Wave Orbital Velocity Effects on Radar Doppler Altimeter for Sea Monitoring
Abstract
1. Introduction
2. Materials and Methods
3. Simulation and Results
3.1. Single Waveforms
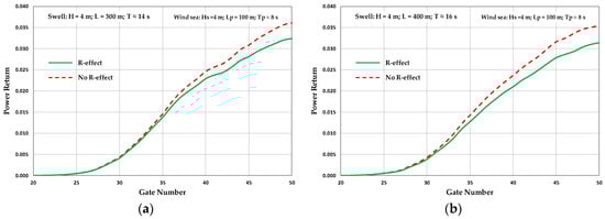
3.2. 20 Hz Data—Wind Sea/Swell Interaction
3.3. 20 Hz Data—Sea Surface Height
4. Discussion and Conclusions
Author Contributions
Funding
Acknowledgments
Conflicts of Interest
References
- Rodriguez, E. Altimetry for non-Gaussian oceans: Height biases and estimation of parameters. J. Geophys. Res. 1988, 93, 14107–14120. [Google Scholar] [CrossRef]
- Chelton, D.B.; Ries, J.C.; Haines, B.J.; Fu, L.-L.; Callahan, P.S. Satellite Altimetry. In Satellite Altimetry and Earth Sciences: A Handbook of Techniques and Applications, 1st ed.; Fu, L.-L., Cazenave, A., Eds.; Academic Press: San Diego, CA, USA, 2001; pp. 1–131. [Google Scholar]
- Martin-Puig, C.; Ruffini, G.; Marquez, J.; Cotton, P.D.; Srokosz, M.A.; Challenor, P.; Raney, K.; Benveniste, J. Theoretical Model of SAR Altimeter over Water Surfaces. In Proceedings of the IGARSS 2008—2008 IEEE International Geoscience and Remote Sensing Symposium, Boston, MA, USA, 7–11 July 2008; pp. 242–245. [Google Scholar] [CrossRef]
- Abdalla, S.; Dinardo, S.; Benveniste, J.; Janssen, P.A.E.M. Assessment of CryoSat-2 SAR mode wind and wave data. Adv. Space Res. 2018, 62, 1421–1433. [Google Scholar] [CrossRef]
- Gommenginger, C.P.; Srokosz, M.A. Sea state bias—20 years on. In Proceedings of the Symposium on 15 Years of Progress in Radar Altimetry, Venice, Italy, 13–18 March 2006; Danesy, D., Ed.; ESA-SP 614. ESA Publications Division: Noordwijk, The Netherlands, 2006. [Google Scholar]
- Reul, N.; Chapron, B. A model of sea-foam thickness distribution for passive microwave remote sensing applications. J. Geophys. Res. 2003, 108. [Google Scholar] [CrossRef]
- Reale, F.; Dentale, F.; Carratelli, E.P. Numerical Simulation of Whitecaps and Foam Effects on Satellite Altimeter Response. Remote Sens. 2014, 6, 3681–3692. [Google Scholar] [CrossRef]
- Fenoglio-Marc, L.; Dinardo, S.; Scharro, R.; Lucas, B.; Roland, A.; Dutour Sikiric, M.; Benveniste, J.; Becker, M. Validation of CryoSat-2 in SAR Mode data in the German Bight—Open Ocean. In Proceedings of the OSTST 2014 Meeting “New Frontiers of Altimetry”, Lake Constance, Germany, 28–31 October 2014. [Google Scholar]
- Fenoglio-Marc, L.; Dinardo, S.; Scharoo, R.; Roand, A.; Dutour Sikiric, M.; Lucas, B.; Becker, M.; Benveniste, J.; Weiss, R. The German Bight: A validation of CryoSat-2 altimeter data in SAR mode. Adv. Space Res. 2015, 55, 2641–2656. [Google Scholar] [CrossRef]
- Reale, F.; Dentale, F.; Pugliese Carratelli, E.; Fenoglio-Marc, L. Influence of Sea State on Sea Surface Height Oscillation from Doppler Altimeter Measurements in the North Sea. Remote Sens. 2018, 10, 1100. [Google Scholar] [CrossRef]
- Moreau, T.; Amarouche, L.; Thibaut, P.; Boy, F.; Picot, N. Investigation of swell impact on SAR-mode measurements. In Proceedings of the ESA Living Planet Symposium 2013, Edinburgh, Scotland, 9–13 September 2013. [Google Scholar]
- Moreau, T.; Tran, N.; Aublanc, J.; Tison, C.; Le Gac, S.; Boy, F. Impact of long ocean waves on wave height retrieval from SAR altimetry data. Adv. Space Res. 2018, 62, 1434–1444. [Google Scholar] [CrossRef]
- Moreau, T.; Labroue, S.; Thibaut, P.; Amarouche, L.; Boy, F.; Picot, N. Sensitivity of SAR mode Altimeter to swells: Attempt to explain sub-mesoscale structures (0.1-1km) seen from SAR. In Proceedings of the CryoSat Third User Workshop, Dresden, Germany, 12–14 March 2013. [Google Scholar]
