Life Cycle Assessment of LNG Fueled Vessel in Domestic Services
Abstract
1. Introduction
2. Literature Review
3. Adopted Approach
3.1. Goal and Scope Definition
- Well to Tank analysis for emission from the fuel supply
- Tank to Wake analysis for emission from the fuel combustion
- Well to Wake analysis for combination of Well to Tank and Tank to Wake analysis
- Bunkering operation for the LNG fuel is made by truck-to-ship in the study. Stored LNG fuel in the LNG terminal is transported by means of LNG bunker truck to the port where the vessel is moored. LNG fuel is bunkered directly to the tank of the ship from the tank of the LNG bunker truck [34].
- Transportations with LNG carriers and LNG bunker trucks include not only laden trips but also ballast trips.
- Materials and emissions associated with constructing oil and gas facilities (oil extraction, refinery plants, relevant systems, etc.) are not considered in this study. The transport process for energizing the facilities are also excluded.
3.1.1. LNG Supply Chain
3.1.2. MGO Supply Chain
3.1.3. Product System and Functional Unit
3.2. Inventory Analysis
3.2.1. Well to Tank Inventory Analysis
3.2.2. Tank to Wake Inventory Analysis
3.2.3. LCA Modelling
3.3. Impact Category
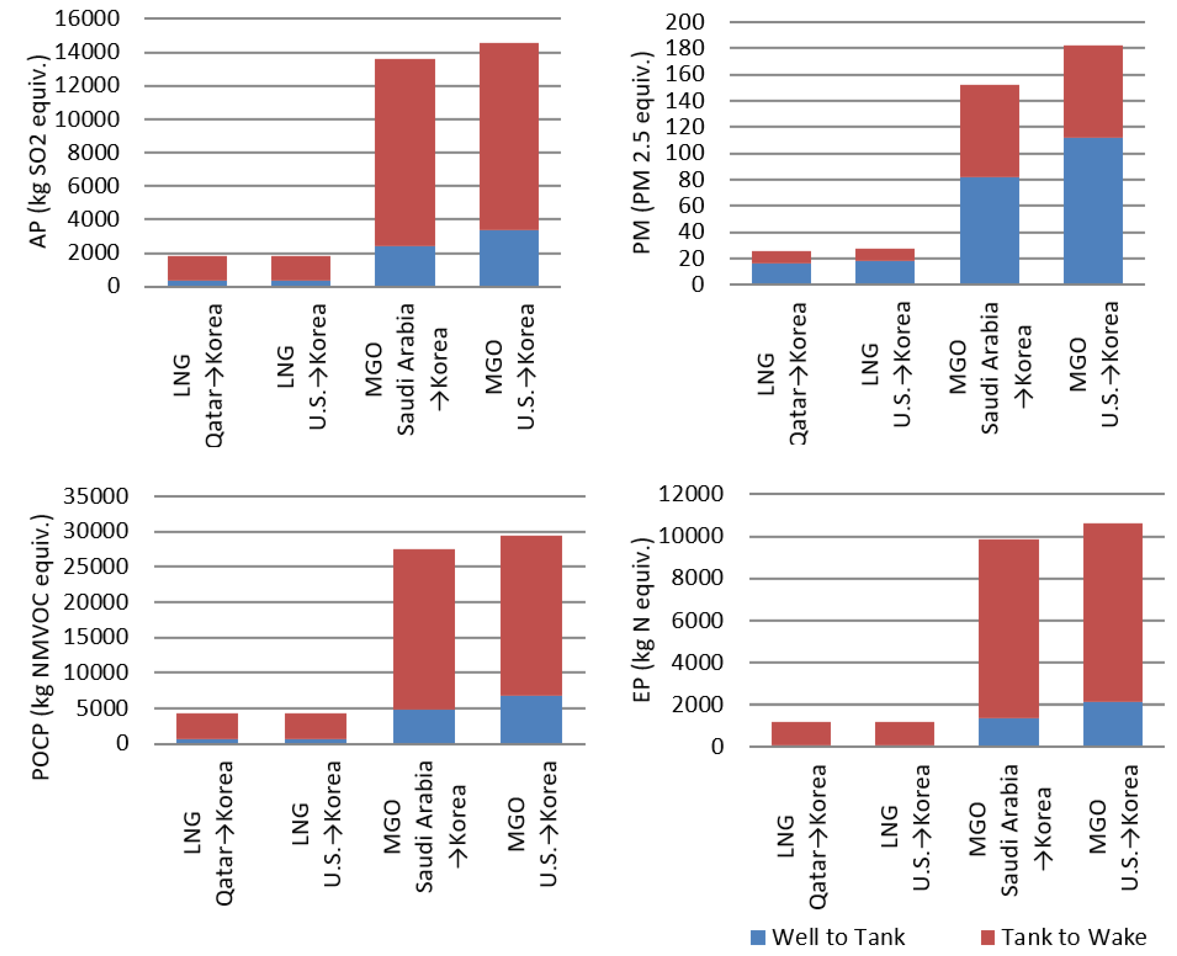
4. Results (Impact Assessment)
4.1. Well to Tank Impact Assessment
4.2. Tank to Wake Impact Assessment
4.3. Well to Wake Impact Assessment
5. Interpretation and Discussion
- Application of international pipelines or other cleaner transport solutions;
- Ensuring closest LNG exporter;
- Considering FLNG (Floating Liquefied Natural Gas);
- Using renewable energy for domestic transports;
- Domestic pipelines for fuel distribution.
6. Conclusions
- (1)
- GWP: 977 tonnages of CO2 equivalent per 1.0 × 107 MJ of fuel consumption;
- AP: 1.76 tonnages of SO2 equivalent per 1.0 × 107 MJ of fuel consumption;
- EP: 1.18 tonnages of N equivalent per 1.0 × 107 MJ of fuel consumption;
- POCP: 4.28 tonnages of NMVOC equivalent per 1.0 × 107 MJ of fuel consumption;
- PM: 26 kg of PM2.5 equivalent per 1.0 × 107 MJ of fuel consumption.
Moreover, considering factor-based findings, Case 1, LNG from Middle East to South Korea, was determined to produce 0.88 times lesser GWP compared to Case 3, MGO from Middle East to South Korea while Case 2, LNG from U.S. to South Korea, emitted 0.86 times lesser GWP than Case 4, MGO from U.S. to South Korea. - (2)
