Seasonal Temperature and Nutrient Fluctuations Reshape Phytoplankton Assembly and Network Vulnerability in a Coastal Ecosystem
Abstract
1. Introduction
2. Methods
2.1. Samples and Pretreatment
2.2. DNA Extraction and Quantitative PCR
2.3. Library Construction and Sequencing
2.4. Sequencing Data Processing
2.5. Statistical Analysis
2.6. Molecular Ecological Network Analysis
2.7. Community Assembly Analysis
3. Results
3.1. Seasonal Environmental Heterogeneity
3.2. Phytoplankton Succession and Diversity Shifts
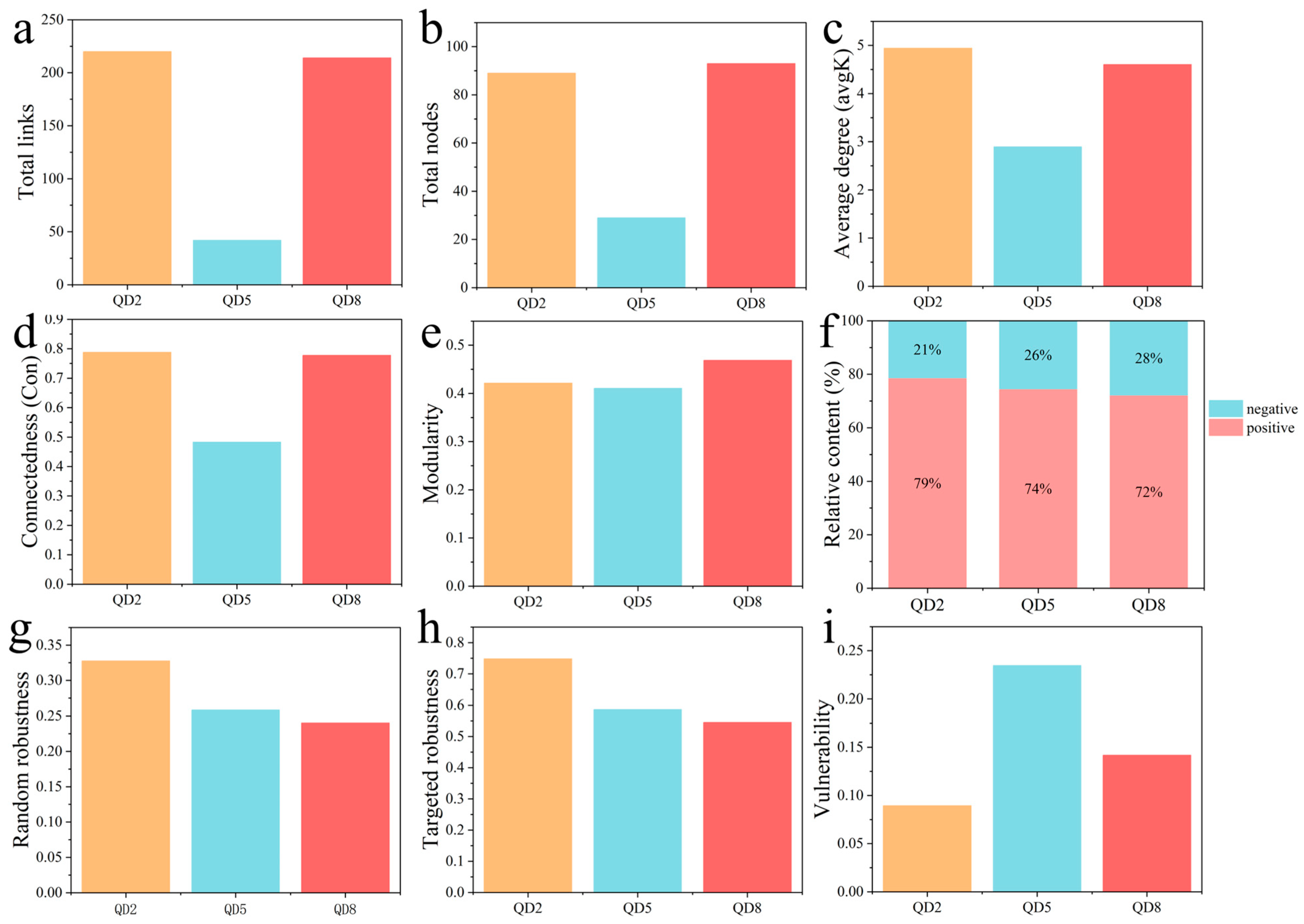
3.3. Network Contraction and Vulnerability
3.4. Assembly Processes and Dispersal Limitation
4. Discussion
4.1. Seasonal Upwelling-Driven Reconstruction of Nutrient Structure
4.2. Environmental Controls on Seasonal Phytoplankton Community Structure
4.3. Seasonal Restructuring of Phytoplankton MENs
4.4. Community Assembly Processes Underlying Seasonal Network Dynamics
5. Conclusions
Supplementary Materials
Author Contributions
Funding
Data Availability Statement
Acknowledgments
Conflicts of Interest
References
- Cerfonteyn, M.; Groben, R.; Vaulot, D.; Gudmundsson, K.; Vannier, P.; Perez-Hernandez, M.D.; Marteinsson, V.P. The distribution and diversity of eukaryotic phytoplankton in the Icelandic marine environment. Sci. Rep. 2023, 13, 8519. [Google Scholar] [CrossRef] [PubMed]
- Ma, W.T.; Chai, F.; Xiu, P.; Xue, H.J.; Tian, J. Modeling the long-term variability of phytoplankton functional groups and primary productivity in the South China Sea. J. Oceanogr. 2013, 69, 527–544. [Google Scholar] [CrossRef]
- Chen, Z.; Sun, J.; Chen, D.W.; Wang, S.H.; Yu, H.; Chen, H.T.; Wang, M. Effects of Ocean Currents in the Western Pacific Ocean on Net-Phytoplankton Community Compositions. Diversity 2021, 13, 428. [Google Scholar] [CrossRef]
- Wei, Y.Q.; Luan, Q.S.; Shan, X.J.; Cui, H.W.; Qu, K.M.; Cui, Z.G.; Sun, J. Temperature and nutrients drive distinct successions between diatoms and dinoflagellates over the past 40 years: Implications for climate warming and eutrophication. Sci. Total Environ. 2024, 931, 172997. [Google Scholar] [CrossRef]
- Xiao, Y.Y.; Xu, Y.W.; Su, L.; Cai, Y.C.; Qi, Z.H.; Liu, Y.; Chen, Z.Z.; Lakshmikandan, M. Effects of seasonal variations and environmental factors on phytoplankton community structure and abundance in Beibu Gulf, China. Ocean Coast. Manag. 2024, 248, 106982. [Google Scholar] [CrossRef]
- Wang, Y.Z.; Liu, Y.; Chen, X.Y.; Cui, Z.G.; Qu, K.M.; Wei, Y.Q. Exploring the key factors affecting the seasonal variation of phytoplankton in the coastal Yellow Sea. Front. Mar. Sci. 2022, 9, 1076975. [Google Scholar] [CrossRef]
- Wu, J.; Zhu, Z.; Waniek, J.J.; Niu, M.; Wang, Y.; Zhang, Z.; Zhou, M.; Zhang, R. The biogeography and co-occurrence network patterns of bacteria and microeukaryotes in the estuarine and coastal waters. Mar. Environ. Res. 2023, 184, 105873. [Google Scholar] [CrossRef]
