Ionospheric Electron Density Perturbations Driven by Seismic Tsunami-Excited Gravity Waves: Effect of Dynamo Electric Field
Abstract
:1. Introduction
2. Tsunami-Driven Disturbance at the Sea Surface and Its Upward Propagation in Atmosphere
2.1. Tsunami Displacement and Its Vertical Speed Amplitude at
2.2. Wave Amplification during Upward Propagation


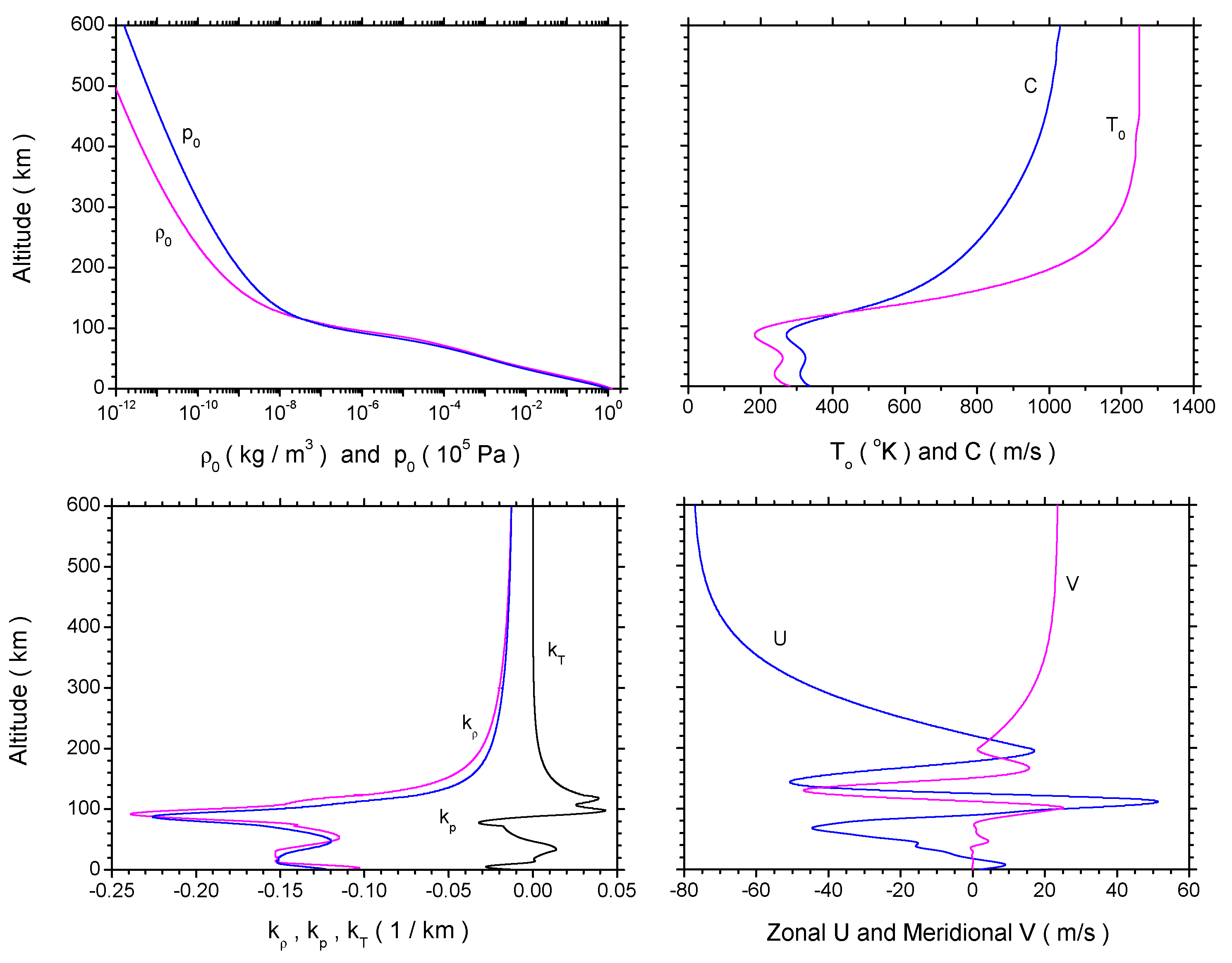
3. Ionospheric Plasma Properties in the Upper Atmosphere
3.1. Generalized Ion Momentum Equation

3.2. Generalized Electron Continuity Equation
4. Ionospheric Dynamo Electric Field and Electron and Ion Speeds

5. Electron Density Perturbations Driven by Tsunami-Excited Gravity Waves
5.1. Magnitude of
- (1)
- O+hν→;
- (2)
- , with a loss rate of cm/s; and,
- (3)
- , with a loss rate of cm/s.
