Critical Processes of Trace Metals Mobility in Transitional Waters: Implications from the Remote, Antinioti Lagoon, Corfu Island, Greece
Abstract
1. Introduction
2. The Study Area
3. Materials and Methods
3.1. Sampling
3.2. Samples Pretreatment
3.3. Analytical Procedures
3.4. Statistical Analyses
4. Results
4.1. Physicochemical Parameters and SPM
4.2. Trace Metals in Water
4.2.1. Levels and Spatial Variation
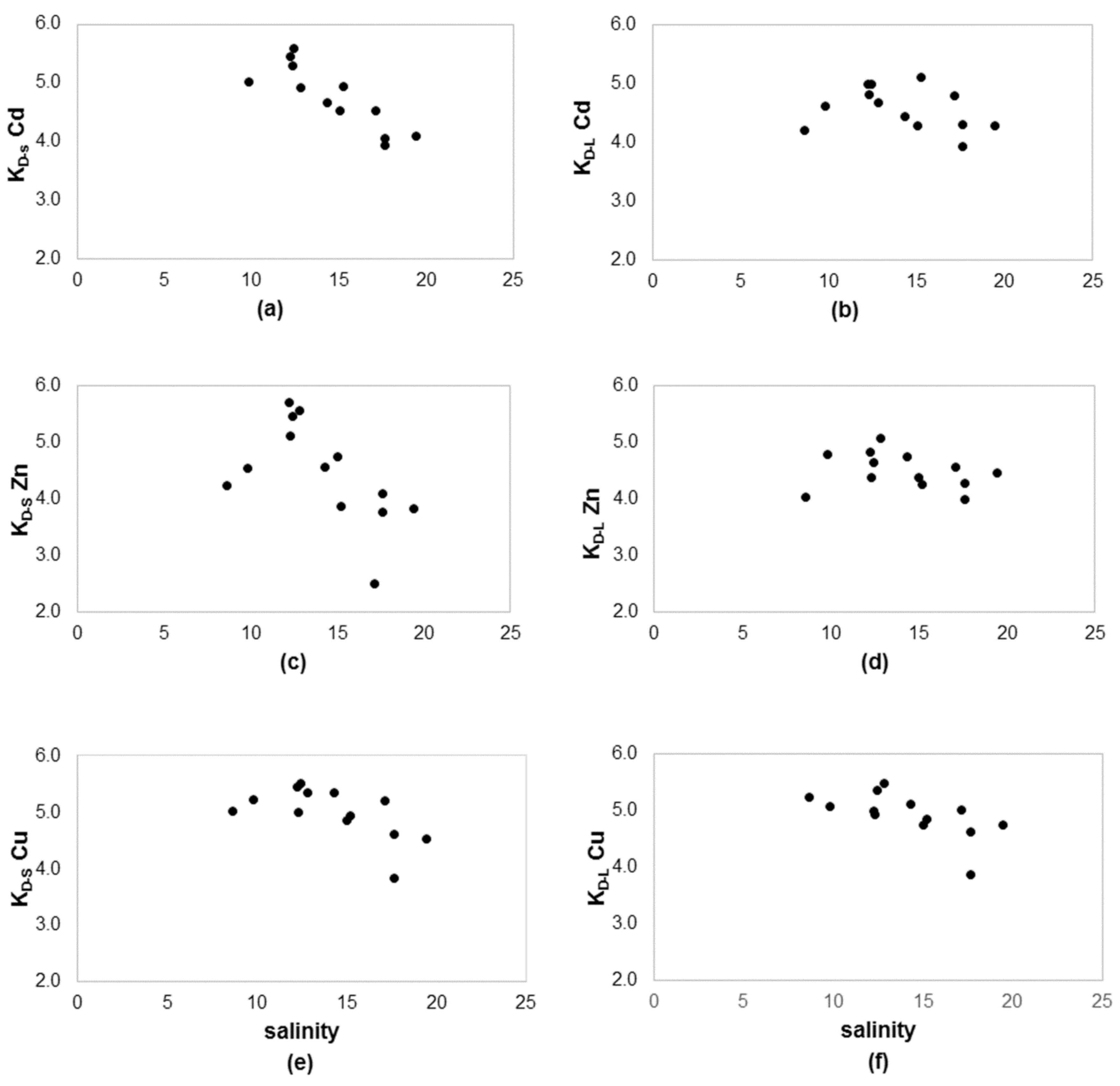
4.2.2. Partitioning and Interactions between the Dissolved and Particulate Phases
4.3. Surface Sediments
4.4. Core Sediments
4.5. Enrichment Factors
5. Discussion
Author Contributions
Funding
Acknowledgments
Conflicts of Interest
Appendix A
| Sampling Stations | Salinity | pH | SPM | p. | t. | d. | p. | t. | d. | p. | t. | d. | p. | t. | d. | p. | t. | d. | p. | t. | d. | p. |
|---|---|---|---|---|---|---|---|---|---|---|---|---|---|---|---|---|---|---|---|---|---|---|
| Al | Fe | Fe | Fe | Mn | Mn | Mn | Cd | Cd | Cd | Cu | Cu | Cu | Pb | Pb | Pb | Zn | Zn | Zn | ||||
| 1st sampling campaign | ||||||||||||||||||||||
| A1 surf. | 22.0 | 8.0 | 13.4 | 7517 | 94.1 | 6.36 | 6571 | 7.80 | 4.36 | 258 | 0.030 | 0.019 | 0.78 | 0.54 | 0.31 | 16.9 | 0.18 | 0.06 | 9.6 | 2.63 | 1.2 | 107 |
| A1 bott. | 37.2 | 7.9 | 41.9 | 12195 | 633 | 7.19 | 14949 | 10.2 | 0.81 | 224 | 0.028 | 0.018 | 0.23 | 0.69 | 0.30 | 9.10 | 0.62 | 0.15 | 11.3 | 6.60 | 3.13 | 82.8 |
| A2 | 15.0 | 8.2 | 14.2 | 6452 | 56.1 | 6.32 | 3496 | 14.5 | 6.98 | 531 | 0.099 | 0.073 | 1.83 | 0.37 | 0.20 | 12.3 | 0.21 | 0.07 | 10.0 | 7.72 | 5.03 | 189 |
| A3 | 12.3 | 7.7 | 7.5 | 6219 | 37.2 | 5.91 | 4162 | 9.54 | 2.86 | 889 | 0.051 | 0.028 | 3.06 | 0.18 | 0.11 | 9.88 | 012 | 0.05 | 9.2 | 4.87 | 3.33 | 205 |
| A5 | 12.2 | 7.9 | 8.1 | 6335 | 32.8 | 1.23 | 3899 | 6.85 | 4.42 | 301 | 0.061 | 0.027 | 4.20 | 0.35 | 0.16 | 24.1 | 0.11 | 0.02 | 10.4 | 3.19 | 1.23 | 243 |
| A7 | 12.8 | 8.3 | 12.4 | 7818 | 62.7 | 2.93 | 4833 | 7.12 | 4.29 | 229 | 0.067 | 0.039 | 2.30 | 0.41 | 0.09 | 25.4 | 0.13 | 0.03 | 8.3 | 3.43 | 1.00 | 197 |
| A9 | 9.8 | 7.8 | 9.8 | 15103 | 95.3 | 2.40 | 10032 | 10.1 | 7.13 | 316 | 0.057 | 0.036 | 2.23 | 0.34 | 0.15 | 20.6 | 0.21 | 0.03 | 19.5 | 3.02 | 2.01 | 108 |
| A12 | 37.7 | 8.1 | 14.9 | 6787 | 92.5 | 3.58 | 5981 | 3.01 | 1.71 | 87 | 0.030 | 0.019 | 0.70 | 0.49 | 0.18 | 20.7 | 0.20 | 0.03 | 11.2 | 5.18 | 3.67 | 102 |
| A13 | 4.7 | 7.3 | 1.5 | 4204 | 12.9 | 2.61 | 6731 | 5.89 | 2.91 | 1945 | 0.077 | 0.069 | 5.23 | 0.31 | 0.16 | 101 | 0.25 | 0.20 | 36.9 | 5.91 | 3.17 | 1790 |
| 2nd sampling campaign | ||||||||||||||||||||||
| A1 | 30.0 | 8.2 | 20.9 | 2432 | 50.4 | 0.66 | 2379 | 3.09 | 1.12 | 35.9 | 0.027 | 0.025 | 0.09 | 0.87 | 0.66 | 6.67 | 0.21 | 0.06 | 7.04 | 3.09 | 2.64 | 21.4 |
| A2 | 17.6 | 8.0 | 13.8 | 4905 | 56.0 | 2.09 | 3923 | 10.0 | 4.20 | 301 | 0.081 | 0.071 | 0.69 | 1.68 | 1.53 | 11.1 | 0.34 | 0.17 | 12.4 | 10.0 | 8.99 | 80.7 |
| A3 | 19.4 | 7.9 | 7.0 | 6776 | 42.9 | 1.03 | 5948 | 3.32 | nm | 407 | 0.041 | 0.037 | 0.63 | 0.63 | 0.47 | 22.9 | 0.15 | nm | 21.5 | 3.32 | 2.89 | 70.3 |
| A5 | 17.1 | 7.5 | 13.2 | 32855 | 314 | 1.87 | 23572 | 9.82 | 2.15 | 419 | 0.059 | 0.035 | 1.81 | 2.37 | 0.83 | 105 | 0.81 | 0.34 | 35.2 | 9.82 | 7.62 | 212 |
| A7 | 15.2 | 8.3 | 10.3 | 9091 | 63.3 | 0.42 | 6102 | 3.58 | 6.84 | 350 | 0.036 | 0.017 | 1.84 | 1.13 | 0.59 | 46.8 | 0.21 | 0.08 | 13.0 | 3.58 | 3.15 | 49.6 |
| A9 | 14.3 | 8.0 | 10.5 | 90457 | 566 | 2.08 | 58612 | 9.42 | 4.31 | 1213 | 0.105 | 0.079 | 3.17 | 2.44 | 0.90 | 177 | 0.84 | 0.21 | 68.2 | 9.42 | 6.06 | 424 |
| A12 | 37.5 | 8.2 | 14.3 | 15629 | 173 | 0.43 | 11996 | 2.24 | 1.23 | 131 | 0.019 | 0.018 | 0.09 | 0.62 | 0.30 | 22.1 | 0.30 | 0.06 | 16.5 | 2.24 | 2.06 | 11.9 |
| A13 | 4.8 | 7.5 | 2.0 | 3406 | 30.1 | 5.23 | 12793 | 10.5 | 15.4 | 1667 | 0.171 | 0.164 | 3.76 | 0.64 | 0.47 | 51.3 | 0.31 | 0.27 | 22.9 | 10.5 | 9.94 | 198 |
