Next Article in Journal
Recent Developments and Advances in Geological Oceanography and Ocean Observation in the Pacific Ocean and Its Marginal Basins—2nd Edition
Previous Article in Journal
Enhancement of Reactive Power and Efficiency Using Hybrid Compensation Approach for Supply Vessels
Previous Article in Special Issue
Optimization Strategies for Hybrid Energy Storage Systems in Fuel Cell-Powered Vessels Using Improved Droop Control and POA-Based Capacity Configuration
 
 
Font Type:
Arial Georgia Verdana
Font Size:
Aa Aa Aa
Line Spacing:
Column Width:
Background:
Article

Payback Potential and Carbon Savings from Shipboard Waste Heat Recovery Systems

by
Bento Lira Vital Pereira
1,
Caio Teixeira de Carvalho
1,
Luiz Felipe Assis
1,
Juan Carlos Ordonez
2,*,
Crístofer Hood Marques
3 and
Jean-David Caprace
1
1
Ocean Engineering Department, Federal University of Rio de Janeiro (UFRJ), Rio de Janeiro 21941-611, Brazil
2
Center for Advanced Power Systems, Department of Mechanical and Aerospace Engineering, FAMU-FSU College of Engineering, Energy and Sustainability Center, Florida State University, Tallahassee, FL 32310-6046, USA
3
College of Engineering, Federal University of Rio Grande (FURG), Rio Grande 96203-900, Brazil
*
Author to whom correspondence should be addressed.
J. Mar. Sci. Eng. 2026, 14(5), 464; https://doi.org/10.3390/jmse14050464
Submission received: 20 January 2026 / Revised: 17 February 2026 / Accepted: 26 February 2026 / Published: 28 February 2026
(This article belongs to the Special Issue Sustainable Marine and Offshore Systems for a Net-Zero Future)

Abstract

International shipping is indispensable to global commerce, yet it remains a significant contributor to greenhouse gas emissions. Although waste heat recovery has been applied in other industries, its performance and economic viability in shipping are not yet fully understood, particularly across different vessel sizes and engine loads. This study evaluates the technical, economic, and environmental potential of waste heat recovery (WHR) systems onboard ships with main engine power above and below 25,000 kW. Thermodynamic analysis and computational simulations were employed to estimate electricity generation, fuel savings, and emission reductions under optimistic and pessimistic scenarios, using operational data from four representative vessels. The results indicate that larger ships achieve the most significant benefits, with power ratios up to 10%, substantial CO2 reductions, and viable payback periods. Smaller vessels, constrained by thermal and spatial limitations, show reduced efficiency and less favorable financial performance, although they still achieve meaningful environmental gains. The findings confirm that waste heat recovery is a mature and effective technology for improving ship energy efficiency and reducing emissions. The study contributes to scientific knowledge by quantifying performance differences between vessel types and providing a structured framework to support maritime decarbonization strategies.

1. Introduction

International maritime transport is widely recognized as one of the most energy-efficient and economically viable means of moving cargo over long distances. Nevertheless, growing global concern about environmental issues has increasingly focused attention on the sector’s substantial contribution to greenhouse gas (GHG) emissions, as well as air and water pollution [1]. This issue is especially critical due to the industry’s heavy dependence on fuel oil, highlighting the urgent need to develop and implement technologies that can significantly reduce its carbon footprint.
The search for solutions to the pollution caused by maritime transport is increasing rapidly, and new research is being conducted to meet the goals proposed by the International Maritime Organization (IMO) for the decarbonization of maritime transport. One of the main approaches under investigation is the replacement of fossil fuels with cleaner alternatives such as liquefied natural gas (LNG), biofuels, and hydrogen. These alternative fuels have the potential to significantly reduce CO2, sulfur oxides (SOx), and nitrogen oxides (NOx) emissions, although they still face logistical, economic, technological, and infrastructural challenges for large-scale implementation [2].
Another important area of innovation involves improvements in ship hydrodynamic design and propulsive efficiency [3]. Optimization of hull shape, use of low-friction coatings, variable-pitch propellers with higher efficiency, and air lubrication systems are examples of technologies capable of reducing energy consumption without requiring major operational changes. In addition, alternative solutions such as carbon capture [4] and nuclear propulsion [5] are also being considered as promising options for decarbonization, offering high emission reduction rates and contributing to the development of a more sustainable maritime ecosystem aligned with the IMO’s increasingly ambitious targets. These advances are often supported by computational modeling and simulation tools that enable the prediction of vessel performance under various operating conditions.
In this paper, another key approach is examined as an ally to maritime decarbonization, mainly related to the improvement of thermal machinery efficiency. Specifically, the study focuses on Waste Heat Recovery (WHR), a promising technological solution for recovering residual thermal energy onboard. There are currently several technical solutions for recovering waste heat in industrial applications, many of which have been adapted for use in the maritime sector.
Waste Heat Recovery (WHR) in marine engines can be achieved through different technologies, each with specific advantages, challenges, and levels of complexity [6]. The Rankine Cycle (RC) is a well-established and widely used technology that converts heat into mechanical energy by vaporizing a working fluid, typically water, which drives a steam turbine; after expansion, the vapor is condensed and recirculated within the system [7]. Due to its simplicity, safety, and proven efficiency, the RC is frequently adopted in large vessels. Alternatively, WHR systems based on power turbines convert the thermal energy of exhaust gases into mechanical energy, which can be used to generate additional electricity or drive auxiliary systems onboard [8]. Although efficient, it presents higher complexity and implementation costs. Finally, the Kalina Cycle (KC) uses an ammonia–water mixture as the working fluid, allowing non-isothermal evaporation and condensation that optimize heat transfer and increase the system’s thermal efficiency. However, this technology is more complex and requires additional considerations regarding safety and cost [9].
Within this range of options, the steam-based Waste Heat Recovery (WHR) system, operating on an RC with exhaust gas boilers and steam or power turbines coupled to alternators, has emerged as the most mature and cost-effective solution for ships [6,10]. By harnessing the thermal energy contained in the exhaust gases of the main engine, the system generates electricity to supply auxiliary demands, thereby reducing overall fuel consumption and greenhouse gas emissions. This makes WHR systems a key technology for helping the maritime sector comply with the IMO’s decarbonization targets. One of the key advantages of WHR lies in its ability to reduce VOYEX (Voyage Expenditures), as it enables the generation of electrical power for auxiliary systems using thermal energy that would otherwise be wasted. In addition, the residual heat can be repurposed to meet onboard thermal demands, such as heating water or producing steam.
Despite extensive research on WHR technologies, most existing studies focus on specific configurations or idealized operating conditions, often neglecting the influence of operational profiles of different types of ships and various routes. Therefore, there is a need for a comprehensive evaluation of the performance of WHR under real voyage conditions, providing a critical analysis of the financial and sustainable feasibility of adopting this technology. The present study aims to fill this gap by assessing the energy, economic, and environmental performance of WHR in different conditions for maritime applications, providing insights into its potential for fuel savings and emissions reduction. The proposed model is a screening-level framework for comparative feasibility assessment across ship sizes, vessel types, and operational profiles, rather than detailed WHR equipment design. It is intended to populate a technology matrix for Integrated Assessment Models (IAMs) or similar fleet/sector decarbonization tools, where consistent, parameterizable cost–performance representations are needed to support scenario exploration, marginal abatement cost estimation, and portfolio comparison at scale, often in the absence of ship-specific component data and detailed cycle configurations, such as in [11,12].
The main operational conditions analyzed refer to the different speeds that the case study vessel can achieve and the corresponding voyage times, which vary accordingly. This gap in the literature allows us to evaluate how the case study performs at each speed and to verify whether the adoption of the system remains financially viable under different operational scenarios. For the vessels analyzed in this study, a fixed annual operational period of 361.78 days was considered, with the remaining days allocated to docking and scheduled maintenance stops.
This study proposes a comparison of WHR applied to two groups of ships: two vessels with engine power below 25,000 kW and two vessels with engine power above that threshold. The purpose of this division is to evaluate how the scale of the main engine’s power influences the performance and efficiency of the WHR. In larger vessels with more powerful engines, a higher recovery efficiency is expected due to the greater availability of thermal energy in the exhaust gases and the enhanced capability to integrate more robust turbines. Conversely, in ships with engines below 25,000 kW, recovery tends to be less efficient due to thermal limitations and spatial constraints that restrict the installation of more complex systems [13].
For each group, two performance scenarios are considered: a pessimistic and an optimistic one. As the heat recovery values differ between the two groups, the scenarios also vary according to the increase in engine load. These scenarios reflect variations in the heat recovery system’s efficiency, influenced by operational factors, thermodynamic design, and specific technical limitations of each vessel. The comparison between cases helped identify the constraints and opportunities for WHR system implementation across different power scales, while also providing a solid basis for evaluating its technical and financial viability as a decarbonization tool in the maritime sector [14].
Under full load engine condition, typically reached during rough sea states when the main engine must operate beyond its continuous service rating, the WHR system can achieve its maximum electrical output, due to the high amount of thermal energy being wasted in such situations. This highlights the system’s potential to enhance energy efficiency under demanding operational scenarios, contributing to fuel savings and emission reductions [15].
In practice, WHR system configurations comprise several key components, including exhaust gas boilers (often supplemented by auxiliary oil-fired boilers to ensure system reliability), power turbines that recover excess exhaust gas energy, and steam turbines coupled to alternators that convert recovered heat into electrical power [13]. Depending on the design, these components can be arranged in various configurations to maximize heat recovery potential and operational flexibility. Furthermore, WHR system integration can be optimized through strategic adaptations in the ship’s layout, such as the arrangement of piping systems, allocation of space for additional machinery, and the implementation of advanced control systems that regulate steam and power distribution. Integrating such systems often requires modifications to the piping networks and control mechanisms. These adjustments allow the installation of components such as Organic Rankine Cycle (ORC) units, which convert low-temperature waste heat into mechanical or electrical energy using an organic working fluid with a lower boiling point than water. Additional turbines can also be incorporated without disrupting the existing infrastructure [16].
The spatial constraints of marine vessels demand meticulous planning for seamless integration [16]. Moreover, robust integration necessitates strong coordination between the engine and WHR system control systems, as well as properly designed exhaust connections to ensure reliable and efficient operation.

2. Methodology

This section describes, in a reproducible, step-by-step manner, how the WHR techno-economic and environmental assessments were carried out. The assessments were applied to different vessel types to provide a comprehensive analysis of the system’s performance. Figure 1 shows the overall flowchart and the interconnections among the steps, followed by a detailed description of each step.
  • Step 1: A thorough analysis of academic papers, technical manuals, and regulations related to Waste Heat Recovery (WHR) systems in ships was conducted. Data on energy efficiency, operational parameters, implementation costs, and emission factors for similar vessels were gathered, and formulas and knowledge parameters of WHR systems were obtained. Table 1 summarizes the main data analyzed in this study, organized into two models: the economic model and the engineering model. The economic model comprises the articles used to support the financial analysis of the system, including studies on costs, economic feasibility, and related conditions. The engineering model gathers studies analyzed to support the computational and thermodynamic modeling, as well as configurations, processes, and overall functioning of WHR systems. It is also important to highlight that the studies cover different types of WHR systems, but the Organic Rankine Cycle (ORC) and the Steam Rankine Cycle (SRC) appear most frequently in the literature reviews [17]. The general model developed in the present study describes the behavior of a waste heat recovery system in a comprehensive manner, being a direct outcome of the analysis of the collected data and the investigation of the operational behavior of these systems.
  • Step 2: Analysis of WHR considering two efficiency scenarios, pessimistic and optimistic. The pessimistic scenario assumes low WHR efficiency due to thermal losses and operational constraints. The optimistic scenario considers advanced technology, improved insulation, and ideal operating conditions to maximize energy recovery.
  • Step 3: The thermodynamic modeling and power cycle simulation results were obtained from previous studies that used the GTD software (Version 2.11.0.1; https://wingd.com) as a reference [18]. These data were analyzed and adjusted through regression analyses, in order to adapt the results to the conditions and objectives of this study, ensuring consistency with the referenced works. At this stage, two hypotheses were considered in extrapolating from the literature results: the rate of heat converted into power depends (i) slightly on engine load or (ii) heavily on engine load.
  • Step 4: Fuel savings are calculated based on current bunker oil costs and consumption reduction potential. CO2 reductions are estimated using IMO-standard emission factors. Results include GHG reductions and cost-benefit analysis.
  • Step 5: Results are evaluated through investment payback and economic feasibility benchmarked against conventional systems. Trade-offs between upfront costs, financial returns, and environmental impacts are discussed, along with implementation guidelines for diverse naval operations.
Table 1. Literature sources and harvested inputs used to parameterize the WHR techno-economic model.
Table 1. Literature sources and harvested inputs used to parameterize the WHR techno-economic model.
ReferenceYearWHR
Type
Economic
Model
Engineering
Model
Harvested
Information
[19]2013ORCYesNoCAPEX curve data points
[13]2014SRCNoYesWHR power ratio scenario definition (MAN report)
[20]2015ORCYesNoCAPEX reference data
[21]2017ORCYesNoCAPEX curve data points
[8]2017SRCYesNoCosts parameter references
[22]2018ORC–SRCNoYesSRC vs ORC comparative analysis
[23]2019ORCYesYesCAPEX calibration reference data
[24]2019ORCYesNoLiterature-based CAPEX estimation
[10]2020SRCYesYesEngine-load variation and OPEX reference
[14]2020SRCYesYesCAPEX curve points; WHR cost limits and SRC models
[25]2023ORCNoYesEngine-load performance analysis
[26]2023ORCYesYesWHR power curve validation reference
[18]2024ORC–SRCNoYesWHR power regression based on engine load
Note: ORC means Organic Rankine Cycle; SRC means Steam Rankine Cycle.