- 4: , ;
- 7a: , ;
- 7b: , ;
- 7c: , ;
- 12: , ;
- 13: , .
5.2. Tsunami-Driven Perturbations

5.3. Effects of Atmospheric/Ionospheric Disturbances
6. Summary and Discussion
- (1)
- The magnitude of E is within several mV/m, determined by the crossed product of zonal neutral wind and meridional geomagnetic field;
- (2)
- When at the mid-latitude location (60° N), the fluctuation in is dominated by the meridional wind in the F2 region (above 220 km altitude). The percentage of over has an enhanced amplitude from around 20% at 200–250 km altitudes to larger than 40% at 500 km altitude; by contrast, the amplitude of corresponding TEC perturbation is damped gradually from ∼15% to <5% at related altitudes, respectively.
- (3)
- When at the same latitude location, the fluctuation in is determined by the zonal wind in the same ionospheric region. The percentage of over drops down to less than 15% at all altitudes, except an appreciable jump to >25% in the F2-peak layer (300–340 km altitudes); within the layer, the related TEC perturbation pulse arrives at 35% while and outside the layer the amplitude of the fluctuation is no more than 10%.
- (4)
- At lower latitudes (say, N), however, the sharp enhancement in the magnitude of the dynamo E-driven TEC perturbation in the F2-peak layer is filtered away by the denser background electron density; in both and cases, the amplitudes of the fluctuations in or TEC are roughly the same as each other, but anti-phased.
- (5)
- Although atmospheric/ionospheric fluctuations caused by photoionization gain and chemical loss and plasma velocities are able to enhance the -amplitude substantially to 350% and 48%∼67%, respectively, electric field restrains the divergence significantly to 4% if gravity waves are not involved.
Acknowledgments
Author Contributions
Conflicts of Interest
References
- Cosgrave, J. Synthesis Report: Expanded Summary. Joint Evaluation of the International Response to the Indian Ocean Tsunami; Tsunami Evaluation Coalition: London, UK, 2007; pp. 1–41. [Google Scholar]
- Hines, C.O. Gravity waves in the atmosphere. Nature 1972, 239, 73–78. [Google Scholar] [CrossRef]
- Peltier, W.R.; Hines, C.O. On the possible detection of tsunamis by a monitoring of the ionosphere. J. Geophys. Res. 1976, 81, 1995–2000. [Google Scholar] [CrossRef]
- Marshall, J.; Plumb, R.A. Atmosphere, Ocean and Climate Dynamics; Academic Press: Waltham, MA, USA, 1989. [Google Scholar]
- Huang, C.S.; Sofko, G.J. Numerical simulations of midlatitude ionospheric perturbations produced by gravity waves. J. Geophys. Res. 1998, 103, 6977–6989. [Google Scholar] [CrossRef]
- Liu, J.-Y.; Tsai, Y.-B.; Ma, K.-F.; Chen, Y.-I.; Tsai, H.-F.; Lin, C.-H.; Kamogawa, M.; Lee, C.-P. Ionospheric GPS total electron content (TEC) disturbances triggered by the 26 December 2004 Indian Ocean tsunami. J. Geophys. Res. 2006, 111, A05303. [Google Scholar] [CrossRef]
- Lognonné, P.; Lambin, J.; Garcia, R.; Crespon, F.; Ducic, V.; Jeansou, E. Ground based GPS tomography of ionospheric post-seismic signal. Planet. Space Sci. 2006, 54, 528–540. [Google Scholar]
- Occhipinti, G.; Kherani, E.A.; Lognonné, P. Geomagnetic dependence of ionospheric disturbances induced by tsunamigenic internal gravity waves. Geophys. J. Int. 2008, 173, 753–765. [Google Scholar] [CrossRef]
- Occhipinti, G.; Coisson, P.; Makela, J.J.; Allgeyer, S.; Kherani, A.; Hebert, H.; Lognonn, P. Three-dimensional numerical modeling of tsunami-related internal gravity waves in the Hawaiian atmosphere. Earth Planets Space 2011, 63, 847–851. [Google Scholar] [CrossRef]
