Multi-Visual Feature Saliency Detection for Sea-Surface Targets through Improved Sea-Sky-Line Detection
Abstract
1. Introduction
1.1. Sea-Sky-Line Detection
1.2. Saliency Detection
2. Sea-Sky-Line Detection
2.1. Smooth Filtering Gradient Image
2.2. Determination of the Potential Areas for Sea-Sky-Lines
2.3. Iterative Fitting of the Sea-Sky-Line Curve
3. Significance Detection Model for the Multi-Visual Feature Fusion
3.1. Wavelet Transform to Extract the Frequency Saliency Subgraph
3.2. Improved Gabor Filtering to Obtain the Directional Feature Saliency Subgraph
3.3. Gradient Texture Feature Saliency Subgraph
3.4. Color Spatial Feature Saliency Subgraph
3.5. Fusion and Segmentation of the Multi-Visual Feature Salient Graph
4. Experiments
4.1. Sea-Sky-Line Detection Performance
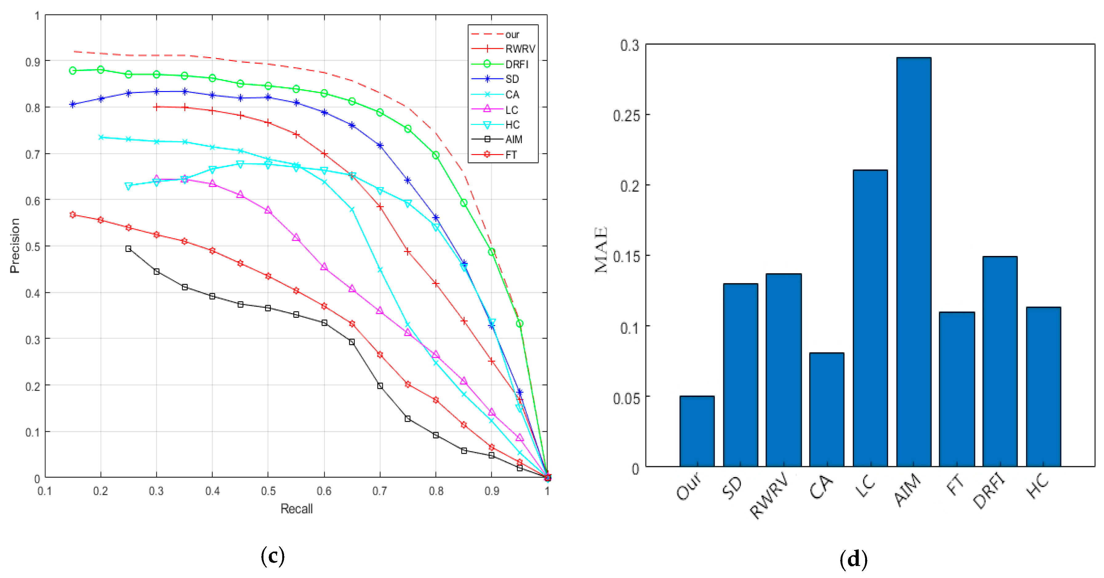
4.2. Visual Detection Performance
- (1)
- The saliency detection results for the video frame images with a strong contrast between the target object and background (e.g., rows 1 and 2) are satisfactory. The target information in the saliency feature image is highlighted. Therefore, when a strong contrast exists between the foreground and background, the features of the target can be easily detected.
- (2)
- The performance is relatively weak in the presence of a low contrast or complex background. The RWRV, SC, HC, SD and FT approaches are strongly influenced by the sky background and highlight the sky feature information in the saliency map, as shown in rows 3, 4, 7 and 8. Moreover, the RWRV, AIM, DRFI and FT approaches exhibit a poor robustness against the interference of sea waves. Notable features of sea waves are present in the saliency map, as shown in rows 5, 6 and 13. In the case of small target objects in the sea surface images, the target image may be lost in the saliency maps owing to the influence of the background, as in the case of the SD algorithm in rows 6 and 7.
- (3)
- The proposed algorithm can capture the foreground salient objects more faithfully in the test cases. The target features are prominent in the saliency map. Moreover, the approach is robust against the background interference from the waves and sky. For example, the proposed algorithm achieved a high performance in the case of objects with multiple appearance color information (e.g., rows 1–4), exhibiting relatively high scene complexities. Moreover, the proposed approach can detect small and distinct regions (rows 9, 10, 12, 13).