3. Hypotheses and Power Ratio Scenarios

In order to perform a consistent and comparative evaluation of WHR systems across different vessel types, a set of hypotheses and operational assumptions was established [22]. The methodological framework adopted is based on the analysis of exhaust energy behavior under varying engine loads and the assessment of available WHR. Since the mechanical energy demand for propulsion accounts for approximately 75–85% of the total ship energy consumption [27], with the remaining share primarily supplied by auxiliary generator sets for onboard electrical loads, the main engine emerges as the dominant source of waste heat. Under ballast condition or when the ship is lightly loaded, typically only one auxiliary generator is required, while during maneuvering, cargo handling, or berthing at port, two auxiliary generators are often operated simultaneously. Nevertheless, as the vast majority of energy consumption, and consequently the highest waste heat potential, originates from the main engine, this study focuses on the integration of the WHR into its exhaust gases, where the potential for energy recovery is substantially greater compared to the auxiliary engines.
For this study, in order to quantify the power generated by the WHR system and its subsequent values, such as cost and emission reduction, it is necessary to establish a reference parameter. In this case, the Power Ratio ( P R ) was used, which represents the relationship between the main engine power ( P M E ), used as the energy source, and the power produced by the WHR system ( P W H R ) derived from it, as expressed in Equation (1). To support the power ratio assumptions, reference was made to data and performance curves extracted from two key sources: the MAN Energy Solutions technical report on WHR for low-speed two-stroke marine engines [13], and the thermodynamic modeling of a binary vapor cycle [18]. The MAN report provides realistic boundaries for electric output expectations in current commercial WHR applications, while the binary vapor cycle study helped in understanding how different cycle arrangements and working fluid properties affect the system power ratio across a range of operational loads.
P R = P W H R P M E
The analysis considered case studies divided into two categories: two vessels with a maximum continuous rating (MCR) below 25,000 kW and another two with MCR above 25,000 kW, as shown in Table 2, which presents the reference values adopted in this study [14]. The optimistic and pessimistic scenarios refer exclusively to the WHR system performance. They capture the variability associated with system integration, design choices, and operational optimization, as well as the specific WHR technology adopted. Accordingly, the optimistic scenario represents best-practice configurations and operating conditions, leading to higher achievable maximum power ratios ( P R m a x ), whereas the pessimistic scenario reflects less favorable configurations and operational constraints, resulting in lower P R m a x values. It is important to note that these values represent upper limits of power ratio ( P R m a x ), rather than steady-state conditions, as they vary with engine load. This segmentation aligns with the WHR design recommendations from MAN, which indicate the use of simpler systems for smaller engines and fully integrated, more complex units for larger engines. Higher-power engines benefit from increased exhaust gas temperatures and mass flow rates, improving the thermodynamic feasibility of waste heat recovery and enabling the implementation of more advanced systems.
These values were selected based on literature and industrial data benchmarks [10,13,28]. For high-power engines, the percentage optimistic power ratio aligns with the maximum electric power generation potential observed for dual-pressure WHR, including steam and power turbines. Conversely, for engines under 25,000 kW, spatial and thermal limitations reduce the efficiency upper limit, even when advanced configurations are considered.

4. Modeling and Calculations

4.1. Thermodynamic Analysis

The WHR (Waste Heat Recovery) system recovers residual heat from the main engine, and its performance varies directly with the engine’s load and operational speed [25]. The main engine’s thermal energy, exhaust gas temperature, and fuel mass flow vary according to the applied load, that is, the percentage of the installed power (MCR) being utilized. Therefore, to determine the WHR system’s power ratio and generated power, it is necessary to analyze how these characteristics behave under different operating conditions. In this study, engines of varying sizes and MCR ratings were evaluated, identifying the curve that represents the variation in the percentage of power recovered by the WHR as a function of engine load.
Additionally, only engine loads above 40% were considered due to operational instabilities observed at lower loads, such as the formation of residues, fouling in the engine, and unstable performance of the engine’s turbocharger [29], which requires the activation of the blowers. Combined with the low power output and limited heat recovery by the WHR under these conditions, this threshold was adopted as the starting point for the graphical analyses [28]. The WHR efficiency was subsequently calculated based on the analysis of the main engine in a thermodynamic cycle, comparing it to the actual power used at a given load. This relationship is crucial, as the WHR system’s performance is directly dependent on the engine’s operational conditions.
The core of the issue lies in the fact that, when the engine operates under its most efficient conditions, the amount of residual heat available for recovery is substantially reduced, consequently limiting WHR performance. However, when analyzing loads above 70% of MCR, a marked improvement in WHR efficiency is observed. This improvement occurs because there is a significant increase in exhaust gas temperature, mass flow rate, and thermal energy losses. Under load conditions below 50%, the engine is unable to generate substantial work, but the exhaust gas temperature remains high, which consequently increases the potential for thermal energy recovery by the WHR system [16].
To determine the recoverable power by the WHR as a function of the engine load, a graph based on data from different engines and different fluids was used. The dataset shown in Figure 2 was obtained from the analysis of results presented in the article of Binary Vapor Cycle for WHR [18], which discusses different operating conditions of a waste heat recovery (WHR) system. The dataset includes two types of main engines from the WinGD company: 8X52 and 12X92, corresponding to medium and large scale versions, respectively. Both are two-stroke slow-speed marine engines, while the 8X52 engine has 8 cylinders with a 520 mm bore, and the 12X92 features 12 cylinders and a 920 mm bore. The working fluids R134a, R22, and R601a were selected due to their distinct thermodynamic properties. R134a (tetrafluoroethane) is a synthetic fluid known for its good performance and safety; R22 (chlorodifluoromethane) provides good efficiency but is environmentally restricted; and R601a (isopentane) stands out for being natural and efficient at higher temperatures. The pressures of 7 bar and 9 bar represent different operating conditions, where higher values tend to provide better energy recovery due to the higher evaporation temperatures. The curve fitting displayed in the figure resulted in a satisfactory coefficient of determination value ( R 2 = 0.71 ). This value was obtained for the regression using the structure defined in Equation (2), where E L represents engine load as a percentage of MCR. The parameters a, b, c, and d are the regression coefficients.
P R = a · E L b + c · E L + d
The analysis of Figure 2 clearly demonstrates that the WHR system exhibits its lowest power ratio in the load range between 50% and 80% of MCR, which is precisely the most common operating regime for main ship engines during the majority of their navigation time. This phenomenon reveals a significant design detail: while marine engines are carefully optimized to operate with maximum efficiency in this load range, resulting in lower specific fuel consumption and minimal energy losses, this very optimization ends up creating a bottleneck for the WHR system [30]. This analysis has important practical implications for the design of heat recovery systems in maritime applications. It is essential to consider this inverse relationship between main engine efficiency and WHR effectiveness during the design phase.
These values were used to perform a general regression aimed at analyzing the behavior of the WHR system under different operating conditions and power ratio levels, considering various case studies. However, as defined in Section 3, the maximum power ratio values (full-load condition) varied among the four scenarios established. Therefore, two approaches were applied to match the values from Table 2 with the one from the fitting curve in Figure 2 at full load (100% of MCR): the addition and the multiplication of a factor to the equation itself, while preserving its original structure. Accordingly, the two resulting graphs from these distinct methods are presented in Figure 3a,b. In panel (a), the multiplication factor method produces curves with a pronounced U-shape, indicating that P R is highly sensitive to engine load: values are lowest at mid-load and increase significantly at both low and high loads. In contrast, panel (b) shows the addition factor method, where the curves are much flatter, meaning P R remains more stable across the load range and exhibits lower sensitivity to engine load. Overall, the figure highlights that the multiplication factor amplifies P R variation, while the addition factor provides a more uniform behavior. The sensitive power ratio values ( P s e n ) are computed by Equation (3), where F m u l is the multiplication factor, while the insensitive power ratio values ( P i n s ) are computed through Equation (4), where F a d d is the addition factor.
P R s e n = ( a · E L b + c · E L + d ) · F m u l
P R i n s = a · E L b + c · E L + d + F a d d
Table 3 summarizes the regression parameters and adjustment factors adopted for the power ratio analysis under the two scenarios and two engine sizes. The coefficients a, b, c, and d remain constant across all cases, reflecting the underlying regression model, while the maximum power ratio ( P m a x ) and the adjustment factors ( F m u l and F a d d ) vary according to the scenario and engine size. When using F m u l in Equation (3), the curves in Figure 3a are achieved (sensitive behavior of the WHR system), while using F a d d in Equation (4), the curves in Figure 3b are achieved (insensitive behavior of the WHR system).
By knowing the installed power for the main engine (MCR), it was assumed that 75% of MCR ( P r e f ) is used when the ship develops the design speed ( P r e f ), which is also known. Then, the propeller law was used to correlate ship speed ( V s ) and main engine brake power ( P M E ) for various conditions. Such a procedure is based on Equations (5) and (6).
P r e f = 0.75 · M C R
P M E = P r e f · V s V r e f 3
These equations establish a simplified framework to estimate the contribution of waste heat recovery systems (WHR) to the overall ship energy balance. By defining a reference power at 75% of the main engine’s MCR, the model accounts for the typical design condition adopted by IMO when assessing energy efficiency. The relationship between engine power and vessel speed follows the propeller law, which reflects the hydrodynamic principles of propulsion. Finally, the WHR power output is derived as a fraction of the main engine power, allowing the system’s contribution to be directly integrated into performance evaluations. This approach provides a consistent way to analyze the potential of WHR technologies under different operational conditions, in line with IMO energy efficiency frameworks.