- Regional distances between the energy exporter and the importer and the supply chains were found to be important parameters to determine the environmental impact of marine fuels, which suggests the importance of optimal production, transport as well as usage.
- (3)
- The methane slip pertinent to LNG combustion was identified an issue to be resolved in order to adopt the LNG as a successful post-2020 marine fuel; the amount of GWP contributed by the methane slip was not negligibly small.
- (4)
- LCA was proved effective for marine industry including oil and gas as a comprehensive and robust tool to evaluate the holistic environmental impact on marine pollutions. This proposed approach is believed to contribute to addressing the shortcomings of current maritime emission calculators. Therefore, the analysis results and the proposed approach are to provide the stakeholders an insight into making proper decision-making and future regulatory framework.
Author Contributions
Funding
Acknowledgments
Conflicts of Interest
Abbreviations
| AP | Acidification Potential |
| DWT | Dead Weight Tonnage |
| ECA | Emission Control Area |
| EP | Eutrophication Potential |
| FLNG | Floating Liquefied Natural Gas |
| GHG | Green House Gas |
| GWP | Global Warming Potential |
| HFO | Heavy Fuel Oil |
| HSFO | High Sulphur Fuel Oil |
| IMO | International Maritime Organization |
| ISO | International Organization for Standardization |
| LCA | Life Cycle Assessment |
| LCI | Life Cycle Inventory |
| LHV | Lower Heating Value |
| LNG | Liquefied Natural Gas |
| LSFO | Low Sulphur Fuel Oil |
| MGO | Marine Gas Oil |
| MTPA | Million Tonnes per Annum |
| NGL | Natural Gas Liquid |
| NMVOC | Non-Methane Volatile Organic Compounds |
| NOX | Nitrogen Oxides |
| PM | Particulate Matter |
| POCP | Photochemical Ozone Creation Potential |
| SOX | Sulphur Oxides |
| TtW | Tank to Wake |
| ULSFO | Ultra-Low Sulphur Fuel Oil |
| WtT | Well to Tank |
| WtW | Well to Wake |
References
- UN. Review of Marine Transport 2018; UNCTAD: Geneva, Switzerland, 2018. [Google Scholar]
- Corkhill, M. LNG World Shipping—Healthy Freight Rates and 2018 LNG Shipping Predictions. 2018. Available online: https://www.lngworldshipping.com/news/view,healthy-freight-rates-and-2018-lng-shipping-predictions_50323.htm (accessed on 31 August 2018).