- Liu, Q.; Li, Y.; Wang, H.; Yang, G.; Kan, J.; Yang, M.; Yu, X.; Guo, C.; Wang, M.; Wang, W.; et al. Assembly and Network Stability of Planktonic Microorganisms under the Influence of Salinity Gradient: An Arctic Case Study from the Lena River Estuary to the Laptev Sea. Microbiol. Spectr. 2023, 11, e02115-22. [Google Scholar] [CrossRef]
- Lei, Z.Y.; Zhang, C.L.; He, L.; Xie, W. Different phytoplankton distributions and assembly processes in marine water masses with contrasting nutrient conditions. BMC Microbiol. 2025, 25, 105657. [Google Scholar] [CrossRef]
- Zheng, X.; Wang, M.; Liu, X.; Xu, S.; Ma, S.; Wang, J.; Wang, C.; Zhan, A.; Yu, P.; Wang, D.; et al. Revealing assembly mechanisms of algal communities in aquatic microniches: Shifts in diversity patterns, microbial interactions and stability along nutrient gradients. Environ. Res. 2024, 262, 119798. [Google Scholar] [CrossRef]
- Yu, S.; Cao, X.; Chen, P.; Liu, Y.; Duan, G.; Qi, W.; Peng, J.; Liu, H.; Qu, J. Climate warming and nutrient enrichment destabilize plankton network stability over the past century. Commun. Earth Environ. 2025, 6, 247. [Google Scholar] [CrossRef]
- Li, K.H.; Lin, J.Q.; Wang, X.X.; Chen, T.; Liu, W.H. Stochastic process shapes the spatiotemporal patterns of main eukaryotic communities in a subtropical estuary. Environ. Res. 2025, 285, 122565. [Google Scholar] [CrossRef] [PubMed]
- Zou, J.; Xiao, Y.; Wu, P.; Wang, T.; Lin, L.; Liu, Y.; Liu, Y.; Li, C. Distribution, community structure and assembly patterns of phytoplankton in the northern South China Sea. Front. Microbiol. 2024, 15, 1450706. [Google Scholar] [CrossRef] [PubMed]
- Morales, S.E.; Tobias-Huenefeldt, S.P.; Armstrong, E.; Pearman, W.S.; Bogdanov, K. Marine phytoplankton impose strong selective pressures on in vitro microbiome assembly, but drift is the dominant process. ISME Commun. 2025, 5, ycaf001. [Google Scholar] [CrossRef] [PubMed]
- Shao, Y.; Stewart, K.A.; Gsell, A.S.; Wang, S.; Xie, B.; Lin, H.; Geng, Z.; Yan, Z. Connecting diversity and process: Eukaryotic phytoplankton community dynamics across the Yangtze River using environmental DNA. Ecol. Indic. 2025, 17, 114026. [Google Scholar] [CrossRef]
- Jiao, S.; Yang, Y.; Xu, Y.; Zhang, J.; Lu, Y. Balance between community assembly processes mediates species coexistence in agricultural soil microbiomes across eastern China. ISME J. 2020, 14, 202–216. [Google Scholar] [CrossRef]
- Zheng, P.; Mao, A.; Meng, S.; Yu, F.; Zhang, S.; Lun, J.; Li, J.; Hu, Z. Assembly mechanism of microbial community under different seasons in Shantou sea area. Mar. Pollut. Bull. 2024, 205, 116550. [Google Scholar] [CrossRef]
- Wang, H.; Wu, Z.; Zhao, A.; Wang, Y.; Li, Q.; Zhang, L.; Wang, Z.; Li, T.; Zhao, J. Distinct patterns and processes of eukaryotic phytoplankton communities along a steep elevational gradient in highland rivers. Environ. Res. 2025, 275, 121427. [Google Scholar] [CrossRef]