| Variable | Correlation Coefficient | Al | Fe | Mn | Cu | Cd | Zn | Pb |
|---|---|---|---|---|---|---|---|---|
| Al | r | - | 0.844 ** | 0.153 | 0.744 ** | 0.042 | 0.086 | 0.619 ** |
| ρ | - | 0.000 | 0.533 | 0.000 | 0.864 | 0.726 | 0.005 | |
| Fe | r | 0.844 ** | - | 0.364 | 0.853 ** | 0.209 | 0.179 | 0.779 ** |
| ρ | 0.000 | - | 0.115 | 0.000 | 0.376 | 0.450 | 0.000 | |
| Mn | r | 0.153 | 0.364 | - | 0.505 * | 0.649 ** | 0.710 ** | 0.633 ** |
| ρ | 0.533 | 0.115 | - | 0.023 | 0.002 | 0.000 | 0.003 | |
| Cu | r | 0.744 ** | 0.853 ** | 0.505 * | - | 0.372 | 0.197 | 0.732 ** |
| ρ | 0.000 | 0.000 | 0.023 | - | 0.107 | 0.405 | 0.000 | |
| Cd | r | 0.042 | 0.209 | 0.649 ** | 0.372 | - | 0.601 ** | 0.256 |
| ρ | 0.864 | 0.376 | 0.002 | 0.107 | - | 0.005 | 0.276 | |
| Zn | r | 0.086 | 0.179 | 0.710 ** | 0.197 | 0.601 ** | - | 0.395 |
| ρ | 0.726 | 0.450 | 0.000 | 0.405 | 0.005 | - | 0.084 | |
| Pb | r | 0.619 ** | 0.779 ** | 0.633 ** | 0.732 ** | 0.256 | 0.395 | - |
| ρ | 0.005 | 0.000 | 0.003 | 0.000 | 0.276 | 0.084 | - |
References
- Martin, J.-M.; Huang, W.W.; Yoon, Y.Y. Level and fate of trace metals in the lagoon of Venice (Italy). Mar. Chem. 1994, 46, 371–386. [Google Scholar] [CrossRef]
- Loureiro, D.D.; Fernandez, M.A.; Herms, F.W.; Lacerda, L.D. Heavy metal inputs evolution to an urban hypertrophic coastal lagoon, Rodrigo De Freitas Lagoon, Rio De Janeiro, Brazil. Environ. Monit. Assess. 2009, 159, 577. [Google Scholar] [CrossRef] [PubMed]
- Accornero, A.; Gnerre, R.; Manfra, L. Sediment concentrations of trace metals in the Berre Lagoon (France): An assessment of contamination. Arch. Environ. Contam. Toxicol. 2008, 54, 372–385. [Google Scholar] [CrossRef] [PubMed]
- Beltrame, M.O.; De Marco, S.G.; Marcovecchio, J.E. Dissolved and particulate heavy metals distribution in coastal lagoons. A case study from Mar Chiquita Lagoon, Argentina. Estuar. Coast. Shelf Sci. 2009, 85, 45–56. [Google Scholar] [CrossRef]
- Karageorgis, A.P.; Sioulas, A.; Krasakopoulou, E.; Anagnostou, C.L.; Hatiris, G.A.; Kyriakidou, H.; Vasilopoulos, K. Geochemistry of surface sediments and heavy metal contamination assessment: Messolonghi Lagoon complex, Greece. Environ. Earth Sci. 2012, 65, 1619–1629. [Google Scholar] [CrossRef]
- Uluturhan, E.; Kontas, A.; Can, E. Sediment concentrations of heavy metals in the Homa Lagoon (Eastern Aegean Sea): Assessment of contamination and ecological risks. Mar. Pollut. Bull. 2011, 62, 1989–1997. [Google Scholar] [CrossRef] [PubMed]
- Kharroubi, A.; Gzam, M.; Jedoui, Y. Anthropogenic and natural effects on the water and sediments qualities of costal lagoons: Case of the Boughrara Lagoon (Southeast Tunisia). Environ. Earth Sci. 2012, 67, 1061–1067. [Google Scholar] [CrossRef]
- Santos-Echeandia, J.; Prego, R.; Cobelo-García, A.; Millward, G.E. Porewater geochemistry in a galician ria (NW Iberian Peninsula): Implications for benthic fluxes of dissolved trace elements (Co, Cu, Ni, Pb, V, Zn). Mar. Chem. 2009, 117, 77–87. [Google Scholar] [CrossRef]
- Point, D.; Monperrus, M.; Tessier, E.; Chauvaud, L.; Thouzeau, G.; Jean, F.; Amice, E.; Grall, J.; Leynaert, A.; Clavier, J.; et al. Biological control of trace metal and organometal benthic fluxes in a eutrophic lagoon (Thau Lagoon, Mediterranean Sea, France). Estuar. Coast. Shelf Sci. 2007, 72, 457–471. [Google Scholar] [CrossRef]
- Turner, A.; Millward, G.E.; Le Roux, S.M. Significance of oxides and particulate organic matter in controlling trace metal partitioning in a contaminated estuary. Mar. Chem. 2004, 88, 179–192. [Google Scholar] [CrossRef]
- Zwolsman, J.J.; van Eck, G.T. Geochemistry of major elements and trace metals in suspended matter of the Scheldt Estuary, Southwest Netherlands. Mar. Chem. 1999, 66, 91–111. [Google Scholar] [CrossRef]