- Lee, M.C.; Pradipta, R.; Burke, W.J.; Cohen, J.A.; Dorfman, S.E.; Coster, A.J.; Sulzer, M.; Kuo, S.P. Did tsunami-launched gravity waves trigger ionospheric turbulence over Arecibo? J. Geophys. Res. 2008, 113, A01302. [Google Scholar] [CrossRef]
- Hickey, M.P.; Schubert, G.; Walterscheid, R.L. Propagation of tsunami-driven gravity waves into the thermosphere and ionosphere. J. Geophys. Res. 2009, 114. [Google Scholar] [CrossRef]
- Mai, C.-L.; Kiang, J.-F. Modeling of ionospheric perturbation by 2004 Sumatra tsunami. Radio Sci. 2009, 44, RS3011. [Google Scholar] [CrossRef]
- Hickey, M.P.; Schubert, G.; Walterscheid, R.L. Atmospheric airglow fluctuations due to a tsunami-driven gravity wave disturbance. J. Geophys. Res. 2010, 115. [Google Scholar] [CrossRef]
- Rolland, L.M.; Occhipinti, G.; Lognonné, P.; Loevenbruck, A. Ionospheric gravity waves detected offshore Hawaii after tsunamis. Geophys. Res. Lett. 2010, 37. [Google Scholar] [CrossRef]
- Galvan, D.A.; Komjathy, A.; Hickey, M.P.; Mannucci, A.J. The 2009 Samoa and 2010 Chile tsunamis as observed in the ionosphere using GPS total electron content. J. Geophys. Res. 2011, 116, A06318. [Google Scholar] [CrossRef]
- Makela, J.J.; Lognonné, P.; Hébert, H.; Gehrels, T.; Rolland, L.; Allgeyer, S.; Kherani, A.; Occhipinti, G.; Astafyeva, E.; CoÃŕsson, P.; et al. Imaging and modeling the ionospheric airglow response over Hawaii to the tsunami generated by the Tohoku earthquake of 11 March 2011. Geophys. Res. Lett. 2011, 38, L00G02. [Google Scholar] [CrossRef]
- Rozhnoi, A.; Shalimov, S.; Solovieva, M.; Levin, B.; Hayakawa, M.; Walker, S. Tsunami-induced phase and amplitude perturbations of subionospheric VLF signals. J. Geophys. Res. 2012, 117, A09313. [Google Scholar] [CrossRef]
- Garcia, R.F.; Doornbos, E.; Bruinsma, S.; Hebert, H. Atmospheric gravity waves due to the Tohoku-Oki tsunami observed in the thermosphere by GOCE. J. Geophys. Res. Atmos. 2014, 119, 4498–4506. [Google Scholar] [CrossRef]
- Artru, J.; Ducic, V.; Kanamori, H.; Lognonné, P.; Murakami, M. Ionospheric detection of gravity waves induced by tsunamis. Geophys. J. Int. 2005, 160, 840–848. [Google Scholar] [CrossRef]
- Artru, J.; Lognonne, P.; Occhipinti, G.; Crespon, F.; Garcia, R.; Jeansou, E. Tsunami detection in the ionosphere. Space Res. Today 2005, 163, 23–27. [Google Scholar] [CrossRef]
- Occhipinti, G.; Lognonné, P.; Kherani, E.A.; Hébert, H. Three dimensional waveform modeling of ionospheric signature induced by the 2004 Sumatra tsunami. Geophys. Res. Lett. 2006, 33, L20104. [Google Scholar] [CrossRef]
- Yiyan, Z.; Yun, W.; Xuejun, Q.; Xunxie, Z. Ionospheric anomalies detected by ground-based GPS before the Mw7.9 Wenchuan earthquake of 12 May 2008, China. J. Atmos. Sol. -Terr. Phys. 2009, 71, 959–966. [Google Scholar] [CrossRef]
- Occhipinti, G.; Rolland, L.; Lognonné, P.; Watada, S. From Sumatra 2004 to Tohoku-Oki 2011: The systematic GPS detection of the ionospheric signature induced by tsunamigenic earthquakes. J. Geophys. Res. 2013, 118, 3626–3636. [Google Scholar] [CrossRef]
- Rolland, L.M.; Lognonné, P.; Astafyeva, E.; Alam Kherani, E.; Kobayashi, N.; Mann, M.; Munekane, H. The resonant response of the ionosphere imaged after the 2011 off the Pacific coast of Tohoku Earthquake. Earth Planets Space 2011, 63, 853–857. [Google Scholar]
- Hooke, W.H. Ionospheric irregularities produced by internal atmospheric gravity waves. J. Atmos. Terr. Phys. 1968, 30, 795–823. [Google Scholar] [CrossRef]
- MacLeod, M.A. Sporadic E theory. I. Collision-geomagnetic equilibrium. J. Atmos. Sci. 1966, 23, 96–109. [Google Scholar] [CrossRef]
