Power Take-Off and Energy Storage System Static Modeling and Sizing for Direct Drive Wave Energy Converter to Support Ocean Sensing Applications
Abstract
1. Introduction
1.1. Demands of Ground Truth Inputs and Reactive Power Control
1.2. The Research Novelty
2. Martha’s Vineyard Ground Truth Ocean Wave Data and Power Calculation
2.1. Martha’s Vineyard Data Case
2.2. Power Calculation
2.3. Optimal 20-min Mean Power Time Series of Available Wave Power in 2015
2.4. Sensor Supporting and Insurfficient Average Power Samples
3. Static Modeling of Power Take-Off and Energy Storage System
4. PTO and ESS Static Modeling Parameters and Results
5. Power Take-Off and Energy Storage System Rule-Based Control
5.1. Electrical Machine Generating Efficiency Constraint
5.2. Required Control Force Limitation for Downsized Electrical Machine
5.3. Results with Constraints Applied on the Electrical Machine
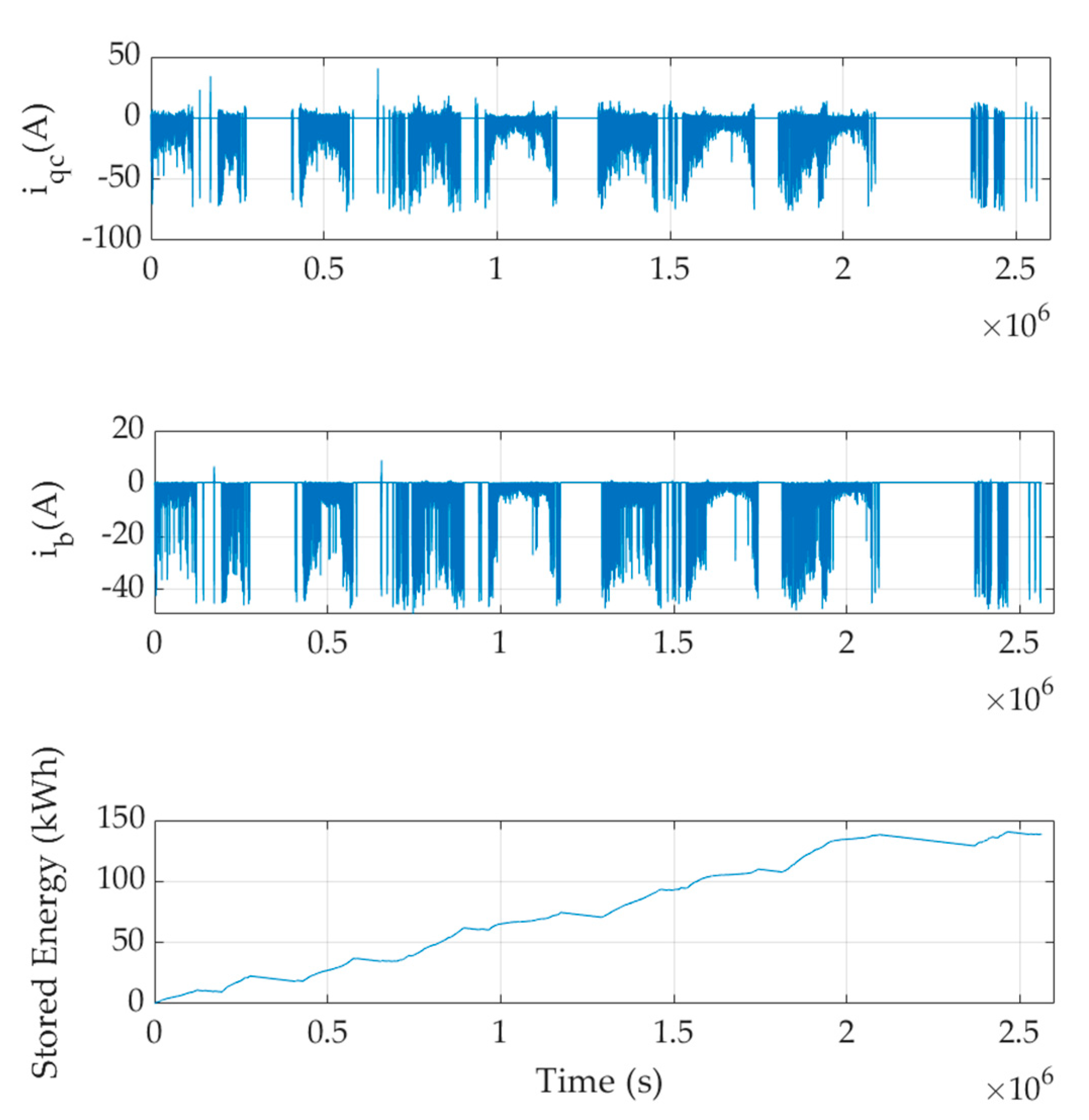
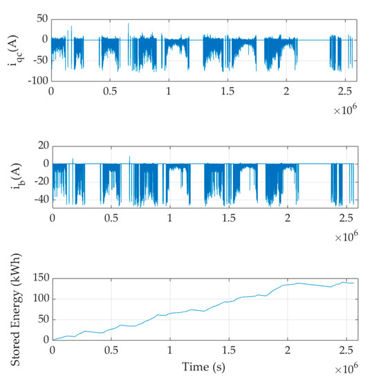
5.4. Battery Pack Sizing for Multiple Sensor Loads with PTO Power Limitations
6. Discussion and Conclusions
Author Contributions
Funding
Conflicts of Interest
References
- Prakash, S.; Mamun, K.; Islam, F.; Mudliar, R.; Pauu, C.; Kolivuso, M.; Cadralala, S. Wave Energy Converter: A Review of Wave Energy Conversion Technology. In Proceedings of the 2016 3rd Asia-Pacific World Congress on Computer Science and Engineering (APWC on CSE), Nadi, Fiji, 5–6 December 2016. [Google Scholar]
- Foteinis, S.; Tsoutsos, T. Strategies to improve sustainability and offset the initial high capital expenditure of wave energy converters (WECs). Renew. Sustain. Energy Rev. 2017, 70, 775–785. [Google Scholar] [CrossRef]
- Moschos, E.; Manou, G.; Dimitriadis, P.; Afentoulis, V.; Koutsoyiannis, D.; Tsoukala, V.K. Harnessing wind and wave resources for a Hybrid Renewable Energy System in remote islands: A combined stochastic and deterministic approach. Energy Procedia 2017, 125, 415–424. [Google Scholar] [CrossRef]
- Zhou, Z.; Benbouzid, M.; Charpentier, J.F.; Scuiller, F.; Tang, T. A review of energy storage technologies for marine current energy systems. Renew. Sustain. Energy Rev. 2013, 18, 390–400. [Google Scholar] [CrossRef]
- Wang, L.; Lee, D.-J.; Lee, W.-J.; Chen, Z. Analysis of a novel autonomous marine hybrid power generation/energy storage system with a high-voltage direct current link. J. Power Sources 2008, 185, 1284–1292. [Google Scholar] [CrossRef]
