Abstract
An eccentric jacket substructure is comprised of circular hollow section tubular joints with complete overlap of braces. The joint is formed with the lap brace overlapping the diagonal through the brace joining the chord face. In this study, the jacket substructure is subjected to a static vertical load due to self-weight and facilities, and four horizontal loads to simulate the environmental loads applied at four different horizontal angles. The maximum stresses at each level of the eccentric jacket are found lower than that of the traditional jacket. For the eccentric jacket substructure, the high stress critical area is mostly located at the short segment of the diagonal through brace joining the chord face. From the parametric study, the ultimate strength of the joint with the complete overlap of braces of the eccentric jacket reduces with increasing the gap size-to-through brace diameter ratio, ξ. With the short segment of the through-brace joining the chord face, the high-stress area is transferred from the joint intersection of the chord and the braces to the lap brace and the diagonal through-brace. It could; therefore, be concluded, based on the strength performance, that the eccentric jacket performed better with maximum stresses and high-stress critical areas.
1. Introduction
Offshore wind power for energy supply has become popular in recent years. This is in view of its stability in response to sea wind combined with the high efficiency of generating electrical power. According to the Global Wind Power Development Outlook Report 2016 reported by the Global Wind Energy Council, the capacity of offshore wind turbines in the world had increased by 2219 MW in the year 2016, 15.5% of the total capacity of offshore wind turbines installed in 2014. This trend showed the increasing installation of offshore wind turbines for energy supply over the years.
In the current study, a jacket substructure of the K-type vertical framing is selected for offshore wind turbines installed at a water depth of 30 m–70 m. Despite that research work of tubular joints with a complete overlap of braces has been conducted intensively, the scope, however, is only limited to the investigation of a joint subjected to lap brace loading, as shown in Figure 1. The research for the behavior of complete jacket substructure with completely overlapped joints is yet to be examined.
Figure 1.
Configurations of the traditional and eccentric jacket substructure. (a) Traditional jacket substructure; (b) Eccentric jacket substructure; (c) Completely overlapped joint.
The concept of the eccentric jacket substructure using completely overlapped joints was first proposed by Cheung et al. [1]. Their study showed that the eccentric jacket attained the advantages of saving material and shorter construction time in comparison to conventional jacket structures. The experimental study by Fung et al. [2,3] concluded that the ultimate capacity of the completely overlapped joints under lap brace axial compression was higher than that of the gap joint. The joint behavior was significantly affected by the geometrical parameters of the braces. For example, when the gap size (as shown is Figure 1c) between the lap brace and the external chord surface is smaller, the bending of the chord and the plasticization of the diagonal through-brace results in joint failure, and the lap brace yield becomes the main failure as the gap size increases. The study by Soh et al. [4] concluded that the local buckling of the braces of completely overlapped joint was the main energy-dissipating device. It was further commented that increasing the lap brace diameter could improve the joint hysteresis performance. However, the influences of gap size and the through-brace wall thickness were found to have a minimum impact on joint behavior.
The parametric equations to predict the stress concentration factors (SCF) of completely overlapped joints proposed by Gho et al. [5] and Gao et al. [6] revealed that the SCF was significantly influenced by the brace wall thickness and the gap size of the short segment of the diagonal through-brace joining the chord face. Gho et al. [7] further conducted an experimental investigation to study in detail the stress and strain concentration of completely overlapped joints under combined load cases that consisted of axial load (AX), in-plane bending (IPB) and out-plane bending (OPB). Their results indicated that the maximum strain concentration was located at the region between the two braces for the case of the joint under AX and OPB. On the other hand, for the case of the joint under IPB, it was located at the crown of the lap brace. The peak hot spot stress was found to occur at the position between the saddle and the crown for the joint under combined load cases. Four possible failure modes of joints under lap brace axial compression were proposed by Gho et al. [8], namely the through-brace wall plasticization, the lap brace yielding, the lap brace local buckling, and the lap brace failure.