- Yoo, B.Y. Economic assessment of liquefied natural gas (LNG) as a marine fuel for CO2 carriers compared to marine gas oil (MGO). Energy 2017, 121, 772–780. [Google Scholar] [CrossRef]
- Piellisch, R. ‘Container Ship LNG? Plenty of Time’, HHP Insight. 2013. Available online: http://hhpinsight.com/marine/2013/01/container-ship-lng-plenty-of-time/ (accessed on 18 January 2016).
- Thomson, H.; Corbett, J.J.; Winebrake, J.J. Natural gas as a marine fuel. Energy Policy 2015, 87, 153–167. [Google Scholar] [CrossRef]
- El-Gohary, M.M. The future of natural gas as a fuel in marine gas turbine for LNG carriers. Proc. Inst. Mech. Eng. Part M J. Eng. Marit. Environ. 2012, 226, 371–377. [Google Scholar] [CrossRef]
- IMO. Guidelines on the Method of Calculation of the Attained Energy Efficiency Design Index (EEDI) for New Ships; International Maritime Organization: London, UK, 2018. [Google Scholar]
- IMO. ISWG-GHG 5/4/5: Consideration of Concrete Proposals on Candidate Short-Term Measures; Consideration on Development of the Lifecycle GHG/Carbon Intensity Guidelines for all Types of Fuels; International Maritime Organization: London, UK, 2019. [Google Scholar]
- Guinée, J.B. Handbook on life cycle assessment operational guide to the ISO standards. Int. J. Life Cycle Assess. 2002, 7, 311–313. [Google Scholar] [CrossRef]
- Finnveden, G.; Hauschild, M.Z.; Ekvall, T.; Guinée, J.; Heijungs, R.; Hellweg, S.; Koehler, A.; Pennington, D.; Suh, S. Recent developments in Life Cycle Assessment. J. Environ. Manag. 2009, 91, 1–21. [Google Scholar] [CrossRef] [PubMed]
- Levasseur, A.; Lesage, P.; Margni, M.; Deschenes, L.; Samson, R. Considering Time in LCA: Dynamic LCA and Its Application to Global Warming Impact Assessments. Environ. Sci. Technol. 2010, 44, 3169–3174. [Google Scholar] [CrossRef]
- Woods, J.S.; Veltman, K.; Huijbregts, M.A.; Verones, F.; Hertwich, E.G. Towards a meaningful assessment of marine ecological impacts in life cycle assessment (LCA). Environ. Int. 2016, 89, 48–61. [Google Scholar] [CrossRef]
- Bengtsson, S.; Andersson, K.; Fridell, E. Life Cycle Assessment of Marine Fuels: A Comparative Study of Four Fossil Fuels for Marine Propulsion; Chalmers University of Technology: Gothenburg, Sweden, 2011. [Google Scholar]
- Thinkstep. Life Cycle GHG Emission Study on the Use of LNG as Marine Fuel; 2019. Available online: www.thinkstep.com/ content/life-cycle-ghg- emission-study-use-lng-marine-fuel-1 (accessed on 23 June 2019).