- Hickey, M.P.; Walterscheid, R.L.; Taylor, M.J.; Ward, W.; Schubert, G.; Zhou, Q.; Garcia, F.; Kelley, M.C.; Shepherd, G.G. Numerical simulations of gravity waves imaged over Arecibo during the 10-day January 1993 campaign. J. Geophys. Res. 1997, 102, 11475–11489. [Google Scholar] [CrossRef]
- Hickey, M.P.; Taylor, M.J.; Gardner, C.S.; Gibbons, C.R. Full-wave modeling of small-scale gravity waves using Airborne Lidar and Observations of the Hawaiian Airglow (ALOHA-93) O(1S) images and coincident Na wind/temperature lidar measurements. J. Geophys. Res. 1998, 103, 6439–6453. [Google Scholar] [CrossRef]
- Hickey, M.P.; Walterscheid, R.L.; Schubert, G. Gravity wave heating and cooling in Jupiter’s thermosphere. Icarus 2000, 148, 266–281. [Google Scholar] [CrossRef]
- Hickey, M.P.; Walterscheid, R.L.; Schubert, G. A full-wave model for a binary gas thermosphere: Effects of thermal conductivity and viscosity. J. Geophys. Res. 2015, 120, 3074–3083. [Google Scholar] [CrossRef]
- Meng, X.; Komjathy, A.; Verkhoglyadova, O.P.; Yang, Y.-M.; Deng, Y.; Mannucci, A.J. A new physics-based modeling approach for tsunami-ionosphere coupling. Geophys. Res. Lett. 2015, 42. [Google Scholar] [CrossRef]
- Friedman, J.P. Propagation of internal gravity waves in a thermally stratified atmosphere. J. Geophys. Res. 1966, 71, 1033–1054. [Google Scholar] [CrossRef]
- Volland, H. Full wave calculations of gravity wave propagation through the thermosphere. J. Geophys. Res. 1969, 74, 1786–1795. [Google Scholar] [CrossRef]
- Yeh, K.C.; Liu, C.H. Acoustic-gravity waves in the upper atmosphere. Rev. Geophys. Space Sci. 1974, 12, 193–216. [Google Scholar] [CrossRef]
- Cole, K.D. Atmospheric excitation and ionization by ions in strong auroral and man-made electric fields. J. Atmos. Terr. Phys. 1971, 33, 1241–1249. [Google Scholar] [CrossRef]
- Cole, K.D. Effects of crossed magnetic and spatially dependent electric fields on charged particles motion. Planet. Space Sci. 1976, 24, 515–518. [Google Scholar] [CrossRef]
- Temerin, M.; Cerny, K.; Lotko, W.; Mozer, F.S. Observations of double layers and solitary waves in the auroral plasma. Phys. Rev. Lett. 1982, 48, 1175–1179. [Google Scholar] [CrossRef]
- Boström, R.; Gustafsson, G.; Holback, B.; Holmgren, G.; Koskinen, H.; Kintner, P. Characteristics of solitary waves and weak double layers in the magnetospheric plasma. Phys. Rev. Lett. 1988, 61, 82–85. [Google Scholar]
- Matsumoto, H.; Kojima, H.; Miyatake, T.; Omura, Y.; Okada, M.; Nagano, I.; Tsutsui, M. Electrostatic solitary waves (ESW) in the magnetotail: BEN wave forms observed by Geotail. Geophys. Res. Lett. 1994, 21, 2915–2918. [Google Scholar] [CrossRef]
- Mozer, F.S.; Ergun, R.E.; Temerin, M.; Cattell, C.; Dombeck, J.; Wygant, J. New features of time domain electric-field structures in the auroral acceleration region. Phys. Rev. Lett. 1997, 79, 1281–1284. [Google Scholar] [CrossRef]
- Bale, S.D.; Kellogg, P.J.; Larson, D.E.; Lin, R.P.; Goetz, K.; Lepping, R.P. Bipolar electrostatic structures in the shock transition region: Evidence of electron phase space holes. Geophys. Res. Lett. 1998, 25, 2929–2932. [Google Scholar] [CrossRef]
- Ergun, R.E.; Carlson, C.W.; McFadden, J.P.; Mozer, F.S.; Delory, G.; Peria, W. FAST satellite observations of large-amplitude solitary structures. Geophys. Res. Lett. 1998, 25, 2041–2044. [Google Scholar] [CrossRef]
- Franz, J.R.; Kintner, P.M.; Seyler, C.E.; Pickett, J.S.; Scudder, J.D. On the perpendicular scale of electron phase-space holes. Geophys. Res. Lett. 2000, 27, 169–172. [Google Scholar] [CrossRef]