The parametric equations to calculate the ultimate strength of the completely overlapped joint proposed by Gho et al. [9] commented that the ultimate joint strength increased with the reduced gap size. The study of local joint flexibility (LJF) by Gho [10] concluded that the load from the lap brace transferred to the chord could be by beam action, shell bending, or a combination of these actions. However, the gap size of the short segment of the diagonal through-brace affected the LJF significantly. The parametric equations to predict LJF of the completely overlapped joint under basic loading by Gao et al. [11,12,13] suggested some approaches of reducing the joint LJF. The investigation on the seismic behavior of the completely overlapped joints under fire by Liu et al. [14] concluded that the local buckling at the intersection of the two braces was the main mechanism to dissipate energy. However, the performance of the joint was found poorer with increasing temperature. Zhou et al. [15,16] studied the simplified analysis models for jacket structures.
Despite the merits of using eccentric jacket substructure for offshore wind turbines highlighted by Gho and Yang at a conference 2017, there was no further research work done specifically for this joint type, and no research information at all for the strength performance of the eccentric jacket substructure with completely overlapped tubular joints. Most research work done of this joint configuration is confined to uni-planar tubular joints subject to lap brace axial compression or bending. Thus in this paper, the structural performance and characteristics of the stress distribution of the eccentric jacket substructure is assessed with reference to the existing traditional jacket substructure.
2. Eccentric Jacket Substructure
2.1. Framing Configuration
The framing configuration of the eccentric jacket substructure was referenced to that of the existing traditional K-braced jacket substructure commonly used in the offshore marine industry. The geometrical properties of the joints of the eccentric and the traditional K-braced jacket substructure were identical. The jacket substructure consists of six levels of horizontal framings, namely level 1 at the base to level 6 at the top. For the eccentric jacket substructure, the joints with a complete overlap of braces were considered at levels 3 to 5. The diagonal through-braces between level 2 and 3, and between level 4 and 5, were adjusted such that the two ends of the horizontal braces (also referred as lap brace for a completely overlapped joint) were attached directly onto them. A short segment of the diagonal through-brace joining the chord face was formed. The tilt angle of the lap brace was dependent upon the gap size between the chord face and the joint intersection of the diagonal through-brace and lap brace. As shown in Figure 1, the completely overlapped joints are not considered at levels 1 and 2. The horizontal framing at level 1 was required to support the mud mat for the stability of the jacket substructure during installation. A V-type vertical bracing at this bay was designed to strengthen the horizontal framing at level 1. The completely overlapped joints were also not considered at level 6. Heavy structural member sections were provided at this level to support the topside facilities.
2.2. Geometrical, Dimensional, and Material Properties
As depicted in Figure 2, the overall height of the jacket substructure measuring from the horizontal framing at the base (level 1) to that at the top is 83.5 m. The elevation of levels 2 to 5 was 18.9 m, 39.9 m, 57.9 m, and 71.9 m, respectively. The jacket was a four-leg substructure of equal spacing of width 21.84 m, and 7.62 m for the base and the top horizontal framing, respectively. The diameter and wall thickness of the members are listed in Table 1. The Young’s modulus and the Poisson ratio were set to 2.06E11 N/mm2 and 0.30, respectively.
Figure 2.
Dimensional properties of the jacket substructures.
Table 1.
Diameter and wall thickness of members.
2.3. Dimensionless Parameter, ξ
The dimensionless parameter ξ was the diagonal through-brace diameter to gap size ratio. The minimum gap size of the short segment of the diagonal through-brace joining the chord face was set at 5 mm. To avoid the overlapping of welds between the two joints of the chord face and the joint intersection of the diagonal through-brace and lap brace. In the current study, the dimensionless parameter ξ of 0.085 and 0.25 to 1.5 with an interval of 0.25 were considered.
2.4. Finite Element Modeling of the Jacket Substructure
Both the traditional and the eccentric jacket substructure were modelled and analyzed using the numerical Finite Element (FE) software ANSYS [15,16,17]. The element shell 181 was used to determine the stress extreme value, the stress distribution and the high-stress critical area at the joints of the jacket structure. It was a four-node element with six degrees of freedom per node suitable for modelling thin and medium wall thickness shell structures. This element was developed for linear analysis, nonlinear applications of large rotation angle and large strain of steel structures. In consideration of the accuracy and the computational time, the complex joint configurations and the small gap size between the chord face and the joint intersection of the diagonal through-brace and lap brace, the grid sizes of the joint, the member, and the jacket leg FE models were set at 30 mm, 60 mm, and 100 mm, respectively. The numerical FE model of the traditional and the eccentric jacket substructure, as well as their joint configurations, are presented in Figure 3.