5. Conclusions
Author Contributions
Funding
Acknowledgments
Conflicts of Interest
References
- Bovcon, B.; Mandeljc, R.; Janez, P. Stereo obstacle detection for unmanned surface vehicles by IMU-assisted semantic segmentation. Robot. Auton. Syst. 2018, 104, 1–13. [Google Scholar] [CrossRef]
- Woo, J.; Kim, N. Vision based obstacle detection and collision risk estimation of an unmanned surface vehicle. In Proceedings of the IEEE International Conference on Ubiquitous Robots and Ambient Intelligence, Xi’an, China, 19–22 August 2016; pp. 461–465. [Google Scholar]
- Shin, B.S.; Mou, X.; Mou, W. Vision-based navigation of an unmanned surface vehicle with object detection and tracking abilities. Mach. Vision Appl. 2017, 29, 95–112. [Google Scholar] [CrossRef]
- Kong, X.; Liu, L.; Qian, Y. Automatic detection of sea-sky horizon line and small targets in maritime infrared imagery. Infrared Phys. Technol. 2016, 76, 185–199. [Google Scholar] [CrossRef]
- Wang, B.; Su, Y.; Wan, L. A sea-sky line detection method for unmanned surface vehicles based on gradient saliency. Sensors 2016, 16, 543. [Google Scholar] [CrossRef]
- Ma, T.; Ma, J. A sea-sky line detection method based on line segment detector and Hough transform. In Proceedings of the IEEE International Conference on Computer and Communications, Helsinki, Finland, 21–23 August 2017; pp. 700–703. [Google Scholar]
- Kim, S.; Lee, J. Small infrared target detection by region adaptive clutter rejection for sea-based infrared search and track. Sensors 2014, 14, 13210–13242. [Google Scholar] [CrossRef] [PubMed]
- Tang, D.; Sun, G.; Wang, D.H.; Niu, Z.D.; Chen, Z.P. Research on infrared ship detection method in sea-sky background. In Proceedings of the International Symposium on Photoelectronic Detection and Imaging 2013: Infrared Imaging and Applications, Beijing, China, 25–28 June 2013; pp. 89072H-1–89072H-10. [Google Scholar]
- Shen, Y.; Krusienski, D.J.; Li, J.; Rahman, Z. A Hierarchical Horizon Detection Algorithm. IEEE Geosci. Remote Sens. Lett. 2013, 10, 111–114. [Google Scholar] [CrossRef]
- Dai, Y.S.; Liu, B.; Li, L.G.; Jin, J.C.; Sun, W.F.; Shao, F. Sea-sky-line detection based on local Otsu segmentation and Hough transform. Opto Electron. Eng. 2018, 45, 180039. [Google Scholar]
- Jiang, C.L.; Jiang, H.H.; Zhang, C.L.; Wang, J. A new method of sea-sky-line detection. In Proceedings of the Third IEEE International Symposium on Intelligent Information Technology and Security Informatics, NanChang, China, 21–22 November 2010; pp. 740–743. [Google Scholar]
- Jiao, J.; Lu, H.; Wang, Z. L0 Gradient Smoothing and Bimodal Histogram Analysis: A Robust Method for Sea-sky-line Detectio. In Proceedings of the ACM Multimedia Asia, Beijing China, 16–18 December 2019; pp. 1–6. [Google Scholar]
- Jeong, C.Y.; Yang, H.S.; Moon, K. A novel approach for detecting the horizon using a convolutional neural network and multi-scale edge detection. Multidimens. Syst. Signal Process. 2019, 30, 1187–1204. [Google Scholar] [CrossRef]
- Zou, X.; Xiao, C.; Zhan, W.; Zhou, C.; Xiu, S.; Yuan, H. A Novel Water-Shore-Line Detection Method for USV Autonomous Navigation. Sensors 2020, 20, 1682. [Google Scholar] [CrossRef]
- Gilbert, C.D.; Li, W. Top-down influences on visual processing. Nat. Rev. Neurosci. 2013, 14, 350–363. [Google Scholar] [CrossRef]