- Scoullos, M.; Botsou, F. Geochemical processes of trace metals in fresh–saline water interfaces. The cases of Louros and Acheloos estuaries. In The Rivers of Greece: Evolution, Current Status and Perspectives; Skoulikidis, N., Dimitriou, E., Karaouzas, I., Eds.; Springer: Berlin/Heidelberg, Germany, 2018; pp. 241–277. ISBN 978-3-662-55369-5. [Google Scholar]
- Fernandes, C.; Fontaínhas-Fernandes, A.; Cabral, D.; Salgado, M.A. Heavy metals in water, sediment and tissues of liza saliens from Esmoriz--Paramos lagoon, Portugal. Environ. Monit. Assess. 2008, 136, 267–275. [Google Scholar] [CrossRef] [PubMed]
- Magni, P.; De Falco, G.; Como, S.; Casu, D.; Floris, A.; Petrov, A.N.; Castelli, A.; Perilli, A. Distribution and ecological relevance of fine sediments in organic-enriched lagoons: The case study of the Cabras lagoon (Sardinia, Italy). Mar. Pollut. Bull. 2008, 56, 549–564. [Google Scholar] [CrossRef] [PubMed]
- Ivanić, M.; Lojen, S.; Grozić, D.; Jurina, I.; Škapin, S.D.; Troskot-Čorbić, T.; Mikac, N.; Juračić, M.; Sondi, I. Geochemistry of sedimentary organic matter and trace elements in modern lake sediments from transitional karstic land-sea environment of the Neretva River delta (Kuti Lake, Croatia). Quat. Int. 2018, 494, 286–299. [Google Scholar] [CrossRef]
- Froelich, P.N.; Klinkhammer, G.P.; Bender, M.L.; Luedtke, N.A.; Heath, G.R.; Cullen, D.; Dauphin, P.; Hammond, D.; Hartman, B.; Maynard, V. Early oxidation of organic matter in pelagic sediments of the eastern equatorial Atlantic: Suboxic diagenesis. Geochim. Cosmochim. Acta 1979, 43, 1075–1090. [Google Scholar] [CrossRef]
- Rigaud, S.; Radakovitch, O.; Couture, R.-M.; Deflandre, B.; Cossa, D.; Garnier, C.; Garnier, J.-M. Mobility and fluxes of trace elements and nutrients at the sediment–water interface of a lagoon under contrasting water column oxygenation conditions. Appl. Geochem. 2013, 31, 35–51. [Google Scholar] [CrossRef]
- Santos-Echeandía, J.; Prego, R.; Cobelo-García, A.; Caetano, M. Metal composition and fluxes of sinking particles and post-depositional transformation in a ria coastal system (NW Iberian Peninsula). Mar. Chem. 2012, 134–135, 36–46. [Google Scholar] [CrossRef]
- Chaillou, G.; Anschutz, P.; Lavaux, G.; Schäfer, J.; Blanc, G. The distribution of Mo, U, and Cd in relation to major redox species in muddy sediments of the Bay of Biscay. Mar. Chem. 2002, 80, 41–59. [Google Scholar] [CrossRef]
- Atkinson, C.A.; Jolley, D.F.; Simpson, S.L. Effect of overlying water pH, dissolved oxygen, salinity and sediment disturbances on metal release and sequestration from metal contaminated marine sediments. Chemosphere 2007, 69, 1428–1437. [Google Scholar] [CrossRef]
- Morrison, S.; Nikolai, S.; Townsend, D.; Belden, J. Distribution and bioavailability of trace metals in shallow sediments from Grand Lake, Oklahoma. Arch. Environ. Contam. Toxicol. 2019, 76, 31–41. [Google Scholar] [CrossRef]
- Natura 2000 network GR 2230001. Available online: http://filotis.itia.ntua.gr/biotopes/c/GR2230001/ (accessed on 1 August 2019).
- Botsou, F.; Godelitsas, A.; Kaberi, H.; Mertzimekis, T.J.; Goettlicher, J.; Steininger, R.; Scoullos, M. Distribution and partitioning of major and trace elements in pyrite-bearing sediments of a Mediterranean coastal lagoon. Chemie der Erde Geochem. 2015, 75, 219–236. [Google Scholar] [CrossRef]
- Papaspyropoulos, C. Hydrogeological Study of Kerkyra Island; Institute of Geology and Mineral Exploration: Athens, Greece, 1991. [Google Scholar]
- Morfis, A.; Sfetsos, K.; Paschos, P.; Stefouli, M.; Karapanos, E.; Angelopoulos, A.; Tzoulis, C. Study of the Diet of Groundwater Aquifer Systems of the Kerkyra Island; Institute of Geology and Mineral Exploration: Athens, Greece, 2002. [Google Scholar]