- McFadden, J.P.; Carlson, C.W.; Ergun, R.E.; Mozer, F.S.; Muschietti, L.; Roth, I. FAST observations of ion solitary waves. J. Geophys. Res. 2003, 108, 8018. [Google Scholar] [CrossRef]
- Pickett, J.S.; Chen, L.-J.; Kahler, S.W.; Santolik, O.; Goldstein, M.L.; Lavraud, B.; Decreau, P.M.E.; Kessel, R.; Lucek, E.; Lakhina, G.S.; et al. On the generation of solitary waves observed by Cluster in the near-Earth magnetosheath. Nonlin. Proc. Geophys. 2005, 12, 181–193. [Google Scholar] [CrossRef]
- Klumpar, D.M.; Peterson, W.K.; Shelley, E.G. Direct evidence for two-stage (bimodal) acceleration of ionospheric ions. J. Geophys. Res. 1984, 89, 10779–10787. [Google Scholar] [CrossRef]
- Klumpar, D.M. A digest and comprehensive biblography on transverse auroral ion acceleration. In Ion Acceleration in the Magnetosphere and Ionosphere; Chang, T., Hudson, M.K., Jasperse, J.R., Johnson, R.G., Kintner, P.M., Schulz, M., Eds.; AGU: Washington, DC, USA, 1986; pp. 389–398. [Google Scholar]
- Chiueh, T.; Diamond, P.H. Two-point theory of current-driven, ion-cyclotron turbulence. Phys. Fluids 1986, 29, 76–96. [Google Scholar] [CrossRef]
- Moore, T.E.; Waite, J.H., Jr.; Lockwood, M.; Chappell, C.R. Observations of coherent transverse ion acceleration. In Ion Acceleration in the Magnetosphere and Ionosphere; Chang, T., Hudson, M.K., Jasperse, J.R., Johnson, R.G., Kintner, P.M., Schulz, M., Eds.; AGU: Washington, DC, USA, 1986; pp. 50–55. [Google Scholar]
- Moore, T.E.; Chandler, M.O.; Pollock, C.J.; Reasoner, D.L.; Arnoldy, R.L.; Austin, B.; Kintner, P.M.; Bonnell, J. Plasma heating and flow in an auroral arc. J. Geophys. Res. 1996, 101, 5279–5298. [Google Scholar] [CrossRef]
- Kan, J.R.; Akasofu, S.-I. Electrodynamics of solar wind-magnetosphere-ionosphere interactions. IEEE Trans. Plasma Sci. 1989, 17, 83–108. [Google Scholar] [CrossRef]
- Vago, J.L.; Kintner, P.M.; Chesney, S.W.; Arnoldy, R.L.; Lynch, K.A; Moore, T.E. Transverse ion acceleration by localized hybrid waves in the topside auroral ionosphere. J. Geophys. Res. 1992, 97, 16935–16957. [Google Scholar] [CrossRef]
- Mottez, F. Instabilities and Formation of Coherent Structures. Astrophys. Space Sci. 2001, 277, 59–70. [Google Scholar] [CrossRef]
- Vogelsang, H.; Lühr, H.; Voelker, H.; Woch, J.; Bosinger, T.; Potemra, T.A.; Lindqvist, P.A. An ionospheric travelling convection vortex event observed by ground-based magnetometers and by VIKING. Geophys. Res. Lett. 1993, 20, 2343–2346. [Google Scholar] [CrossRef]
- Lund, E.J.; Möbius, E.; Ergun, R.E.; Carlson, C.W. Mass-dependent effects in ion conic production: The role of parallel electric fields. Geophys. Res. Lett. 1999, 26, 3593–3596. [Google Scholar] [CrossRef]
- Lund, E.J.; Möbius, E.; Carlson, C.W.; Ergunc, R.E.; Kistlera, L.M.; Kleckerd, B.; Klumpare, D.M.; McFaddenc, J.P.; Popeckia, M.A.; Strangewayf, R.J.; et al. Transverse ion acceleration mechanisms in the aurora at solar minimum: Occurrence distributions. J. Atmo. Sol. -Terr. Phys. 2000, 62, 467–475. [Google Scholar] [CrossRef]
- Mottez, F.; Chanteur, G.; Roux, A. Filamentation of plasma in the auroral region by an ion-ion instability: A process for the formation of bidimensional potential structures. J. Geophys. Res. 1992, 97, 10801–10810. [Google Scholar] [CrossRef]
- Mamun, A.A.; Shukla, P.K.; Stenflo, L. Obliquely propagating electron-acoustic solitary waves. Phys. Plasmas 2002, 9, 1474–1477. [Google Scholar] [CrossRef]
- Sauer, K.; Dubinin, E.; McKenzie, J.F. Wave emission by whistler oscillitons: Application to “coherent lion roars”. Geophys. Res. Lett. 2002, 29, 2225. [Google Scholar] [CrossRef]