- Li, K.; Yin, J.; Huang, L.; Zhang, J.; Lian, S.; Liu, C. Distribution and abundance of thaliaceans in the northwest continental shelf of South China Sea, with response to environmental factors driven by monsoon. Cont. Shelf Res. 2011, 31, 979–989. [Google Scholar] [CrossRef]
- Liu, T.; Li, S.; Hou, H.; Li, Y.; Yang, B.; Sun, W.; Wang, G.; Liang, G.; Teng, F. Seasonal and interannual variation characteristics of Qiongdong thermal front. Mar. Sci. 2024, 48, 13–26. [Google Scholar]
- Liu, X.; Xie, N.; Bai, M.; Li, J.; Wang, G. Composition change and decreased diversity of microbial eukaryotes in the coastal upwelling waters of South China Sea. Sci. Total Environ. 2021, 795, 148892. [Google Scholar] [CrossRef] [PubMed]
- Tong, Z.; Jiao, J.; Xiao, W.; Zhou, K.; Huang, B. Bottom-Up Control and Phytoplankton Succession in a Subtropical Upwelling System. J. Geophys. Res. Ocean. 2025, 130, e2025JC022413. [Google Scholar] [CrossRef]
- Salmaso, N.; Boscaini, A.; Pindo, M. Unraveling the Diversity of Eukaryotic Microplankton in a Large and Deep Perialpine Lake Using a High Throughput Sequencing Approach. Front. Microbiol. 2020, 11, 789. [Google Scholar] [CrossRef] [PubMed]
- Chen, S.F.; Zhou, Y.Q.; Chen, Y.R.; Gu, J. fastp: An ultra-fast all-in-one FASTQ preprocessor. Bioinformatics 2018, 34, i884–i890. [Google Scholar] [CrossRef]
- Callahan, B.J.; McMurdie, P.J.; Rosen, M.J.; Han, A.W.; Johnson, A.J.A.; Holmes, S.P. DADA2: High-resolution sample inference from Illumina amplicon data. Nat. Methods 2016, 13, 581–583. [Google Scholar] [CrossRef]
- Quast, C.; Pruesse, E.; Yilmaz, P.; Gerken, J.; Schweer, T.; Yarza, P.; Peplies, J.; Gloeckner, F.O. The SILVA ribosomal RNA gene database project: Improved data processing and web-based tools. Nucleic Acids Res. 2013, 41, D590–D596. [Google Scholar] [CrossRef]
- Song, L.; Wu, J.; Du, J.; Li, N.; Song, G.J.; Wang, K.; Sun, M.; Wang, P. The Characteristics and Distribution of Eukaryotic Phytoplankton Community in Liaodong Bay, China. Ocean Sci. J. 2019, 54, 183–203. [Google Scholar] [CrossRef]
- Tettamanti Boshier, F.A.; Srinivasan, S.; Lopez, A.; Hoffman, N.G.; Proll, S.; Fredricks, D.N.; Schiffer, J.T. Complementing 16S rRNA Gene Amplicon Sequencing with Total Bacterial Load To Infer Absolute Species Concentrations in the Vaginal Microbiome. mSystems 2020, 5, 2. [Google Scholar] [CrossRef]
- Jiang, H.; Chen, Y.; Hu, Y.; Wang, Z.; Lu, X. Soil Bacterial Communities and Diversity in Alpine Grasslands on the Tibetan Plateau Based on 16S rRNA Gene Sequencing. Front. Ecol. Evol. 2021, 9, 630722. [Google Scholar] [CrossRef]
- Liu, S.Y.; Cui, Z.M.; Zhao, Y.F.; Chen, N.S. Composition and spatial-temporal dynamics of phytoplankton community shaped by environmental selection and interactions in the Jiaozhou Bay. Water Res. 2022, 218, 118488. [Google Scholar] [CrossRef]