- Tserolas, P.; Mpotziolis, C.; Maravelis, A.; Zelilidis, A. Preliminary geochemical and sedimentological analysis in nw corfu: the miocene sediments in Agios Georgios Pagon. Bull. Geol. Soc. 2016, 50, 402–412. [Google Scholar] [CrossRef][Green Version]
- Scoullos, M.; Dassenakis, M.; Zeri, C. Trace metal behavior during summer in a stratified Mediterranean system: The Louros Estuary (Greece). Water. Air. Soil Pollut. 1996, 88, 269–295. [Google Scholar] [CrossRef]
- Kersten, M.; Smedes, F. Normalization procedures for sediment contaminants in spatial and temporal trend monitoring. J. Environ. Monit. 2002, 4, 109–115. [Google Scholar] [CrossRef]
- Liu, W.X.; Li, X.D.; Shen, Z.G.; Wang, D.C.; Wai, O.W.H.; Li, Y.S. Multivariate statistical study of heavy metal enrichment in sediments of the Pearl River Estuary. Environ. Pollut. 2003, 121, 377–388. [Google Scholar] [CrossRef]
- Loring, D.H.; Rantala, R.T.T. Manual for the geochemical analyses of marine sediments and suspended particulate matter. Earth Sci. Rev. 1992, 32, 235–283. [Google Scholar] [CrossRef]
- Grygar, T.M.; Popelka, J. Revisiting geochemical methods of distinguishing natural concentrations and pollution by risk elements in fluvial sediments. J. Geochem. Explor. 2016, 170, 39–57. [Google Scholar] [CrossRef]
- ISO. Soil Quality–Dissolution for the Determination of Total Element Content. Part 1: Dissolution with Hydrofluoric and Perchloric Acids; Technical Report No. 14869-1: 2001; ISO: Geneva, Switzerland, 2001. [Google Scholar]
- Agemian, H.; Chau, A.S.Y. Evaluation of extraction techniques for the determination of metals in aquatic sediments. Analyst 1976, 101, 761–767. [Google Scholar] [CrossRef]
- European Commission. Directive 2000/60/EC of the European Parliament and of the Council of 23 October 2000 Establishing a Framework for Community Action in the Field of Water Policy. Off. J. Eur. Commun. 2000, L327, 1–72. [Google Scholar]
- European Union. Directive 2013/39/EU of the European Parliament and of the Council of 12 August 2013 Amending Directives 2000/60/EC and 2008/105/EC as Regards Priority Substances in the Field of Water Policy Text with EEA Relevance. Off. J. Eur. Union 2013, L226, 1–17. [Google Scholar]
- Horowitz, A.J. A Primer on Sediment-Trace Element Chemistry, 2nd ed.; Lewis Publishers, Inc.: Michigan, IN, USA, 1991. [Google Scholar]
- Horowitz, A.J.; Elrick, K.A. The relation of stream sediment surface area, grain size and composition to trace element chemistry. Appl. Geochem. 1987, 2, 437–451. [Google Scholar] [CrossRef]
- Bibby, R.L.; Webster-Brown, J.G. Characterisation of urban catchment suspended particulate matter (Auckland region, New Zealand); a comparison with non-urban SPM. Sci. Total Environ. 2005, 343, 177–197. [Google Scholar] [CrossRef] [PubMed]
- Dassenakis, M.; Scoullos, M.; Gaitis, A. Trace metals transport and behavior in the Mediterranean estuary of Acheloos River. Mar. Pollut. Bull. 1997, 34, 103–111. [Google Scholar] [CrossRef]
- Sholkovitz, E.R.; Boyle, E.A.; Price, N.B. The removal of dissolved humic acids and iron during estuarine mixing. Earth Planet. Sci. Lett. 1978, 40, 130–136. [Google Scholar] [CrossRef]
- Warren, L.A.; Haack, E.A. Biogeochemical controls on metal behavior in freshwater environments. Earth Sci. Rev. 2001, 54, 261–320. [Google Scholar] [CrossRef]
- Yuan, F.; Chaffin, J.D.; Xue, B.; Wattrus, N.; Zhu, Y.; Sun, Y. Contrasting sources and mobility of trace metals in recent sediments of western Lake Erie. J. Great Lakes Res. 2018, 44, 1026–1034. [Google Scholar] [CrossRef]
- Warren, L.A.; Zimmermann, A.P. Suspended particulate grain size dynamics and their implications for trace metal sorption in the Don River. Aquat. Sci. 1994, 56, 348–362. [Google Scholar] [CrossRef]