Figure 3.
FE models of jacket substructures. (a)Traditional jacket substructure with K/T-type joint; (b) Eccentric jacket substructure with completely overlapped joint.
3. Boundary Conditions and Load Cases
The base of the four legs of the jacket substructure was assumed pinned. To simulate the actual condition on -ite, the weights of the topside structure and equipment acting at the top level of the jacket substructure were applied as vertical downward loads FZ. The horizontal environment loads were simplified as static loads FH and were applied horizontally at the top level of the jacket legs. The applied vertical and horizontal loads, FZ and FH acting on each jacket leg were 1, 350 kN, and 135 kN, respectively. In view of the rotation symmetry of the jacket substructure, the horizontal load was applied at four different horizontal angles at 0, 15, 30, and 45 degrees, as illustrated in Figure 4. There were four combined load cases of FZ and FH, namely load cases #1 to #4, in 0, 15, 30, and 45-degree directions, respectively.
Figure 4.
Horizontal load applied at four different directions.
4. Results and Discussions
The ultimate strength, the stress distribution, and the location of high stress areas of the joints of the traditional and the eccentric jacket substructures were closely examined. The influences of the dimensionless parameter ξ on the strength performance of the joints of the two jacket substructures were also presented. However, in the current study, only the joints at levels 3 to 5 of the eccentric jacket substructure, which were comprised of completely overlapped joints, were investigated.
4.1. Ultimate Strength
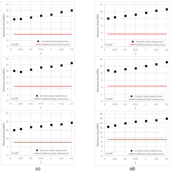
The comparison of the maximum equivalent stress at each level of the traditional and the eccentric jacket substructures under the four load cases are shown in Figure 5. For both the traditional and eccentric jacket substructures, the maximum stresses at levels 1 and 6 were much greater than that of the other levels. The high load magnitudes at these two levels were not unexpected due to the effect of the boundary condition and load application.
Figure 5.
Comparison of maximum stresses between the eccentric and traditional jacket substructure under four load cases. (a) Load cases #1; (b) Load cases #2; (c) Load cases #3; (d) Load cases #4.
For the effect of dimensionless parameter ξ, at 0.085, the comparison of the ultimate strength between the traditional and the eccentric jacket substructure showed that the differences of stresses at levels 1 and 6 were small. Note that the joints and the structural configurations at these two levels of the jacket substructures were identical. However, the maximum stresses at levels 3 to 5 of the eccentric jacket substructure were found lower than that of the traditional jacket structure, as presented in Table 2.
Table 2.
Reduction of maximum equivalent stresses at levels 3 to 5 (ξ = 0.085).
The ultimate strength of the eccentric jacket substructure with the horizontal load applied at 45 degrees yielded the highest value among all the load cases. The reduction of the maximum stress of the joints at level 2 was minimum. In view of the geometrical configuration of the joints, the eccentric jacket substructure with completely overlapped joints showed a lower maximum stress than the traditional jacket substructure with simple gap joints.
The study on the effect of the gap size of the short segment of the through-brace joining the chord face revealed that the maximum stresses at levels 3 to 5 increase dwith ξ. As shown in Figure 5a,b, the maximum stress at level 5 of the eccentric jacket substructure was higher than that of the traditional jacket substructure when ξ was greater than 1. It could, therefore, be commented from the results that the dimensionless parameter ξ should be controlled with a gap size not greater than the through-brace diameter for better ultimate strength at the joint.
