull. 2005, 89, 435–445. [Google Scholar] [CrossRef]
- Ehrenberg, S.N.; Eberli, G.P.; Keramati, M.; Moallemi, S.A. Porosity-permeability relationships in interlayered limestone-dolostone reservoirs. Am. Assoc. Pet. Geol. Bull. 2006, 90, 91–114. [Google Scholar] [CrossRef]
- Budd, D.A. Permeability loss with depth in the Cenozoic carbonate platform of west-central Florida. AAPG Bull. 2001, 85, 1253–1272. [Google Scholar]
- Hosa, A.; Wood, R.A.; Corbett, P.W.M.; Souza, R.S.; Roemers, E. Modelling the impact of depositional and diagenetic processes on reservoir properties of the crystal-shrub limestones in the ‘Pre-Salt’ Barra Velha Formation, Santos Basin, Brazil. Mar. Petr. Geol. 2020, 112, 104100. [Google Scholar] [CrossRef]
- Gudmundsson, A. Rock Fractures in Geological Processes; Cambridge University Press: Cambridge, UK, 2011. [Google Scholar]
- Jaeger, J.C.; Cook, N.G.W.; Zimmerman, R.W. Fundamentals of Rock Mechanics; Blackwell Publishing: Oxford, UK, 2007. [Google Scholar]
- Mavko, G.; Mukerji, T.; Dvorkin, J. The Rock Physics Handbook: Tools for Seismic Analysis of Porous Media; Cambridge University Press: Cambridge, UK, 2009. [Google Scholar]
- Karakitsios, V.; Rigakis, N.; Bakopoulos, I. Migration and trapping of the Ionian series hydrocarbons (Epirus, NWGreece). Bull. Geol. Soc. Gr. 2001, 34, 1237–1245. [Google Scholar]
- Bourli, N.; Kokkaliari, M.; Iliopoulos, I.; Pe-Piper, G.; Piper, D.J.W.; Maravelis, A.G.; Zelilidis, A. Mineralogy of siliceous concretions, cretaceous of Ionian zone, western Greece: Implication for diagenesis and porosity. Mar. Pet. Geol. 2019, 105, 45–63. [Google Scholar] [CrossRef]
- Karakitsios, V.; Koletti, L. Critical Revision of the Age of the Basal Vigla Limestones (Ionian Zone, Western Greece), Based on Nannoplankton and Calpionellids, with Paleogeographical Consequences. In Knihovnicka Zemniho Plynu a Nafty, Proceedings of the 4th International Nannoplankton Association Conference, Prague, Czech Republic, 1 September 1992; Hamrsmid, B., Young, J., Eds.; Knihovnicka ZPN: Prague, Czech; Volume 14a, pp. 165–177.
- BouDagher-Fadel, M.K. Evolution and Geological Significance of Larger Benthic Foraminifera. Dev. Palaeontol. Stratigr. 2008, 21, 1–548. [Google Scholar]
- Höntzsch, S.; Scheibner, C.; Kuss, J.; Marzouk, A.M.; Michael, W.; Rasser, M.W. Tectonically driven carbonate ramp evolution at the southern Tethyan shelf: The Lower Eocene succession of the Galala Mountains, Egypt. Facies 2011, 57, 51–72. [Google Scholar] [CrossRef]
- Haq, B.U.; Hardenbol, J.; Vail, P.R. Chronology of fluctuating sea levels since the Triassic. Science 1987, 235, 1156–1166. [Google Scholar] [CrossRef] [PubMed]
- Miller, K.G.; Mountain, G.S.; Wright, J.D.; Browning, J.V. A 180-million-year record of sea level and ice volume variations from continental margin and deep-sea isotopic records. Oceanography 2011, 24, 40–53. [Google Scholar] [CrossRef]
- Kontakiotis, G.; Karakitsios, V.; Cornée, J.; Moissette, P.; Zarkogiannis, S.D.; Pasadakis, N.; Koskeridou, E.; Manoutsoglou, E.; Drinia, H.; Antonarakou, A. Preliminary results based on geochemical sedimentary constraints on the hydrocarbon potential and depositional environment of a Messinian sub-salt mixed siliciclastic-carbonate succession onshore Crete (Plouti section, eastern Mediterranean). Med. Geosc. Rev. 2020, 2, 247–265. [Google Scholar] [CrossRef]
