CFD Simulation of Ship Seakeeping Performance and Slamming Loads in Bi-Directional Cross Wave
Abstract
1. Introduction
2. Numerical Model Setup
2.1. Ship Model and Geometry
2.2. Numerical Scheme
2.3. Simulation Conditions
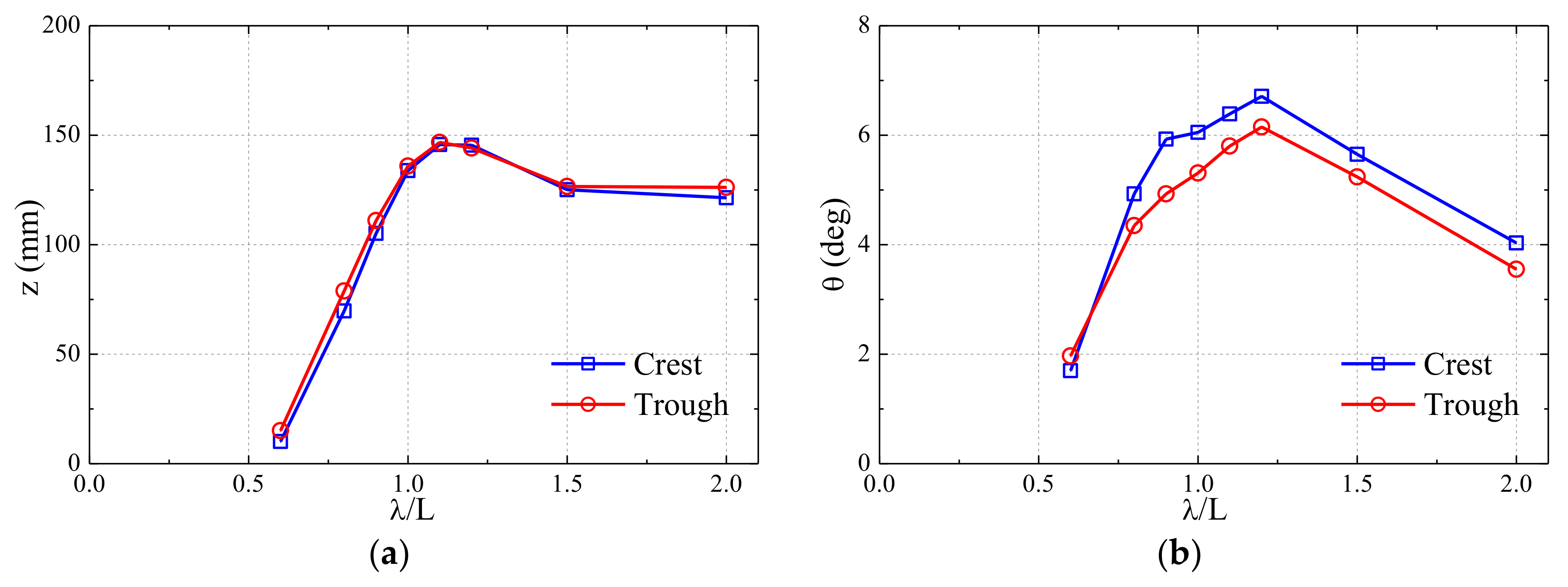
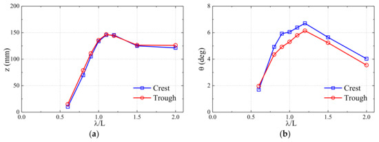
3. Analysis of Cross Waves
4. Analysis of Ship Seakeeping Behavior
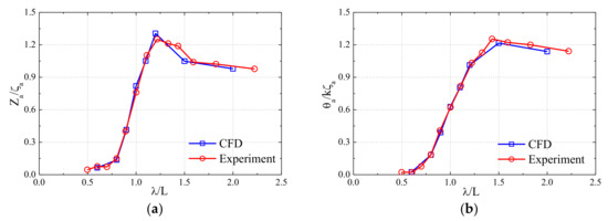
4.1. Validation of the CFD Numerical Model
4.2. Influence of Wave Heading on Ship Motions
4.3. Influence of Wave Length on Ship Motions
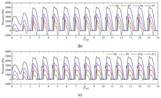
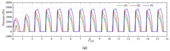
5. Slamming Pressure on Ship Bow Area
6. Conclusions
Author Contributions
Funding
Conflicts of Interest
References
- Zheng, W.T.; Miao, Q.M.; Zhou, D.C.; Kuang, X.F. Difference between motions in 3D and 2D waves. J. Ship Mech. 2009, 13, 184–188. (In Chinese) [Google Scholar]
- Hirdaris, S.E.; Bai, W.; Dessi, D.; Ergin, A.; Gu, X.; Hermundstad, O.A.; Huijsmans, R.; Iijima, K.; Nielsen, U.D.; Parunov, J.; et al. Loads for use in the design of ships and offshore structures. Ocean Eng. 2014, 78, 131–174. [Google Scholar] [CrossRef]
- Song, H.; Tao, L. Short-crested wave interaction with a concentric porous cylindrical structure. Appl. Ocean Res. 2007, 29, 199–209. [Google Scholar] [CrossRef][Green Version]
- Ji, X.; Liu, S.; Bingham, H.B.; Li, J. Multi-directional random wave interaction with an array of cylinders. Ocean Eng. 2015, 110, 62–77. [Google Scholar] [CrossRef]
- Wang, L.Q. The Study of 3D and 3D Random Waves Acting on a Semicircular Breakwater. Ph.D. Thesis, Dalian University of Technology, Dalian, China, 2006. (In Chinese). [Google Scholar]
- Renaud, M.; Rezende, F.; Waals, O.; Chen, X.B.; Dijk, R.V. Second-order wave loads on a LNG carrier in multi-directional waves. In Proceedings of the ASME 27th International Conference on Offshore Mechanics and Arctic Engineering, Estoril, Portugal, 15–20 June 2008; pp. 1–8. [Google Scholar]
- Chen, J.P.; Wei, J.F.; Zhu, D.X. Numerical simulations of ship motions in long-crested and short-crested irregular waves by a 3D time domain method. Chin. J. Hydrodyn. 2011, 26, 589–596. (In Chinese) [Google Scholar]
- Jiao, J.; Chen, C.; Ren, H. A comprehensive study on ship motion and load responses in short-crested irregular waves. Int. J. Nav. Archit. Ocean Eng. 2019, 11, 364–379. [Google Scholar] [CrossRef]
- ITTC. The Seakeeping Committee, Final report and recommendations to the 26th ITTC. In Proceedings of the 26th ITTC, Vol. I, Rio de Janeiro, Brazil, 28 August–3 September 2011. [Google Scholar]
- ITTC. The Seakeeping Committee, Final report and recommendations to the 27th ITTC. In Proceedings of the 27th ITTC, Vol. I, Copenhagen, Denmark, 31 August–5 September 2014. [Google Scholar]
