Levels of Diatom Minor Sterols Respond to Changes in Temperature and Salinity
Abstract
1. Introduction
2. Results
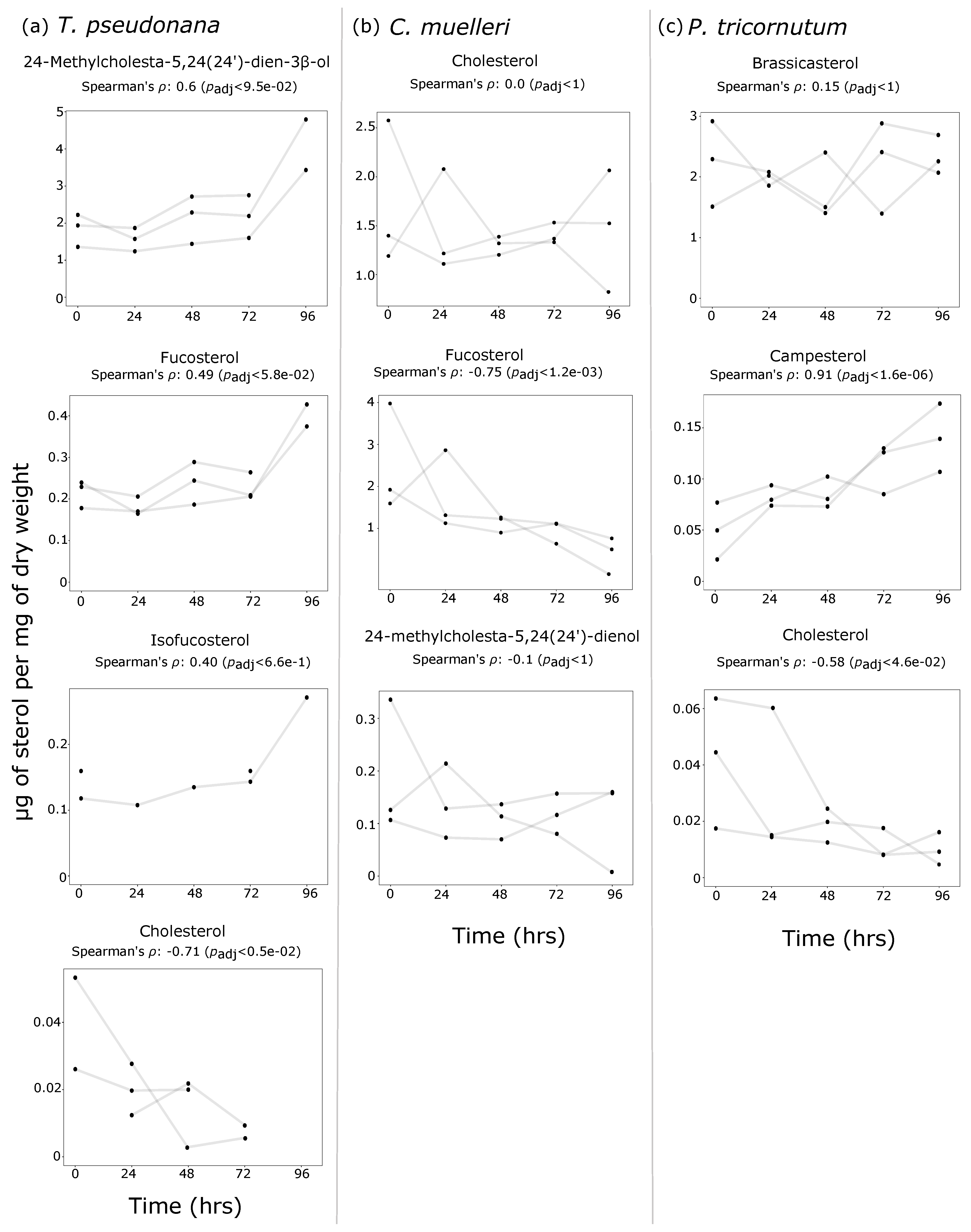
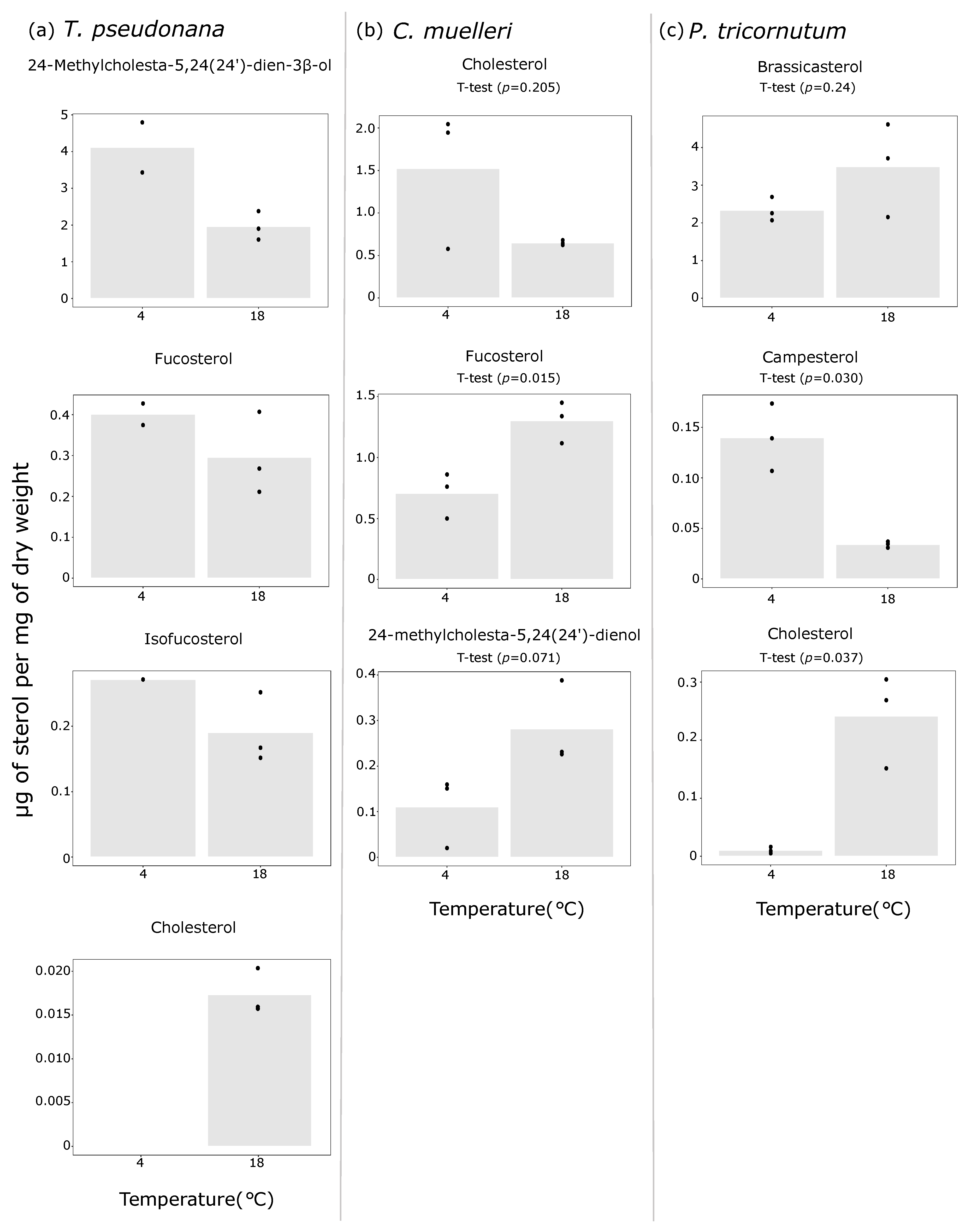
2.1. A Shift to Cold Temperature (4 °C) Caused Species-Specific Growth Effects and Changes in Minor Sterols
2.2. Species-Specific Tolerance to Different Salinities
2.3. Salinity Affects the Relative Contents of Non-Principal Sterols in Diatoms
3. Discussion
3.1. The Composition of Sterol Types in Different Diatoms Is Not Simply Explained by Clade or Environment
3.2. P. tricornutum Thrives and Shifts Its Sterol Content at a Reduced Temperature
3.3. Minor Sterols Respond to Changes in Salinity and Temperature
4. Materials and Methods
4.1. Diatom Species
4.2. L1 Medium Composition
4.3. Growth and Harvesting of Diatoms
4.4. Reduced Temperature Experiments
4.5. Assay for Salinity Tolerances of Diatom Species
4.6. Cultivation at Altered Salinities
4.7. Extraction and Analysis of Sterols by GC–MS
4.8. Statistical Analysis
5. Conclusions
Author Contributions
Funding
Acknowledgments
Conflicts of Interest
References
- Volkman, J.K. Sterols and other triterpenoids: Source specificity and evolution of biosynthetic pathways. Org. Geochem. 2005, 36, 139–159. [Google Scholar] [CrossRef]
- Dufourc, E.J. Sterols and membrane dynamics. J. Chem. Biol. 2008, 1, 63–77. [Google Scholar] [CrossRef] [PubMed]
- Gold, D.A.; Caron, A.; Fournier, G.P.; Summons, R.E. Paleoproterozoic sterol biosynthesis and the rise of oxygen. Nature 2017, 543, 420–423. [Google Scholar] [CrossRef] [PubMed]
- Ras, R.T.; Geleijnse, J.M.; Trautwein, E.A. LDL-cholesterol-lowering effect of plant sterols and stanols across different dose ranges: A meta-analysis of randomised controlled studies. Br. J. Nutr. 2014, 112, 214–219. [Google Scholar] [CrossRef]
- Aldini, R.; Micucci, M.; Cevenini, M.; Fato, R.; Bergamini, C.; Nanni, C.; Cont, M.; Camborata, C.; Spinozzi, S.; Montagnani, M.; et al. Antiinflammatory effect of phytosterols in experimental murine colitis model: prevention, induction, remission study. PLoS ONE 2014, 9, e108112. [Google Scholar] [CrossRef]
- Wang, J.; Huang, M.; Yang, J.; Ma, X.; Zheng, S.; Deng, S.; Huang, Y.; Yang, X. Anti-diabetic activity of stigmasterol from soybean oil by targeting the GLUT4 glucose transporter. Food Nutr. Res. 2017, 61, 1–13. [Google Scholar] [CrossRef]