- Turner, A.; Le Roux, S.M.; Millward, G.E. Adsorption of cadmium to iron and manganese oxides during estuarine mixing. Mar. Chem. 2008, 108, 77–84. [Google Scholar] [CrossRef]
- Charette, M.A.; Sholkovitz, E.R.; Hansel, C.M. Trace element cycling in a subterranean estuary: Part 1. Geochemistry of the permeable sediments. Geochim. Cosmochim. Acta 2005, 69, 2095–2109. [Google Scholar] [CrossRef]
- Turner, A.; Millward, G.E.; Schuchardt, B.; Schirmer, M.; Prange, A. Trace metal distribution coefficients in the Weser Estuary (Germany). Cont. Shelf Res. 1992, 12, 1277–1292. [Google Scholar] [CrossRef]
- Cenci, R.M.; Martin, J.-M. Concentration and fate of trace metals in Mekong River Delta. Sci. Total Environ. 2004, 332, 167–182. [Google Scholar] [CrossRef] [PubMed]
- Cobelo-García, A.; Prego, R.; Labandeira, A. Land inputs of trace metals, major elements, particulate organic carbon and suspended solids to an industrial coastal bay of the NE Atlantic. Water Res. 2004, 38, 1753–1764. [Google Scholar] [CrossRef] [PubMed]
- Balls, P.W. The partition of trace metals between dissolved and particulate phases in European coastal waters: A compilation of field data and comparison with laboratory studies. Netherlands J. Sea Res. 1989, 23, 7–14. [Google Scholar] [CrossRef]
- Elbaz-Poulichet, F.; Martin, J.M.; Huang, W.W.; Zhu, J.X. Dissolved Cd behavior in some selected French and Chinese estuaries. Consequences on Cd supply to the ocean. Mar. Chem. 1987, 22, 125–136. [Google Scholar] [CrossRef]
- Comans, R.N.J.; van Dijk, C.P.J. Role of complexation processes in cadmium mobilization during estuarine mixing. Nature 1988, 336, 151–154. [Google Scholar] [CrossRef]
- Rozan, T.F.; Benoit, G. Geochemical factors controlling free Cu ion concentrations in river water. Geochim. Cosmochim. Acta 1999, 63, 3311–3319. [Google Scholar] [CrossRef]
- Roussiez, V.; Ludwig, W.; Radakovitch, O.; Probst, J.-L.; Monaco, A.; Charrière, B.; Buscail, R. Fate of metals in coastal sediments of a Mediterranean flood-dominated system: An approach based on total and labile fractions. Estuar. Coast. Shelf Sci. 2011, 92, 486–495. [Google Scholar] [CrossRef]
- Sutherland, R.A.; Tack, F.M.G.; Ziegler, A.D.; Bussen, J.O. Metal extraction from road-deposited sediments using nine partial decomposition procedures. Appl. Geochem. 2004, 19, 947–955. [Google Scholar] [CrossRef]
- Agemian, H.; Chau, A.S.Y. A study of different analytical extraction methods for nondetrital heavy metals in aquatic sediments. Arch. Environ. Contam. Toxicol. 1977, 6, 69–82. [Google Scholar] [CrossRef]
- Frascari, F.; Matteucci, G.; Giordano, P. Evaluation of a eutrophic coastal lagoon ecosystem from the study of bottom sediments. Hydrobiologia 2002, 475, 387–401. [Google Scholar] [CrossRef]
- Lyle, M. The brown-green color transition in marine sediments: A marker of the Fe(III)-Fe(II) redox boundary1. Limnol. Oceanogr. 1983, 28, 1026–1033. [Google Scholar] [CrossRef]
- Gobeil, C.; Macdonald, R.W.; Sundby, B. Diagenetic separation of cadmium and manganese in suboxic continental margin sediments. Geochim. Cosmochim. Acta 1997, 61, 4647–4654. [Google Scholar] [CrossRef]
- Huerta-Diaz, M.A.; Morse, J.W. Pyritization of trace metals in anoxic marine sediments. Geochim. Cosmochim. Acta 1992, 56, 2681–2702. [Google Scholar] [CrossRef]
- Berner, R.A. Sedimentary pyrite formation: An update. Geochim. Cosmochim. Acta 1984, 48, 605–615. [Google Scholar] [CrossRef]
- Rosenthal, Y.; Lam, P.; Boyle, E.A.; Thomson, J. Authigenic cadmium enrichments in suboxic sediments: Precipitation and postdepositional mobility. Earth Planet. Sci. Lett. 1995, 132, 99–111. [Google Scholar] [CrossRef]
- Couture, R.-M.; Hindar, A.; Rognerud, S. Emerging investigator series: Geochemistry of trace elements associated with Fe and Mn nodules in the sediment of limed boreal lakes. Environ. Sci. Process. Impacts 2018, 20, 406–414. [Google Scholar] [CrossRef] [PubMed]
