Optimized Algorithm for Processing Outlier of Water Current Data Measured by Acoustic Doppler Velocimeter
Abstract
1. Introduction
2. Materials and Methods
2.1. Data Postprocessing Algorithm
2.1.1. Robust Estimation
2.1.2. Phase Space Threshold Approach
2.1.3. Three Dimensional Rousseeuw Phase-Space Approach
2.2. Data Sources
2.2.1. Simulated Data
2.2.2. Field Measured Data
2.3. Statistical Method
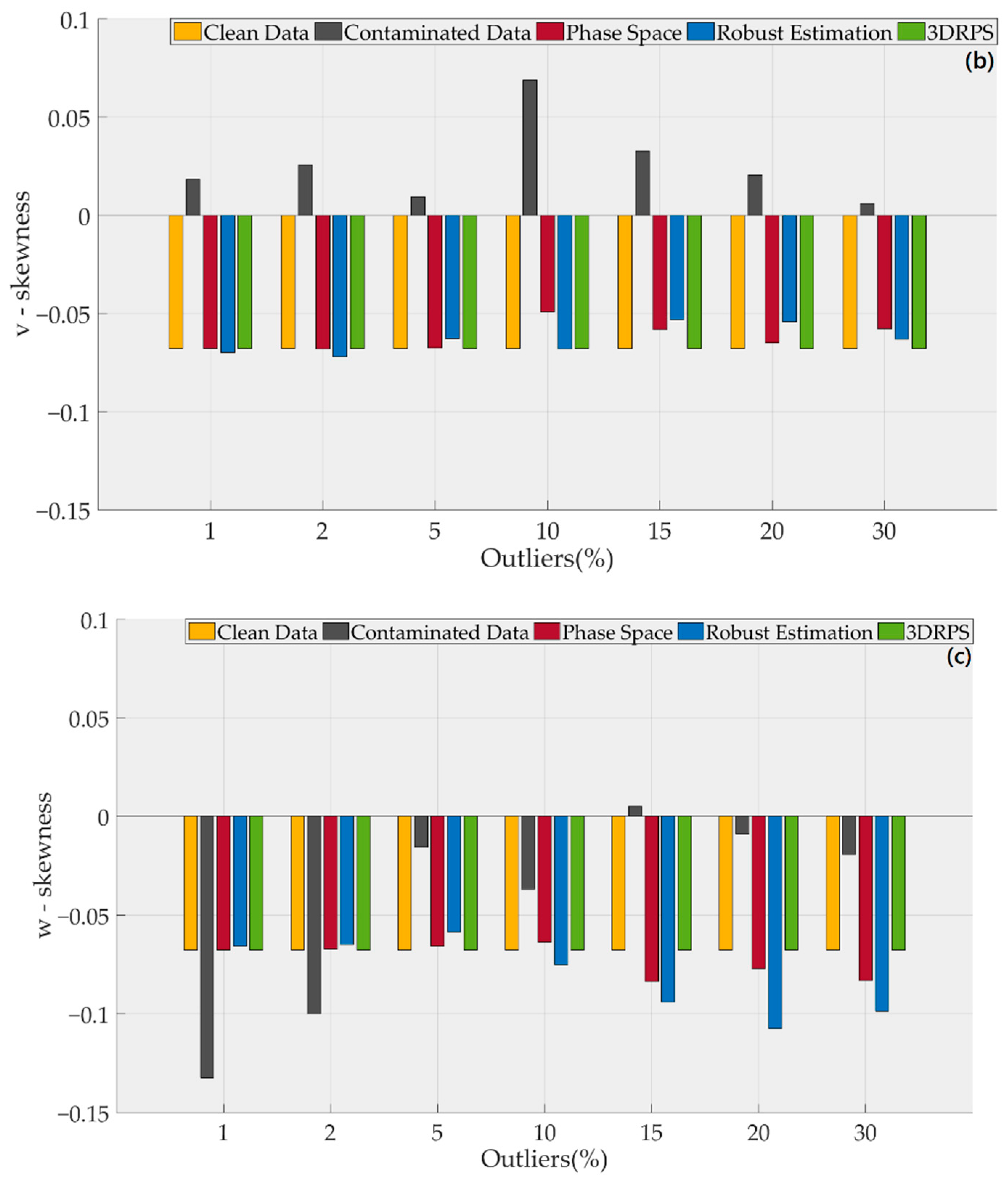
3. Results
3.1. Algorithm Verification
3.2. Algorithm Application
4. Discussion
5. Conclusions
Author Contributions
Funding
Acknowledgments
Conflicts of Interest
References
- Fishery and Aquaculture Statistic 2016; FAO Yearbook; Food and Agriculture Organization of the United Nations: Rome, Italy, 2018; p. 104.