- Lin, Y.; Knol, D.; Trautwein, E.A. Phytosterol oxidation products (POP) in foods with added phytosterols and estimation of their daily intake: A literature review. Eur. J. Lipid Sci. Technol. 2016, 118, 1423–1438. [Google Scholar] [CrossRef]
- Zampelas, A. From the Maastricht meeting to the European Atherosclerosis Society Consensus on phytosterols/phytostanols: What is new of an old story? Atherosclerosis 2014, 233, 357–358. [Google Scholar] [CrossRef]
- Valitova, J.N.; Sulkarnayeva, A.G.; Minibayeva, F.V. Plant sterols: Diversity, biosynthesis, and physiological functions. Biochemistry 2016, 81, 819–834. [Google Scholar] [CrossRef]
- Desmond, E.; Gribaldo, S. Phylogenomics of sterol synthesis: insights into the origin, evolution, and diversity of a key eukaryotic feature. Genome Biol. Evol. 2009, 1, 364–381. [Google Scholar] [CrossRef]
- Hannich, J.T.; Umebayashi, K.; Riezman, H. Distribution and Functions of Sterols and Sphingolipids. CSH Perspect. 2011, 3, 1–14. [Google Scholar] [CrossRef] [PubMed]
- Rampen, S.W.; Abbas, B.A.; Schouten, S.; Damste, J.S.S. A comprehensive study of sterols in marine diatoms (Bacillariophyta): Implications for their use as tracers for diatom productivity. Limnol. Oceanogr. 2010, 55, 91–105. [Google Scholar] [CrossRef]
- Benoiston, A.-S.; Ibarbalz, F.M.; Bittner, L.; Guidi, L.; Jahn, O.; Dutkiewicz, S.; Bowler, C. The evolution of diatoms and their biogeochemical functions. Philos. Trans. R. Soc. B Biol. Sci. 2017, 372, 1728. [Google Scholar] [CrossRef] [PubMed]
- Armbrust, E.V. The life of diatoms in the world’s oceans. Nature 2009, 459, 185–192. [Google Scholar] [CrossRef]
- Jaramillo-Madrid, A.C.; Ashworth, J.; Fabris, M.; Ralph, P.J. Phytosterol biosynthesis and production by diatoms (Bacillariophyceae). Phytochemistry 2019, 163, 46–57. [Google Scholar] [CrossRef]
- Ahmed, F.; Zhou, W.; Schenk, P.M. Pavlova lutheri is a high-level producer of phytosterols. Algal Res. 2015, 10, 210–217. [Google Scholar] [CrossRef]
- Breteler, W.C.M.K.; Schogt, N.; Rampen, S. Effect of diatom nutrient limitation on copepod development: Role of essential lipids. Mar. Ecol. Prog. Ser. 2005, 291, 125–133. [Google Scholar] [CrossRef]