- El-Houjeiri, H.; Monfort, J.-C.; Bouchard, J.; Przesmitzki, S. Life Cycle Assessment of Greenhouse Gas Emissions from Marine Fuels: A Case Study of Saudi Crude Oil versus Natural Gas in Different Global Regions. J. Ind. Ecol. 2019, 23, 374–388. [Google Scholar] [CrossRef]
- Sharafian, A.; Blomerus, P.; Mérida, W. Natural gas as a ship fuel: Assessment of greenhouse gas and air pollutant reduction potential. Energy Policy 2019, 131, 332–346. [Google Scholar] [CrossRef]
- Liu, R.E. Life Cycle Greenhouse Gas Emissions of Western Canadian Natural Gas and a Proposed Method for Upstream Life Cycle Emissions Tracking; 2019. Available online: http://hdl.handle.net/1880/110466 (accessed on 29 July 2019).
- Brynolf, S.; Fridell, E.; Andersson, K. Environmental assessment of marine fuels: Liquefied natural gas, liquefied biogas, methanol and bio-methanol. J. Clean. Prod. 2014, 74, 86–95. [Google Scholar] [CrossRef]
- Tan, R.B.; Wijaya, D.; Khoo, H.H. LCI (Life cycle inventory) analysis of fuels and electricity generation in Singapore. Energy 2010, 35, 4910–4916. [Google Scholar] [CrossRef]
- Tagliaferri, C.; Clift, R.; Lettieri, P.; Chapman, C. Liquefied natural gas for the UK: A life cycle assessment. Int. J. Life Cycle Assess. 2017, 49, 1944–1956. [Google Scholar] [CrossRef]
- Jeong, B. Comparative Analysis of SOx Emission-Compliant Options for Marine Vessels from Environmental Perspective. J. Korean Soc. Power Syst. Eng. 2018, 22, 72–78. [Google Scholar] [CrossRef]
- Hua, J.; Cheng, C.-W.; Hwang, D.-S. Total life cycle emissions of post-Panamax containerships powered by conventional fuel or natural gas. J. Air Waste Manag. Assoc. 2019, 69, 131–144. [Google Scholar] [CrossRef]
- Jeong, B.; Jang, H.; Zhou, P.; Lee, J.U. Investigation on marine LNG propulsion systems for LNG carriers through an enhanced hybrid decision making model. J. Clean. Prod. 2019, 230, 98–115. [Google Scholar] [CrossRef]
- Rocco, M.V.; Langè, S.; Pigoli, L.; Colombo, E.; Pellegrini, L.A. Assessing the energy intensity of alternative chemical and cryogenic natural gas purification processes in LNG production. J. Clean. Prod. 2019, 208, 827–840. [Google Scholar] [CrossRef]
- Miksch, T.P. USA-Asia LNG Shipping Route Optimization. Master Thesis, University Putra Malaysia (UPM), Selangor Darul Ehsan, Malaysia, February 2019. [Google Scholar]
- Dong, D.T.; Cai, W. Life-cycle assessment of ships: The effects of fuel consumption reduction and light displacement tonnage. Proc. Inst. Mech. Eng. Part M J. Eng. Marit. Environ. 2019. [Google Scholar] [CrossRef]
- Alkaner, S.; Zhou, P. A comparative study on life cycle analysis of molten carbon fuel cells and diesel engines for marine application. J. Power Sources 2006, 158, 188–199. [Google Scholar] [CrossRef]
- Smith, L.; Ibn-Mohammed, T.; Yang, F.; Reaney, I.M.; Sinclair, D.C.; Koh, S.L. Comparative environmental profile assessments of commercial and novel material structures for solid oxide fuel cells. Appl. Energy 2019, 235, 1300–1313. [Google Scholar] [CrossRef]
- Evrin, R.A.; Dincer, I. Thermodynamic analysis and assessment of an integrated hydrogen fuel cell system for ships. Int. J. Hydrogen Energy 2019, 44, 6919–6928. [Google Scholar] [CrossRef]
- Hansson, J.; Månsson, S.; Brynolf, S.; Grahn, M. Alternative marine fuels: Prospects based on multi-criteria decision analysis involving Swedish stakeholders. Biomass Bioenergy 2019, 126, 159–173. [Google Scholar] [CrossRef]
- Workman, D. Croude Oil Imports by Country. 2019. Available online: http://www.worldstopexports.com/crude-oil-imports-by-country/ (accessed on 25 June 2019).