4.2. Stress Distribution of Joints and Lap Brace Member
(1) Stress distribution of joints at the same elevation
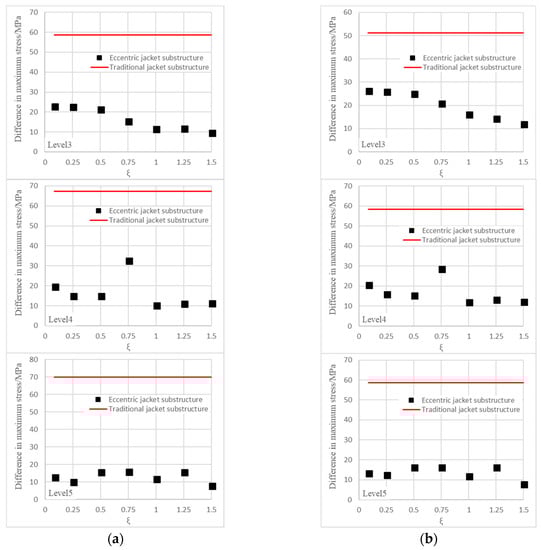
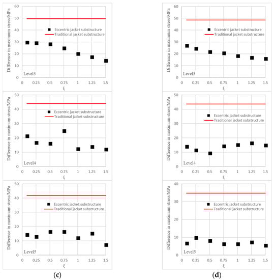
The load’s distribution of the four joints at the same level of the eccentric or traditional jacket substructure are not even as well as the stress distribution. The comparison of the difference of the maximum equivalent stress at each elevation of levels 3 to 5 of the eccentric and traditional jacket substructure under the four load cases are shown in Figure 6. The ordinate "Difference in maximum stress" represents the difference in maximum equivalent stress between the highest and lowest stress joints (at each level). The smaller difference means that the load’s distribution of four joints at this level are more even.

Figure 6.
Comparison of the maximum difference of stresses between eccentric and traditional jacket substructure. (a) Load cases #1; (b) Load cases #2; (c) Load cases #3; (d) Load cases #4.
As presented in Table 3, the differences in maximum stress at minimum ξ (0.085 with a gap size of 51 mm) at level 3 to 5 of the eccentric jacket were found greatly reduced in comparison to that of the traditional jacket substructure.
Table 3.
Reduction of difference in the maximum stress between the highest and lowest stressed joint at minimum ξ.
The reduction of stress differences of the eccentric jacket demonstrated that the maximum stresses of the joints at the same elevation are closer. It could be commented from the structural configuration that the eccentric jacket could have better material saving with full utilization of the members than that of the traditional jacket substructure.
Moreover, the difference in maximum stress at level 3 decreases with increasing ξ. The changes of stresses; however, were found less at levels 4 and 5. Generally speaking, for the eccentric jacket with ξ in a range of 0.085 to 1.5, the difference in maximum stress at each level was much less than that of the traditional jacket substructure.
(2) Stress distribution of horizontal members
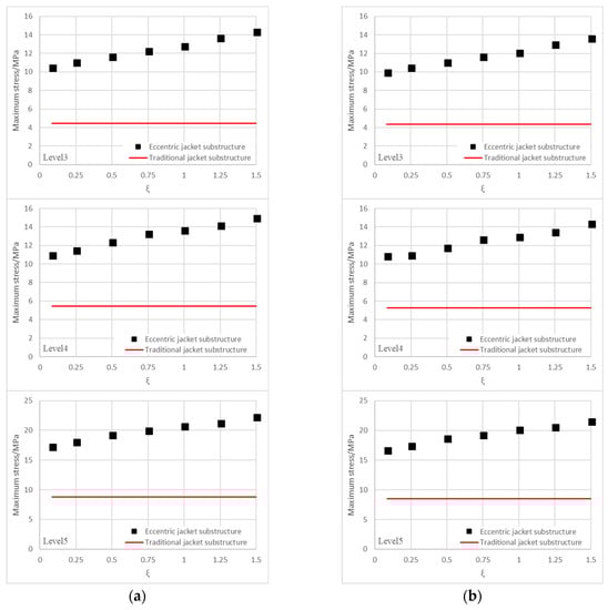
The comparison of the maximum stresses of the lap braces (eccentric jacket) and the horizontal braces (traditional jacket) at levels 3 to 5 under the four load cases are shown in Figure 7. The maximum stresses of the horizontal members at a minimum ξ (0.085 with a gap size of 51 mm) are presented in Table 4.

Figure 7.
Comparison of the maximum stress of the horizontal members at levels 3 to 5 under four load cases. (a) Load cases #1; (b) Load cases #2; (c) Load cases #3; (d) Load cases #4.
Table 4.
Maximum stress of lap brace (eccentric jacket) at minimum ξ.