- Piepho, M.; Martin-Creuzburg, D.; Wacker, A. Phytoplankton sterol contents vary with temperature, phosphorus and silicate supply: A study on three freshwater species. Eur. J. Phycol. 2012, 47, 138–145. [Google Scholar] [CrossRef]
- Gallo, C.; Ippolito, G.; Nuzzo, G.; Sardo, A.; Fontana, A. Autoinhibitory sterol sulfates mediate programmed cell death in a bloom-forming marine diatom. Nat. Commun. 2017, 8, 1–11. [Google Scholar] [CrossRef]
- Giner, J.L.; Wikfors, G.H. “Dinoflagellate Sterols” in marine diatoms. Phytochemistry 2011, 72, 1896–1901. [Google Scholar] [CrossRef]
- Vrieling, E.G.; Sun, Q.; Tian, M.; Kooyman, P.J.; Gieskes, W.W.C.; Van Santen, R.A.; Sommerdijk, N.A.J.M. Salinity-dependent diatom biosilicification implies an important role of external ionic strength. Proc. Natl. Acad. Sci. USA 2007, 104, 10441–10446. [Google Scholar] [CrossRef]
- Medlin, L.K.; Kaczmarska, I. Evolution of the diatoms: V. Morphological and cytological support for the major clades and a taxonomic revision. Phycologia 2004, 43, 245–270. [Google Scholar] [CrossRef]
- Andersen, R.A.; Morton, S.L.; Sexton, J.P. Provasoli-Guillard National Center for Culture of Marine Phytoplankton 1997 list of strains. J. Phycol. 1997, 33, 1–75. [Google Scholar] [CrossRef]
- Pollier, J.; Vancaester, E.; Kuzhiumparambil, U.; Vickers, C.; Vandepoele, K.; Goossens, A.; Fabris, M. A widespread alternative squalene epoxidase participates in eukaryote steroid biosynthesis. Nat. Microbiol. 2019, 4, 226. [Google Scholar] [CrossRef] [PubMed]
- Veron, B.; Billard, C.; Dauguet, J.C.; Hartmann, M.A. Sterol composition of phaeodactylum tricornutum as influenced by growth temperature and light spectral quality. Lipids 1996, 31, 989–994. [Google Scholar] [CrossRef] [PubMed]
- Veron, B.; Dauguet, J.; Billard, C. Sterolic biomarkers in marine phytoplankton. II. Free and conjucated sterols of seven species used in mariculture. J. Phycol. 1998, 34, 273–279. [Google Scholar] [CrossRef]
- Beck, J.G.; Mathieu, D.; Loudet, C.; Buchoux, S.; Dufourc, E.J. Plant sterols in “rafts”: A better way to regulate membrane thermal shocks. FASEB J. 2007, 21, 1714–1723. [Google Scholar] [CrossRef]