- EIA. China Becomes World’s Second Largest LNG Importer, Behind Japan. 2019. Available online: https://www.eia.gov/todayinenergy/detail.php?id=35072 (accessed on 25 June 2019).
- Finkbeiner, M.; Inaba, A.; Tan, R.; Christiansen, K.; Klüppel, H.-J. The New International Standards for Life Cycle Assessment: ISO 14040 and ISO 14044. Int. J. Life Cycle Assess. 2006, 11, 80–85. [Google Scholar] [CrossRef]
- Lee, C. Status and Prospects of LNG Bunkering by KOGAS. In Proceedings of the International LNG Fueled Ship & Bunkering Conference, Busan, Koran, 15 November 2018. [Google Scholar]
- KESIS. Annual LNG Import Report. 2018. Available online: http://www.kesis.net/sub/subChart.jsp?report_id=7020200&reportType=0 (accessed on 24 July 2019).
- Paik, K.-W. South Korea’s Energy Policy Change and the Implications for Its LNG Imports. Available online: https://doi.org/10.26889/9781784671136. (accessed on 15 June 2019).
- U.S.EIA. Country Analysis Brief: South Korea; U.S. Energy Information Administer: Washington, DC, USA, 2018.
- Thinkstep. GaBi Database. Available online: http://www.gabi-software.com/international/databases/gabi-databases. (accessed on 15 June 2019).
- GEOS, G. A Guide to Fuel Properties. 2014. Available online: http://www.geosgroup.com/news/article/a-guide-to-fuel-properties (accessed on 24 July 2019).
- Vermeire, M.B. Everything You Need to Know about Marine Fuels; Chevron Global Marine Products: Singapore, 2012. [Google Scholar]
- KOGAS. Technical Reports for New LNG Carrier Construction: LNG; Korea Gas Corporation: Daegu, Korea, 2013. (In Korean) [Google Scholar]
- SEAROUTES. Available online: http://www.searoutes.com (accessed on 13 June 2019).
- Knaggs, T. Significant Ships of 2008; RINA: London, UK, 2008. [Google Scholar]
- Naji, A.-A. Natural Gas Reserves, Development and Production in Qatar. 1998. Available online: https://inis.iaea.org/collection/NCLCollectionStore/_Public/29/029/29029263.pdf (accessed on 23 June 2019).
- NAVER. Available online: https://map.naver.com/ (accessed on 23 June 2019).
- World Maritime News. World’s First LNG-Fueled; World Maritime News: Schiedam, The Netherlands, 2019. [Google Scholar]
- I.M.O. Greenhouse Gas Study, Third, 2014; Executive Summary: London, UK, 2014. [Google Scholar]
- Dreyer, L.C.; Niemann, A.L.; Hauschild, M.Z. Comparison of Three Different LCIA Methods: EDIP97, CML2001 and Eco-indicator 99. Int. J. Life Cycle Assess. 2003, 8, 191–200. [Google Scholar] [CrossRef]
- Commission, E.U.-E. International Reference Life Cycle Data System (ILCD) Handbook—General Guide for Life Cycle Assessment—Detailed Guidance; Institute for Environment and Sustainability: Ispra, Italy, 2010. [Google Scholar]

















| Fuel Type | Tank Size (m3) | Density (kg/m3) | Mass of Fuel at Fully Tanked Condition (t) | LHV (MJ/kg) | Total Energy (MJ) | Required Mass of Fuel for 1.0 × 107 MJ (t) |