- Cooper, D.C.; Morse, J.W. Extractability of metal sulfide minerals in acidic solutions: Application to environmental studies of trace metal contamination within anoxic sediments. Environ. Sci. Technol. 1998, 32, 1076–1078. [Google Scholar] [CrossRef]
- Birch, G.F. Determination of sediment metal background concentrations and enrichment in marine environments–A critical review. Sci. Total Environ. 2017, 580, 813–831. [Google Scholar] [CrossRef]
- Voutsinou-Taliadouri, F. A weak acid extraction method as a tool for the metal pollution assessment in surface sediments. Microchimica Acta 1995, 119, 243–249. [Google Scholar] [CrossRef]
- TUREKIAN, K.K.; WEDEPOHL, K.H. Distribution of the elements in some major units of the Earth’s crust. GSA Bull. 1961, 72, 175–192. [Google Scholar] [CrossRef]
- Rudnick, R.L.; Gao, S. 4.1—Composition of the continental crust. In Treatise on Geochemistry, 2nd ed.; Holland, H.D., Turekian, K.K., Eds.; Elsevier: Oxford, UK, 2014; pp. 1–51. ISBN 978-0-08-098300-4. [Google Scholar]
- Tzifas, I.T.; Godelitsas, A.; Magganas, A.; Androulakaki, E.; Eleftheriou, G.; Mertzimekis, T.J.; Perraki, M. Uranium-bearing phosphatized limestones of NW Greece. J. Geochem. Explor. 2014, 143, 62–73. [Google Scholar] [CrossRef]
- Birch, G.F.; Olmos, M.A. Sediment-bound heavy metals as indicators of human influence and biological risk in coastal water bodies. ICES J. Mar. Sci. 2008, 65, 1407–1413. [Google Scholar] [CrossRef]
- Andrisoa, A.; Stieglitz, T.C.; Rodellas, V.; Raimbault, P. Primary production in coastal lagoons supported by groundwater discharge and porewater fluxes inferred from nitrogen and carbon isotope signatures. Mar. Chem. 2019, 210, 48–60. [Google Scholar] [CrossRef]
- Tovar-Sánchez, A.; Basterretxea, G.; Rodellas, V.; Sánchez-Quiles, D.; García-Orellana, J.; Masqué, P.; Jordi, A.; López, J.M.; Garcia-Solsona, E. Contribution of groundwater discharge to the coastal dissolved nutrients and trace metal concentrations in Majorca Island: Karstic vs. detrital systems. Environ. Sci. Technol. 2014, 48, 11819–11827. [Google Scholar] [CrossRef] [PubMed]
- Burnett, W.C.; Bokuniewicz, H.; Huettel, M.; Moore, W.S.; Taniguchi, M. Groundwater and pore water inputs to the coastal zone. Biogeochemistry 2003, 66, 3–33. [Google Scholar] [CrossRef]
- Eisma, D. Flocculation and de-flocculation of suspended matter in estuaries. Netherlands J. Sea Res. 1986, 20, 183–199. [Google Scholar] [CrossRef]
- Nolting, R.F.; Helder, W.; de Baar, H.J.W.; Gerringa, L.J.A. Contrasting behavior of trace metals in the Scheldt Estuary in 1978 compared to recent years. J. Sea Res. 1999, 42, 275–290. [Google Scholar] [CrossRef]
- Sholkovitz, E.R. The flocculation of dissolved Fe, Mn, Al, Cu, Ni, Co and Cd during estuarine mixing. Earth Planet. Sci. Lett. 1978, 41, 77–86. [Google Scholar] [CrossRef]
- Puig, P.; Palanques, A.; Sanchez-Cabeza, J.A.; Masqué, P. Heavy metals in particulate matter and sediments in the Southern Barcelona sedimentation system (North-Western Mediterranean). Mar. Chem. 1999, 63, 311–329. [Google Scholar] [CrossRef]
- Karageorgis, A.P.; Gardner, W.D.; Mikkelsen, O.A.; Georgopoulos, D.; Ogston, A.S.; Assimakopoulou, G.; Krasakopoulou, E.; Oaie, G.; Secrieru, D.; Kanellopoulos, T.D.; et al. Particle sources over the Danube River delta, Black Sea based on distribution, composition and size using optics, imaging and bulk analyses. J. Mar. Syst. 2014, 131, 74–90. [Google Scholar] [CrossRef]
- Fox, J.M.; Hill, P.S.; Milligan, T.G.; Boldrin, A. Flocculation and sedimentation on the Po River Delta. Mar. Geol. 2004, 203, 95–107. [Google Scholar] [CrossRef]







| Variable | Al | Cd | Cu | Fe | Mn | Pb | Zn |
|---|---|---|---|---|---|---|---|