- Faiad, A.A.; Gowaid, I.A. Linear generator technologies for wave energy conversion applications: A review. In Proceedings of the 2018 53rd International Universities Power Engineering Conference (UPEC), Glasgow, UK, 4–7 September 2018. [Google Scholar]
- Memon, A.H.; Ibrahim, T.B.; Nallagowden, P. Design optimization of linear permanent magnet generator for wave energy conversion. In Proceedings of the 2015 IEEE Conference on Energy Conversion (CENCON), Johor Bahru, Malaysia, 19–20 October 2015. [Google Scholar]
- Zhang, J.; Yu, H.; Chen, Q.; Hu, M.; Huang, L.; Liu, Q. Design and Experimental Analysis of AC Linear Generator with Halbach PM Arrays for Direct-Drive Wave Energy Conversion. IEEE Trans. Appl. Supercond. 2014, 24, 1–4. [Google Scholar] [CrossRef]
- Huang, L.; Chen, M.; Wang, L.; Yue, F.; Guo, R.; Fu, X. Analysis of a Hybrid Field-Modulated Linear Generator for Wave Energy Conversion. IEEE Trans. Appl. Supercond. 2018, 28, 1–5. [Google Scholar] [CrossRef]
- Farrok, O.; Islam, M.R.; Sheikh, M.R.I.; Guo, Y.G.; Zhu, J.G. Design and Analysis of a Novel Lightweight Translator Permanent Magnet Linear Generator for Oceanic Wave Energy Conversion. IEEE Trans. Magn. 2017, 53, 1–4. [Google Scholar] [CrossRef]
- Wang, L.; Isberg, J.; Tedeschi, E. Review of control strategies for wave energy conversion systems and their validation: The wave-to-wire approach. Renew. Sustain. Energy Rev. 2018, 81, 366–379. [Google Scholar] [CrossRef]
- Murray, D.B.; Hayes, J.G.; Egan, M.G.; Osullivan, D.L. Supercapacitor testing for power smoothing in a variable speed offshore Wave Energy Converter. In Proceedings of the 26th Annual IEEE Asia-Pacific Economic Cooperation (APEC), Fort Worth, TX, USA, 6–11 March 2011. [Google Scholar]
- Guney, M.S.; Tepe, Y. Classification and assessment of energy storage systems. Renew. Sustain. Energy Rev. 2017, 75, 1187–1197. [Google Scholar] [CrossRef]
- Ekström, R.; Leijon, M. Control of offshore marine substation for grid-connection of a wave power farm. Int. J. Mar. Energy 2014, 5, 24–37. [Google Scholar] [CrossRef]
- Rohit, A.K.; Devi, K.P.; Rangnekar, S. An overview of energy storage and its importance in Indian renewable energy sector. J. Energy Storage 2017, 13, 10–23. [Google Scholar] [CrossRef]