- Guillard, R.R.L.; Hargraves, P.E. Stichochrysis immobilis is a diatom, not a chrysophyte. Phycologia 1993, 32, 234–236. [Google Scholar] [CrossRef]
- Alverson, A.J.; Beszteri, B.; Julius, M.L.; Theriot, E.C. The model marine diatom Thalassiosira pseudonana likely descended from a freshwater ancestor in the genus Cyclotella. BMC Evol. Biol. 2011, 11, 125. [Google Scholar] [CrossRef]
- Liang, Y.; Sun, M.; Tian, C.; Cao, C.; Li, Z. Effects of salinity stress on the growth and chlorophyll fluorescence of Phaeodactylum tricornutum and Chaetoceros gracilis (Bacillariophyceae). Bot. Mar. 2014, 57, 469–476. [Google Scholar] [CrossRef]
- Balzano, S.; Sarno, D.; Kooistra, W.H.C.F. Effects of salinity on the growth rate and morphology of ten Skeletonema strains. J. Plankton Res. 2011, 33, 937–945. [Google Scholar] [CrossRef]
- Tokushima, H.; Kashino, N.I.; Nakazato, Y.; Masuda, A.; Ifuku, K. Biotechnology for Biofuels Advantageous characteristics of the diatom Chaetoceros gracilis as a sustainable biofuel producer. Biotechnol. Biofuels 2016, 9, 1–19. [Google Scholar] [CrossRef] [PubMed]
- Luo, X.; Su, P.; Zhang, W. Advances in microalgae-derived phytosterols for functional food and pharmaceutical applications. Mar. Drugs 2015, 13, 4231–4254. [Google Scholar] [CrossRef] [PubMed]
- Jiang, H.; Gao, K. Effects of lowering temperature during culture on the production of polyunsaturated fatty acids in the marine diatom Phaeodactylum tricornutum (Bacillariophyceae). J. Phycol. 2004, 40, 651–654. [Google Scholar] [CrossRef]
- Dodson, V.J.; Mouget, J.; Dahmen, J.L.; Leblond, J.D. The long and short of it: temperature-dependent modifications of fatty acid chain length and unsaturation in the galactolipid profiles of the diatoms Haslea ostrearia and Phaeodactylum tricornutum. Hydrobiologia 2014, 727, 95–107. [Google Scholar] [CrossRef]
- Cheng, R.; Feng, J.; Zhang, B.; Huang, Y. Transcriptome and gene expression analysis of an oleaginous diatom under different salinity conditions. Bioenergy Res. 2014, 7, 192–205. [Google Scholar] [CrossRef]
- Delgado-Vargas, F.; Jiménez, A.R.; Paredes-López, O. Natural pigments: Carotenoids, anthocyanins, and betalains—Characteristics, biosynthesis, processing, and stability. Crit. Rev. Food Sci. Nutr. 2000, 40, 173–289. [Google Scholar] [CrossRef]