- Feng, K.; Peng, X.; Zhang, Z.; Gu, S.S.; He, Q.; Shen, W.L.; Wang, Z.J.; Wang, D.R.; Hu, Q.L.; Li, Y.; et al. iNAP: An integrated network analysis pipeline for microbiome studies. iMeta 2022, 1, e13. [Google Scholar] [CrossRef] [PubMed]
- Zhang, L.; Zhang, H.; Liu, H.; Wu, W.; Xu, Z.; Tan, Y.; Shi, Z.; Xia, X. Phosphorus availability shapes size structure, co-occurrence patterns and network stability of surface microeukaryotic plankton communities in an urbanized estuarine ecosystem. Ecol. Indic. 2023, 154, 110548. [Google Scholar] [CrossRef]
- Sloan, W.T.; Lunn, M.; Woodcock, S.; Head, I.M.; Nee, S.; Curtis, T.P. Quantifying the roles of immigration and chance in shaping prokaryote community structure. Environ. Microbiol. 2006, 8, 732–740. [Google Scholar] [CrossRef] [PubMed]
- Ning, D.L.; Yuan, M.T.; Wu, L.W.; Zhang, Y.; Guo, X.; Zhou, X.S.; Yang, Y.F.; Arkin, A.P.; Firestone, M.K.; Zhou, J.Z. A quantitative framework reveals ecological drivers of grassland microbial community assembly in response to warming. Nat. Commun. 2020, 11, 4717. [Google Scholar] [CrossRef]
- Cheng, L.J.; Li, G.C.; Long, S.M.; Li, Y.L.; von Schuckmann, K.; Trenberth, K.E.; Mann, M.E.; Abraham, J.; Du, Y.; Cheng, X.H.; et al. Ocean stratification in a warming climate. Nat. Rev. Earth Environ. 2025, 6, 637–655. [Google Scholar] [CrossRef]
- Andersen, I.M.; Taylor, J.M.; Graeber, D.; Kelly, P.T.; Hoke, A.K.; Robbins, C.J.; Scott, J.T. Redfield revisited: Insights into freshwater seston carbon : Nitrogen : Phosphorus stoichiometry. Limnol. Oceanogr. 2025, 70, S14–S26. [Google Scholar] [CrossRef]
- Kim, T.-H.; Kim, G. Changes in seawater N:P ratios in the northwestern Pacific Ocean in response to increasing atmospheric N deposition: Results from the East (Japan) Sea. Limnol. Oceanogr. 2013, 58, 1907–1914. [Google Scholar] [CrossRef]
- Shaw, P.T.; Chao, S.Y. Surface circulation in the South China Sea. Deep Sea Res. Part I Oceanogr. Res. Pap. 1994, 41, 1663–1683. [Google Scholar] [CrossRef]
- Chen, T.T.; Zhang, Y.X.; Song, S.Q.; Liu, Y.; Sun, X.X.; Li, C.W. Diversity and seasonal variation of marine phytoplankton in Jiaozhou Bay, China revealed by morphological observation and metabarcoding. J. Oceanol. Limnol. 2022, 40, 577–591. [Google Scholar] [CrossRef]
- Fu, X.T.; Shi, W.T.; Liu, Z.S.; Wang, X.Z.; Zhang, G.C.; Sun, J. Impact of environmental variables on the distribution of phytoplankton communities in the Southern Yellow Sea. Environ. Res. 2024, 243, 117862. [Google Scholar] [CrossRef]
- Sherman, E.; Moore, J.K.; Primeau, F.; Tanouye, D. Temperature influence on phytoplankton community growth rates. Glob. Biogeochem. Cycles 2016, 30, 550–559. [Google Scholar] [CrossRef]
- Gerhard, M.; Schlenker, A.; Hillebrand, H.; Striebel, M. Environmental stoichiometry mediates phytoplankton diversity effects on communities’ resource use efficiency and biomass. J. Ecol. 2022, 110, 430–442. [Google Scholar] [CrossRef]