- The State of World Fisheries and Aquaculture 2018–Meeting the Sustainable Development Goals; Food and Agriculture Organization of the United Nations: Rome, Italy, 2018; p. 20.
- Mcgraw, W.; Teichert-Coddington, D.R.; Rouse, D.B.; Boyd, C.E. Higher minimum dissolved oxygen concentrations increase penaeid shrimp yields in earthen ponds. Aquaculture 2001, 199, 311–321. [Google Scholar] [CrossRef]
- Duan, H.B.; Zhang, H.; Huang, Q.F.; Zhang, Y.; Hu, M.; Niu, Y.; Zhu, J. Characterization and environmental impact analysis of sea land reclamation activities in China. Ocean Coast. Manag. 2016, 130, 128–137. [Google Scholar] [CrossRef]
- Kitazawa, D.; Zhang, J. Measurement of water current field created by paddle wheel aerators in shrimp culture pond. In Proceedings of the IEEE Oceans, Shanghai, China, 10–13 April 2016; pp. 1–4. [Google Scholar]
- Boyd, C.E.; Torrans, E.L.; Tucker, C.S. Dissolved Oxygen and Aeration in Ictalurid Catfish Aquaculture. J. World Aquacult. Soc. 2017, 49, 7–70. [Google Scholar] [CrossRef]
- Voulgaris, G.; Trowbridge, J.H. Evaluation of the Acoustic Doppler Velocimeter (ADV) for Turbulence Measurements. J. Atmos Ocean. Tech. 1998, 15, 272–289. [Google Scholar] [CrossRef]
- Sharma, A.; Maddirala, A.K.; Kumar, B. Modified singular spectrum analysis for despiking acoustic Doppler velocimeter (ADV) data. Measurement 2018, 117, 339–346. [Google Scholar] [CrossRef]
- Hejazi, K.; Falconer, R.A.; Seifi, E. Denoising and Despiking ADV Velocity and Salinity Concentration Data in Turbulent Stratified Flows. Flow Meas. Instrum. 2016, 52, 83–91. [Google Scholar] [CrossRef]
- McLelland, S.J.; Nicholas, A.P. A new method for evaluating errors in high–frequency ADV measurements. Hydrol. Process. 2000, 14, 351–366. [Google Scholar] [CrossRef]
- Fugate, D.C.; Friedrichs, C.T. Determing concentration and fall velocity of estuarine particle populations using ADV, OBS and LISST. Cont. Shelf Res. 2002, 22, 1867–1886. [Google Scholar] [CrossRef]
- Li, H.; Wang, P.; Yang, C. Measurement mechanism and error control of acoustic Doppler flow meter. Natl. Symp. Hydrodyn. 2007, 407–410. [Google Scholar]
- Mori, N.; Suzuki, T.; Kakuno, S. Noise of Acoustic Doppler Velocimeter Data in Bubbly Flows. J. Eng. Mech. 2007, 133, 122–125. [Google Scholar] [CrossRef]
- Goring, D.G.; Nikora, V.I. Despiking Acoustic Doppler Velocimeter Data. J. Hydraul. Eng. 2002, 128, 117–126. [Google Scholar] [CrossRef]
- Cea, L.; Puertas, J.; Pena, L. Velocity measurements on highly turbulent free surface flow using ADV. Exp. Fluids 2007, 42, 333–348. [Google Scholar] [CrossRef]
- Mohammad, V.; Kumars, M.; Maryam, A. Detection of Outlier in 3D Flow Velocity Collection in an Open–Channel Bend Using Various Data Mining Techniques. Iran. J. Sci. Technol. Trans. Civ. Eng. 2019, 43, 197–214. [Google Scholar]