- Grohmann, S.; Fietz, W.; Nader, F.; Romero-Sarmiento, M.; Baudin, F.; Littke, R. Characterization of Late Cretaceous to Miocene source rocks in the Eastern Mediterranean Sea: An integrated numerical approach of stratigraphic forward modeling and petroleum system modeling. Basin Res. 2020. [Google Scholar] [CrossRef]








| Section | Formation | Sample ID | Height (m) | Porosity (%) | Bulk Density (g/cm3) |
|---|---|---|---|---|---|
| Section F (Asprageli-1) | Limestones with breccia | A1 | 0 | 9.35 | 2.64 |
| A3 | 2 | 3.90 | 2.61 | ||
| A7 | 6 | 7.38 | 2.65 | ||
| A10 | 9 | 8.55 | 2.68 | ||
| A13 | 12 | 2.50 | 2.71 | ||
| A19 | 18 | 3.46 | 2.67 | ||
| A23 | 22 | 4.32 | 2.72 | ||
| A25 | 24 | 5.60 | 2.74 | ||
| Section E (Asprageli-2) | Senonian Limestones | A(2)1 | 0 | 3.31 | 2.72 |
| A(2)2 | 1 | 4.52 | 2.72 | ||
| A(2)4 | 3 | 2.60 | 2.74 | ||
| A(2)7 | 6 | 8.64 | 2.69 | ||
| A(2)8 | 7 | 9.63 | 2.73 | ||
| A(2)9 | 8 | 7.36 | 2.62 | ||
| A(2)10 | 9 | 8.99 | 2.70 | ||
| Section D (Koloniati) | Senonian Limestones | Κ1 | 0 | 8.88 | 2.69 |
| Κ3 | 4 | 9.26 | 2.68 | ||
| K5 | 8 | 5.47 | 2.69 | ||
| Κ8 | 14 | 3.86 | 2.72 | ||
| K11 | 20 | 6.56 | 2.72 | ||
| Κ15 | 26 | 5.46 | 2.72 | ||
| Vigla Limestones | Κ28 | 52 | 1.28 | 2.67 | |
| Κ24Β | 44 | 2.33 | 2.69 | ||
| Κ26Β | 48 | 3.87 | 2.69 | ||
| Κ29Β | 54 | 5.65 | 2.69 | ||
| Section C (Vigla) | Vigla Limestones | Β1 | 0 | 3.36 | 2.73 |
| Β3 | 2 | 3.86 | 2.70 | ||
| B7 | 6 | 1.81 | 2.71 | ||
| Β10 | 9 | 3.52 | 2.68 | ||
| B14 | 13 | 2.45 | 2.71 | ||
| Β18 | 17 | 2.07 | 2.73 | ||
| Β20 | 19 | 2.98 | 2.69 | ||
| Section B (Perivleptos) | Vigla Shales | Π20 | 19 | 6.00 | 2.63 |
| Π18 | 17 | 8.10 | 2.60 | ||
| Π15 | 14 | 5.82 | 2.62 | ||
| Π12 | 11 | 3.38 | 2.61 | ||
| Pantokrator Limestones | Π9 | 8 | 8.18 | 2.72 | |
| Π7 | 6 | 7.67 | 2.72 | ||
| Π3 | 2 | 3.75 | 2.72 | ||
| Π1 | 0 | 4.02 | 2.66 | ||
| Section A (Agios Georgios) | Pantokrator Limestones | AG1 | 0 | 2.49 | 2.70 |
| AG5 | 4 | 3.55 | 2.73 | ||
| AG10 | 9 | 9.71 | 2.72 | ||
| AG15 | 14 | 9.62 | 2.68 | ||
| AG20 | 19 | 7.56 | 2.69 | ||
| AG25 | 24 | 3.28 | 2.73 | ||
| AG35 | 34 | 2.31 | 2.70 | ||
| AG45 | 44 | 3.76 | 2.65 | ||
| AG50 | 49 | 2.45 | 2.66 |
| Formation | Stratigraphy | Average Porosity (%) | Average Bulk Density (gr/cm3) |
|---|---|---|---|
| Limestones with miccrobreccia | Paleocene/Eocene | 5.63 | 2.68 |
| Senonian calciturbidites | Late Cretaceous | 6.50 | 2.70 |
| Vigla Shales | late Early Cretaceous | 5.83 | 2.62 |
| Vigla Limestones | Early Cretaceous | 3.02 | 2.70 |
| Pantokrator Limestones | Early Jurassic | 5.26 | 2.70 |
| Section | Samples | Formation | Lithology | Facies Description | Figures | Depositional Environment | Stratigraphy (Stages) |
|---|---|---|---|---|---|---|---|
| F: Asprageli-1 | A7, A13 | Limestones with microbreccia | Hemipelagic calciturbidites with microbreccia | Packstone with in-situ planktonic foraminifera and scattered, benthic foraminifera and molluscks (SMF 3) | Figure 6n,o | Shelf slope (FZ3) to deep shelf (FZ2) (medium energy) | Paleocene to Eocene |
| E: Asprageli-2 | A7, A9 | Senonian Limestones | Miccrobrecciated bioclastic to pelagic turbiditic limestones | (a) Allochtonous bioclastic packstone with rudists and benthic foraminifera (SMF 5), (b) Pelagic wackestone-packstone with radiolarian and planktonic foraminifera (SMF 4-5) | Figure 6l,m | Slope (FZ4) - toe of slope (FZ 3) to deep shelf (FZ 2) (medium energy) | Late Cretaceous (Santonian-Maastrichtian) |