- Aubry, J.; Bydlowski, P.; Multon, B.; Ahmed, H.B.; Borgarino, B. Energy storage system sizing for smoothing power generation of direct wave energy converters. In Proceedings of the the International Conference on Ocean Energy (ICOE), Bilbao, Spain, 6–8 October 2010; ISBN 978-84-693-5467-4. [Google Scholar]
- Sjolte, J.; Tjensvoll, G.; Molinas, M. All-electric Wave Energy Converter array with energy storage and reactive power compensation for improved power quality. In Proceedings of the 2012 IEEE Energy Conversion Congress and Exposition (ECCE), Raleigh, NC, USA, 15–20 September 2012. [Google Scholar]
- Garcia-Rosa, P.B.; Cunha, J.P.V.S.; Lizarralde, F.; Estefen, S.F.; Machado, I.R.; Watanabe, E.H. Wave-to-Wire Model and Energy Storage Analysis of an Ocean Wave Energy Hyperbaric Converter. IEEE J. Ocean. Eng. 2014, 39, 386–397. [Google Scholar] [CrossRef]
- Prudell, J.H.; Schacher, A.; Rhinefrank, K. Direct drive ocean wave energy electric plant design methodology. In Proceedings of the 2012 Oceans, Hampton Roads, VA, USA, 14–19 October 2012. [Google Scholar]
- Song, J.; Abdelkhalik, O.; Robinett, R.; Bacelli, G.; Wilson, D.; Korde, U. Multi-resonant feedback control of heave wave energy converters. Ocean Eng. 2016, 127, 269–278. [Google Scholar] [CrossRef]
- Brown, A.; Thomson, J.; Rusch, C. Hydrodynamic Coefficients of Heave Plates, with Application to Wave Energy Conversion. J. Ocean. Eng. 2018, 43, 983–996. [Google Scholar] [CrossRef]
- Wilson, D.G.; Robinett, R.D.; Bacelli, G.; Abdelkhalik, O.; Weaver, W.W.; Coe, R. Nonlinear WEC Optimized Geometric Buoy Design for Efficient Reactive Power Requirements. In Proceedings of the OCEANS 2019 MTS/IEEE SEATTLE, Seattle, WA, USA, 27–31 October 2019. [Google Scholar] [CrossRef]
- Hillis, A.J.; Plummer, A.R.; Zeng, X.; Chapman, J. Simulation of a power electronic conversion system with short-term energy storage for actively controlled wave energy converters. In Proceedings of the 2019 Offshore Energy and Storage Summit (OSES), Brest, France, 10–12 July 2019. [Google Scholar] [CrossRef]
- Korde, U.A.; Song, J.; Robinett, R.D.; Abdelkhalik, O.O. Hydrodynamic Considerations in Near-Optimal Control of a Small Wave Energy Converter for Ocean Measurement Applications. Mar. Technol. Soc. J. 2017, 51, 44–57. [Google Scholar] [CrossRef]
- Woods Hole Oceanographic Institution. MVCO. Available online: https://mvco.whoi.edu/data-history (accessed on 4 May 2020).
