Two-Dimensional Modelling of a Quayside Floating System
Abstract
1. Introduction
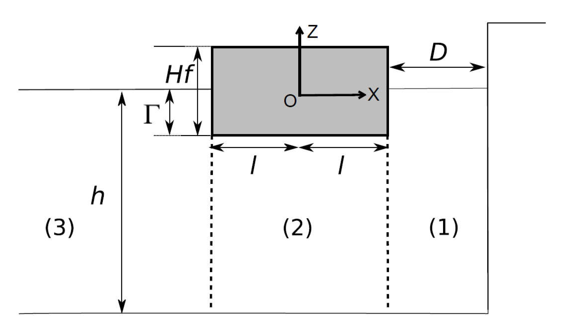
2. Analytical Model
2.1. Floater Motion
2.2. Eigenfunction Matching Method
2.2.1. Expressions of the Diffracted Wave Potential
2.2.2. Expressions of the Radiated Wave Potential
3. Numerical Model
3.1. Convergence Study
3.2. Hydrodynamic Coefficients Calculation
4. Experimental Conditions
5. Results and Comparison of the Three Models
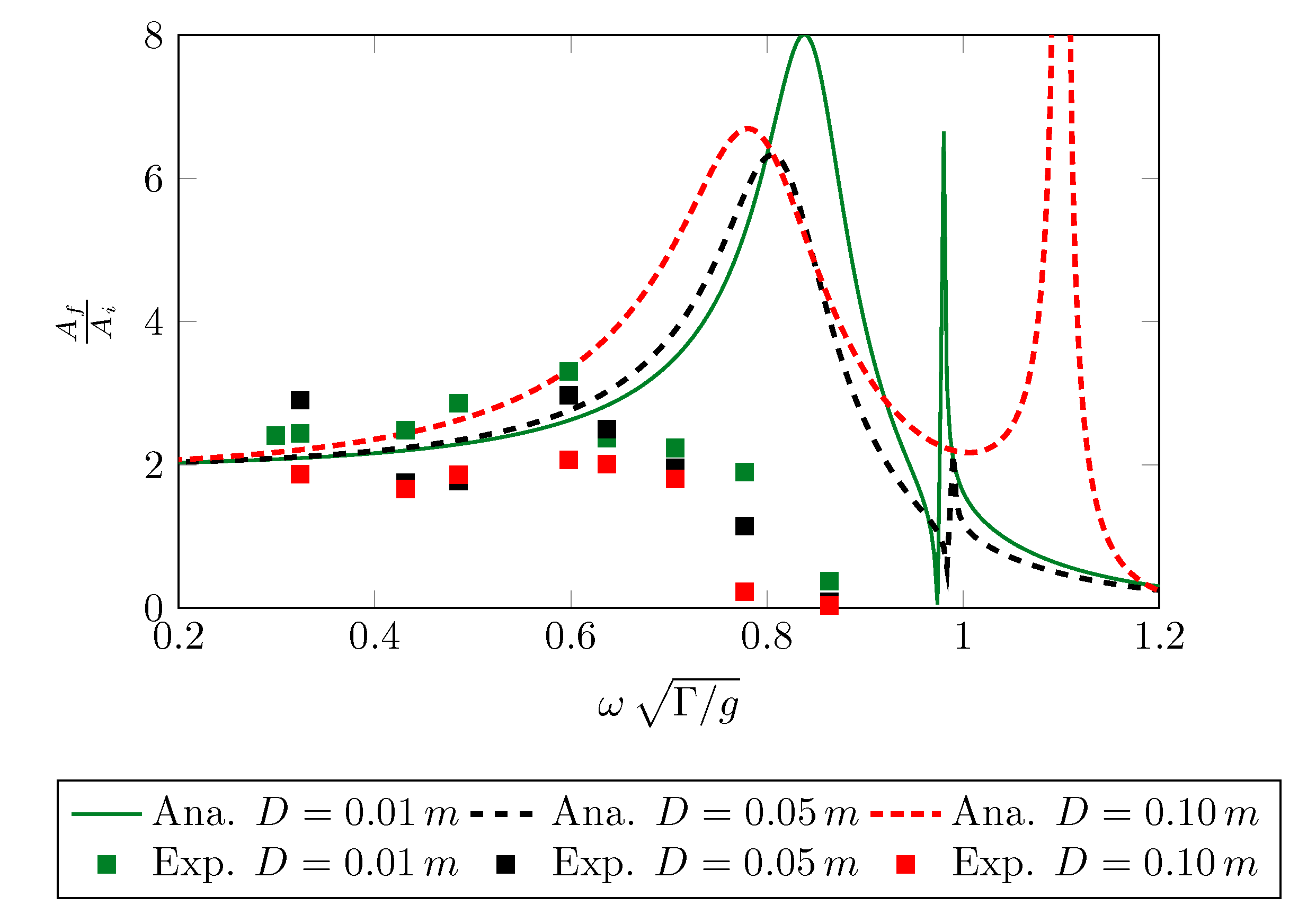
5.1. Impact of the Dike
5.2. Impact of the Water Depth and Draft
5.3. Impact of the Incident WAVE Amplitude
6. Conclusions
Author Contributions
Funding
Acknowledgments
Conflicts of Interest
References
- Falcão, A.F.d.O. Wave energy utilization: A review of the technologies. Renew. Sustain. Energy Rev. 2010, 14, 899–918. [Google Scholar] [CrossRef]
- Falnes, J. A review of wave-energy extraction. Mar. Struct. 2007, 20, 185–201. [Google Scholar] [CrossRef]
- Folley, M.; Whittaker, T. Analysis of the nearshore wave energy resource. Renew. Energy 2009, 34, 1709–1715. [Google Scholar] [CrossRef]
- Whittaker, T.; Folley, M. Nearshore oscillating wave surge converters and the development of Oyster. Philos. Trans. R. Soc. Math. Phys. Eng. Sci. 2012, 370, 345–364. [Google Scholar] [CrossRef] [PubMed]
- Elchahal, G.; Younes, R.; Lafon, P. The effects of reflection coefficient of the harbour sidewall on the performance of floating breakwaters. Ocean Eng. 2008, 35, 1102–1112. [Google Scholar] [CrossRef]
- McIver, P.; Evans, D. An approximate theory for the performance of a number of wave-energy devices set into a reflecting wall. Appl. Ocean Res. 1988, 10, 58–65. [Google Scholar] [CrossRef]
- Day, A.; Babarit, A.; Fontaine, A.; He, Y.P.; Kraskowski, M.; Murai, M. Hydrodynamic modelling of marine renewable energy devices: A state of the art review. Ocean Eng. 2015, 108, 46–69. [Google Scholar] [CrossRef]
- Luo, Y.; Wang, Z.; Peng, G.; Xiao, Y.; Zhai, L.; Liu, X.; Zhang, Q. Numerical simulation of a heave-only floating OWC (oscillating water column) device. Energy 2014, 76, 799–806. [Google Scholar] [CrossRef]
- Folley, M. Numerical Modelling of Wave Energy Converters: State of the Art Techniques for Single Devices and Arrays; Academic Press/Elsevier: London, UK, 2016; p. 287. [Google Scholar]
- Andersen, P.; Wuzhou, H. On the calculation of two-dimensional added mass and damping coefficients by simple Green’s function technique. Ocean Eng. 1985, 12, 425–451. [Google Scholar] [CrossRef]
- Drimer, N.; Agnon, Y.; Stiassnie, M. A simplified analytical model for a floating breakwater in water of finite depth. Appl. Ocean Res. 1992, 14, 33–41. [Google Scholar] [CrossRef]