- Navalpakkam, V.; Itti, L. Top–down attention selection is fine grained. J. Vis. 2006, 6, 1180–1193. [Google Scholar] [CrossRef] [PubMed][Green Version]
- Yan, Q.; Xu, L.; Shi, J. Hierarchical saliency detection. In Proceedings of the IEEE Computer Vision and Pattern Recognition, Portland, OR, USA, 23–28 June 2013; pp. 1155–1162. [Google Scholar]
- Hou, X.; Zhang, L. Saliency detection: A spectral residual approach. In Proceedings of the IEEE Computer Vision and Pattern Recognition, Minneapolis, MN, USA, 17–22 June 2007; pp. 1–8. [Google Scholar]
- Schauerte, B.; Stiefelhagen, R. Quaternion-Based spectral saliency detection for eye fixation prediction. In Proceedings of the European Conference on Computer Vision, Florence, Italy, 12–13 November 2012; pp. 116–129. [Google Scholar]
- Itti, L.; Koch, C.; Niebur, E. A model of saliency-based visual attention for rapid scene analysis. IEEE Trans. Pattern Anal. Mach. Intell. 1998, 20, 1254–1259. [Google Scholar] [CrossRef]
- Rinki, A.; Agrawal, R.K.; Navjot, S. A novel approach for salient object detection using double-density dual-tree complex wavelet transform in conjunction with superpixel segmentation. Knowl. Inf. Syst. 2018, 60, 327–361. [Google Scholar]
- Chen, Y.; Zou, W.; Tang, Y.; Li, X.; Xu, C.; Komodakis, N. SCOM: Spatiotemporal Constrained Optimization for Salient Object Detection. IEEE Trans. Image Process. 2018, 27, 3345–3357. [Google Scholar] [CrossRef]
- Zhang, W.; Yao, Z.F.; Gao, Y.K. A deep convolutional network for saliency object detection with balanced accuracy and high efficiency. J. Electr. Syst. Inf. Technol. 2020, 42, 1201–1208. [Google Scholar]
- Wang, W.; Shen, J.; Shao, L. Video Salient Object Detection via Fully Convolutional Networks. IEEE Trans. Image Process. 2017, 27, 38–49. [Google Scholar] [CrossRef] [PubMed]
- Singh, M.; Govil, M.C.; Pilli, E.S. SOD-CED: Salient Object Detection for Noisy Images using Convolution Encoder Decoder. IET Comput. Vis. 2019, 13, 578–587. [Google Scholar] [CrossRef]
- Cheng, M.; Zhang, G.; Mitra, N.J.; Huang, X.; Hu, S. Global contrast based salient region detection. IEEE Trans. Pattern Anal. Mach. Intell. 2014, 37, 569–582. [Google Scholar] [CrossRef]
- Li, J.; Gao, W. Visual Saliency Computation A Machine Learning Perspective; Springer Publishing Company, Inc.: New York, NY, USA, 2014. [Google Scholar]
- Kim, H.; Kim, Y.; Sim, J.Y. Spatiotemporal Saliency Detection for Video Sequences Based on Random Walk With Restart. IEEE Trans. Image Process. 2015, 24, 2552–2564. [Google Scholar] [CrossRef] [PubMed]
- Singh, N.; Mishra, K.K.; Bhatia, S. SEAM—An improved environmental adaptation method with real parameter coding for salient object detection. Multimed. Tools Appl. 2020, 79, 12995–13010. [Google Scholar] [CrossRef]
- Gonzalez, R.C.; Woods, R.E. Digital Image Processing, 3rd ed.; Prentice-Hall, Inc.: Upper Saddle River, NJ, USA, 2007. [Google Scholar]
- Zou, R.B.; Shi, C.C. A Sea-Sky Line Identification Algorithem Based on Shearlets for Infrared Image. Adv. Mate. Res. 2013, 846–847, 1031–1035. [Google Scholar] [CrossRef]
- Lin, C.; He, B.W.; Dong, S. An in door object fast detection method based on visual attention mechanism of fusion depth information in RGB image. Chin. J. Lasers 2014, 41, 205–210. [Google Scholar]
- Available online: http://www.vicos.si/Downloads/MODD (accessed on 31 March 2015).