- Reale, F.; Dentale, F.; Fenoglio-Marc, L.; Pugliese Carratelli, E. On the Effect of Wave Vertical Orbital Velocity on Doppler Radar Altimetry. In Proceedings of the 2016 EUMETSAT Meteorological Satellite Conference, Darmstadt, Germany, 26–30 September 2016. [Google Scholar]
- Reale, F.; Dentale, F.; Fenoglio-Marc, L.; Pugliese Carratelli, E.; Buchhaupt, C. Wave vertical orbital velocity effects on Doppler Altimeter waveform and SSH measurement. In Proceedings of the 2016 Ocean Surface Topography Science Team (OSTST) Meeting, La Rochelle, France, 1–4 November 2016. [Google Scholar]
- Reale, F.; Dentale, F.; Di Leo, A.; Pugliese Carratelli, E. Wave Orbital Velocity Effect on Doppler Radar Altimetry for off-Nadir Beams. In Proceedings of the EUMETSAT Meteorological Satellite Conference 2017, Rome, Italy, 2–6 October 2017. [Google Scholar]
- Boisot, O.; Amarouche, L.; Lalaurie, J.-C.; Guérin, C.-A. Dynamical Properties of Sea Surface Microwave Backscatter at Low-Incidence: Correlation Time and Doppler Shift. IEEE Trans. Geosci. Remote Sens. 2016, 54, 7385–7395. [Google Scholar] [CrossRef]
- Buchhaupt, C.; Fenoglio, L.; Kusche, J. An Investigation of the Impact of Vertical Water Particle Motions on Fully-Focused SAR Altimetry. In Proceedings of the 2019 Ocean Surface Topography Science Team Meeting, Chicago, IL, USA, 21–25 October 2019. [Google Scholar]
- Egido, A.; Ray, R. On the Effect of Surface Motion in SAR Altimeter Observations of the Open Ocean. In Proceedings of the 2019 Ocean Surface Topography Science Team Meeting, Chicago, IL, USA, 21–25 October 2019. [Google Scholar]
- Buchhaupt, C. Model Improvement for SAR Altimetry. Ph.D. Thesis, Technischen Universität Darmstadt, Darmstadt, Germany, 27 August 2019. [Google Scholar]
- Halimi, A.; Mailhes, C.; Tourneret, J.-Y.; Boy, F.; Picot, N.; Thibaut, P. An analytical model for Doppler altimetry and its estimation algorithm. In Proceedings of the 2012 Ocean Surface Topography Science Team Meeting, Venice, Italy, 22–29 September 2012. [Google Scholar]
- Halimi, A.; Mailhes, C.; Tourneret, J.-Y.; Thibaut, P.; Boy, F. A Semi-Analytical Model for Delay/Doppler Altimetry and Its Estimation Algorithm. IEEE Trans. Geosci. Remote Sens. 2014, 52, 4248–4258. [Google Scholar] [CrossRef]
- Ray, C.; Martin-Puig, C.; Clarizia, M.P.; Ruffini, G.; Dinardo, S.; Gommenginger, C.; Benveniste, J. SAR Altimeter Backscattered Waveform Model. IEEE Trans. Geosci. Remote Sens. 2015, 53, 911–919. [Google Scholar] [CrossRef]
- Boy, F.; Desjonquères, J.; Picot, N.; Moreau, T.; Raynal, M. CryoSat-2 SAR-Mode Over Oceans: Processing Methods, Global Assessment, and Benefits. IEEE Trans. Geosci. Remote Sens. 2017, 55, 148–158. [Google Scholar] [CrossRef]
- Hasselmann, K.; Raney, R.K.; Plant, W.J.; Alpers, W.; Shuchman, R.A.; Lyzenga, D.R.; Rufenach, C.L.; Tucker, M.J. Theory of synthetic aperture radar ocean imaging: A MARSEN view. J. Geophys. Res. 1985, 90, 4659–4686. [Google Scholar] [CrossRef]
- Pugliese Carratelli, E.; Dentale, F.; Reale, F. Reconstruction of SAR wave image effects through pseudo random simulation. In Proceedings of the Envisat Symposium, Montreux, Switzerland, 23–27 April 2007. European Space Agency, (Special Publication) ESA SP, (SP-636). [Google Scholar]