- Ji, L.; Zhang, H.Y.; Wang, Z.Y.; Tian, Y.L.; Tian, W.; Liu, Z. Temperature orchestrates phytoplankton community and environment in mountain stream for enhancing resource use efficiency. Front. Mar. Sci. 2025, 12, 1565858. [Google Scholar] [CrossRef]
- Lewandowska, A.M.; Hillebrand, H.; Lengfellner, K.; Sommer, U. Temperature effects on phytoplankton diversity—The zooplankton link. J. Sea Res. 2014, 85, 359–364. [Google Scholar] [CrossRef]
- Wentzky, V.C.; Tittel, J.; Jäger, C.G.; Bruggeman, J.; Rinke, K. Seasonal succession of functional traits in phytoplankton communities and their interaction with trophic state. J. Ecol. 2020, 108, 1649–1663. [Google Scholar] [CrossRef]
- Smucker, N.J.; Pilgrim, E.M.; Nietch, C.T.; Darling, J.A.; Johnson, B.R. DNA metabarcoding effectively quantifies diatom responses to nutrients in streams. Ecol. Appl. 2020, 30, 550–559. [Google Scholar] [CrossRef]
- Zhu, C.Y.; Liu, W.W.; Li, X.H.; Xu, Y.S.; El-Serehy, H.A.; Al-Farraj, S.A.; Ma, H.G.; Stoeck, T.; Yi, Z.Z. High salinity gradients and intermediate spatial scales shaped similar biogeographical and co-occurrence patterns of microeukaryotes in a tropical freshwater-saltwater ecosystem. Environ. Microbiol. 2021, 23, 4778–4796. [Google Scholar] [CrossRef]
- Chen, C.Z.; Li, P.; Yin, M.H.; Wang, J.X.; Sun, Y.J.; Ju, W.M.; Liu, L.; Li, Z.H. Deciphering characterization of seasonal variations in microbial communities of marine ranching: Diversity, co-occurrence network patterns, and assembly processes. Mar. Pollut. Bull. 2023, 197, 115739. [Google Scholar] [CrossRef]
- Hou, D.D.; Yan, H.Z.; Lin, H.Y.; Zhang, H.J.; Zhang, D.M.; Wang, K. Biogeographic shifts in the microbial co-occurrence network features of three domains across complex environmental gradients in subtropical coastal waters. Ecol. Process. 2024, 13, 74. [Google Scholar] [CrossRef]
- Wu, P.-F.; Li, D.-X.; Kong, L.-F.; Li, Y.-Y.; Zhang, H.; Xie, Z.-X.; Lin, L.; Wang, D.-Z. The diversity and biogeography of microeukaryotes in the euphotic zone of the northwestern Pacific Ocean. Sci. Total Environ. 2020, 698, 134289. [Google Scholar] [CrossRef]
- Xiao, W.P.; Liu, X.; Irwin, A.J.; Laws, E.A.; Wang, L.; Chen, B.Z.; Zeng, Y.; Huang, B.Q. Warming and eutrophication combine to restructure diatoms and dinoflagellates. Water Res. 2018, 128, 206–216. [Google Scholar] [CrossRef]
- Li, H.; Fu, J.; Fan, X.; He, Z.; Wang, Y.; Yang, S.; Wu, J.; Wu, L.; Zhou, J. Eutrophication Reshapes Microbial Communities and Life-History Strategies in the Riverine Ecosystems. Environ. Microbiol. Rep. 2025, 17, e70234. [Google Scholar] [CrossRef] [PubMed]
- Wang, Y.; Qu, M.; Wang, J.; Zhu, W.; Li, J. Recovery of bacterial network complexity and stability after simulated extreme rainfall is mediated by K- /r-strategy dominance. Appl. Soil Ecol. 2024, 203, 105657. [Google Scholar] [CrossRef]