|---|---|---|---|---|---|---|
| LNG | 500 | 450 | 225 | 48.9 | 1.10 × 107 | 204 |
| MGO | 400 | 860 | 344 | 42.7 | 1.47 × 107 | 234 |
| Specification | Case 1 | Case 2 | Case 3 | Case 4 |
|---|---|---|---|---|
| Fuel type | LNG | LNG | MGO | MGO |
| Fuel supplier | Qatar | U.S. | Saudi Arabia | U.S. |
| Ocean transport distance (period) | 23,224 km (30 days) | 35,300 km (44 days) | 22,902 km (30 days) | 36,126 km (44 days) |
| From fuel terminal to bunkering port | Transported by truck (108 km) | Directly Fueled from oil terminal | ||
| Bunkering operation | Truck-to-Ship | Port-to-Ship | ||
| Ship Type | Engine | Design Speed | Cargo Capacity | Load Factor | Fuel |
|---|---|---|---|---|---|
| LNG carrier | 27,300 kW | 19.5 knot (36.1 km/h) | 147,237 m3 | 0.55 | LNG |
| Crude oil carrier | 12,330 kW | 15.2 knot (28.2 km/h) | 57,741 m3 | 0.55 | MGO |
| Description | Case 1 | Case 2 | Case 3 | Case 4 |
|---|---|---|---|---|
| Case | LNG Supply from Qatar to South Korea | LNG Supply from U.S. to South Korea | MGO Supply from Saudi Arabia to South Korea | Oil transportation from U.S to South Korea |
| Area of production | North Dome Gas-Condensate field, Qatar | Louisiana gas field, U.S. | Saudi Arabia | Texas oil field, U.S. |
| Final destination (bunkering port for LNG fuel) | Port of Donghae, South Korea | Port of Donghae, South Korea | Port of Gwangyang, South Korea | Port of Gwangyang, South Korea |
| Transportation route | North Dome Gas-Condensate field, Qatar → Ras Laffan LNG Terminal, Qatar (Port of Ras Laffan) → Samcheok LNG Terminal, South Korea → Port of Donghae, South Korea | Louisiana gas field, U.S. → Sabine Pass LNG Terminal, U.S. (Port of Cameron LA) → Samcheok LNG Terminal, South Korea → Port of Donghae, South Korea | Ghawar field, Saudi Arabia → Ras Tanura Oil Terminal, Saudi Arabia (Port of Ras Tanura) → Yeosu Oil Terminal (Port of Gwangyang), South Korea | Houston field, U.S. → Houston Fuel Oil Terminal, U.S. (Port of Houston) → Yeosu Oil Terminal (Port of Gwangyang), South Korea |
| Pipe line length | between North Dome Gas-Condensate field and Ras Laffan LNG terminal: About 85 km [44] | between Louisiana gas field and Sabine Pass LNG Terminal: About 500 km [14] | - | - |
| Sea route distance | from Ras Laffan LNG Terminal to Samcheok LNG Terminal: About 6270 NM (=11,612 km) for one way voyage [42] | from Sabine Pass LNG Terminal to Samcheok LNG Terminal: 9530 NM (=17,650 km) for one way voyage [42] | from Ras Tanura Oil Terminal to Gwangyang Oil Terminal: 6183 NM (=11,451 km) [42] | from Houston Fuel Oil Terminal to Gwangyang Oil Terminal: 9753 NM (=18,063 km) [42] |