- Sauer, K.; Dubinin, E.; McKenzie, J.F. Solitons and oscillitons in multi-ion space plasmas. Nonlin. Processes Geophys. 2003, 10, 121–130. [Google Scholar]
- Janhunen, P.; Olsson, A.; Laakso, H. The occurrence frequency of auroral potential structures and electric fields as a function of altitude using Polar/EFI data. Ann. Geophys. 2004, 22, 1233–1250. [Google Scholar] [CrossRef] [Green Version]
- Karlsson, T.; Marklund, G.; Brenning, N.; Axnäs, I. On enhanced aurora and low-altitude parallel electric fields. Phys. Scr. 2005, 72, 419–422. [Google Scholar] [CrossRef]
- Cattaert, T.; Verheest, F. Large amplitude parallel propagating electromagnetic oscillitons. Phys. Plasmas 2003, 12, 012307. [Google Scholar] [CrossRef]
- Eliasson, B.; Shukla, P.K. Formation and dynamics of coherent structures involving phase-space vortices in plasmas. Phys. Rep. 2006, 42, 225–290. [Google Scholar] [CrossRef]
- Sydora, R.D.; Sauer, K.; Silin, I. Coherent whistler waves and oscilliton formation: Kinetic simulations. Geophys. Res. Lett. 2007, 34, L22105. [Google Scholar] [CrossRef]
- Lakhina, G.S.; Kakad, A.P.; Singh, S.V.; Verhest, F. Ionand electron-acoustic solitons in two temperature space plasmas. Phys. Plasmas 2008, 15, 062903. [Google Scholar] [CrossRef]
- Ma, J.Z.G.; St.-Maurice, J.-P. Ion distribution functions in cylindrically symmetric electric fields in the auroral ionosphere: The collision-free case in a uniformly charged configuration. J. Geophys. Res. 2008, 113, A05312. [Google Scholar] [CrossRef]
- Ma, J.Z.G.; St.-Maurice, J.-P. Backward mapping solutions of the Boltzmann equation in cylindrically symmetric, uniformly charged auroral ionosphere. Astrophys. Space Sci. 2015, 357, 104. [Google Scholar] [CrossRef]
- Pottelette, R.; Berthomier, M. Nonlinear electron acoustic structures generated on the high-potential side of a double layer. Nonlin. Processes Geophys. 2009, 16, 373–380. [Google Scholar] [CrossRef]
- Coïsson, P.; Lognonné, P.; Walwer, D.; Rolland, L.M. First tsunami gravity wave detection in ionospheric radio occultation data. Earth Space Sci. 2015, 2, 125–133. [Google Scholar]
- Kendall, P.C.; Pickering, W.M. Magnetoplasma diffusion at F2-region altitudes. Planet. Space Sci. 1967, 15, 825–833. [Google Scholar] [CrossRef] [Green Version]
- Einaudi, F.; Hines, C.O. WKB approximation in application to acoustic-gravity waves. Can. J. Phys. 1970, 48, 1458–1471. [Google Scholar] [CrossRef]
- Georges, T.M. HF Doppler studies of traveling ionospheric disturbances. J. Atmos. Terr. Phys. 1968, 30, 735–746. [Google Scholar] [CrossRef]
- Lighthill, J. Waves in Fluids; Cambridge University Press: Cambridge, UK, 1978. [Google Scholar]
- Hébert, H.; Sladen, A.; Schindelé, F. Numerical modeling of the great 2004 Indian Ocean tsunami: Focus on the Mascarene Islands. Bull. Seismol. Soc. Am. 2007, 97, S208–S222. [Google Scholar]
- Hickey, M.P. Atmospheric gravity waves and effects in the upper atmosphere associated with tsunamis. In The Tsunami Threat—Research and Technology; Mãrner, Nils-Axel, Ed.; In Tech: Rijeka, Croatia; Shanghai, China, 2011; pp. 667–690. [Google Scholar]
- Harris, I.; Priester, W. Time dependent structure of the upper atmosphere. J. Atmos. Sci. 1962, 19, 286–301. [Google Scholar] [CrossRef]
- Pitteway, M.L.V.; Hines, C.O. The viscous damping of atmospheric gravity waves. Can. J. Phys. 1963, 41, 1935–1948. [Google Scholar] [CrossRef]
- Volland, H. Full wave calculations of gravity wave propagation through the thermosphere. J. Geophys. Res. 1969, 74, 1786–1795. [Google Scholar] [CrossRef]
- Volland, H. The upper atmosphere as a multiple refractive medium for neutral air motions. J. Atmos. Terr. Phys. 1969, 31, 491–514. [Google Scholar] [CrossRef]