4.2. Computational Modeling

Computational analysis was of utmost importance to evaluate both the accuracy of the simulation code and the behavior of the WHR (Waste Heat Recovery) system across the full range of engine loads. By performing these analyses, it was possible to capture the dynamic response of the system under varying operational conditions, identify potential performance limitations, and validate the assumptions adopted in the study. Figure 4 illustrates the study methodology, which follows the structured steps defined by the computational code, providing a clear visualization of the workflow and the interconnections between each stage of the analysis.
The computational analysis and modeling were primarily performed using the NumPy and Pandas libraries within the Python ecosystem (Version 3.11; https://www.python.org/), installed through the Anaconda distribution (Version 2.6.6; https://www.anaconda.com/), which provides an extensive suite of scientific tools for efficient numerical computation and data manipulation. Additionally, the KNIME platform (Version 5.7.0; https://www.knime.com/) was used to organize datasets and streamline analytical workflows. All data were stored and processed to generate the curves, graphs, and analytical results presented in this study.
In the first stage, essential data for the analysis were addressed and collected, such as fuel cost, routes, and other relevant parameters, which would be used in the subsequent phases. Next, the main parameters used were the operational speed and service speed to calculate the power consumption at a given moment. The equations applied are based on IMO recommendations. For the calculation of the auxiliary engines, we followed the IMO standard in Equation (7). It is important to highlight that the auxiliary engine power ( P A E ) does not vary with ship speed or engine load, remaining constant and depending only on the MCR of the main engine.
P A E = 0.025 · M C R + 250 [ kW ] for M C R 10 , 000 [ kW ] 0.05 · M C R [ kW ] for M C R < 10 , 000 [ kW ]
After calculating the power consumption, the mass flow rate of fuel for either the main or auxiliary engines ( m ˙ f , i ) was determined using Equation (8). In this equation, S F C i represents the specific fuel consumption and P i denotes the brake power of the respective engines. Subsequently, the mass flow rate of CO2 for the main or auxiliary engines ( m ˙ C O 2 , i ) was calculated using Equation (9), where C F , i is the emission conversion factor that varies depending on the type of fuel used.
m ˙ f , i = S F C i · P i
m ˙ C O 2 , i = m ˙ f , i · C F , i
The contribution of the WHR system lies in the fact that any power it generates directly reduces the load on the auxiliary engines. Consequently, the auxiliary engine power required after installing the WHR system ( P A E , W H R ) is given by Equation (10). The lower bound of this expression is zero, which occurs when the WHR power output ( P W H R ) exceeds the auxiliary engine demand ( P A E ). In such cases, the resulting surplus power is not utilized and is therefore disregarded in this study. However, in other scenarios, and when integrated with additional technologies, this surplus could be harnessed by other onboard electrical systems, allowing the WHR to operate at its maximum efficiency. This demonstrates the versatility of the system in adapting to other types of technologies [31].
P A E , W H R = m a x ( P A E P W H R , 0 )
With the updated auxiliary engine power, we evaluate the effect of the WHR system by comparing the VOYEX cost without and with the WHR system ( V O Y E X n o W H R and V O Y E X W H R ) and the CO2 emissions in both conditions ( e C O 2 , n o W H R and e C O 2 , W H R ). The resulting reductions in VOYEX and CO2 emissions, denoted by V O Y E X r e d and e C O 2 , r e d in Equations (11) and (12), are then quantified. These metrics are essential for assessing both the economic viability and the environmental benefits of the WHR technology.
V O Y E X r e d = V O Y E X n o W H R V O Y E X W H R
e C O 2 , r e d = e C O 2 , n o W H R e C O 2 , W H R

4.3. Financial Evaluation

A financial evaluation is also carried out through the calculation of the system’s payback period. This calculation considers three main elements: the annual savings in voyage expenditure ( V O Y E X r e d ), the annual operating expenditures ( O P E X ), and the total investment of the system ( C A P E X t o t ). In this way, the analysis seeks to determine whether the gains obtained during the operation are sufficient to offset the initial investment, providing an economic indicator that supports decision-making regarding the project’s feasibility in conjunction with its environmental benefits. The key numerical values used to generate the curves and regression analyses presented in this paper are provided in Appendix A, serving both as guidance for the reader and as a numerical basis for future studies.
The financial analysis is conducted using the discounted cash flow methodology [32], which allows monetary values to be adjusted over time. The discount factor ( D F ) is defined by Equation (13) and converts a future amount into its present value, reflecting how much that money is worth today given a discount rate (i) for the considered period (t). From this factor, the present value ( P V t ) of each cash inflow is calculated according to Equation (16), based on the relationship between the investment ( I N V ), in Equation (14), and the revenue ( R E V t ), in Equation (15), ensuring that future revenues are expressed in current terms and allowing for more consistent comparisons between costs and returns.
The cumulative discounted cash flow, which is used for the payback calculation, is obtained iteratively as expressed in Equation (17). This procedure involves discounting all future revenues to their present value and accumulating them until the invested amount is fully recovered. Through this process, it is possible to accurately identify the moment when the economic benefits of the system equal or surpass the initial investment, thus establishing a balance point between cost and return. This indicator has great practical importance, as it demonstrates how long it would take for the initial investment to be compensated by the operational gains and cost reductions provided by the system throughout its service life. This Discounted Payback approach is widely recognized in financial analysis. Compared to the Simple Payback model, it provides a more accurate perspective by taking into account a time value of money adjustment, applying a discount factor to future cash flows. The method works best in contexts with higher economic uncertainty, making the evaluation more realistic and reliable. In this sense, the financial analysis not only complements the environmental one, but also provides an integrated and comprehensive view of the project’s feasibility, allowing the assessment of both economic and sustainability benefits of the adopted technology.
D F = 1 ( 1 + i ) t
I N V t = 0 = C A P E X t o t
R E V t = V O Y E X r e d O P E X
P V t = ( R E V t I N V ) · D F
P a y b a c k t = P a y b a c k t 1 + P V t
Building upon this economic evaluation, the adoption of cost-based emission indicators is essential to extend the financial assessment toward an integrated economic–environmental perspective. While the discounted payback determines the temporal feasibility of the investment, it does not directly quantify how efficiently the incurred costs translate into emission reductions. The use of annualized cost formulations allows all relevant expenditures, capital, operational, and voyager, to be expressed on a consistent temporal basis, ensuring comparability across different operating conditions and engine load levels.
Within this framework, the relationship between main engine load and the costs associated with emission mitigation is further assessed through the unit cost of CO2 reduction ( c C O 2 ) for the WHR, given in Equation (18) (USD/ton). This indicator represents the average cost of carbon dioxide abatement and is calculated as the ratio between the sum of annualized capital expenditures ( C A P E X y ), operational expenditures ( O P E X y ), and voyage-related expenditures ( V O Y E X y ), and the total amount of CO2 reduced over one year ( e C O 2 , r e d , y ). Notice that V O Y E X y is reported with a negative sign because it represents fuel cost savings (i.e., a reduction in voyage expenditures) rather than an additional expense; thus, more negative values indicate greater economic savings from WHR. The value of e C O 2 , r e d , y is obtained from Equation (19), which relates the daily emission reduction to the number of operational days per year ( O P R ).
The resulting values are analyzed using a Marginal Abatement Cost Curve (MACC), which provides a consolidated framework for linking economic costs with the potential for emission reductions. This approach enables a consistent comparison between different operating conditions and engine load levels, allowing the combined assessment of economic performance and environmental benefits associated with the WHR system [33].
c C O 2 = C A P E X y + O P E X y + V O Y E X y e C O 2 , r e d , y
e C O 2 , r e d , y = e C O 2 , r e d , d · O P R .
This type of analysis is essential in the maritime sector because it allows us to identify how variations in the operational regime of the main engine impact energy efficiency, environmental gains, and economic costs. In a context where maritime transport is increasingly pressured to reduce greenhouse gas emissions, understanding these interactions helps establish operational strategies and investments in mitigation technologies, such as WHR systems or speed adjustments, depending on operational needs.

5. Case Studies

The vessels selected for this study include a variety of types and sizes, representing different operational profiles, cargo types, and propulsion characteristics, all of which are essential for evaluating the potential of Waste Heat Recovery (WHR) systems and analyzing economic and environmental feasibility. The deadweight tonnage (DWT) of these vessels ranges from 57,881 to over 400,000 tons, including container ships, oil tankers, bulk carriers, and very large ore carriers. The main technical specifications of the selected vessels, including main engine characteristics, dimensions, and operating routes, are summarized in Table 4.
The analyzed ships were divided into two separate tables to facilitate economic and environmental feasibility assessment. They were grouped based on the expected WHR performance and, primarily, according to their rated engine power (MCR). As previously observed, large vessels with engine power exceeding 25,000 kW can achieve high WHR efficiencies, reaching up to 10% of the utilized engine power. Thus, two ships were selected to represent each of the operational conditions under evaluation, as shown in Table 2.

6. Validation

The economic model developed for the waste heat recovery (WHR) system was validated by comparing the present results with industrial data related to an ORC-based WHR system. Table 5 presents a comparison between the reference values and those estimated by the proposed model, enabling an assessment of its consistency and reliability through the analysis of relative discrepancies (Equation (20)). It should be noted that, due to confidentiality constraints, the specific source for the reference data cannot be disclosed. Therefore, the data are presented in an anonymized form while preserving their technical relevance for model validation purposes.
Relative Error ( % ) = X Present X Reference X Reference × 100
The results indicate an excellent agreement for the capital expenditure (CAPEX), with a relative discrepancy of only 1%, demonstrating that the investment cost estimation is robust and consistent with the reference case. Similarly, fuel savings, represented by the VOYEX parameter, exhibit a relatively low discrepancy of approximately 5%, confirming that the model is able to adequately capture the energetic and economic benefits associated with the implementation of WHR systems in marine applications.
In contrast, a significantly higher discrepancy is observed for the operational expenditure (OPEX), reaching 127%. This difference can be mainly attributed to distinct maintenance strategies, operational assumptions, and cost allocation methodologies adopted in the industrial reference. In addition, in the reference study, OPEX is estimated in a simplified manner as a fixed fraction of the total investment, corresponding to 2% of the CAPEX [10]. Nonetheless, this significant disparity does not adversely affect the overall economic analysis, as the OPEX share of total costs is considerably less important than the others.
The REVt parameter represents the net annual economic outcome of the WHR system and is defined as the algebraic sum of the two main annual economic components of the model, namely OPEX and VOYEX. The relative discrepancy observed for REVt is approximately 3 % , indicating good agreement between the results obtained in this study and those reported in the reference. The system’s net annual revenue is evaluated in relation to the total investment, represented by CAPEXtot, since the interaction between these two parameters directly determines the investment payback period. Based on the economic model and the formulations presented in Section 7.1, the payback period was calculated accordingly. Under the first condition, where CAPEXtot is lower, and the net annual revenue is higher, the resulting payback period is consequently shorter, as shown in Table 5, but an acceptable deviation of 8% was achieved.

7. Results

7.1. Economic Parameters

For each case and vessel, a specific approach and economic analysis are required. In this way, an investment analysis was carried out with the objective of evaluating the return on the additional capital required for the installation of each system. That way, as seen previously in Section 2, the WHR system has the potential to reduce the need for continuous operation of the auxiliary engines. Thus, the vessel, in addition to acquiring more energy, is also able to save fuel and consequently obtain a positive financial return in a cost analysis. Each WHR system is considered an investment, that is, the capital expenditure (CAPEX) related to the acquisition and installation of the equipment. This initial investment would generate a series of future cash flows, the revenues of which correspond to the reduction in expenses over the vessel’s useful life due to the associated fuel savings. The fuel savings are attributed to the increased efficiency of the power plant.
The total CAPEX was estimated based on a comprehensive review of data from both equipment manufacturers and scientific publications, which enabled the development of a cost trend curve for the WHR system, relating the generated power to the equipment CAPEX. The studies consulted cover a broad range of approaches to WHR cost modeling. Some works focus on empirical data from ship installations and case studies [20,24], while others emphasize techno-economic assessments and component-level cost correlations [19,34]. In addition, comparative analyses of Rankine-based WHR systems and their performance–cost relationships were also considered [21,23].
Based on the data obtained from the literature review, it was possible to generate a graph, represented in Figure 5, that means the CAPEX of the WHR system as a function of its power output, and the analysis aligns with reality, since, as the scale of systems and devices increases, the unit cost tends to decrease [13]. Accordingly, the total CAPEX was determined based on this curve, considering the maximum power that the WHR system can generate over time. Thus, the power corresponding to 100% engine load was used to calculate the total system cost.
In our analysis, both daily and annual capital expenditures (CAPEX) were calculated using a discounted cash flow approach, considering an economic useful life of 20 years for the equipment, a discount rate (i) of 10% per year, and an operational year of 361.78 days, which takes into account an estimate of dry docking times throughout the vessel’s service life. To account for equipment acquisition, a loan covering 50% of the system’s price was assumed, with repayment in 10 semiannual installments, an annual interest rate ( I R ) of 3.732% by the London Interbank Offered Rate, and a 6-month grace period.
The equipment operational expenditures (OPEX) were estimated based on manufacturer recommendations for this type of machinery, which indicate a value equivalent to 2% of the total capital expenditure ( C A P E X t o t ) [10]. As C A P E X t o t varies as a function of the WHR system power, OPEX also varies for each engine load condition. However, as previously mentioned, the equipment CAPEX was fixed based on the engine load condition of 100%, corresponding to the maximum possible value. This standardized value was adopted throughout all analyses to ensure consistency and comparability across different scenarios, enabling a comprehensive assessment of the economic and operational performance of the WHR system.