- Ayache, N.; Hervé, F.; Lundholm, N.; Amzil, Z.; Caruana, A.M.N. Acclimation of the marine diatom Pseudo-nitzschia australis to different salinity conditions: Effects on growth, photosynthetic activity and domoic acid content. J. Phycol. 2019. [Google Scholar] [CrossRef]
- Spilling, K.; Seppälä, J. Measurement of Fluorescence for Monitoring Algal Growth and Health. In Biofuels from Algae—Methods in Molecular Biology; Springer: New York, NY, USA, 2017. [Google Scholar]
- R Core Team. R: A Language and Environment for Statistical Computing; R Foundation for Statistical Computing: Vienna, Austria, 2016; Available online: https://www.R-project.org/ (accessed on 1 February 2020).
- Zelazny, A.M.; Shaish, A.; Pick, U. Plasma membrane sterols are essential for sensing osmotic changes in the halotolerant alga dunaliella. Plant Physiol. 1992, 1395–1403. [Google Scholar] [CrossRef]
- Harding, T.; Roger, A.J.; Simpson, A.G.B. Adaptations to high salt in a halophilic protist: Differential expression and gene acquisitions through duplications and gene transfers. Front. Microbiol. 2017, 8, 944. [Google Scholar] [CrossRef]







© 2020 by the authors. Licensee MDPI, Basel, Switzerland. This article is an open access article distributed under the terms and conditions of the Creative Commons Attribution (CC BY) license (http://creativecommons.org/licenses/by/4.0/).
Share and Cite
Jaramillo-Madrid, A.C.; Ashworth, J.; Ralph, P.J. Levels of Diatom Minor Sterols Respond to Changes in Temperature and Salinity. J. Mar. Sci. Eng. 2020, 8, 85. https://doi.org/10.3390/jmse8020085
Jaramillo-Madrid AC, Ashworth J, Ralph PJ. Levels of Diatom Minor Sterols Respond to Changes in Temperature and Salinity. Journal of Marine Science and Engineering. 2020; 8(2):85. https://doi.org/10.3390/jmse8020085
Chicago/Turabian StyleJaramillo-Madrid, Ana Cristina, Justin Ashworth, and Peter J. Ralph. 2020. "Levels of Diatom Minor Sterols Respond to Changes in Temperature and Salinity" Journal of Marine Science and Engineering 8, no. 2: 85. https://doi.org/10.3390/jmse8020085
APA StyleJaramillo-Madrid, A. C., Ashworth, J., & Ralph, P. J. (2020). Levels of Diatom Minor Sterols Respond to Changes in Temperature and Salinity. Journal of Marine Science and Engineering, 8(2), 85. https://doi.org/10.3390/jmse8020085