| Dissolved phase | |||||||
| LOD (μg∙L−1) | - | 0.0038 | 0.044 | 1 | 0.0085 | 0.040 | 0.50 |
| CASS-4: | - | - | - | - | - | - | - |
| Assigned value | - | 0.026 ± 0.003 | 0.592 ± 0.055 | - | 2.78 ± 0.19 | 0.0098 ± 0.0035 | 0.381 ± 0.057 |
| Measured value | - | 0.024 ± 0.002 | 0.570 ± 0.030 | - | 2.79 ± 0.12 | 0.0089 ± 0.0023 | 0.409 ± 0.030 |
| Recovery% (spikes) | - | 106–102–102% at 0.05–0.1–0.2 μg∙L−1 | 99–96–93 at 0.2–1.0–2.0 μg∙L−1 | 73–80 at 5–7.9 μg∙L−1 | 98–98–101 at 0.2–1.0–5.0 μg∙L−1 | 99–93–92 at 0.2–1.0–2.0 μg∙L−1L | 105–101–100 at 1.0–2.0–5.0 μg∙L−1 |
| Repeatability% (spikes) | - | 6.4% at 0.05 μg∙L−1 3.5% at 0.2 μg∙L−1 | 5.4% at 0.2 μg∙L−1 1.9% at 2.0 μg∙L−1 | 2.3% at 5 μg∙L−1 4.0% at 7.9 μg∙L−1 | 4.8% at 0.2 μg∙L−1 2.7% at 5.0 μg∙L−1 | 6.9% at 0.2 μg∙L−1 2.8% at 2.0 μg∙L−1 | 5.8% at 1.0 μg∙L−1 5.2% at 5.0 μg∙L−1 |
| Particulate phase | |||||||
| LOD part. metals (μg∙L−1) | 0.62 | 0.0019 | 0.022 | 0.5 | 0.0042 | 0.020 | 0.25 |
| Repeatability% | 20% at 50 μg∙L−1 | 12% at 0.0022 μg∙L−1 | 15% at 0.05 μg∙L−1 | 5.5% at 15 μg∙L−1 | 9.6% at 0.13 μg∙L−1 | 5.3% at 0.19 μg∙L−1 | 11% at 0.93 μg∙L−1 |
| Sediments (total digestions) | |||||||
| LOD (mg∙kg−1) | 1.7 | 0.015 | 0.177 | 4 | 0.034 | 0.16 | 2 |
| PACS-2: | - | - | - | - | - | - | - |
| Assigned value | 66200 ± 3200 | 2.11 ± 0.15 | 310 ± 12 | 40900 ± 600 | 440 ± 19 | 183 ± 8 | 364 ± 23 |
| Measured value | 63000 ± 800 | 2.2 ± 0.2 | 300 ± 10 | 41700 ± 600 | 440 ± 10 | 187 ± 8 | 380 ± 15 |
| Recovery% (PACS-2) | 95 | 104 | 97 | 102 | 99 | 102 | 104 |
| Repeatability% (PACS-2) | 1.3 | 6.8 | 3.3 | 1.4 | 2.3 | 4.3 | 3.9 |
| Parameter | Stream | Inner Sector | Inlets |
|---|---|---|---|
| salinity | 4.70–4.80 (4.75) | 8.60–19.4 (13.6) | 22.0–37.7 (33.8) |
| pH | 7.26−7.51 (7.38) | 7.45–8.30 (7.94) | 8.01–8.24 (8.17) |
| SPM (mg∙L−1) | 1.53−1.95 (1.74) | 7.04–14.2 (10.4) | 13.4–20.9 (14.6) |
| d. Fe (µg∙L−1) | 2.61–5.23 (3.92) | 0.42–6.32 (1.99) | 0.43–6.36 (2.12) |
| d. Mn (µg∙L−1) | 2.91–15.4 (9.14) | 1.32–7.67 (4.31) | 1.12–4.36 (1.47) |
| d. Cd (µg∙L−1) | 0.069–0.164 (0.116) | 0.016–0.079 (0.038) | 0.018–0.025 (0.019) |
| d. Cu(µg∙L−1) | 0.16–0.47 (0.32) | 0.09–1.53 (0.35) | 0.18–0.66 (0.30) |
| d. Pb (µg∙L−1) | 0.20–0.27 (0.24) | 0.02–0.34 (0.08) | 0.03–0.06 (0.06) |
| d. Zn (µg∙L−1) | 3.17–9.94 (6.56) | 1.00–15.0 (4.18) | 1.20–3.37 (2.35) |
| p. Al (mg∙kg−1) | 3406–4204 (3805) | 4905–90457 (8334) | 2432–15629 (7152) |
| p. Fe (mg∙kg−1) | 6731–12793 (9762) | 3496–58612 (6024) | 2379–11996 (6279) |
| p. Mn (mg∙kg−1) | 1667–1945 (1806) | 173–1213 (385) | 36–258 (109) |
| p. Cd (mg∙kg−1) | 3.76–5.23 (4.50) | 0.63–4.20 (1.84) | 0.09–0.78 (0.40) |
| p. Cu (mg∙kg−1) | 51–101 (76) | 10–177 (25.6) | 7–22 (19) |
| p. Pb (mg∙kg−1) | 22.8–36.9 (29.9) | 5.91–81.7 (16.2) | 7.0–16.5 (10.4) |
| p. Zn (mg∙kg−1) | 198–1790 (994) | 22–423 (193) | 12–107 (62) |
| Partition Coefficient KD | Statistics | Fe | Mn | Cd | Cu | Pb | Zn |
|---|---|---|---|---|---|---|---|
| KD-T | mean | 6.53 | 5.01 | 4.50 | 4.90 | 5.27 | 4.59 |
| min | 5.74 | 4.51 | 3.59 | 3.86 | 4.86 | 3.76 | |
| max | 7.45 | 5.82 | 5.19 | 5.80 | 5.88 | 5.75 | |
| mean inlets | 6.51 | 4.89 | 4.11 | 4.63 | 5.23 | 4.30 | |
| mean inner | 6.57 | 4.99 | 4.68 | 4.94 | 5.33 | 4.65 | |
| mean stream | 6.40 | 5.43 | 4.62 | 5.42 | 5.11 | 5.03 | |
| KD-L | mean | 6.71 | 5.12 | 4.48 | 4.86 | 5.38 | 4.45 |
| min | 5.95 | 4.58 | 3.60 | 3.88 | 4.93 | 3.67 | |
| max | 7.57 | 6.48 | 5.11 | 5.48 | 5.95 | 5.47 | |
| KD-S | mean | 5.77 | 4.16 | 4.52 | 4.89 | 4.91 | 4.55 |
| min | 4.56 | 3.08 | 3.33 | 3.70 | 3.63 | 2.50 | |
| max | 7.10 | 5.87 | 5.45 | 5.86 | 5.67 | 5.81 |
| Sampling Stations/ Statistics | OC | Al-T | Fe-T | Fe-Ext | Mn-T | Mn-Ext | Cd-T | Cd-Ext | Cu-T | Cu-Ext | Pb-T | Pb-Ext | Zn-T | Zn-Ext |
|---|---|---|---|---|---|---|---|---|---|---|---|---|---|---|