7.2. Payback Period

The WHR system, in addition to contributing to the decarbonization of maritime transport, also has a strong financial appeal for companies, as in some cases it can pay for itself. The payback is directly linked to the effective power recovered by the WHR system, which translates into reduced fuel consumption ( V O Y E X r e d ). The higher the recovered power, the greater the displacement of energy that would otherwise be supplied through additional fuel consumption. This effect leads to a direct reduction in the vessel’s fuel consumption, which is reflected in lower voyage operating expenses ( V O Y E X r e d ).
This economic benefit becomes more pronounced when the engine operates under higher load conditions. At high engine loads, both the exhaust gas mass flow and temperature increase, enhancing the energy recovery potential of the WHR system. As a result, power generation is maximized, fuel savings are increased, and the time required to recover the initial investment is reduced.
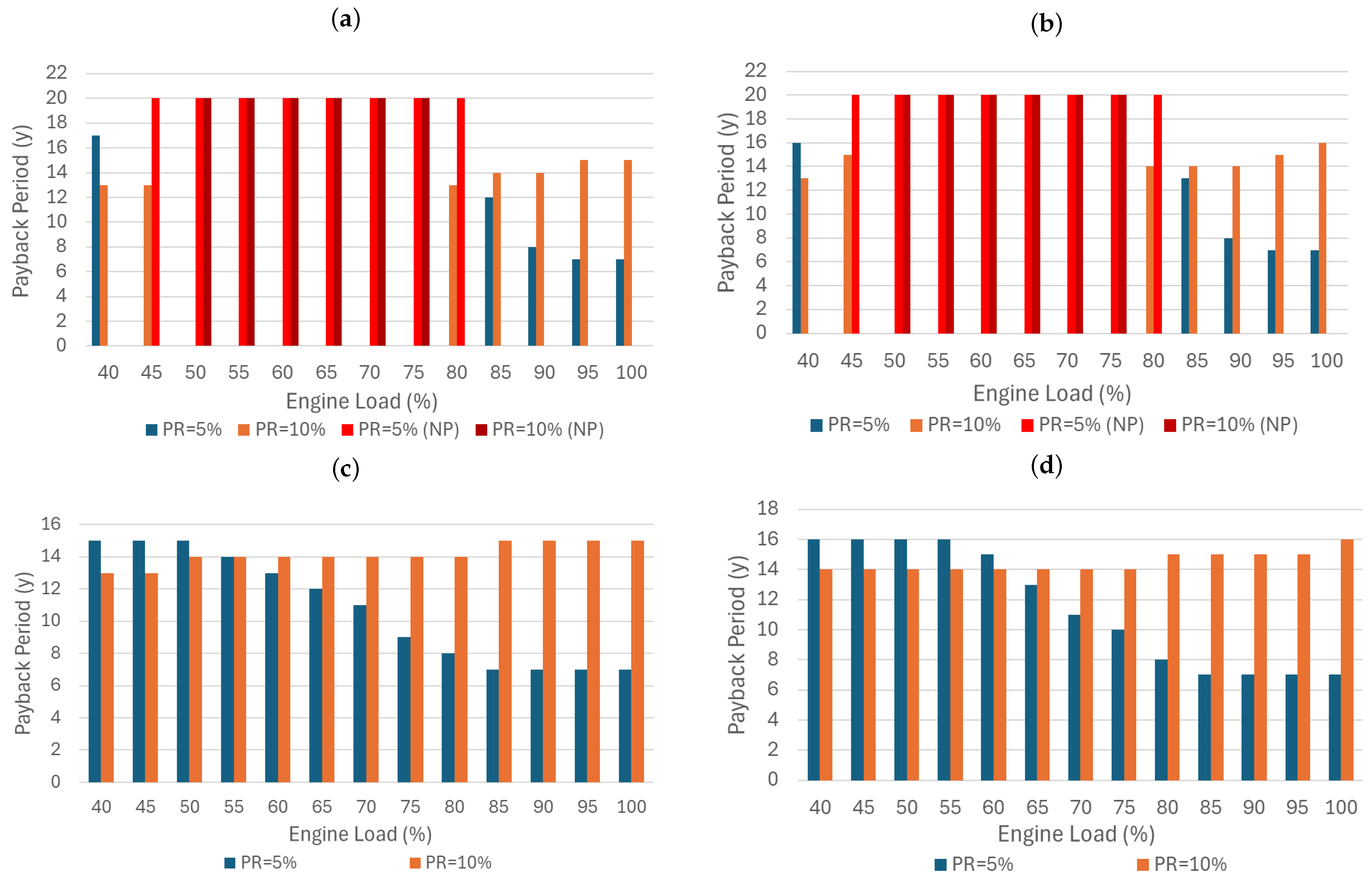
Figure 6 shows the relationship between the payback period and the engine load variation for the Valemax and the Containership, considering sensitive and insensitive P R behavior, as well as optimistic and pessimistic P R m a x . An interesting difference arises when comparing the 5% and 10% P R m a x scenarios with the method of the multiplicative factor. In the case of 10%, although there are more engine load points with positive payback, the best results are not achieved. This occurs because, at high loads, the WHR system already fully supplies the demand of the auxiliary engines, causing the net revenue to decrease, since the maximum VOYEX savings have already been reached, and the OPEX tends to increase due to this operational bottleneck. In the 5% case, the behavior is similar, and the set of positive results is smaller than in the 10% scenario. However, the few positive outcomes observed, especially at high loads, represent the best conditions, as they are not affected by this bottleneck, due to the power approaching the maximum capacity of the auxiliary engine, thus providing the optimal operating condition for the WHR system. Consequently, under high engine load conditions, the payback continues to decrease, demonstrating superior financial performance.
The method for insensitive P R shows more consistent results due to its less pronounced power ratio variation, as illustrated in Figure 3b. This allows us to observe the WHR system’s behavior based on the presented case studies. It can be noted that, in both Figure 6c,d, the payback of 10% P R m a x continues to increase, which represents a behavior opposite to what was expected. This occurs because the maximum VOYEX value has already been reached, as well as the fully distributed useful energy; therefore, the remaining portion is wasted, even though the WHR is still operating. This phenomenon leads to an increase in operational costs and, consequently, in the payback period. For this reason, it is observed that the results for the 5% P R m a x are more favorable, since this operational bottleneck does not occur, allowing power to be continuously generated and used for the auxiliary engines as the engine load increases.
Figure 7a,b show the relationship between the payback period and the engine load variation for the other two vessels with less than 25,000 by applying the multiplication method ( P R sensitive behavior). It is evident that at lower loads (up to around 80%), the payback remains high in all scenarios, reflecting the limited economic recovery of the WHR system under conditions of reduced energy utilization. At higher engine loads (above 85%), there is a significant reduction in payback. In the 8% case, although there are more operating points with positive payback, these results are constrained by an operational bottleneck: at maximum loads, the WHR system already supplies the entire demand of the auxiliary engines, so fuel savings (VOYEX) reach their limit while OPEX tends to increase. On the other hand, in the 4% scenario, although the set of positive points is smaller, the best results are obtained at high loads, without the same bottleneck effect. Therefore, under operating conditions close to maximum load, the payback continues to decrease, indicating better financial performance.
By analyzing Figure 7c,d, using the addition method ( P R insensitive behavior), it can be observed that the behavior is similar; however, the excess energy behavior can be analyzed more clearly. In this case, for the 8% P R m a x , the payback starts at a high value, decreases up to a certain point ( E L = 65 % for Figure 7c and E L = 80 % for Figure 7d), and then begins to increase again. This transition occurs because the WHR system has already met the entire demand of the auxiliary engines, and from that point onward, operational costs tend to rise. The results for the 4% P R m a x show better performance due to the lower system CAPEX, and because the generated power values are closer to the power required by the auxiliary engines. Furthermore, the variation in energy across different engine loads for the 4% P R m a x is smaller than that observed for the 8%.
It can be observed that the sets of values, when analyzing the graphs, show more positive results in vessels with main engine power above 25,000 kW. This occurs due to the higher fuel consumption, greater heat release, and larger amount of residual heat available in these ships. Additionally, larger engines present a higher power ratio, which further enhances WHR system performance [26]. Therefore, after an overview, we can conclude that the best results are presented in ships that have over 25,000 kW of main power machine, because in terms of numbers and results, especially in ships lower than the method doesn’t have the best power ratio scenarios and can’t recover a large amount of the recovery system.

7.3. Financial and Environmental Feasibility Analysis

In this subsection, the economic and environmental results of implementing the WHR system on a vessel are discussed. As previously mentioned, WHR has a high potential for energy recovery and voyage cost reduction ( V O Y E X r e d ), which makes it economically feasible. WHR can achieve a viable payback period, a feature seldom found in other emission-reduction technologies. Furthermore, WHR contributes significantly to the reduction of carbon emissions.
The graphs presented in Figure 8 compare the relationship between engine load and costs associated ( c C O 2 ) with the WHR system. It is possible to observe from the behavior of the Figure 8a,b that CO2 reduction achieves better overall results when the system operates at 10% P R m a x with the high sensitivity condition. However, it can also be noted that at around 80% engine load, the system is already able to fully meet the demand of the auxiliary engines. From this point onward, the reduction in emissions remains practically constant, even as engine load increases. This highlights an operational bottleneck: environmental benefits stop growing, while operational costs continue to rise. As a result, the cost curve at 10% begins to behave like an upward-sloping line, reflecting the increase in costs without proportional emission reduction gains.
On the other hand, when analyzing the system at 5% power, it becomes clear that although the CO2 reduction results are lower compared to the 10% case, they are still significant at high engine loads, especially when approaching 100% engine load. Similarly, the costs behave differently: Unlike the 10% configuration, the costs at 5% show better relative results at higher loads, since the system can more efficiently take advantage of the increase in emissions from the auxiliary engines. For instance, at around 85% engine load, the blue cost curve outperforms the red one, demonstrating the greater competitiveness of this configuration at maximum load conditions.
This difference can also be explained by the CAPEX: the system designed to operate at 10% requires a higher initial investment compared to the 5% system. Thus, although it ensures higher reductions in general conditions, its economic feasibility may be limited in some scenarios. Conversely, the 5% system proves to be more advantageous at high engine loads, as it balances operational costs with environmental benefits more efficiently, resulting in a more favorable investment-to-return ratio.
However, when analyzing the curves in Figure 8c,d, a slightly different trend can be observed, although it can be explained similarly. Since the factor addition method does not present such a high sensitivity of P R , also evidenced in Figure 3b, the behavior of the curves differs from that observed with the multiplication method. In the latter, there is a significant reduction in CO2 between 50% and 80% engine load, while the factor addition method exhibits a smoother curve. Its trend is predominantly increasing in terms of CO2 reduction, and at around 85% engine load, the 5% power ratio reaches its reduction limit, at which point costs begin to rise. When observing the 10% curve, it becomes evident that the energy required to supply the auxiliary engines has already been fully achieved across all engine load ranges; therefore, the cost curve tends to increase solely due to the continuous growth of OPEX.
It is important to highlight the role of the auxiliary engine’s power in the economic viability of the WHR. This is because both CAPEX and OPEX tend to increase proportionally with the installed power. However, the reduction of VOYEX fundamentally depends on the energy recovered from the WHR in a balance of energy with the auxiliary system. Therefore, the greater the contribution and efficiency of these engines in supplying energy to the system, the higher the potential economic return of the investment.
This becomes evident when analyzing two distinct graphs representing the same vessel under different conditions, the Figure 8a,c and Figure 9a,b. In the first case, the WHR integration is evaluated based on auxiliary engine calculations according to IMO criteria. However, an early operational bottleneck occurs: The energy demand is rapidly met, leading to a significant amount of energy produced by the WHR that cannot be utilized by the vessel, making the system economically unfeasible in some cases. On the other hand, when considering the second figure, in a hypothetical scenario where the auxiliary engines account for 10% of the MCR power, a more balanced distribution is observed. In this situation, the operational bottleneck is avoided, and the system demonstrates higher efficiency, achieving better cost performance, even dropping below the minus one hundred ( 100 CO 2 cost) margin in cost values.
Furthermore, it can be observed that the efficiency values in relation to costs tend to converge due to the balancing of operational costs. As indicated in Figure 5, the higher the power, the lower the cost per kW, until reaching an almost stable trend. Accordingly, as calculated in this study, both CAPEX and OPEX follow this proportionality, which explains why, at higher WHR power levels, the cost curves exhibit similar behaviors and results proportionally.
In the Suezmax case study in Figure 10a, it can be observed that the system operating at 8% power ratio provides the best results in terms of CO2 reduction, particularly up to around 90% engine load, where the blue dashed curve shows a more significant reduction compared to the 4% scenario (blue curve). However, after this point in the 8% PR, the reduction tends to stabilize, indicating that additional environmental gains become limited due to the previously mentioned operational bottleneck, in which part of the WHR power is effectively wasted.
From a cost perspective, the red dashed curve (Cost 8%) shows a pattern similar to the previous figures: there is an inflection point near 90% engine load, after which costs rise steadily. This reflects the increasing operational effort of the system without proportional environmental benefits. Conversely, the red curve (Cost 4%) demonstrates more competitive performance at higher loads, remaining relatively stable and showing lower relative costs compared to the 8% configuration. This behavior highlights that while the CAPEX of the 8% system is higher and ensures more consistent environmental benefits, the 4% system may be economically more attractive in scenarios with prolonged operation at high engine loads, due to its better balance between cost and benefit.
In the Panamax case study in Figure 10b, an even clearer behavior is observed: the 4% P R shows lower CO2 reduction than the 8% configuration at medium loads, but from around 95% engine load onward, the red curves begin to converge, and the difference in environmental benefits becomes smaller. This means that, for this vessel size, the advantage of the 8% system is mainly concentrated at medium loads, while at higher loads the difference compared to 4% is less significant.
When analyzing Figure 10c,d using the addition factor method, it can be observed that the effects obtained are similar to those associated with the multiplicative condition. However, the most pronounced difference lies in the way the curves are distributed. Since this approach represents a system with low sensitivity to the power ratio, the resulting curves exhibit a smoother behavior when compared to Figure 10a,b, leading to distinct outcomes.
Rather than displaying a sharp reduction at intermediate engine loads, as observed in the previous cases, Figure 10a,b present a more gradual transition in this operating range, yielding more favorable results. As the WHR power increases more rapidly under this method, the energy balance between the recovered WHR power ( P R W H R ) and the auxiliary engine power demand is achieved earlier than in the previous configurations, occurring at approximately 60% engine load in Figure 10c and 75% in Figure 10d. Consequently, as previously discussed, the cost curves associated with the higher P R m a x begin to rise and eventually surpass those corresponding to the lower P R m a x in both graphs.
Therefore, in the Panamax case, the 4% system proves to be economically more efficient when the vessel operates near maximum load, as it maintains lower costs despite slightly lower CO2 reductions. The 8% system, on the other hand, is more advantageous in scenarios where operation is more constant at medium loads, delivering higher environmental benefits.