| Voyage period for vessels | 30 days (including return voyage + 2 days for any event) | 44 days (including return voyage + 2 days for any event) | 30 days (including return voyage + 2 days for any event) | 44 days (including return voyage + 2 days for any event) |
| Truck route distance | from Samcheok LNG Terminal to Port of Donghae: About 54 km for one way trip [45] | from Samcheok LNG Terminal to Port of Donghae: About 54 km for one way trip [45] | - | - |
| Bunkering operation | Truck-to-Ship | Truck-to-Ship | Port-to-Ship | Port-to-Ship |
| 50000 DWT LNG-Fueled Bulk Carrier | |||
|---|---|---|---|
| Length overall | 190.63 m | Dead weight scantling | 50,000 MT |
| Breadth | 32.26 m | Service speed | 14.0 knots (25.9 km/h) |
| Depth | 17.30 m | Main engine | 2-stroke slow speed diesel |
| Cargo hold | 63,200 m3 | Daily fuel oil consumption | 21.30 MT/day |
| LNG fuel tanks | 500 m3 | Daily fuel gas consumption | 17.00 MT/day |
| MGO tanks | 400 m3 | Cruising range (Oil mode) | 3600 NM |
| MGO tanks | 400 m3 | Cruising range (Gas mode) | 5300 NM |
| Emission Factor [kg per 1 kg Consumption of Fuel] | ||||||||
|---|---|---|---|---|---|---|---|---|
| Fuel Type | CO2 | CO | N2O | PM | CH4 | NOX | NMVOC | SO2 |
| LNG | 2.75 | 7.83 × 10−3 | 1.08 × 10−4 | 1.8× 10−4 | 5.0 × 10−2 | 1.4 × 10−2 | 3.0 × 10−3 | - |
| MGO | 3.21 | 2.77 × 10−3 | 1.6 × 10−4 | 9.7× 10−4 | 6.0 × 10−5 | 8.7 × 10−2 | 3.08 × 10−3 | 1.0 × 10−3 |
| Production & Pipeline Transport [kg per 1 ton of Natural gas] | CO2 | CO | N2O | CH4 | NOX | S2O | NMVOC | PM |
| 67.6 | 0.0917 | 0.15 | 0.095 | 0.428 | 0.989 | 0.902 | - | |
| Purification & Liquefaction [kg per 1 ton of LNG] | CO2 | CO | N2O | CH4 | NOX | S2O | NMVOC | PM |
| 228 | 0.124 | 0.00747 | 1.94 | 0.187 | 0.00127 | 0.0124 | 0.00124 | |
| LNG Carrier Transport, 23,224 km Qatar → Korea [kg per 1 ton of LNG] | CO2 | CO | N2O | CH4 | NOX | NMVOC | PM | - |
| 308 | 0.21 | 0.00564 | 0.00564 | 0.2 | 0.0139 | 0.019 | - | |
| LNG Carrier Transport, 35,300 km U.S. → Korea [kg per 1 ton of LNG] | CO2 | CO | N2O | CH4 | NOX | NMVOC | PM | - |
| 468 | 0.32 | 0.00857 | 0.00857 | 0.3 | 0.0211 | 0.0289 | - | |
| LNG Terminal Storage [kg per 1 kg of LNG] | CO2 | CO | H2S | NOX | NMVOC | SOX | - | - |
| 1.8 × 10−4 | 1.3 × 10−6 | 1.0 × 10−9 | 2.6 × 10−9 | 1.1 × 10−5 | 4.1 × 10−7 | - | - | |
| Bunker Truck [kg per 108 km transport of 1 kg of LNG] | Ammonia | Benzene | CO2 | CO | PM | CH4 | NO2 | NO |
| 1.97 × 10−8 | 3.2 × 10−9 | 5.72 × 10−3 | 3.83 × 10−6 | 1.17 × 10−7 | 4.59 × 10−9 | 8.44 × 10−7 | 6.64 × 10−6 | |
| N2O | NMVOC | SO2 | - | - | - | - | - | |
| 3.43 × 10−7 | 1.87 × 10−7 | 3.60 × 10−8 | - | - | - | - | - | |
| Bunkering Operation [kg per bunkering 1MJ of LNG] | CO2 | CO | CH4 | H2S | N2O | S2O | NMVOC | - |
| 1.8 × 10−4 | 1.3 × 10−6 | 8.86 × 10−6 | 1.0 × 10−9 | 2.6 × 10−9 | 4.1 × 10−7 | 1.1 × 10−5 | - |