- Benassai, G.; Migliaccio, M.; Montuori, A. Sea wave numerical simulations with COSMO-SkyMed SAR data. J. Coastal Res. 2013, 65, 660–665. [Google Scholar] [CrossRef]
- Migliaccio, M.; Montuori, A.; Nunziata, F. X-band Azimuth cut-off for wind speed retrieval by means of COSMO-SkyMed SAR data. In Proceedings of the 2012 IEEE/OES Baltic International Symposium (BALTIC), Klaipeda, Lithuania, 8–10 May 2012. [Google Scholar]
- Schlembach, F.; Passaro, M.; Quartly, G.D.; Kurekin, A.; Nencioli, F.; Dodet, G.; Piollé, J.-F.; Ardhuin, F.; Bidlot, J.; Schwatke, C.; et al. Round Robin Assessment of Radar Altimeter Low Resolution Mode and Delay-Doppler Retracking Algorithms for Significant Wave Height. Remote Sens. 2020, 12, 1254. [Google Scholar] [CrossRef]
- Passaro, M.; Cipollini, P.; Vignudelli, S.; Quartly, G.D.; Snaith, H.M. ALES: A multi-mission adaptive subwaveform retracker for coastal and open ocean altimetry. Remote Sens. Environ. 2014, 145, 173–189. [Google Scholar] [CrossRef]
- Huang, Z.; Wang, H.; Luo, Z.; Shum, C.K.; Tseng, K.-H.; Zhong, B. Improving Jason-2 Sea Surface Heights within 10 km Offshore by Retracking Decontaminated Waveforms. Remote Sens. 2017, 9, 1077. [Google Scholar] [CrossRef]












| Parameter | Value |
|---|---|
| Satellite Height h | 700,000 m |
| Satellite Velocity VS | 7000 m/s |
| Electromagnetic Wavelength λ | 0.0221 m |
| Frequency Resolution fres | 312.5 Hz |
| Nominal Space Resolution Δdy | 360.1 m |
| Parameters of the Simulations | Value |
|---|---|
| Size of test area in across-track (X) direction Lx | 6000 m |
| Size of test area in along-track (Y) direction Ly | 1000 m |
| Computational grid along the across-track (X) direction DX | 1 m |
| Computational grid along the track (Y) direction DY | 1 m |
| Resolution of distance between antenna and sea surface | 0.47 m |
| Parameters of the Simulations | Value |
|---|---|
| Size of test area in across-track (X) direction Lx | 6000 m |
| Size of test area in along-track (Y) direction Ly | 6000 m |
| Computational grid along the across-track (X) direction DX | 5 m |
| Computational grid along the track (Y) direction DY | 5 m |
| Resolution of distance between antenna and sea surface | 0.35 m |
| Number of measurements in a second | 20 Hz |
© 2020 by the authors. Licensee MDPI, Basel, Switzerland. This article is an open access article distributed under the terms and conditions of the Creative Commons Attribution (CC BY) license (http://creativecommons.org/licenses/by/4.0/).
Share and Cite
Reale, F.; Pugliese Carratelli, E.; Di Leo, A.; Dentale, F. Wave Orbital Velocity Effects on Radar Doppler Altimeter for Sea Monitoring. J. Mar. Sci. Eng. 2020, 8, 447. https://doi.org/10.3390/jmse8060447
Reale F, Pugliese Carratelli E, Di Leo A, Dentale F. Wave Orbital Velocity Effects on Radar Doppler Altimeter for Sea Monitoring. Journal of Marine Science and Engineering. 2020; 8(6):447. https://doi.org/10.3390/jmse8060447
Chicago/Turabian StyleReale, Ferdinando, Eugenio Pugliese Carratelli, Angela Di Leo, and Fabio Dentale. 2020. "Wave Orbital Velocity Effects on Radar Doppler Altimeter for Sea Monitoring" Journal of Marine Science and Engineering 8, no. 6: 447. https://doi.org/10.3390/jmse8060447
APA StyleReale, F., Pugliese Carratelli, E., Di Leo, A., & Dentale, F. (2020). Wave Orbital Velocity Effects on Radar Doppler Altimeter for Sea Monitoring. Journal of Marine Science and Engineering, 8(6), 447. https://doi.org/10.3390/jmse8060447