- ITTC. The Seakeeping Committee, Final Report and Recommendations to the 28th ITTC. In Proceedings of the 28th ITTC, Vol. I, Wuxi, China, 18–22 September 2017. [Google Scholar]
- Hashimoto, H.; Yoneda, S.; Omura, T.; Umeda, N.; Matsuda, A.; Stern, F.; Tahara, Y. CFD prediction of wave-induced forces on ships running in irregular stern quartering seas. Ocean Eng. 2020, 239, 106277. [Google Scholar] [CrossRef]
- Guo, B.J.; Steen, S.; Deng, G.B. Seakeeping prediction of KVLCC2 in head waves with RANS. Appl. Ocean Res. 2012, 35, 56–67. [Google Scholar] [CrossRef]
- Chen, S.; Hino, T.; Ma, N.; Gu, X. RANS investigation of influence of wave steepness on ship motions and added resistance in regular waves. J. Mar. Sci. Technol. 2018, 23, 991–1003. [Google Scholar] [CrossRef]
- Wang, W.; Bihs, H.; Kamath, A.; Arntsen, Ø.A. Multi-directional irregular wave modelling with CFD. Lecture Notes Civil Eng. 2019, 22, 521–529. [Google Scholar]
- Cao, H.J.; Wan, D.C. Development of multidirectional nonlinear numerical wave tank by Naoe-FOAM-SJTU solver. Int. J. Ocean Syst. Eng. 2014, 4, 49–56. [Google Scholar] [CrossRef]
- Wang, W.; Kamath, A.; Bihs, H. CFD simulations of multi-directional irregular wave interaction with a large cylinder. In Proceedings of the 37th International Conference on Ocean, Offshore and Arctic Engineering (OMAE), Madrid, Spain, 17–22 June 2018. [Google Scholar]
- Tezdogan, T.; Incecik, A.; Turan, O. Full-scale unsteady RANS simulations of vertical ship motions in shallow water. Ocean Eng. 2016, 123, 131–145. [Google Scholar] [CrossRef]
- Pereira, F.S.; Eça, L.; Vaz, G. Verification and Validation exercises for the flow around the KVLCC2 tanker at model and full-scale Reynolds numbers. Ocean Eng. 2017, 129, 133–148. [Google Scholar] [CrossRef]
- CD-adapco. User Guide STAR-CCM+ Version 14.02; CD-adapco: Melville, NY, USA, 2019. [Google Scholar]
- Li, D.Q.; Li, G.H.; Dai, J.J.; Zhang, Y.L.; Li, P. Numerical prediction of the added resistance and motions of ship in head waves based on overset mesh method. Ship Sci. Technol. 2018, 40, 13–20. (In Chinese) [Google Scholar]
- Huang, S.X.; Jiao, J.L.; Chen, C.H. Comparative study on ship motions in uni- and bi-directional waves by CFD. In Proceedings of the 30th International Ocean and Polar Engineering Conference (ISOPE-2020), Shanghai, China, 12–16 October 2020. [Google Scholar]
- Fonseca, N.; Guedes Soares, C. Experimental investigation of the nonlinear effects on the vertical motions and loads of a containership in regular waves. J. Ship Res. 2004, 48, 118–147. [Google Scholar]
- Jiao, J.L.; Huang, S.X.; Chen, C.H. Numerical investigation of ship motions in cross waves using CFD. Appl. Ocean Res. 2020. (Under Review). [Google Scholar]

































| Item | Full-Scale | Model |
|---|---|---|
| Scale | 1:1 | 1:40 |
| Length between perpendiculars (L) | 175 m | 4.375 m |