- Berggren, L.; Johansson, M. Hydrodynamic coefficients of a wave energy device consisting of a buoy and a submerged plate. Appl. Ocean Res. 1992, 14, 51–58. [Google Scholar] [CrossRef]
- Drobyshevski, Y. Hydrodynamic coefficients of a two-dimensional, truncated rectangular floating structure in shallow water. Ocean Eng. 2004, 31, 305–341. [Google Scholar] [CrossRef]
- Zheng, Y.; You, Y.; Shen, Y. On the radiation and diffraction of water waves by a rectangular buoy. Ocean Eng. 2004, 31, 1063–1082. [Google Scholar] [CrossRef]
- Zheng, Y.; Shen, Y.; You, Y.; Wu, B.; Jie, D. On the radiation and diffraction of water waves by a rectangular structure with a sidewall. Ocean Eng. 2004, 31, 2087–2104. [Google Scholar] [CrossRef]
- Zhang, H.S.; Zhou, H.W. Wave radiation and diffraction by a two-dimensional floating body with an opening near a side wall. China Ocean Eng. 2013, 27, 437–450. [Google Scholar] [CrossRef]
- Penalba, M.; Kelly, T.; Ringwood, J. Using NEMOH for Modelling Wave Energy Converters: A Comparative Study with WAMIT. In Proceedings of the 12th European Wave and Tidal Energy Conference, Cork, Ireland, 27 August–1 September 2017. [Google Scholar]
- Babarit, A.; Delhommeau, G. Theoretical and numerical aspects of the open source BEM solver NEMOH. In Proceedings of the 11th European Wave and Tidal Energy Conference, Nantes, France, 6–11 September 2015. [Google Scholar]
- Roessling, A.; Ringwood, J. Finite order approximations to radiation forces for wave energy applications. In Renewable Energies Offshore; Soares, G., Ed.; Taylor & Francis Group: London, UK, 2015; pp. 359–366. [Google Scholar]
- Bhattacharjee, J.; Soares, C.G. Wave interaction with a floating rectangular box near a vertical wall with step type bottom topography. J. Hydrodyn. 2010, 22, 91–96. [Google Scholar] [CrossRef]
- Bhattacharjee, J.; Soares, C.G. Oblique wave interaction with a floating structure near a wall with stepped bottom. Ocean Eng. 2011, 38, 1528–1544. [Google Scholar] [CrossRef]
- Bonfiglio, L.; Brizzolara, S.; Chryssostomidis, C. Added Mass and Damping of Oscillating Bodies: A Fully Viscous Numerical Approach. In Proceedings of the 9th International conference on Fluids mechanics, Mass Transfer and Biology, Cambridge, MA, USA, 25–27 January 2012. [Google Scholar]
- Henning, H.L. A Numerical Investigation into the Heave, Sway and Roll Motions of Typical Ship Like Hull Sections Using RANS Numerical Methods. Master’s Thesis, Stellenbosch University, Stellenbosch, South Africa, 2011; p. 152. [Google Scholar]
- Bhinder, M.A.; Babarit, A.; Gentaz, L.; Ferrant, P. Potential time domain model with viscous correction and CFD analysis of a generic surging floating wave energy converter. Int. J. Mar. Energy 2015, 10, 70–96. [Google Scholar] [CrossRef]