7.4. Operational Profiles

In addition to the conditions defined for the case studies, it is particularly important, in the context of Waste Heat Recovery (WHR) systems, to consider the operational analysis of the vessels in order to more accurately reflect the real performance of such systems [15]. Factors such as the distribution of operating time between open-sea navigation, port maneuvering, and periods spent at berth, characterized by low or negligible main engine load, directly affect the availability of waste heat and, consequently, the expected efficiency and economic return of WHR systems.
To capture these operational variations, data from technical literature and commonly adopted industry references were used to estimate the typical time a vessel spends in port, operating at reduced speeds, and sailing at service speed [35,36]. Based on this information, the operational profile considered in this section assumes that, during navigation at service speed, the main engine operates at approximately 75–80% load. When sailing at reduced speed, the main engine load decreases to about 50–60%. During port operations, the main engine is not in use (0% load), and the energy demand is supplied exclusively by the auxiliary engines. The trip operational profile was constructed for the four vessels considered in the case study, as illustrated in Figure 11.
It is important to emphasize that the developed analysis does not aim to precisely reproduce the specific operational behavior of each individual vessel, but rather to represent an average, technically grounded operational profile suitable for comparative assessments of energy, environmental, and economic performance. Accordingly, the adopted approach may be characterized as quasi-dynamic, since it does not explicitly account for transition times between different operational phases, nor for the continuous variations in engine load associated with these transitions. Furthermore, maneuvering periods and their corresponding engine loads were not analyzed; the assessment was limited to time spent in port and navigation along the voyage route.
Based on the operational profiles described and illustrated in Figure 11, the results were primarily obtained through proportional weighting and simple averages associated with the different operational conditions considered, with the operational year adjusted according to the time spent in port, during which the main engine is not active. The consolidated economic data for each ship type, presented in Table 6, clearly demonstrate the direct influence of the operational regime on the economic feasibility of Waste Heat Recovery (WHR) systems, highlighting that the proportion of time during which the main engine operates under high-load conditions, particularly above 50–60%, constitutes a key factor affecting operational cost reductions and investment return potential.
The Suezmax and Valemax vessels, which are characterized by long open-sea routes and a high share of operation close to service speed, exhibit the most significant economic benefits associated with WHR adoption. These operational profiles lead to substantial reductions in VOYEXy, reflecting meaningful fuel savings, as well as comparatively lower OPEXy values. As a result, only these vessels present finite payback periods under the additive factor scenario, with the Valemax vessel standing out as the most favorable case, achieving payback times between 8 and 10 years.
In contrast, the container ship and the Panamax bulk carrier, whose operational profiles include frequent port calls, extended periods of reduced-speed navigation, and prolonged low-load main engine operation, show more limited economic gains. In these cases, although reductions in VOYEXy are observed, the annualized CAPEXy remains high relative to the achieved annual savings, resulting in the absence of payback within the analyzed time horizon.
Overall, these findings highlight the importance of incorporating realistic operational profiles into the techno-economic assessment of WHR systems. The analysis demonstrates that considering only nominal operating conditions may lead to an overestimation of system benefits, whereas a voyage-profile-based approach enables a more accurate identification of vessel types and operating regimes for which WHR implementation is genuinely feasible.
It is important to highlight that, for the present study, a fixed operational year of 361.78 days was assumed. This value was selected to represent an average annual operating period, accounting for docking and maintenance time, while enabling the application of the model to different vessel types. This assumption was also motivated by the limited availability of detailed operational data, such as continuous engine load profiles, which would require the use of onboard sensors and monitoring systems. Consequently, engine operating conditions below 40% load were disregarded in this study, as they represent a relatively small fraction of the total operating time assumed and are generally unsuitable for efficient WHR system operation.

8. Conclusions

The results of this study show that Waste Heat Recovery Systems (WHR) are a technically feasible and economically attractive alternative to improve the energy efficiency of ships and reduce their GHG emissions. The analysis carried out on different types and sizes of vessels demonstrates that the recovery potential increases with the main engine power, being more significant in large ships with engines above 25,000 kW.
From an environmental perspective, WHR consistently contributes to the reduction of CO2, reinforcing its importance in meeting the decarbonization targets set by the International Maritime Organization (IMO). From an economic standpoint, it was observed that under specific conditions, especially at high engine loads, the investment can be recovered within competitive timeframes, making the system attractive for the maritime industry.
A relevant finding is that even under low-efficiency scenarios (4% to 5%), WHR still delivers meaningful results, particularly when operating at both high and low loads, which makes it a viable and functional solution under these conditions. Another crucial aspect is the power of auxiliary engines, which play a central role in preventing operational bottlenecks and enhancing economic feasibility, as they define the effective use of the recovered energy.
On the other hand, it is important to emphasize that WHR, although a valuable tool for emission reduction, should not be seen as a standalone solution. Since most emissions originate from the main engine, integrating WHR with other technologies, such as carbon capture systems, becomes essential to expand both environmental and energy gains.
Nevertheless, there remains room for improvement in the present study. The adopted conditions represent generalized scenarios intended to apply to different ship types. For a more detailed and realistic assessment, the inclusion of specific port time conditions and vessel-specific operational profiles is recommended, enabling a micro-level analysis that better reflects real operational behavior. Furthermore, future research should focus on the development of a more detailed thermodynamic model for the waste heat recovery system. While the model used in this study is generic and applicable to different WHR configurations, the specification of a particular system, based on a critical assessment of models available in the literature, would allow more refined thermodynamic analyses and a clearer definition of operating conditions.
Overall, this study confirms that WHR should be part of the maritime sector’s energy transition strategies. The adoption of this technology represents an important step toward aligning operational efficiency, economic competitiveness, and environmental sustainability in maritime transport.

Author Contributions

Conceptualization, B.L.V.P., C.H.M., J.-D.C., L.F.A. and C.T.d.C.; methodology, B.L.V.P., C.H.M., J.-D.C. and C.T.d.C.; software, B.L.V.P. and C.T.d.C.; validation, B.L.V.P., C.H.M., J.-D.C., L.F.A. and J.C.O.; formal analysis, B.L.V.P., C.H.M., J.-D.C. and C.T.d.C.; investigation, B.L.V.P., C.H.M., J.-D.C. and C.T.d.C.; resources, B.L.V.P. and C.H.M.; data curation, B.L.V.P., C.H.M. and J.-D.C.; writing—original draft preparation, B.L.V.P. and C.H.M.; writing—review and editing, B.L.V.P., C.H.M., J.-D.C., L.F.A. and J.C.O.; visualization, B.L.V.P. and C.H.M.; supervision, C.H.M., J.-D.C., L.F.A. and J.C.O.; project administration, C.H.M., J.-D.C., L.F.A. and J.C.O.; funding acquisition, J.-D.C. and J.C.O. All authors have read and agreed to the published version of the manuscript.

Funding

This study was partially funded by the Coordination for the Improvement of Higher Education Personnel (CAPES-Brazil), finance code 001, and the National Council for Scientific and Technological Development (CNPq-Brazil), under grants 405923/2022-8 (J.-D.C.) and 309238/2020-0 (J.-D.C.). We also acknowledge the financial support from the Instituto Tecnológico Vale (ITV). The opinions, hypotheses, conclusions, and recommendations expressed in this paper are solely those of the authors and do not necessarily reflect the views of the funding agencies.

Data Availability Statement

The data supporting the findings of this study are organized and provided in Appendix A. Additional information can be obtained from the corresponding author upon request.

Acknowledgments

The authors would like to express their sincere gratitude to Paula Carvalho Pereda and Andrea Lucchesi, from the University of São Paulo (USP), for their leadership, guidance, and scientific coordination of the research project financed by the Instituto Tecnológico Vale (ITV). Their expertise and commitment were fundamental to the conception, development, and successful execution of this study. The authors also acknowledge the institutional support provided by ITV, whose funding made this research possible. The opinions, hypotheses, conclusions, and recommendations expressed in this paper are solely those of the authors and do not necessarily reflect the views of the funding agencies.

Conflicts of Interest

The authors declare no conflicts of interest.