- Hickey, M.P.; Schubert, G.; Walterscheid, R.L. Acoustic wave heating of the thermosphere. J. Geophys. Res. 2001, 106, 21543–21548. [Google Scholar] [CrossRef]
- Walterscheid, R.L.; Hickey, M.P. One-gas models with height-dependent mean molecular weight: Effects on gravity wave propagation. J. Geophys. Res. 2001, 106, 28831–28839. [Google Scholar] [CrossRef]
- Schubert, G.; Hickey, M.P.; Walterscheid, R.L. Heating of Jupiter’s thermosphere by the dissipation of upward propagating acoustic waves. ICARUS 2003, 163, 398–413. [Google Scholar] [CrossRef]
- Schubert, G.; Hickey, M.P.; Walterscheid, R.L. Physical processes in acoustic wave heating of the thermosphere. J. Geophys. Res. 2005, 110, D07106. [Google Scholar] [CrossRef]
- Walterscheid, R.L.; Hickey, M.P. Acoustic waves generated by gusty flow over hilly terrain. J. Geophys. Res. 2005, 110, A10307. [Google Scholar] [CrossRef]
- Walterscheid, R.L.; Hickey, M.P. Gravity wave propagation in a diffusively separated gas: Effects on the total gas. J. Geophys. Res. 2012, 117, A05303. [Google Scholar] [CrossRef]
- Zhou, Q.; Morton, Y.T. Gravity wave propagation in a nonisothermal atmosphere with height varying background wind. Geophys. Res. Lett. 2007, 34, L23803. [Google Scholar] [CrossRef]
- Picone, J.M.; Hedin, A.E.; Drob, D.P.; Aikin, A.C. NRLMSISE-00 empirical model of the atmosphere: Statistical comparisons and scientific issues. J. Geophys. Res. 2002, 107, 1468. [Google Scholar] [CrossRef]
- Hedin, A.E.; Fleming, E.L.; Manson, A.H.; Schmidlin, F.J.; Avery, S.K.; Clark, R.R.; Franke, S.J.; Fraser, G.J.; Tsuda, T.; Vial, F.; et al. Empirical wind model for the upper, middle and lower atmosphere. J. Atmos. Terr. Phys. 1996, 58, 1421–1447. [Google Scholar] [CrossRef]
- Schunk, R.W.; Navy, F.A. Ionospheres: Physics, Plasma Physics, and Chemistry; Cambridge University Press: Cambridge, UK, 2000. [Google Scholar]
- Kelley, M.C. The Earth’s Ionosphere: Plasma Physics and Electrodynamics, 2nd ed.; Elsevier: New York, NY, USA, 2009. [Google Scholar]
- Richmond, A.D.; Thayer, J.P. Ionospheric electrodynamics: A tutorial. In Magnetospheric Current Systems; Ohtani, S.-I., Fujii, R., Hesse, M., Lysak, R.L., Eds.; AGU: Washington, DC, USA, 2000; pp. 130–146. [Google Scholar]
- Nicolet, M. The collision frequency of electrons in the ionosphere. J. Atmos. Terr. Phys. 1953, 3, 200–211. [Google Scholar] [CrossRef]
- Chapman, S. The electric conductivity in the ionosphere: A review. Nuovo Cimento 1956, 4, 1385–1412. [Google Scholar] [CrossRef]
- Ruzhin, Y.Y.; Sorokin, V.M.; Yashchenko, A.K. Physical mechanism of ionospheric total electron content perturbations over a seismoactive region. Geomagn. Aeron. 2014, 54, 337–346. [Google Scholar] [CrossRef]
- Bilitza, D.; Altadill, D.; Zhang, Y.; Mertens, C.; Truhlik, V.; Richards, P.; McKinnell, L.-A.; Reinisch, B. The International reference ionosphere 2012—A model of international collaboration. J. Space Weather Space Clim. 2014, 4, 2–12. [Google Scholar] [CrossRef]
- Volland, H. The upper atmosphere as a multiply refractive medium for neutral air motions. J. Atmos. Terr. Phys. 1969, 31, 491–514. [Google Scholar] [CrossRef]
- Hickey, MP.; Cole, K.D. A quantic dispersion equation for internal gravity waves in the thermosphere. J. Atmos. Terr. Phys. 1987, 49, 889–899. [Google Scholar] [CrossRef]
- Banks, P.M.; Kockarts, G. Aeronomy; Academic Press: New York, NY, USA, 1973. [Google Scholar]
- Burke, P.G.; Moiseiwitsch, B.L. Atomic Process and Applications; North-Holland Publishing Company: Amsterdam, The Netherlands; New York, NY, USA; Oxford, UK, 1976. [Google Scholar]