- Borgarino, B.; Babarit, A.; Ferrant, P. Implementing a Fast Multipole Algorithm into the diffraction/radiation software Aquaplus. La Houille Blanche 2011, 4, 13–18. [Google Scholar] [CrossRef]
- Koo, W.; Kim, J.D. Simplified formulas of heave added mass coefficients at high frequency for various two-dimensional bodies in a finite water depth. Int. J. Nav. Archit. Ocean Eng. 2015, 7, 115–127. [Google Scholar] [CrossRef]
- Michard, B.; Cosquer, E.; Mallégol, A.; Coignard, J.; Amis, G.; Filipot, J.F.; Kpogo-Nuwoklo, K.A.; Olagnon, M.; Ropert, F.; Sergent, P. EMACOP project: Characterising the wave energy resources of hot spots in Brittany for on-shore WEC. In Proceedings of the 11th European Wave and Tidal Energy Conference, Nantes, France, 6–11 September 2015. [Google Scholar]
- Pecher, A.; Kofoed, J.P.A. Handbook of Ocean Wave Energy. In Ocean Engineering and Oceanography 7; Manhar, R.D., Xiros, N.I., Eds.; Springer: Aalborg, Denmark, 2017; p. 305. [Google Scholar]
- Haskind, M. The exciting forces and wetting of ships. Izv. Akad. Nauk. Sssr Otd. Tekhnicheskikh Nauk 1957, 7, 65–79. [Google Scholar]
- Newman, J.N. The exciting forces on fixed bodies in waves: English translation of Haskind’s paper. J. Ship Res. 1962, 6, 10–17. [Google Scholar]
- Yang, F.L.; Wu, C.T.; Young, D.L. On the Calculation of Two-Dimensional Added Mass Coefficients by the Taylor Theorem and the Method of Fundamental Solutions. J. Mech. 2012, 28, 107–112. [Google Scholar] [CrossRef]
- Saad, Y.; Schultz, M.H. GMRES: A generalized minimal residual algorithm for solving nonsymmetric linear systems. J. Sci. Stat. Comput. 1986, 7, 856–869. [Google Scholar] [CrossRef]
- Patankar, S.V. Numerical heat transfer and fluid flow. In Series in Computational and Physical Processes in Mechanics and Thermal Sciences; Minkowycz, V.J., Sparrow, E.M., Eds.; Hemisphere Publishing Corporation: New York, NY, USA, 1980; p. 197. [Google Scholar]
- Goda, Y.; Suzuki, Y. Estimation of incident and reflected waves in random wave experiments. In Proceedings of the 15th International Conference on Coastal Engineering, Honolulu, HI, USA, 11–17 July 1976. [Google Scholar]
- Celik, I.B.; Ghia, U.; Roache, P.J. Procedure for estimation and reporting of uncertainty due to discretization in CFD applications. J. Fluids Eng. 2008, 130, 1–4. [Google Scholar]
- Cozijn, H.; Uittenbogaard, R.; Brake, E.T. Heave, roll and pitch damping of a deepwater CALM buoy with a skirt. In Proceedings of the 15th International Offshore and Polar Engineering Conference, Seoul, Korea, 19–24 June 2005. [Google Scholar]
- Mansard, E.P.D.; Funke, E.R. The Measurement of Incident and Reflected Spectra Using a Least Squares Method. In Proceedings of the 17th International Conference on Coastal Engineering, Sydney, Australia, 29 January 1980. [Google Scholar]