Abbreviations

The following abbreviations are used in this manuscript:
CAPEXCapital Expenditures
c C O 2 Unit Cost of CO2 Reduction
CO2Carbon Dioxide
DFDiscount Factor
DWTDeadweight Tonnage
e C O 2 Emissions of CO2
ELEngine Load
F a d d Addition Factor
F m u l Multiplication Factor
GHGGreenhouse Gases
iDiscount Rate
I R Interest Rate
IMOInternational Maritime Organization
MCRMaximum Continuous Rating
NOxNitrogen Oxides
OPROperational Days per Year
OPEXOperational Expenditures
ORCOrganic Rankine Cycle
PAEPower of Auxiliary Engine
PWHRPower of Waste Heat Recovery system
PRPower Ratio
P R i n s Insensitive Power Ratio
P R m a x Maximum Power Ratio
P R s e n Sensitive Power Ratio
RCRankine Cycle
REVRevenue
SFCSpecific Fuel Consumption
SOxSulphur Oxides
tPeriod
V r e f Reference Speed
V s Service Speed
VOYEX Voyage Expenditures
WHRWaste Heat Recovery

Appendix A

This appendix plays a fundamental role in ensuring the transparency of the data obtained throughout this study, allowing the results to be analyzed in a clear and traceable manner. Furthermore, it serves as a reference for future research, providing a solid basis for comparisons and new analyses. The values presented maintain consistency with each other and are directly related to the results discussed in the previous sections, reinforcing the methodological coherence adopted in this work. Specifically, the appendix presents the results obtained for four different types of vessels (Valemax, Containership, Suezmax, and Panamax), based on the two power ratio scenarios, Sensitive and Insensitive P R ’s, considering various power ratios and engine loads. Each table shows the annual percentage and absolute reductions in CO2, as well as the total capital expenditures (CAPEX), that is, the total investment in the equipment, the annual operational costs (OPEX), the yearly voyage costs (VOYEX), and the power generated by the Waste Heat Recovery (WHR) system for the different engine loads. All values were standardized to four significant tables, Table A1, Table A2, Table A3 and Table A4 to preserve both clarity and consistency in the data presentation.
Table A1. Valemax results with 10% and 5% maximum power ratio ( P R m a x ), respectively, for both sensitive and insensitive P R .
Table A1. Valemax results with 10% and 5% maximum power ratio ( P R m a x ), respectively, for both sensitive and insensitive P R .
Sensitive PR
EL (%) CO2 (%) CAPEX (USD/ 10 3 ) P WHR (kW) OPEX (USD/y/ 10 3 ) VOYEX (USD/y/ 10 3 ) CO2 (ton/y)
408.69/4.916302/39361108/554.065.18/40.72−958.5/−541.15955/3360
457.50/3.756302/3936944.1/472.158.47/36.52−922.0/−461.05723/2865
505.73/2.866302/3936794.6/397.452.01/32.49−776.0/−388.14822/2409
554.45/2.236302/3936675.0/337.546.56/29.08−659.2/−329.64095/2048
603.64/1.826302/3936599.2/299.742.94/26.83−585.2/−292.63634/1820
653.27/1.646302/3936580.2/290.142.01/26.24−566.6/−283.33520/1762
703.31/1.656302/3936629.5/314.844.40/27.74−614.8/−307.43820/1910
753.73/1.876302/3936758.2/379.150.38/31.47−740.5/−370.34602/2301
804.52/2.266302/3936976.4/488.359.82/37.37−953.5/−476.85926/2963
854.29/2.836302/39361294/646.972.42/45.23−958.5/−631.75955/3925
904.06/3.556302/39361719/859.587.83/54.86−958.5/−839.35955/5213
953.85/3.856302/39362260/1130105.8/66.07−958.5/−958.55955/5955
1003.67/3.676302/39362926/1463126.0/78.73−958.5/−958.55955/5955
Insensitive PR
EL (%)CO2 (%)CAPEX (USD/ 10 3 )P WHR (kW)OPEX (USD/y/ 10 3 )VOYEX (USD/y/ 10 3 )CO2 (ton/y)
408.69/5.166302/39361168/582.767.56/42.14−958.5/−569.15955/3535
457.80/4.616302/39361238/579.570.28/41.98−958.5/−565.95955/3517
507.08/4.196302/39361313/581.173.13/42.06−958.5/−567.55955/3527
556.47/3.906302/39361396/59176.25/42.54−958.5/−577.25955/3585
605.97/3.726302/39361490/612.379.71/43.58−958.5/−597.95955/3715
655.53/3.656302/39361598/647.583.60/45.26−958.5/−632.45955/3929
705.16/3.686302/39361723/699.287.98/47.69−958.5/−682.85955/4244
754.83/3.796302/39361867/769.492.89/50.89−958.5/−751.45955/4667
804.54/3.986302/39362031/860.298.35/54.89−958.5/−840.15955/5220
854.29/4.256302/39362217/973.4104.4/59.70−958.5/−950.65955/5904
904.06/4.066302/39362427/1111111.0/65.29−958.5/−958.55955/5955
953.85/3.856302/39362663/1273118.2/71.64−958.5/−958.55955/5955
1003.67/3.676302/39362926/1463126.0/78.73−958.5/−958.55955/5955
Note: EL = Engine Load, CO2 (%) is the percentage of CO2 reduced compared to the total amount emitted, and CO2 (ton/year) is the total carbon reduced in tons per year.
Table A2. Container Ship results with 10% and 5% maximum power ratio ( P R m a x ), respectively, for both sensitive and insensitive P R .
Table A2. Container Ship results with 10% and 5% maximum power ratio ( P R m a x ), respectively, for both sensitive and insensitive P R .
Sensitive PR
EL (%) CO2 (%) CAPEX (USD/ 10 3 ) P WHR (kW) OPEX (USD/y/ 10 3 ) VOYEX (USD/y/ 10 3 ) CO2 (ton/y)
408.93/5.125841/36481037/518.462.31/38.92−882.8/−506.25485/3144
457.70/3.855841/3648868.4/434.255.25/34.51−848.1/−424.15268/2634
505.79/2.895841/3648719.2/359.648.61/30.36−702.4/−351.24363/2182
554.44/2.225841/3648602.5/301.343.10/26.92−588.4/−294.23654/1827
603.60/1.805841/3648530.1/265.139.52/24.68−517.7/−258.93216/1610
653.23/1.615841/3648512.6/256.338.62/24.12−500.6/−250.33111/1556
703.28/1.645841/3648559.3/279.640.98/25.59−546.2/−273.13393/1697
753.73/1.875841/3648678.7/339.346.73/29.19−662.8/−331.44117/2059
804.54/2.275841/3648878.5/439.355.68/34.78−858.0/−429.05329/2666
854.41/2.845841/36481166/582.967.48/42.15−882.8/−569.35485/3538
904.18/3.575841/36481547/773.681.78/51.08−882.8/−755.55485/4692
953.97/3.975841/36482029/101498.29/61.39−882.8/−882.85485/5485
1003.77/3.775841/36482616/1308116.8/72.96−882.8/−882.85485/5485
Insensitive PR
EL (%)CO2 (%)CAPEX (USD/ 10 3 )P WHR (kW)OPEX (USD/y/ 10 3 )VOYEX (USD/y/ 10 3 )CO2 (ton/y)
408.93/5.155841/36481044/521.062.61/39.05−882.8/−508.85485/3162
458.02/4.605841/36481107/518.165.13/38.90−882.8/−506.05485/3144
507.27/4.185841/36481174/519.567.78/38.98−882.8/−507.45485/3151
556.66/3.895841/36481248/528.470.66/39.43−882.8/−516.05485/3205
606.14/3.725841/36481332/547.473.87/40.39−882.8/−534.65485/3321
655.69/3.645841/36481429/578.977.48/41.95−882.8/−565.45485/3513
705.31/3.675841/36481541/625.181.54/44.19−882.8/−610.55485/3791
754.97/3.785841/36481669/687.986.09/47.16−882.8/−671.85485/4175
804.67/3.985841/36481815/769.191.15/50.87−882.8/−751.15485/4667
854.41/4.255841/36481982/870.296.75/55.33−882.8/−849.95485/5278
904.18/4.185841/36482170/992.9102.9/60.51−882.8/−882.85485/5485
953.97/3.975841/36482381/1138109.6/66.39−882.8/−882.85485/5485
1003.77/3.775841/36482616/1308116.8/72.96−882.8/−882.85485/5485
Note: EL = Engine Load, CO2 (%) is the percentage of CO2 reduced compared to the total amount emitted, and CO2 (ton/year) is the total carbon reduced in tons per year.
Table A3. Suezmax results with 8% and 4% maximum power ratio ( P R m a x ), respectively, for both sensitive and insensitive P R .
Table A3. Suezmax results with 8% and 4% maximum power ratio ( P R m a x ), respectively, for both sensitive and insensitive P R .
Sensitive PR
EL (%) CO2 (%) CAPEX (USD/ 10 3 ) P WHR (kW) OPEX (USD/y/ 10 3 ) VOYEX (USD/y/ 10 3 ) CO2 (ton/y)
408.08/4.043729/2329535.5/267.839.79/24.85−523.0/−261.53249/1624
456.09/3.043729/2329448.6/224.335.28/22.04−438.1/−219.02721/1360
504.58/2.293729/2329371.5/185.831.04/19.39−362.8/−181.42254/1129
553.51/1.763729/2329311.2/155.627.52/17.19−303.9/−152.01888/944.2
602.85/1.433729/2329273.8/136.925.23/15.76−267.4/−133.71661/832.1
652.56/1.283729/2329264.8/132.424.66/15.40−258.6/−129.31606/803.2
702.61/1.33729/2329288.9/144.426.17/16.34−282.1/−141.11755/875.5
752.96/1.483729/2329350.6/175.329.84/18.64−342.4/−171.22127/1064
803.61/1.83729/2329453.8/226.935.56/22.21−443.2/−221.62753/1378
854.52/2.263729/2329602.2/301.143.09/26.91−588.1/−294.13654/1827
904.78/2.843729/2329799.2/399.652.22/32.62−656.5/−390.34077/2424
954.54/3.543729/23291048/524.062.77/39.20−656.5/−511.74077/3180
1004.32/4.323729/23291351/675.674.59/46.59−656.5/−656.54077/4077
Insensitive PR
EL (%)CO2 (%)CAPEX (USD/ 10 3 )P WHR (kW)OPEX (USD/y/ 10 3 )VOYEX (USD/y/ 10 3 )CO2 (ton/y)
408.14/4.063729/2329539.1/268.839.97/24.92−526.5/−262.53270/1632
457.63/3.513729/2329562.5/258.541.14/24.27−549.4/−252.53412/1570
507.26/3.093729/2329588.8/251.042.44/23.78−575.0/−245.13574/1523
557.00/2.803729/2329619.9/248.343.94/23.61−605.4/−242.53763/1505
606.85/2.633729/2329657.5/252.145.74/23.86−642.1/−246.23990/1530
656.50/2.553729/2329703.2/264.047.87/24.61−656.5/−257.84077/1603
706.06/2.573729/2329758.3/285.450.39/25.95−656.5/−278.74077/1733
755.68/2.683729/2329824.2/317.553.32/27.90−656.5/−310.14077/1925
805.35/2.873729/2329902.0/361.456.69/30.47−656.5/−353.04077/2192
855.05/3.143729/2329992.6/418.360.50/33.64−656.5/−408.54077/2540
904.78/3.483729/23291097/489.164.75/37.41−656.5/−477.64077/2967
954.54/3.883729/23291216/574.569.45/41.73−656.5/−561.14077/3488
1004.32/4.323729/23291351/675.674.59/46.59−656.5/−656.54077/4077
Note: EL = Engine Load, CO2 (%) is the percentage of CO2 reduced compared to the total amount emitted, and CO2 (ton/year) is the total carbon reduced in tons per year.
Table A4. Panamax results with 8% and 4% maximum power ratio ( P R m a x ), respectively, for both sensitive and insensitive P R .
Table A4. Panamax results with 8% and 4% maximum power ratio ( P R m a x ), respectively, for both sensitive and insensitive P R .
Sensitive PR
EL (%) CO2 (%) CAPEX (USD/ 10 3 ) P WHR (kW) OPEX (USD/y/ 10 3 ) VOYEX (USD/y/ 10 3 ) CO2 (ton/y)
407.88/3.942402/1500280.1/140.025.62/16.00−273.5/−136.71700/850.2
455.95/2.972402/1500234.6/117.322.72/14.19−229.1/−114.51422/712.7
504.48/2.242402/1500194.3/97.1419.99/12.48−189.7/94.861179/589.7
553.45/1.722402/1500162.8/81.3717.72/11.07−158.9/79.47987.7/492.0
602.8/1.42402/1500143.2/71.616.25/10.15−139.9/69.93868.3/434.1
652.52/1.262402/1500138.5/69.2315.88/9.919−135.2/67.61839.3/419.7
702.57/1.282402/1500151.1/75.5416.85/10.52−147.5/73.77915.3/459.5
752.92/1.462402/1500183.3/91.6619.22/12.00−179.0/89.521111/557.1
803.56/1.782402/1500237.3/118.722.90/14.30−231.8/−115.91440/719.9
854.46/2.232402/1500314.9/157.527.75/17.33−307.6/−153.81910/955.1
905.61/2.812402/1500417.9/209.033.62/21.00−408.2/−204.12536/1266
955.64/3.52402/1500548.0/274.040.42/25.24−431.3/−267.62681/1664
1005.37/4.32402/1500706.6/353.348.03/30.00−431.3/−345.12681/2145
Insensitive PR
EL (%)CO2 (%)CAPEX (USD/ 10 3 )P WHR (kW)OPEX (USD/y/ 10 3 )VOYEX (USD/y/ 10 3 )CO2 (ton/y)
407.93/3.962402/1500281.9/140.625.74/16.05−275.3/−137.31711/853.8
457.46/3.432402/1500294.2/135.226.49/15.62−287.3/−132.01784/821.2
507.11/3.032402/1500307.9/131.227.32/15.31−300.7/−128.21867/795.9
556.87/2.752402/1500324.2/129.828.30/15.20−316.6/−126.81968/788.7
606.73/2.582402/1500343.8/131.829.45/15.36−335.8/−128.72087/799.5
656.69/2.512402/1500367.7/138.130.82/15.85−359.1/−134.82232/839.3
706.73/2.532402/1500396.6/149.232.45/16.71−387.3/−145.72406/904.5
756.87/2.642402/1500431.0/166.034.33/17.96−420.9/−162.12616/1006
806.62/2.842402/1500471.7/189.036.50/19.62−431.3/−184.62681/1147
856.26/3.12402/1500519.1/218.838.95/21.66−431.3/−213.62681/1328
905.93/3.442402/1500573.7/255.841.69/24.09−431.3/−249.82681/1552
955.64/3.842402/1500636.1/300.544.72/26.87−431.3/−293.42681/1823
1005.37/4.32402/1500706.6/353.348.03/30.00−431.3/−345.12681/2145
Note: EL = Engine Load, CO2 (%) is the percentage of CO2 reduced compared to the total amount emitted, and CO2 (ton/year) is the total carbon reduced in tons per year.