- Rishbeth, H.; Barron, D.W. Equilibrium electron distributions in the ionospheric F2-layer. J. Atmos. Terr. Phys. 1960, 18, 234–252. [Google Scholar] [CrossRef]
- Reber, C.A.; Hedin, A.E.; Pelz, D.T.; Potter, W.E.; Brace, L.H. Phase and amplitude relationships of wave structure observed in the lower thermosphere. J. Geophys. Res. 1975, 80, 4576–4580. [Google Scholar] [CrossRef]
- Tu, J.-N. The coupling between atmospheric waves and electron density perturbations. Ch. J. Space Sci. 1993, 13, 190–195. [Google Scholar]
- Komjathy, A.; Galvan, D.A.; Stephens, P.; Butala, M.; Akopian, V.; Wilson, B. Detecting ionospheric TEC perturbations caused by natural hazards using a global network of GPS receivers: The Tohoku case study. Earth Planets Space 2012, 64, 1287–1294. [Google Scholar] [CrossRef]
- Yang, Y.-M.; Garrison, J.L.; Lee, S.-C. Ionospheric disturbances observed coincident with the 2006 and 2009 North Korean underground nuclear tests. Geophys. Res. Lett. 2012, 39, L02103. [Google Scholar] [CrossRef]
- Yang, Y.-M.; Komjathy, A.; Langley, R.B.; Vergados, P.; Butala, M.D.; Mannucci, A.J. The 2013 Chelyabinsk meteor ionospheric impact studied using GPS measurements. Radio Sci. 2014, 49, 341–350. [Google Scholar] [CrossRef]
- Yang, Y.-M.; Meng, X.; Komjathy, A.; Verkholyadova, O.; Langley, R.B.; Tsurutani, B.T. Tohoku-Oki earthquake caused major ionospheric disturbances at 450 km altitude over Alaska. Radio Sci. 2014, 49, 1206–1213. [Google Scholar] [CrossRef]
- Coisson, P.; Lognonné, P.; Walwer, D.; Rolland, L.M. First tsunami gravity wave detection in ionospheric radio occultation data. Earth Space Sci. 2015, 2, 125–133. [Google Scholar] [CrossRef]
- Vadas, S.L.; Fritts, D.C. Thermospheric responses to gravity waves: Influences of increasing viscosity and thermal diffusivity. J. Geophys. Res. 2005, 110, D15103. [Google Scholar] [CrossRef]
- Kaladze, T.D.; Pokhotelov, O.A.; Shah, H.A.; Khana, M.I.; Stenflod, L. Acoustic-gravity waves in the Earth’s ionosphere. J. Atm. Sol. -Terr. Phys. 2008, 70, 1607–1616. [Google Scholar] [CrossRef]
- Coisson, P.; Institut de Physique du Globe de Paris, Sorbonne Paris CitÃl’, UniversitÃl’ Paris Diderot, CNRS, Paris, France. Private communication, 2015.
© 2015 by the authors; licensee MDPI, Basel, Switzerland. This article is an open access article distributed under the terms and conditions of the Creative Commons Attribution license ( http://creativecommons.org/licenses/by/4.0/).
Share and Cite
Ma, J.Z.G.; Hickey, M.P.; Komjathy, A. Ionospheric Electron Density Perturbations Driven by Seismic Tsunami-Excited Gravity Waves: Effect of Dynamo Electric Field. J. Mar. Sci. Eng. 2015, 3, 1194-1226. https://doi.org/10.3390/jmse3041194
Ma JZG, Hickey MP, Komjathy A. Ionospheric Electron Density Perturbations Driven by Seismic Tsunami-Excited Gravity Waves: Effect of Dynamo Electric Field. Journal of Marine Science and Engineering. 2015; 3(4):1194-1226. https://doi.org/10.3390/jmse3041194
Chicago/Turabian StyleMa, John Z. G., Michael P. Hickey, and Attila Komjathy. 2015. "Ionospheric Electron Density Perturbations Driven by Seismic Tsunami-Excited Gravity Waves: Effect of Dynamo Electric Field" Journal of Marine Science and Engineering 3, no. 4: 1194-1226. https://doi.org/10.3390/jmse3041194
APA StyleMa, J. Z. G., Hickey, M. P., & Komjathy, A. (2015). Ionospheric Electron Density Perturbations Driven by Seismic Tsunami-Excited Gravity Waves: Effect of Dynamo Electric Field. Journal of Marine Science and Engineering, 3(4), 1194-1226. https://doi.org/10.3390/jmse3041194