| Surface Sediments | ||||||||||||||
| A1 | 0.26 | 11000 | 3130 | 1260 | 350 | 330 | 0.14 | 0.08 | 12 | 2.04 | 4.05 | 2.04 | 9.23 | 5.36 |
| A2 | 4.32 | 25000 | 10700 | 4980 | 190 | 150 | 0.69 | 0.45 | 25 | 13.9 | 31.8 | 23.9 | 50.4 | 27.4 |
| A3 | 5.92 | 30100 | 12100 | 4370 | 140 | 73 | 1.89 | 1.09 | 32 | 18.7 | 29.3 | 23.7 | 75.1 | 36.4 |
| A4 | 8.52 | 31100 | 18200 | 3630 | 170 | 68 | 2.04 | 1.79 | 41 | 37.6 | 33.1 | 31.9 | 89.2 | 56.9 |
| A5 | 10.6 | 39300 | 20800 | 5140 | 200 | 66 | 3.42 | 3.12 | 50 | 22.4 | 66.1 | 49.6 | 106 | 49.7 |
| A7 | 4.78 | 62600 | 30800 | 4930 | 310 | 153 | 1.66 | 1.02 | 56 | 23.8 | 23.1 | 18.9 | 121 | 47.4 |
| A8 | 7.79 | 48000 | 24000 | 8910 | 180 | 75 | 1.71 | 1.02 | 57 | 28.6 | 36.5 | 25.8 | 122 | 46.4 |
| A9 | 3.97 | 28800 | 17500 | 10760 | 170 | 150 | 0.22 | 0.17 | 32 | 17.9 | 22.9 | 18.5 | 72.5 | 31.1 |
| A10 | 11.2 | 41900 | 31700 | 14200 | 330 | 210 | 0.43 | 0.41 | 75 | 42.4 | 25.3 | 23.1 | 98.4 | 55.2 |
| A12 | 0.59 | 9790 | 3800 | 1980 | 150 | 140 | 0.17 | 0.05 | 13 | 3.10 | 8.29 | 2.33 | 17.2 | 8.80 |
| A13 | 10.4 | 33900 | 20100 | 10100 | 210 | 190 | 0.59 | 0.48 | 37 | 20.6 | 25.3 | 19.4 | 70.8 | 32.2 |
| Mean | 6.2 | 32800 | 17500 | 6390 | 220 | 150 | 1.18 | 0.88 | 39 | 21.0 | 27.8 | 21.7 | 75.6 | 37.2 |
| Median | 5.9 | 31100 | 18200 | 4980 | 200 | 150 | 0.69 | 0.48 | 37 | 20.6 | 25.3 | 23.1 | 75.1 | 36.4 |
| Min | 0.3 | 9790 | 3130 | 1260 | 140 | 66 | 0.14 | 0.05 | 12 | 2.04 | 4.05 | 2.04 | 9.23 | 9.23 |
| Max | 11.2 | 62500 | 31700 | 14200 | 350 | 330 | 3.42 | 3.12 | 75 | 42.4 | 66.1 | 49.6 | 121.7 | 56.9 |
| Sd | 3.8 | 15300 | 9520 | 4050 | 73 | 80 | 1.05 | 0.91 | 20 | 12.4 | 16.1 | 13.0 | 37.8 | 15.5 |
| Core Sediments | ||||||||||||||
| Mean | 7.3 | 56900 | 24000 | 7406 | 129 | 33.4 | 1.47 | 1.24 | 57 | 28.0 | 74.4 | 48.2 | 143 | 39.6 |
| Median | 6.9 | 49800 | 21600 | 5713 | 123 | 21.1 | 0.81 | 0.64 | 58 | 28.9 | 40.4 | 28.8 | 141 | 41.6 |
| Min | 2.4 | 33500 | 19300 | 1762 | 105 | 11.7 | 0.23 | 0.19 | 36 | 18.6 | 19.9 | 8.13 | 91.1 | 27.3 |
| Max | 11.9 | 90200 | 40300 | 21276 | 178 | 88.4 | 3.51 | 2.97 | 69 | 32.9 | 566 | 300 | 202 | 53.2 |
| Sd | 3.3 | 17400 | 5800 | 5631 | 19.0 | 25.2 | 1.17 | 1.08 | 9.4 | 4.15 | 113 | 62.9 | 28.6 | 8.38 |
© 2019 by the authors. Licensee MDPI, Basel, Switzerland. This article is an open access article distributed under the terms and conditions of the Creative Commons Attribution (CC BY) license (http://creativecommons.org/licenses/by/4.0/).
Share and Cite
Botsou, F.; Karageorgis, A.P.; Paraskevopoulou, V.; Dassenakis, M.; Scoullos, M. Critical Processes of Trace Metals Mobility in Transitional Waters: Implications from the Remote, Antinioti Lagoon, Corfu Island, Greece. J. Mar. Sci. Eng. 2019, 7, 307. https://doi.org/10.3390/jmse7090307
Botsou F, Karageorgis AP, Paraskevopoulou V, Dassenakis M, Scoullos M. Critical Processes of Trace Metals Mobility in Transitional Waters: Implications from the Remote, Antinioti Lagoon, Corfu Island, Greece. Journal of Marine Science and Engineering. 2019; 7(9):307. https://doi.org/10.3390/jmse7090307
Chicago/Turabian StyleBotsou, Fotini, Aristomenis P. Karageorgis, Vasiliki Paraskevopoulou, Manos Dassenakis, and Michael Scoullos. 2019. "Critical Processes of Trace Metals Mobility in Transitional Waters: Implications from the Remote, Antinioti Lagoon, Corfu Island, Greece" Journal of Marine Science and Engineering 7, no. 9: 307. https://doi.org/10.3390/jmse7090307
APA StyleBotsou, F., Karageorgis, A. P., Paraskevopoulou, V., Dassenakis, M., & Scoullos, M. (2019). Critical Processes of Trace Metals Mobility in Transitional Waters: Implications from the Remote, Antinioti Lagoon, Corfu Island, Greece. Journal of Marine Science and Engineering, 7(9), 307. https://doi.org/10.3390/jmse7090307