References

  1. Deng, S.; Mi, Z. A review on carbon emissions of global shipping. Mar. Dev. 2023, 1, 4. [Google Scholar] [CrossRef]
  2. Law, L.C.; Mastorakos, E.; Evans, S. Estimates of the Decarbonization Potential of Alternative Fuels for Shipping as a Function of Vessel Type, Cargo, and Voyage. Energies 2022, 15, 7468. [Google Scholar] [CrossRef]
  3. Marcu, O.; Robe-Voinea, E.G. Stern Flow Hydrodynamics around a Self-propelled Maneuvering VLCC Ship. Eng. Technol. Appl. Sci. Res. 2024, 14, 15283–15290. [Google Scholar] [CrossRef]
  4. Bortuzzo, V.; Bertagna, S.; Bucci, V. Mitigation of CO2 Emissions from Commercial Ships: Evaluation of the Technology Readiness Level of Carbon Capture Systems. Energies 2023, 16, 3646. [Google Scholar] [CrossRef]
  5. Hirdaris, S.; Cheng, Y.; Shallcross, P.; Bonafoux, J.; Carlson, D.; Prince, B.; Sarris, G. Considerations on the potential use of Nuclear Small Modular Reactor (SMR) technology for merchant marine propulsion. Ocean Eng. 2014, 79, 101–130. [Google Scholar] [CrossRef]
  6. Díaz-Secades, L.A.; González, R.; Rivera, N. Waste heat recovery from marine engines and their limiting factors: Bibliometric analysis and further systematic review. Clean. Energy Syst. 2023, 6, 100083. [Google Scholar] [CrossRef]
  7. Larsen, U.; Pierobon, L.; Haglind, F.; Gabrielii, C. Design and optimisation of organic Rankine cycles for waste heat recovery in marine applications using the principles of natural selection. Energy 2013, 55, 803–812. [Google Scholar] [CrossRef]
  8. Altosole, M.; Benvenuto, G.; Campora, U.; Laviola, M.; Trucco, A. Waste Heat Recovery from Marine Gas Turbines and Diesel Engines. Energies 2017, 10, 718. [Google Scholar] [CrossRef]
  9. Larsen, U.; Nguyen, T.V.; Knudsen, T.; Haglind, F. System analysis and optimisation of a Kalina split-cycle for waste heat recovery on large marine diesel engines. Energy 2014, 64, 484–494. [Google Scholar] [CrossRef]
  10. Theotokatos, G.; Rentizelas, A.; Guan, C.; Ancic, I. Waste heat recovery steam systems techno-economic and environmental investigation for ocean-going vessels considering actual operating profiles. J. Clean. Prod. 2020, 267, 121837. [Google Scholar] [CrossRef]
  11. Marques, C.H.; Pereda, P.C.; Lucchesi, A.; Ramos, R.F.; Fiksdahl, O.; Assis, L.F.; Pereira, N.N.; Caprace, J.D. Cost and environmental impact assessment of mandatory speed reduction of maritime fleets. Mar. Policy 2023, 147, 105334. [Google Scholar] [CrossRef]
  12. Caprace, J.D.; Marques, C.H.; Assis, L.F.; Lucchesi, A.; Pereda, P.C. Sustainable Shipping: Modeling Technological Pathways Toward Net-Zero Emissions in Maritime Transport (Part I). Sustainability 2025, 17, 3733. [Google Scholar] [CrossRef]
  13. MAN. Waste Heat Recovery System (WHRS) for Reduction of Fuel Consumption, Emissions and EEDI. Report, MAN. 2014. Available online: https://www.biofuels.co.jp/waste-heat-recovery-system.pdf (accessed on 15 June 2025).
  14. Olaniyi, E.O.; Prause, G. Investment Analysis of Waste Heat Recovery System Installations on Ships’ Engines. J. Mar. Sci. Eng. 2020, 8, 811. [Google Scholar] [CrossRef]
  15. Chen, W.; Xue, S.; Lyu, L.; Luo, W.; Yu, W. Energy Saving Analysis of a Marine Main Engine during the Whole Voyage Utilizing an Organic Rankine Cycle System to Recover Waste Heat. J. Mar. Sci. Eng. 2023, 11, 103. [Google Scholar] [CrossRef]
  16. Miller, T.; Durlik, I.; Kostecka, E.; Kozlovska, P.; Jakubowski, A.; Łobodzińska, A. Waste Heat Utilization in Marine Energy Systems for Enhanced Efficiency. Energies 2024, 17, 5653. [Google Scholar] [CrossRef]
  17. Singh, D.V.; Pedersen, E. A review of waste heat recovery technologies for maritime applications. Energy Convers. Manag. 2016, 111, 315–328. [Google Scholar] [CrossRef]
  18. Machado, K.V.; Ordonez, J.C.; Souza, J.A.; Marques, C.H. Binary Vapor Cycle for Waste Heat Recovery from Marine Engine Exhaust. J. Therm. Sci. Eng. Appl. 2024, 16, 071012. [Google Scholar] [CrossRef]
  19. Quoilin, S.; Broek, M.V.D.; Declaye, S.; Dewallef, P.; Lemort, V. Techno-economic survey of Organic Rankine Cycle (ORC) systems. Renew. Sustain. Energy Rev. 2013, 22, 168–186. [Google Scholar] [CrossRef]
  20. Song, J.; Song, Y.; Gu, C.-W. Thermodynamic analysis and performance optimization of an Organic Rankine Cycle (ORC) waste heat recovery system for marine diesel engines. Energy 2015, 82, 976–985. [Google Scholar] [CrossRef]
  21. Shu, G.; Liu, P.; Tian, H.; Wang, X.; Jing, D. Operational profile based thermal-economic analysis on an Organic Rankine cycle using for harvesting marine engine’s exhaust waste heat. Energy Convers. Manag. 2017, 146, 107–123. [Google Scholar] [CrossRef]
  22. Mondejar, M.; Andreasen, J.; Pierobon, L.; Larsen, U.; Thern, M.; Haglind, F. A review of the use of organic Rankine cycle power systems for maritime applications. Renew. Sustain. Energy Rev. 2018, 91, 126–151. [Google Scholar] [CrossRef]
  23. Baldasso, E.; Andreasen, J.G.; Mondejar, M.E.; Larsen, U.; Haglind, F. Technical and economic feasibility of organic Rankine cycle-based waste heat recovery systems on feeder ships: Impact of nitrogen oxides emission abatement technologies. Energy Convers. Manag. 2019, 183, 577–589. [Google Scholar] [CrossRef]
  24. Akman, M.; Ergin, S. An investigation of marine waste heat recovery system based on organic Rankine cycle under various engine operating conditions. Proc. Inst. Mech. Eng. Part M J. Eng. Marit. Environ. 2019, 233, 586–601. [Google Scholar] [CrossRef]
  25. Liu, P.; Shu, G.; Tian, H.; Wang, X. Engine Load Effects on the Energy and Exergy Performance of a Medium Cycle/Organic Rankine Cycle for Exhaust Waste Heat Recovery. Entropy 2018, 20, 137. [Google Scholar] [CrossRef] [PubMed]
  26. Chen, W.; Fu, B.; Zeng, J.; Luo, W. Research on the Operational Performance of Organic Rankine Cycle System for Waste Heat Recovery from Large Ship Main Engine. Appl. Sci. 2023, 13, 8543. [Google Scholar] [CrossRef]
  27. Vorkapić, A.; Radonja, R.; Martinčić-Ipšić, S. Predicting Seagoing Ship Energy Efficiency from the Operational Data. Sensors 2021, 21, 2832. [Google Scholar] [CrossRef]
  28. Mahmoudzadeh Andwari, A.; Pesyridis, A.; Esfahanian, V.; Salavati-Zadeh, A.; Hajialimohammadi, A. Modelling and Evaluation of Waste Heat Recovery Systems in the Case of a Heavy-Duty Diesel Engine. Energies 2019, 12, 1397. [Google Scholar] [CrossRef]
  29. Knežević, V.; Orović, J.; Stazić, L.; Čulin, J. Fault Tree Analysis and Failure Diagnosis of Marine Diesel Engine Turbocharger System. J. Mar. Sci. Eng. 2020, 8, 1004. [Google Scholar] [CrossRef]
  30. Lebedevas, S.; Čepaitis, T. Complex Use of the Main Marine Diesel Engine High- and Low-Temperature Waste Heat in the Organic Rankine Cycle. J. Mar. Sci. Eng. 2024, 12, 521. [Google Scholar] [CrossRef]
  31. Yuksel, O.; Blanco-Davis, E.; Spiteri, A.; Hitchmough, D.; Shagar, V.; Di Piazza, M.C.; Pucci, M.; Tsoulakos, N.; Armin, M.; Wang, J. Optimising the Design of a Hybrid Fuel Cell/Battery and Waste Heat Recovery System for Retrofitting Ship Power Generation. Energies 2025, 18, 288. [Google Scholar] [CrossRef]
  32. Silva, C.A.T. Discounted Cash Flow: Theoretical and Practical Aspects of its Use. Adv. Sci. Appl. Account. 2023, 16, 199–208/209. [Google Scholar] [CrossRef]
  33. Kesicki, F.; Strachan, N. Marginal abatement cost (MAC) curves: Confronting theory and practice. Environ. Sci. Policy 2011, 14, 1195–1204. [Google Scholar] [CrossRef]
  34. Tarragona, S.; Vanslambrouck, I.; Vankeirsbilck, S.; Gusev, M.; Paepe, D.; Vanslambrouck, B.; Vankeirsbilck, I.; Gusev, S.; De Paepe, M. Turn waste heat into electricity by using an Organic Rankine Cycle. In Proceedings of the 2nd European Conference on Polygeneration, Tarragona, Spain, 30 March–1 April 2011. [Google Scholar]
  35. Bomfim, E.; Assis, L.F. Uma análise das consequências do slow steaming na navegação de cabotagem de contêineres no Brasil. In Proceedings of the Anais do 13º Seminário Internacional de Transporte e Desenvolvimento Hidroviário Interior, Belém, Brasil, 30 October–1st November 2023; Available online: https://proceedings.science/sobena-hidroviario-2023/trabalhos/uma-analise-das-consequencias-do-slow-steaming-na-navegacao-de-cabotagem-contein?lang=pt-br (accessed on 15 November 2025).
  36. Clarksons Research. Shipping Intelligence Network (SIN). 2024. Online Database. Available online: https://sin.clarksons.net/ (accessed on 15 September 2024).
Figure 1. Flowchart of the methodology.
Figure 1. Flowchart of the methodology.
Jmse 14 00464 g001
Figure 2. Dataset of power ratio ( P R ) and engine load for different types of main engine (8X52 and 12X92), evaporation pressure (7 bar and 9 bar), and working fluid (R134a, R22, and R601a), using data from [18], and the fitting curve presently achieved.
Figure 2. Dataset of power ratio ( P R ) and engine load for different types of main engine (8X52 and 12X92), evaporation pressure (7 bar and 9 bar), and working fluid (R134a, R22, and R601a), using data from [18], and the fitting curve presently achieved.
Jmse 14 00464 g002
Figure 3. Behavior of the power ratio ( P R ) curves when considering two different methods: (a) multiplication factor (higher P R sensitivity to engine load), and (b) addition factor (lower P R sensitivity to engine load).
Figure 3. Behavior of the power ratio ( P R ) curves when considering two different methods: (a) multiplication factor (higher P R sensitivity to engine load), and (b) addition factor (lower P R sensitivity to engine load).