- Prasad, D.K.; Rajan, D.; Rachmawati, L.; Rajabally, E.; Quek, C. Video Processing From Electro-Optical Sensors for Object Detection and Tracking in a Maritime Environment: A Survey. IEEE Trans. Intell. Transp. Syst. 2017, 18, 1993–2016. [Google Scholar] [CrossRef]
- Bowe, A.N. Study of sea-sky-line detection algorithm based on Hough transform. Infrared Technol. 2015, 37, 196–199. [Google Scholar]
- Kristan, M.; Kenk, V.S.; Kovacic, S.; Pers, J. Fast Image-Based Obstacle Detection from Unmanned Surface Vehicles. IEEE Trans. Cybern. 2016, 46, 641–654. [Google Scholar] [CrossRef] [PubMed]
- Bruce, N.D. Saliency, attention and visual search: An information theoretic approach. J. Vis. 2009, 9, 51. [Google Scholar] [CrossRef] [PubMed]
- Achanta, R.; Estrada, F.; Wils, P. Salient Region Detection and Segmentation. In Proceedings of the 6th International Conference on Computer Vision Systems, Santorini, Greece, 12–15 May 2008; pp. 66–75. [Google Scholar]
- Goferman, S.; Zelnikmanor, L.; Tal, A. Context-Aware Saliency Detection. IEEE Trans. Pattern Anal. Mach. Intell. 2012, 34, 1915–1926. [Google Scholar] [CrossRef]
- Wang, J.D.; Jiang, H.Z.; Yuan, Z.J. Salient Object Detection: A Discriminative Regional Feature Integration Approach. In Proceedings of the IEEE Conference on Computer Vision and Pattern Recognition (CVPR), Honolulu, HI, USA, 21–26 July 2017; Volume 1, pp. 2083–2090. [Google Scholar]
- Zhai, Y.; Shah, M. Visual attention detection in video sequences using spatiotemporal cues. In Proceedings of the 14th Annual ACM International Conference on Multimedia, Santa Barbara, CA, USA, 23–27 October 2006; pp. 815–824. [Google Scholar]
- Cheng, M.M.; Zhang, G.X.; Mitra, N.J. Global contrast based salient region detection. In Proceedings of the Computer Vision and Pattern Recognition, Providence, RI, USA, 20–25 June 2011; pp. 409–416. [Google Scholar]
- Achanta, R.; Hemami, S.S.; Estrada, F.J.; Susstrunk, S. Frequency-tuned salient region detection. In Proceedings of the Computer Vision and Pattern Recognition, Miami, FL, USA, 20–25 June 2009; pp. 1597–1604. [Google Scholar]








| Method | SSM | Hough Transformation | Gradient Saliency Enhancement + Hough | Proposed |
|---|---|---|---|---|
| Average detection/% | 48.6 | 52.6 | 76.8 | 96.3 |
| Average detection time/s | 1.18 | 2.59 | 2.62 | 1.05 |
Publisher’s Note: MDPI stays neutral with regard to jurisdictional claims in published maps and institutional affiliations. |
© 2020 by the authors. Licensee MDPI, Basel, Switzerland. This article is an open access article distributed under the terms and conditions of the Creative Commons Attribution (CC BY) license (http://creativecommons.org/licenses/by/4.0/).
Share and Cite
Lin, C.; Chen, W.; Zhou, H. Multi-Visual Feature Saliency Detection for Sea-Surface Targets through Improved Sea-Sky-Line Detection. J. Mar. Sci. Eng. 2020, 8, 799. https://doi.org/10.3390/jmse8100799
Lin C, Chen W, Zhou H. Multi-Visual Feature Saliency Detection for Sea-Surface Targets through Improved Sea-Sky-Line Detection. Journal of Marine Science and Engineering. 2020; 8(10):799. https://doi.org/10.3390/jmse8100799
Chicago/Turabian StyleLin, Chang, Wu Chen, and Haifeng Zhou. 2020. "Multi-Visual Feature Saliency Detection for Sea-Surface Targets through Improved Sea-Sky-Line Detection" Journal of Marine Science and Engineering 8, no. 10: 799. https://doi.org/10.3390/jmse8100799
APA StyleLin, C., Chen, W., & Zhou, H. (2020). Multi-Visual Feature Saliency Detection for Sea-Surface Targets through Improved Sea-Sky-Line Detection. Journal of Marine Science and Engineering, 8(10), 799. https://doi.org/10.3390/jmse8100799