- Allahdadi, M.N.; Gunawan, B.; Lai, J.; He, R.; Neary, V.S. Development and validation of a regional-scale high-resolution unstructured model for wave energy resource characterization along the US East Coast. Renew. Energy 2019, 136, 500–511. [Google Scholar] [CrossRef]
- Neary, V.S.; Ahn, S.; Seng, B.E.; Allahdadi, M.N.; Wang, T.; Yang, Z.; He, R. Characterization of Extreme Wave Conditions for Wave Energy Converter Design and Project Risk Assessment. J. Mar. Sci. Eng. 2020, 8, 289. [Google Scholar] [CrossRef]
- Woods Hole Oceanographic Institution. MVCO. Available online: https://mvco.whoi.edu/infrastructure (accessed on 4 July 2020).
- Abdelkhalik, O.; Zou, S.; Robinett, R.D.; Bacelli, G.; Wilson, D.G.; Coe, R.; Korde, U. Multiresonant Feedback Control of a Three-Degree-of-Freedom Wave Energy Converter. IEEE Trans. Sustain. Energy 2017, 8, 1518–1527. [Google Scholar] [CrossRef]
- Lee, C.-H. WAMIT Theory Manual; Massachusetts Institute of Technology, Department of Ocean Engineering: Cambridge, MA, USA, 1995. [Google Scholar]
- Eriksson, S. Design of Permanent-Magnet Linear Generators with Constant-Torque-Angle Control for Wave Power. Energies 2019, 12, 1312. [Google Scholar] [CrossRef]
















| Index | Date | Time | Power (kW) | Index | Date | Time | Power (kW) |
|---|---|---|---|---|---|---|---|
| 3864 | 2/24/2015 | 18:40 | 0.026 | 5535 | 3/20/2015 | 15:00 | 0.054 |
| 5028 | 3/13/2015 | 10:40 | 0.053 | 5539 | 3/20/2015 | 16:40 | 0.053 |
| 5037 | 3/13/2015 | 13:40 | 0.054 | 5540 | 3/20/2015 | 17:00 | 0.053 |
| 5039 | 3/13/2015 | 14:20 | 0.054 | 5541 | 3/20/2015 | 17:20 | 0.054 |
| 5040 | 3/13/2015 | 14:40 | 0.054 | 5556 | 3/20/2015 | 22:20 | 0.053 |
| 5042 | 3/13/2015 | 15:20 | 0.053 | 5557 | 3/20/2015 | 22:40 | 0.053 |
| 5492 | 3/19/2015 | 23:40 | 0.107 | 5821 | 3/24/2015 | 17:40 | 0.054 |
| 5524 | 3/20/2015 | 10:20 | 0.053 | 5850 | 3/25/2015 | 18:40 | 0.025 |
| 5525 | 3/20/2015 | 10:40 | 0.053 | 5851 | 3/25/2015 | 19:00 | 0.025 |
| 5534 | 3/20/2015 | 14:40 | 0.054 | - | - | - | - |
| Inputs | Direction | Wave Power Status | Equation (12) Constraints | Operation Status |
|---|---|---|---|---|
| + + | Not available | Not applied | Mode 1: Motor | |
| − − | Not available | Not applied | ||
| + − | Available for extracting | Fulfilled | Mode 2: Generator | |
| − + | Available for extracting | Fulfilled | ||
| + − | Available for extracting | Unfulfilled | Mode 3: Motor | |
| − + | Available for extracting | Unfulfilled |