Jmse 14 00464 g003
Figure 4. Flowchart of the computational modeling.
Figure 4. Flowchart of the computational modeling.
Jmse 14 00464 g004
Figure 5. Correlation between the specific power cost CAPEX and the power capacity of the WHR system.
Figure 5. Correlation between the specific power cost CAPEX and the power capacity of the WHR system.
Jmse 14 00464 g005
Figure 6. Payback period (in years) for both case studies with engine power above 25,000 kW, under the 5% and 10% P R m a x hypotheses for (a) Valemax’s sensitive P R behavior, (b) Containership’s sensitive P R behavior, (c) Valemax’s insensitive P R behavior, and (d) Containership’s insensitive P R behavior. Notice that NP means no payback.
Figure 6. Payback period (in years) for both case studies with engine power above 25,000 kW, under the 5% and 10% P R m a x hypotheses for (a) Valemax’s sensitive P R behavior, (b) Containership’s sensitive P R behavior, (c) Valemax’s insensitive P R behavior, and (d) Containership’s insensitive P R behavior. Notice that NP means no payback.
Jmse 14 00464 g006
Figure 7. Payback period (in years) for both case studies with engine power below 25,000 kW, under the 4% and 8% P R m a x for (a) Suezmax’s sensitive P R behavior, (b) Panamax’s sensitive P R behavior, (c) Suezmax’s insensitive P R behavior, and (d) Panamax’s insensitive P R behavior. Notice that NP means no payback.
Figure 7. Payback period (in years) for both case studies with engine power below 25,000 kW, under the 4% and 8% P R m a x for (a) Suezmax’s sensitive P R behavior, (b) Panamax’s sensitive P R behavior, (c) Suezmax’s insensitive P R behavior, and (d) Panamax’s insensitive P R behavior. Notice that NP means no payback.
Jmse 14 00464 g007
Figure 8. Annual reduction in CO2 emissions and the associated cost per unit of reduction for both ships with more than 25,000 kW propulsion engine, under the 5% and 10% P R m a x for (a) Valemax’s sensitive P R behavior, (b) Containership’s sensitive P R behavior, (c) Valemax’s insensitive P R behavior, and (d) Containership’s insensitive P R behavior.
Figure 8. Annual reduction in CO2 emissions and the associated cost per unit of reduction for both ships with more than 25,000 kW propulsion engine, under the 5% and 10% P R m a x for (a) Valemax’s sensitive P R behavior, (b) Containership’s sensitive P R behavior, (c) Valemax’s insensitive P R behavior, and (d) Containership’s insensitive P R behavior.
Jmse 14 00464 g008
Figure 9. Annual reduction in CO2 emissions and the associated cost per unit of reduction for the Valemax in a hypothetical scenario ( P R m a x = 10% MCR), under the 5% and 10% P R m a x for (a) sensitive P R behavior, and (b) insensitive P R behavior.
Figure 9. Annual reduction in CO2 emissions and the associated cost per unit of reduction for the Valemax in a hypothetical scenario ( P R m a x = 10% MCR), under the 5% and 10% P R m a x for (a) sensitive P R behavior, and (b) insensitive P R behavior.
Jmse 14 00464 g009
Figure 10. Annual reduction in CO2 emissions and the associated cost per unit of reduction for both ships with less than 25,000 kW propulsion engine, under the 4% and 8% P R m a x for (a) Suezmax’s sensitive P R behavior, (b) Panamax’s sensitive P R behavior, (c) Suezmax’s insensitive P R behavior, and (d) Panamax’s insensitive P R behavior.
Figure 10. Annual reduction in CO2 emissions and the associated cost per unit of reduction for both ships with less than 25,000 kW propulsion engine, under the 4% and 8% P R m a x for (a) Suezmax’s sensitive P R behavior, (b) Panamax’s sensitive P R behavior, (c) Suezmax’s insensitive P R behavior, and (d) Panamax’s insensitive P R behavior.
Jmse 14 00464 g010
Figure 11. Correlation between the ship type and your trip operational profile. During navigation at service speed, the main engine operates at 75–80% load, decreasing to 50–60% at reduced speed, while during port operations, the main engine is off and only auxiliary engines are used.
Figure 11. Correlation between the ship type and your trip operational profile. During navigation at service speed, the main engine operates at 75–80% load, decreasing to 50–60% at reduced speed, while during port operations, the main engine is off and only auxiliary engines are used.
Jmse 14 00464 g011
Table 2. Scenarios of maximum power ratio at the MCR point ( P R m a x ) by MCR power.
Table 2. Scenarios of maximum power ratio at the MCR point ( P R m a x ) by MCR power.
MCROptimistic PR max Pessimistic PR max
>25,000 kW10%5%
<25,000 kW8%4%
Table 3. Regression coefficients and adjustment factors for power ratio scenarios.
Table 3. Regression coefficients and adjustment factors for power ratio scenarios.
MCRScenario P R max abcd F mul F add
(MW) (% P ME ) (-) (-) (-) (-) (-) (-)
>25Optimistic10−4.03810.69330.771123.52454.37857.7161
Pessimistic52.18932.7161
<25Optimistic83.50285.7161
Pessimistic41.75141.7161
Table 4. Main technical parameters of the investigated ships.
Table 4. Main technical parameters of the investigated ships.
Ship ParametersContainer Ship (4800 TEU)Valemax (VLOC)
Deadweight (ton)57,881402,347
Length overall (m)254.87362
Service speed (knots)21.515.4
ME TypeTwo-strokeTwo-stroke
ME DesignMAN-B&W 8S70ME-C8MAN B&W 7S80ME-C8
ME Bore (mm)700800
ME Stroke (mm)28003200
ME total swept volume (m3)8.6211.26
Brake power at MCR (kW)26,16029,260
Engine speed at MCR (rpm)9178
Voyage RouteManaus–SantosBrazil–China
Distance (nm)322011,397
Fuel used for ME/AEHSFO/MDOHSFO/MDO
Emission factor (kg CO2/kg fuel)3.114/3.2063.114/3.206
Specific Fuel Consumption (g/kWh)197.7/215197.7/215
Lower Calorific Value (MJ/kg)39.96/42.739.96/42.7
Price of Fuel (USD/ton)446.81/516.03446.81/516.03
Ship ParametersPanamax Bulk CarrierSuezmax Oil Carrier
Deadweight (ton)75,012157,005
Length overall (m)225274
Service speed (knots)14.515.0
ME TypeTwo-strokeTwo-stroke
ME DesignMAN-B&W 6S70ME-CMAN-B&W 5S60MC-C
ME Bore (mm)600700
ME Stroke (mm)24002800
ME total swept volume (m3)3.396.46
Brake power at MCR (kW)883316,891
Engine speed at MCR (rpm)10591
Voyage RouteTrombetas–ALUMARAngra dos Reis–Singapore
Distance (nm)10088550
Fuel used for ME/AEHSFO/MDOHSFO/MDO
Emission factor (kg CO2/kg fuel)3.114/3.2063.114/3.206
Specific Fuel Consumption (g/kWh)197.7/215197.7/215
Lower Calorific Value (MJ/kg)39.96/42.739.96/42.7
Price of Fuel (USD/ton)446.81/516.03446.81/516.03
Note: ME means main engine; AE means auxiliary engine; VLOC means very large ore carrier.
Table 5. Validation of economic parameters.
Table 5. Validation of economic parameters.
ParametersReference ValuePresent ValueRelative Error
CAPEXtot (USD)1,118,2001,133,9181%
OPEX (USD/y)10,00022,678127%
VOYEX (USD/y)−173,053−181,7865%
REVt (USD/y)163,053158,917−3%
Payback period (y)13148%
Table 6. Economic results consolidated by ship type under operational profile.
Table 6. Economic results consolidated by ship type under operational profile.
ShipParameterInsensitive PR Sensitive PR
Optimistic Pessimistic Optimistic Pessimistic
SuezmaxOPEXy55,00529,18332,69920,424
VOYEXy−606,042−306,021−362,557−181,279
CAPEXy406,898254,147406,898254,147
Paybacky12NPNPNP
PanamaxOPEXy35,41818,79121,05513,151
VOYEXy−236,735−96,315−114,109−57,054
CAPEXy262,008163,650262,008163,650
PaybackyNPNPNPNP
ValemaxOPEXy95,62252,89055,25334,511
VOYEXy−881,412−731,724−781,555−391,028
CAPEXy687,558429,447687,558429,447
Paybacky810NPNP
Container ShipOPEXy84,89647,02949,52630,934
VOYEXy−425,659−323,476−349,414−174,707
CAPEXy637,214398,002637,214398,002
PaybackyNPNPNPNP
Note: P R stands for power ratio; Optimistic and Pessimistic refer to higher and lower P R m a x values, respectively; expenditures are given in USD/y; payback period is given in years; NP indicates that no payback was achieved within the analysis period.
Disclaimer/Publisher’s Note: The statements, opinions and data contained in all publications are solely those of the individual author(s) and contributor(s) and not of MDPI and/or the editor(s). MDPI and/or the editor(s) disclaim responsibility for any injury to people or property resulting from any ideas, methods, instructions or products referred to in the content.

Share and Cite

MDPI and ACS Style

Pereira, B.L.V.; Teixeira de Carvalho, C.; Assis, L.F.; Ordonez, J.C.; Marques, C.H.; Caprace, J.-D. Payback Potential and Carbon Savings from Shipboard Waste Heat Recovery Systems. J. Mar. Sci. Eng. 2026, 14, 464. https://doi.org/10.3390/jmse14050464

AMA Style

Pereira BLV, Teixeira de Carvalho C, Assis LF, Ordonez JC, Marques CH, Caprace J-D. Payback Potential and Carbon Savings from Shipboard Waste Heat Recovery Systems. Journal of Marine Science and Engineering. 2026; 14(5):464. https://doi.org/10.3390/jmse14050464

Chicago/Turabian Style

Pereira, Bento Lira Vital, Caio Teixeira de Carvalho, Luiz Felipe Assis, Juan Carlos Ordonez, Crístofer Hood Marques, and Jean-David Caprace. 2026. "Payback Potential and Carbon Savings from Shipboard Waste Heat Recovery Systems" Journal of Marine Science and Engineering 14, no. 5: 464. https://doi.org/10.3390/jmse14050464

APA Style

Pereira, B. L. V., Teixeira de Carvalho, C., Assis, L. F., Ordonez, J. C., Marques, C. H., & Caprace, J.-D. (2026). Payback Potential and Carbon Savings from Shipboard Waste Heat Recovery Systems. Journal of Marine Science and Engineering, 14(5), 464. https://doi.org/10.3390/jmse14050464

Note that from the first issue of 2016, this journal uses article numbers instead of page numbers. See further details here.

Article Metrics

Back to TopTop