- Merz, E.; Saberski, E.; Gilarranz, L.J.; Isles, P.D.F.; Sugihara, G.; Berger, C.; Pomati, F. Disruption of ecological networks in lakes by climate change and nutrient fluctuations. Nat. Clim. Change 2023, 13, 389–396. [Google Scholar] [CrossRef] [PubMed]
- Yuan, M.M.; Guo, X.; Wu, L.; Zhang, Y.; Xiao, N.; Ning, D.; Shi, Z.; Zhou, X.; Wu, L.; Yang, Y.; et al. Climate warming enhances microbial network complexity and stability. Nat. Clim. Change 2021, 11, 343–348. [Google Scholar] [CrossRef]
- Li, T.C.; Liu, G.L.; Yuan, H.T.; Chen, J.W.; Lin, X.; Li, H.F.; Yu, L.Y.; Wang, C.; Li, L.; Zhuang, Y.Y.; et al. Eukaryotic plankton community assembly and influencing factors between continental shelf and slope sites in the northern South China Sea. Environ. Res. 2023, 216, 114584. [Google Scholar] [CrossRef]
- Zhu, A.; Liang, Z.; Gao, L.; Xie, Z. Dispersal limitation determines the ecological processes that regulate the seasonal assembly of bacterial communities in a subtropical river. Front. Microbiol. 2024, 15, 1430073. [Google Scholar] [CrossRef]
- Stegen, J.C.; Lin, X.; Fredrickson, J.K.; Chen, X.; Kennedy, D.W.; Murray, C.J.; Rockhold, M.L.; Konopka, A. Quantifying community assembly processes and identifying features that impose them. ISME J. 2013, 7, 2069–2079. [Google Scholar] [CrossRef]









Disclaimer/Publisher’s Note: The statements, opinions and data contained in all publications are solely those of the individual author(s) and contributor(s) and not of MDPI and/or the editor(s). MDPI and/or the editor(s) disclaim responsibility for any injury to people or property resulting from any ideas, methods, instructions or products referred to in the content. |
© 2026 by the authors. Licensee MDPI, Basel, Switzerland. This article is an open access article distributed under the terms and conditions of the Creative Commons Attribution (CC BY) license.
Share and Cite
Shi, H.; Cao, J.; Chen, F.; Wang, P.; Jia, G. Seasonal Temperature and Nutrient Fluctuations Reshape Phytoplankton Assembly and Network Vulnerability in a Coastal Ecosystem. J. Mar. Sci. Eng. 2026, 14, 704. https://doi.org/10.3390/jmse14080704
Shi H, Cao J, Chen F, Wang P, Jia G. Seasonal Temperature and Nutrient Fluctuations Reshape Phytoplankton Assembly and Network Vulnerability in a Coastal Ecosystem. Journal of Marine Science and Engineering. 2026; 14(8):704. https://doi.org/10.3390/jmse14080704
Chicago/Turabian StyleShi, Haolei, Jiantao Cao, Fajin Chen, Peng Wang, and Guodong Jia. 2026. "Seasonal Temperature and Nutrient Fluctuations Reshape Phytoplankton Assembly and Network Vulnerability in a Coastal Ecosystem" Journal of Marine Science and Engineering 14, no. 8: 704. https://doi.org/10.3390/jmse14080704
APA StyleShi, H., Cao, J., Chen, F., Wang, P., & Jia, G. (2026). Seasonal Temperature and Nutrient Fluctuations Reshape Phytoplankton Assembly and Network Vulnerability in a Coastal Ecosystem. Journal of Marine Science and Engineering, 14(8), 704. https://doi.org/10.3390/jmse14080704