| Components | Parameters | Values | Parameters | Values |
|---|---|---|---|---|
| Electrical Machine | req | 0.15 m | 25 Wb | |
| RS | 2 Ω | nP | 6 | |
| Ld | 62.5 mH | |||
| Super Capacitor Module | Fully Charged OCV | 800 V | RC | 0.1 Ω |
| C | 2 F | |||
| Battery Pack Module | OCV | 240 V | Ri | 6.67 Ω |
| Sensor Load | Pload | 0.12 kW | Voltage Requirement | 120 V |
| Quantity | 1 |
| MPLs | 1 Sensor | 2 Sensors | 3 Sensors | 4 Sensors | 5 Sensors | 6 Sensors | 7 Sensors |
|---|---|---|---|---|---|---|---|
| 10 kW | 169 kWh | 110 kWh | 195 kWh | 280 kWh | 366 kWh | 451 kWh | 537 kWh |
| 50 kW | 436 kWh | 352 kWh | 265 kWh | 180 kWh | 94 kWh | 65 kWh | 112 kWh |
| 100 kW | 887 kWh | 802 kWh | 716 kWh | 631 kWh | 546 kWh | 460 kWh | 375 kWh |
| 150 kW | 1076 kWh | 990 kWh | 905 kWh | 820 kWh | 734 kWh | 649 kWh | 563 kWh |
| 200 kW | 1196 kWh | 1110 kWh | 1025 kWh | 939 kWh | 854 kWh | 768 kWh | 683 kWh |
| 250 kW | 1255 kWh | 1170 kWh | 1084 kWh | 999 kWh | 913 kWh | 828 kWh | 743 kWh |
| 300 kW | 1264 kWh | 1178 kWh | 1093 kWh | 1008 kWh | 922 kWh | 837 kWh | 751 kWh |
© 2020 by the authors. Licensee MDPI, Basel, Switzerland. This article is an open access article distributed under the terms and conditions of the Creative Commons Attribution (CC BY) license (http://creativecommons.org/licenses/by/4.0/).
Share and Cite
Zhou, X.; Abdelkhalik, O.; Weaver, W. Power Take-Off and Energy Storage System Static Modeling and Sizing for Direct Drive Wave Energy Converter to Support Ocean Sensing Applications. J. Mar. Sci. Eng. 2020, 8, 513. https://doi.org/10.3390/jmse8070513
Zhou X, Abdelkhalik O, Weaver W. Power Take-Off and Energy Storage System Static Modeling and Sizing for Direct Drive Wave Energy Converter to Support Ocean Sensing Applications. Journal of Marine Science and Engineering. 2020; 8(7):513. https://doi.org/10.3390/jmse8070513
Chicago/Turabian StyleZhou, Xiang, Ossama Abdelkhalik, and Wayne Weaver. 2020. "Power Take-Off and Energy Storage System Static Modeling and Sizing for Direct Drive Wave Energy Converter to Support Ocean Sensing Applications" Journal of Marine Science and Engineering 8, no. 7: 513. https://doi.org/10.3390/jmse8070513
APA StyleZhou, X., Abdelkhalik, O., & Weaver, W. (2020). Power Take-Off and Energy Storage System Static Modeling and Sizing for Direct Drive Wave Energy Converter to Support Ocean Sensing Applications. Journal of Marine Science and Engineering, 8(7), 513. https://doi.org/10.3390/jmse8070513