| Production & Pipeline Transport [kg per 1 kg of Crude oil] | CO2 | CO | N2O | NOX | SOX | NMVOC | PM |
| 2.04 × 10−1 | 3.33 × 10−5 | 2.33 × 10−4 | 2.94 × 10−4 | 2.51 × 10−6 | 3.72 × 10−5 | 7.17 × 10−7 | |
| Ocean tanker transportation, 22,902 km Saudi Arabia→ Korea [kg per 1 kg of Crude oil] | CO2 | CO | NOX | SOX | NMVOC | PM | |
| 2.13 × 10−1 | 6.23 × 10−4 | 5.81 × 10−3 | 1.68 × 10−4 | 1.73 × 10−4 | 1.39 × 10−4 | ||
| Ocean tanker transportation, 36,126 km U.S. → Korea [kg per 1 kg of Crude oil] | CO2 | CO | NOX | SOX | NMVOC | PM | |
| 3.36 × 10−1 | 9.83 × 10−4 | 9.16 × 10−3 | 2.65 × 10−4 | 2.73 × 10−4 | 2.19 × 10−4 | ||
| Refinery [kg per 1 kg of MGO] | CO2 | CO | N2O | NOX | SOX | NMVOC | PM |
| 3.00 × 10−1 | 3.70 × 10−4 | 5.65 × 10−6 | 6.99 × 10−4 | 1.72 × 10−3 | 3.84 × 10−3 | 3.26 × 10−5 | |
| MGO Terminal Storage [kg per 1 kg of MGO] | CO2 | CO | H2S | NOX | NMVOC | SOX | |
| 1.8 × 10−4 | 1.3E × 10−6 | 1.0 × 10−9 | 2.6 × 10−9 | 1.1 × 10−5 | 4.1 × 10−7 | ||
| Bunkering Operation [kg per bunkering 1 MJ of MGO] | CO2 | CO | H2S | N2O | S2O | NMVOC | |
| 1.8 × 10−4 | 1.3E × 10−6 | 1.0 × 10−9 | 2.6 × 10−9 | 4.1 × 10−7 | 1.1 × 10−5 |
| Type | Emission from LNG Consumption [kg] | Emission from MGO Consumption [kg] |
|---|---|---|
| Carbon dioxides (CO2) | 5.6 × 105 | 7.9 × 105 |
| Carbon monoxide (CO) | 1.6 × 103 | 6.89 × 102 |
| Methane (CH4) | 1.0 × 104 | 1.49 × 101 |
| Fuel Supply Pathway | Share of Emission from Supply Chain [%] | Share of Emission from Consumption [%] | Total [%] |
|---|---|---|---|
| LNG Qatar → Korea | 15.7 | 84.3 | 100 |
| LNG U.S. → Korea | 18.4 | 81.6 | 100 |
| MGO Saudi Arabia → Korea | 31.6 | 68.4 | 100 |
| MGO U.S. → Korea | 35.5 | 64.5 | 100 |
© 2019 by the authors. Licensee MDPI, Basel, Switzerland. This article is an open access article distributed under the terms and conditions of the Creative Commons Attribution (CC BY) license (http://creativecommons.org/licenses/by/4.0/).
Share and Cite
Hwang, S.; Jeong, B.; Jung, K.; Kim, M.; Zhou, P. Life Cycle Assessment of LNG Fueled Vessel in Domestic Services. J. Mar. Sci. Eng. 2019, 7, 359. https://doi.org/10.3390/jmse7100359
Hwang S, Jeong B, Jung K, Kim M, Zhou P. Life Cycle Assessment of LNG Fueled Vessel in Domestic Services. Journal of Marine Science and Engineering. 2019; 7(10):359. https://doi.org/10.3390/jmse7100359
Chicago/Turabian StyleHwang, Sangsoo, Byongug Jeong, Kwanghyo Jung, Mingyu Kim, and Peilin Zhou. 2019. "Life Cycle Assessment of LNG Fueled Vessel in Domestic Services" Journal of Marine Science and Engineering 7, no. 10: 359. https://doi.org/10.3390/jmse7100359
APA StyleHwang, S., Jeong, B., Jung, K., Kim, M., & Zhou, P. (2019). Life Cycle Assessment of LNG Fueled Vessel in Domestic Services. Journal of Marine Science and Engineering, 7(10), 359. https://doi.org/10.3390/jmse7100359