- Islam, M.R.; Zhu, D.Z. Kernel density–based algorithm for despiking ADV data. J. Hydraul. Eng. 2013, 139, 785–793. [Google Scholar] [CrossRef]
- Rousseeuw, P.J.; Leroy, A.M. A robust scale estimator based on the shortest half. Stat. Neerl. 1988, 42, 103–116. [Google Scholar] [CrossRef]
- Rousseeuw, P.J. Robust Estimation and Identifying Outliers. In Handbook of Statistical Methods for Engineers and Scientists, 2nd ed.; McGraw-Hill: New York, NY, USA, 1998; pp. 16.2–16.4. [Google Scholar]
- Nikora, V.I.; Goring, D.G. ADV Measurements of Turbulence: Can We Improve Their Interpretation? J. Hydraul. Eng. 1998, 124, 630–634. [Google Scholar] [CrossRef]
- Wahl, T.L. Discussion of “Despiking Acoustic Doppler Velocimeter Data” by Derek, G. Goring and Vladimir, I. Nikora. J. Hydraul. Eng. 2003, 129, 484–487. [Google Scholar] [CrossRef]
- Zou, H.; Xiang, D.W.; Jing, Y.G. Data smoothing methods for DVL. Tech. Acoust. 2008, 27, 507–510. [Google Scholar]
- Parsheh, M.; Sotiropoulos, F.; Portéagel, F. Estimation of Power Spectra of Acoustic–Doppler Velocimetry Data Contaminated with Intermittent Spikes. J. Hydraul. Eng. 2010, 136, 368–378. [Google Scholar] [CrossRef]
- Jesson, M.; Sterling, M.; Bridgeman, J. Despiking velocity time–series—Optimisation through the combination of spike detection and replacement methods. Flow Meas. Instrum. 2013, 30, 45–51. [Google Scholar] [CrossRef]
- Patel, A.; Khatua, K.K. Reliability Study in Despiking of ADV Data to Open Channel Flow; L. D. College of Engineering: Ahmedabad, India, 2017. [Google Scholar]
- Rousseeuw, P.J.; Croux, C. Alternatives to median absolute deviation. J. Am. Stat. Assoc. 1993, 88, 1273–1283. [Google Scholar] [CrossRef]
- Andrea, B. Robust measures of skewness and kurtosis for macroeconomic and financial time series. Appl. Econ. 2020, 52, 637–670. [Google Scholar]
- Ömer, K. Various filtering algorithms used to eliminate outliers in velocity time series obtained by ADVs (acoustic Doppler velocimeter). Arab. J. Geosci. 2013, 6, 2691–2697. [Google Scholar]
- Razaz, M.; Kawanisi, K. Signal post–processing for acoustic velocimeters: Detecting and replacing spikes. Meas. Sci. Technol. 2011, 22, 125404. [Google Scholar] [CrossRef]
- Kraus, N.C.; Lohrmann, A.; Cabrera, R. New Acoustic Meter for Measuring 3D Laboratory Flows. J. Hydraul. Eng. 1994, 120, 406–412. [Google Scholar] [CrossRef]











| Method | Time (s) | Case | dn (−) | opr (%) | cdr (%) |
|---|---|---|---|---|---|
| Phase space | 12,000 | 1 | 505 | 326.67 | |
| 2 | 906 | 287.08 | |||
| 3 | 1828 | 226.50 | |||
| 4 | 2765 | 169.08 | |||
| 5 | 3457 | 134.50 | |||
| 6 | 4108 | 114.67 | |||
| 7 | 5106 | 85.97 | |||