The increment of the maximum stress of the lap braces of the eccentric jacket substructure was still within the designed yield strength of the material. This was expected as the applied load was effectively and directly transferred between the lap brace and the diagonal through-braces at the joint without passing through the chord face (jacket leg). This reduced the stress on the chord as a primary member of the structure and, thus, enhanced the ultimate strength of the joint. The impact of the dimensionless parameter ξ on the maximum stress of the lap brace could be significant—the tilt angle of the lap brace increases, and thus the stress, with ξ.
4.3. Location of the High-Stress Area
The high-stress critical areas of the two jacket substructures occurred at different locations. For the traditional jacket, it was located on the chord face of the legs at the gap intersection between the two braces, as shown in Figure 8. On the other hand, for the eccentric jacket substructure with minimum ξ (0.085 with gap size of 51 mm) at the joint, there were three possible locations of high-stress area on the chord face of the jacket legs (similar to that of the traditional jacket substructure), the short segment of the diagonal through-brace or the end of the diagonal brace joining the chord face, as depicted in Figure 9, Figure 10, Figure 11 and Figure 12, respectively. However, most of the high stress area of the joints of the eccentric jacket substructure occurred at the short segment of the diagonal through brace joining the chord face.
Figure 8.
Location of the high-stress area of the traditional jacket.
Figure 9.
The high-stress area at the chord face of the jacket leg.
Figure 10.
The high-stress area at the short segment of the diagonal through-brace joining the chord face.
Figure 11.
The high-stress area at the end of the diagonal through-brace.
Figure 12.
The high-stress area at the joint intersection of the lap brace and the diagonal through-brace.
In comparison with the joints of traditional jacket, the joints of eccentric jacket substructure subjected to smaller stress on the chord face of the jacket leg, which indicated that most of the load components were directly transferred among the braces without passing via the chord face, thus enhancing the joint’s ultimate capacity. This result was inconsistent with the conclusion made by other researchers for the study of joints with complete overlap of braces, where the short segment of the diagonal through-brace dissipated most of the energy under cyclic loading and reduced the stress concentration on the chord face than the simple gap joints [4].
For the joints independent of ξ, the high stress area was located on the chord face of the jacket leg. However, the location of the high-stress area could gradually be transferred from the end or the short segment of the diagonal through-brace to the joint intersection of the lap brace and diagonal through-brace with increasing ξ. The behavior of this load transfer mechanism of the joint with a complete overlap of braces occurred at ξ greater than 1.
5. Conclusions
An eccentric jacket substructure is comprised of completely overlapped joints. The comparison of the ultimate strength between the eccentric and the traditional jacket substructure revealed that the maximum stress at each level of the eccentric jacket could be reduced significantly, as high as 20 to 40% substructure. For the eccentric jacket, the difference in the maximum stress of the four joints at the same elevation could be reduced by 41 to 84%.
The lap brace of the eccentric jacket plays a significant role than the horizontal braces of the traditional jacket substructure. It could be seen from the increment of the maximum stress by 78 to 137%. There is a need to highlight that for the completely overlapped joint, loads are being transferred directly between the lap brace and the diagonal through brace. For the traditional jacket substructure, the high-stress area is located on the chord face of the jacket leg. On the other hand, for the eccentric jacket substructure most of the high-stress area occurred at the short segment of the diagonal through brace joining the chord face. This indirectly indicates that the joints of the eccentric jacket substructure would have higher ultimate strength, where the wall thickness of the chord could be reduced for cost-saving of material.
In the parametric study, the load ratios of the joints at the same elevation are less affected by the dimensionless parameter ξ. However, the ultimate strength of the joint of the eccentric jacket substructure reduces with increasing ξ. At relatively large ξ, the maximum stress of the lap brace increases, and the location of high-stress area transferred from the short segment of the diagonal through-brace to the joint intersection of the lap brace and diagonal brace. The findings presented in this paper are also in good agreement with the conclusions made by other researchers based on the study of the completely overlapped joints isolated from the frame structure and tested under lap brace axial compression and cyclic loading.
Author Contributions
Conceptualization, X.H. and A.C.; methodology, B.Z. and X.H.; software, A.C.; validation, G.Z.; writing—review and editing, W.M.G.
Funding
This research is funded by LiaoNing Revitalization Talents Program, grant number XLYC1807190; Liaoning Provincial Natural Science Foundation Guidance Project, grant number 20180550186; Open Project Funding of State Key Laboratory of Coastal and Offshore Engineering, Dalian University of Technology grant number LP1906.