- Molin, B. On the piston and sloshing modes in moonpools. J. Fluid Mech. 2001, 430, 27–50. [Google Scholar] [CrossRef]











| Mesh 1 | Mesh 2 | Mesh 3 | |
|---|---|---|---|
| Zone 2: x | 1.75 × 10−3 | 3.50 × 10−3 | 7.00 × 10−3 |
| Zone 2: z | 7.50 × 10−3 | 1.50 × 10−2 | 3.00 × 10−2 |
| Zone 3: x | 1.00 × 10−2 | 2.00 × 10−2 | 4.00 × 10−2 |
| Zone 3: z | 1.50 × 10−3 | 3.00 × 10−3 | 6.00 × 10−3 |
| CFL Zone 2: | 0.023 | 0.012 | 0.006 |
| CFL Zone 3: | 3.47 | 1.74 | 0.86 |
| Floater | (m) | (m) | (m) | D (m) | (rad/s) | h (m) | (m) |
|---|---|---|---|---|---|---|---|
| 1 | 0.05 | 0.20 | 0.10 | 0.01 | 0.65, 0.77, 0.90, 1.03, 1.16, 1.42, 1.58, 1.68, 2.07, 2.32, 3.10 | 0.2, 0.4, 0.6 | 0.025, 0.042, 0.059 |
| 2 | 0.10 | 0.25 | 0.10 | 0.01 | 0.65, 0.87, 0.98, 1.09, 1.31, 1.53, 1.75, 1.97, 2.19, 2.41, 2.70 | 0.6 | 0.025 |
| 3 | 0.15 | 0.25 | 0.10 | 0.01 | 0.70, 0.93, 1.04, 1.27, 1.50, 1.73, 1.96, 2.19, 2.42, 2.65, 2.75 | 0.6 | 0.025 |
| 4 | 0.20 | 0.40 | 0.10 | 0.01 | 0.90, 1.15, 1.26, 1.40, 1.65, 1.90, 2.15, 2.40, 2.65, 2.90, 3.10 | 0.6 | 0.025 |
| 5 | 0.25 | 0.40 | 0.10 | 0.01, 0.05, 0.10 | 1.16, 1.29, 1.42, 1.58, 1.68, 2.07, 2.32, 3.10, 3.36 | 0.6 | 0.025, 0.05 |
| Floater | Ana. | Num. | Exp. | ||||
| 1 | 1.0 | [ to ] | [ to ] | [ to ] | X | X | X |
| 2 | 2.0 | [ to ] | [ to ] | X | X | ||
| 3 | 3.0 | [ to ] | [ to ] | X | X | ||
| 4 | 4.0 | [ to ] | [ to ] | X | X | ||
| 5 | 5.0 | [ to ] | [ to ] | , | X | X | X |
Publisher’s Note: MDPI stays neutral with regard to jurisdictional claims in published maps and institutional affiliations. |
© 2020 by the authors. Licensee MDPI, Basel, Switzerland. This article is an open access article distributed under the terms and conditions of the Creative Commons Attribution (CC BY) license (http://creativecommons.org/licenses/by/4.0/).
Share and Cite
Neuvéglise, S.; Perret, G.; Smaoui, H.; Marin, F.; Sergent, P. Two-Dimensional Modelling of a Quayside Floating System. J. Mar. Sci. Eng. 2020, 8, 903. https://doi.org/10.3390/jmse8110903
Neuvéglise S, Perret G, Smaoui H, Marin F, Sergent P. Two-Dimensional Modelling of a Quayside Floating System. Journal of Marine Science and Engineering. 2020; 8(11):903. https://doi.org/10.3390/jmse8110903
Chicago/Turabian StyleNeuvéglise, Sixtine, Gaële Perret, Hassan Smaoui, François Marin, and Philippe Sergent. 2020. "Two-Dimensional Modelling of a Quayside Floating System" Journal of Marine Science and Engineering 8, no. 11: 903. https://doi.org/10.3390/jmse8110903
APA StyleNeuvéglise, S., Perret, G., Smaoui, H., Marin, F., & Sergent, P. (2020). Two-Dimensional Modelling of a Quayside Floating System. Journal of Marine Science and Engineering, 8(11), 903. https://doi.org/10.3390/jmse8110903