| Breadth (B) | 25.4 m | 0.635 m |
| Depth (D) | 19.5 m | 0.488 m |
| Draft (T) | 9.5 m | 0.238 m |
| Displacement (Δ) | 23,711 t | 370 kg |
| Block coefficient (CB) | 0.562 | 0.562 |
| Midship section coefficient (CM) | 0.990 | 0.990 |
| Prismatic coefficient (CP) | 0.568 | 0.568 |
| Longitudinal centre of gravity (LCG) from after perpendicular | 84.980 m | 2.125 m |
| Vertical centre of gravity (KG) from base line | 8.5 m | 0.213 m |
| Transverse radius of gyration | 9.652 m | 0.241 m |
| Longitudinal radius of gyration | 42.073 m | 1.052 m |
| Case ID | Wave Heading, β1/β2 (°) | Resultant Wave Heading β (°) | Wave length, λ/L | Wave Height, H (mm) | Phase Difference, ε (rad) | Ship Speed, Fn |
|---|---|---|---|---|---|---|
| 1−8 | 45/315 | 0 | 0.6, 0.8, 0.9, 1.0, 1.1, 1.2, 1.5, 2.0 | 120 | 0 | 0.25 |
| 9 | 0/90 | 45 | 1.0 | 120 | 0 | 0.25 |
| 10 | 45/135 | 90 | 1.0 | 120 | 0 | 0.25 |
| 11 | 90/180 | 135 | 1.0 | 120 | 0 | 0.25 |
| 12 | 135/225 | 180 | 1.0 | 120 | 0 | 0.25 |
| Wave Heading (°) | Peak Frequency (Hz) | Encounter Frequency (Hz) | Difference |
|---|---|---|---|
| 0 | 0.985 | 0.971 | 1.44% |
| 45/315 | 0.875 | 0.862 | 1.51% |
| 90 | 0.611 | 0.597 | 2.35% |
| 135/225 | 0.317 | 0.333 | 4.80% |
| 180 | 0.236 | 0.223 | 5.83% |
| Sensor ID | P1 | P2 | P3 | P4 | P5 | P6 | P7 | P8 | P9 | P10 | P11 | |
|---|---|---|---|---|---|---|---|---|---|---|---|---|
| Symmetric case 0° (45°/315°) | Port | 4.40 | 4.49 | 4.75 | 2.41 | 2.92 | 3.68 | 5.17 | 2.18 | 3.03 | 3.65 | 4.94 |
| Starboard | 2.39 | 2.91 | 3.67 | 2.16 | 3.03 | 3.64 | ||||||
| Asymmetric case 45° (0°/90°) | Port | 2.72 | 3.18 | 3.42 | 1.51 | 1.84 | 2.56 | 3.89 | 1.42 | 1.97 | 2.56 | 3.79 |
| Starboard | 1.71 | 1.74 | 2.49 | 1.71 | 2.07 | 2.71 | ||||||
© 2020 by the authors. Licensee MDPI, Basel, Switzerland. This article is an open access article distributed under the terms and conditions of the Creative Commons Attribution (CC BY) license (http://creativecommons.org/licenses/by/4.0/).
Share and Cite
Jiao, J.; Huang, S. CFD Simulation of Ship Seakeeping Performance and Slamming Loads in Bi-Directional Cross Wave. J. Mar. Sci. Eng. 2020, 8, 312. https://doi.org/10.3390/jmse8050312
Jiao J, Huang S. CFD Simulation of Ship Seakeeping Performance and Slamming Loads in Bi-Directional Cross Wave. Journal of Marine Science and Engineering. 2020; 8(5):312. https://doi.org/10.3390/jmse8050312
Chicago/Turabian StyleJiao, Jialong, and Songxing Huang. 2020. "CFD Simulation of Ship Seakeeping Performance and Slamming Loads in Bi-Directional Cross Wave" Journal of Marine Science and Engineering 8, no. 5: 312. https://doi.org/10.3390/jmse8050312
APA StyleJiao, J., & Huang, S. (2020). CFD Simulation of Ship Seakeeping Performance and Slamming Loads in Bi-Directional Cross Wave. Journal of Marine Science and Engineering, 8(5), 312. https://doi.org/10.3390/jmse8050312