Conflicts of Interest
The authors declare no conflict of interest.
References
- Cheung, L.Y.; Gho, W.M.; Fung, T.C.; Soh, C.K. Design economics of offshore structure-eccentric jacket. J. Ins. Eng. Singap. 1998, 138, 42–49. [Google Scholar]
- Fung, T.C.; Soh, C.K.; Gho, W.M. Ultimate capacity of completely overlapped tubular joints I. An experimental investigation. J. Constr. Steel Res. 2001, 57, 855–880. [Google Scholar] [CrossRef]
- Fung, T.C.; Soh, C.K.; Gho, W.M. Ultimate capacity of completely overlapped tubular joints. II: Behavioural study. J. Constr. Steel Res. 2001, 57, 881–906. [Google Scholar] [CrossRef]
- Soh, C.K.; Fung, T.C.; Qin, F. Behavior of completely overlapped tubular joints under cyclic loading. J. Struct. Eng. ASCE 2001, 127, 122–128. [Google Scholar] [CrossRef]
- Gho, W.M.; Gao, F. Parametric equations for stress concentration factors in completely overlapped tubular K(N)-joints. J. Constr. Steel Res. 2004, 60, 1761–1782. [Google Scholar] [CrossRef]
- Gao, F.; Shao, Y.B.; Gho, W.M. Stress and strain concentration factors of completely overlapped tubular joints under lap brace IPB load. J. Constr. Steel Res. 2007, 63, 305–316. [Google Scholar] [CrossRef]
- Gho, W.M.; Gao, F.; Yang, Y. Load combination effects on stress and strain concentration of completely overlapped tubular K(N)-joints. Thin Walled Struct. 2005, 43, 1243–1263. [Google Scholar] [CrossRef]
- Gho, W.M.; Yang, Y.; Gao, F. Failure mechanisms of tubular CHS joints with complete overlap of braces. Thin Walled Struct. 2006, 44, 655–666. [Google Scholar] [CrossRef]
- Gho, W.M.; Yang, Y. Parametric equation for static strength of tubular circular hollow section joints with complete overlap of braces. J. Struct. Eng. ASCE 2008, 134, 393–401. [Google Scholar] [CrossRef]
- Gho, W.M. Local joint flexibility of tubular circular hollow section joints with complete overlap of braces. Tubul. Struct. 2009, 12, 607–614. [Google Scholar]
- Gao, F.; Hu, B. Local joint flexibility of completely overlapped tubular joints under out-of-plane bending. J. Constr. Steel Res. 2015, 115, 121–130. [Google Scholar] [CrossRef]
- Gao, F.; Hu, B.; Zhu, H. Local joint flexibility of completely overlapped tubular joints under in-plane bending. J. Constr. Steel Res. 2014, 99, 1–9. [Google Scholar] [CrossRef]
- Gao, F.; Hu, B.; Zhu, H.P. Parametric equations to predict LJF of completely overlapped tubular joints under lap brace axial loading. J. Constr. Steel Res. 2013, 89, 284–292. [Google Scholar] [CrossRef]
- Liu, M.; Zhao, J.; An, M. Study on seismic behavior of completely overlapped tubular K Joints under fire. In Proceedings of the International Conference on Earthquake Engineering, The First Anniversary of Wenchuan Earthquake, Chengdu, China, 9–12 May 2009; pp. 89–92. [Google Scholar]
- Zhou, B.; Han, X.S.; Tan, S.A. Simplified Computational Method for Random Seismic Responses of a Jacket Platform. Ocean Eng. 2014, 82, 85–90. [Google Scholar] [CrossRef]
- Zhou, B.; Guo, W.; Han, X.S.; Tan, S. Random seismic response analysis of jacket structure with Timoshenko’s beam theory. Ships Offshore Struct. 2016, 11, 438–444. [Google Scholar] [CrossRef]
- Xiao, Z.M. A penny-shaped crack above the pole of a spherical inhomogeneity. Mech. Mater. 1997, 25, 263–272. [Google Scholar] [CrossRef]
© 2019 by the authors. Licensee MDPI, Basel, Switzerland. This article is an open access article distributed under the terms and conditions of the Creative Commons Attribution (CC BY) license (http://creativecommons.org/licenses/by/4.0/).