| Robust estimation | 12,000 | 1 | 39 | 0.00 | |
| 2 | 82 | 0.00 | |||
| 3 | 222 | 0.00 | |||
| 4 | 417 | 0.00 | Figure 4 | ||
| 5 | 631 | 0.00 | |||
| 6 | 841 | 0.00 | |||
| 7 | 1247 | 0.00 | |||
| 3DRPS | 12,000 | 1 | 137 | 14.17 | |
| 2 | 260 | 8.75 | |||
| 3 | 664 | 10.67 | |||
| 4 | 1305 | 9.08 | |||
| 5 | 1945 | 8.33 | |||
| 6 | 2596 | 8.42 | |||
| 7 | 3862 | 7.67 |
| Methods | Dimensions | Average | Standard Deviation | Kurtosis | Skewness | Max | Min |
|---|---|---|---|---|---|---|---|
| Raw Data | x | −0.02067559 | 0.274184 | 26.06235 | −0.4404 | 2.229 | −2.467 |
| y | −0.009378801 | 0.256644 | 25.52965 | 0.165199 | 2.408 | −2.16 | |
| z | −0.001662331 | 0.049877 | 25.68186 | 0.242418 | 0.464 | −0.491 | |
| Phase Space | x | −0.01751828 | 0.142615 | 20.16426 | −0.03063 | 1.174 | −1.204 |
| y | −0.01292775 | 0.126272 | 22.3524 | 0.154246 | 1.097 | −1.12 | |
| z | −0.001159016 | 0.029374 | 14.01004 | 0.628032 | 0.213 | −0.19 | |
| Robust Estimation | x | −0.0201469 | 0.086652 | 2.67489 | −0.20317 | 0.2 | −0.234 |
| y | −0.0139824 | 0.075512 | 3.211917 | −0.02248 | 0.181 | −0.203 | |
| z | −0.002055034 | 0.015104 | 2.976916 | −0.04973 | 0.035 | −0.039 | |
| 3DRPS | x | −0.01965378 | 0.085787 | 2.697075 | −0.21987 | 0.2 | −0.234 |
| y | −0.01401899 | 0.074861 | 3.26277 | −0.02469 | 0.181 | −0.203 | |
| z | −0.0021829 | 0.014823 | 3.043208 | −0.03984 | 0.035 | −0.039 |
© 2020 by the authors. Licensee MDPI, Basel, Switzerland. This article is an open access article distributed under the terms and conditions of the Creative Commons Attribution (CC BY) license (http://creativecommons.org/licenses/by/4.0/).
Share and Cite
Zhong, C.; Yin, F.; Zhang, J.; Zhang, S.; Wan, R.; Kitazawa, D. Optimized Algorithm for Processing Outlier of Water Current Data Measured by Acoustic Doppler Velocimeter. J. Mar. Sci. Eng. 2020, 8, 655. https://doi.org/10.3390/jmse8090655
Zhong C, Yin F, Zhang J, Zhang S, Wan R, Kitazawa D. Optimized Algorithm for Processing Outlier of Water Current Data Measured by Acoustic Doppler Velocimeter. Journal of Marine Science and Engineering. 2020; 8(9):655. https://doi.org/10.3390/jmse8090655
Chicago/Turabian StyleZhong, Chunyi, Fang Yin, Junbo Zhang, Shuo Zhang, Rong Wan, and Daisuke Kitazawa. 2020. "Optimized Algorithm for Processing Outlier of Water Current Data Measured by Acoustic Doppler Velocimeter" Journal of Marine Science and Engineering 8, no. 9: 655. https://doi.org/10.3390/jmse8090655
APA StyleZhong, C., Yin, F., Zhang, J., Zhang, S., Wan, R., & Kitazawa, D. (2020). Optimized Algorithm for Processing Outlier of Water Current Data Measured by Acoustic Doppler Velocimeter. Journal of Marine Science and Engineering, 8(9), 655. https://doi.org/10.3390/jmse8090655