| D: Koloniati (upper part) | K2, K9, K4, K5 | Senonian Limestones | Bioclastic Limestones (often brecciated) | (a) Allochtonous bioclastic packstone to grainstone with rudist fragments and benthic foraminifera (SMF 5), (b) Mudstone-wackestone with planktonic foraminifera (SMF 4-5), (c) Grainstone of ooids with sparite cement (SMF 5) | Figure 6h,i,j,k | Slope (FZ 4) (medium to high energy) | Late Cretaceous (Santonian-Maastrichtian) |
| C: Vigla, D: Koloniati (lower part) | B1, B10 | Vigla Formation | Limestones intercalated with cherts | Wackestone with radiolarians and planktonic foraminifera (SMF 3) | Figure 6f,g | Toe of slope (FZ 3) (low energy) | Early Cretaceous-early Late Cretaceous (Berriasian-Turonian) |
| B: Perivleptos (upper part) | P19 | Vigla Formation | Shales with marly limestone interbeds and siliceous nodules | Mudstone-wackestone with radiolarians and planktonic foraminifera (SMF 3) | Figure 6e | Deep shelf (FZ 2) (low energy) | late Early Cretaceous-early Late Cretaceous (Aptian-Turonian) |
| B: Perivleptos (lower part) | P3, P9 | Pantokrator Limestones | Neritic limestones | Recrystallized grainstone of peloids with lithoclasts (SMF 5). Signals of dolomitization and fracturing | Figure 6c,d | Inner platform with interdital and subtidal environments (FZ 4) (moderate energy) | Early Jurassic (Hettangian-Sinemurian) |
| A: Agios Georgios | AG1, AG15 | Pantokrator Limestones | Limestones locally dolomitized | Dolomized boundstone with calcareous algae and benthic foraminifera within a micritic clotted matrix (SMF 7) | Figure 6a,b | Platform (FZ 5) (high energy) | Early Jurassic (Hettangian-Sinemurian) |
© 2020 by the authors. Licensee MDPI, Basel, Switzerland. This article is an open access article distributed under the terms and conditions of the Creative Commons Attribution (CC BY) license (http://creativecommons.org/licenses/by/4.0/).
Share and Cite
Kontakiotis, G.; Moforis, L.; Karakitsios, V.; Antonarakou, A. Sedimentary Facies Analysis, Reservoir Characteristics and Paleogeography Significance of the Early Jurassic to Eocene Carbonates in Epirus (Ionian Zone, Western Greece). J. Mar. Sci. Eng. 2020, 8, 706. https://doi.org/10.3390/jmse8090706
Kontakiotis G, Moforis L, Karakitsios V, Antonarakou A. Sedimentary Facies Analysis, Reservoir Characteristics and Paleogeography Significance of the Early Jurassic to Eocene Carbonates in Epirus (Ionian Zone, Western Greece). Journal of Marine Science and Engineering. 2020; 8(9):706. https://doi.org/10.3390/jmse8090706
Chicago/Turabian StyleKontakiotis, George, Leonidas Moforis, Vasileios Karakitsios, and Assimina Antonarakou. 2020. "Sedimentary Facies Analysis, Reservoir Characteristics and Paleogeography Significance of the Early Jurassic to Eocene Carbonates in Epirus (Ionian Zone, Western Greece)" Journal of Marine Science and Engineering 8, no. 9: 706. https://doi.org/10.3390/jmse8090706
APA StyleKontakiotis, G., Moforis, L., Karakitsios, V., & Antonarakou, A. (2020). Sedimentary Facies Analysis, Reservoir Characteristics and Paleogeography Significance of the Early Jurassic to Eocene Carbonates in Epirus (Ionian Zone, Western Greece). Journal of Marine Science and Engineering, 8(9), 706. https://doi.org/10.3390/jmse8090706

