Morphological Reconstruction Based on Optical Images for the Seabed Semi-Buried Polymetallic Nodules: A Fusion Model of Elliptic Approximation and Contour Interweaving Methods
Abstract
1. Introduction
2. Data
2.1. Data Source
2.2. Data Classification
2.3. Data Selection and Preprocessing
3. Methods
3.1. Segmentation Method
3.2. Reconstruction Methods
3.2.1. Elliptic Approximation Method
3.2.2. Contour Interweaving Method
3.3. Evaluation Metric
3.3.1. Relative Area
3.3.2. Intersection-over-Union
3.3.3. Chamfer Distance
4. Results
4.1. Results of the EAM
4.2. Results of the CIM
4.3. Comparison of the Two Reconstruction Methods
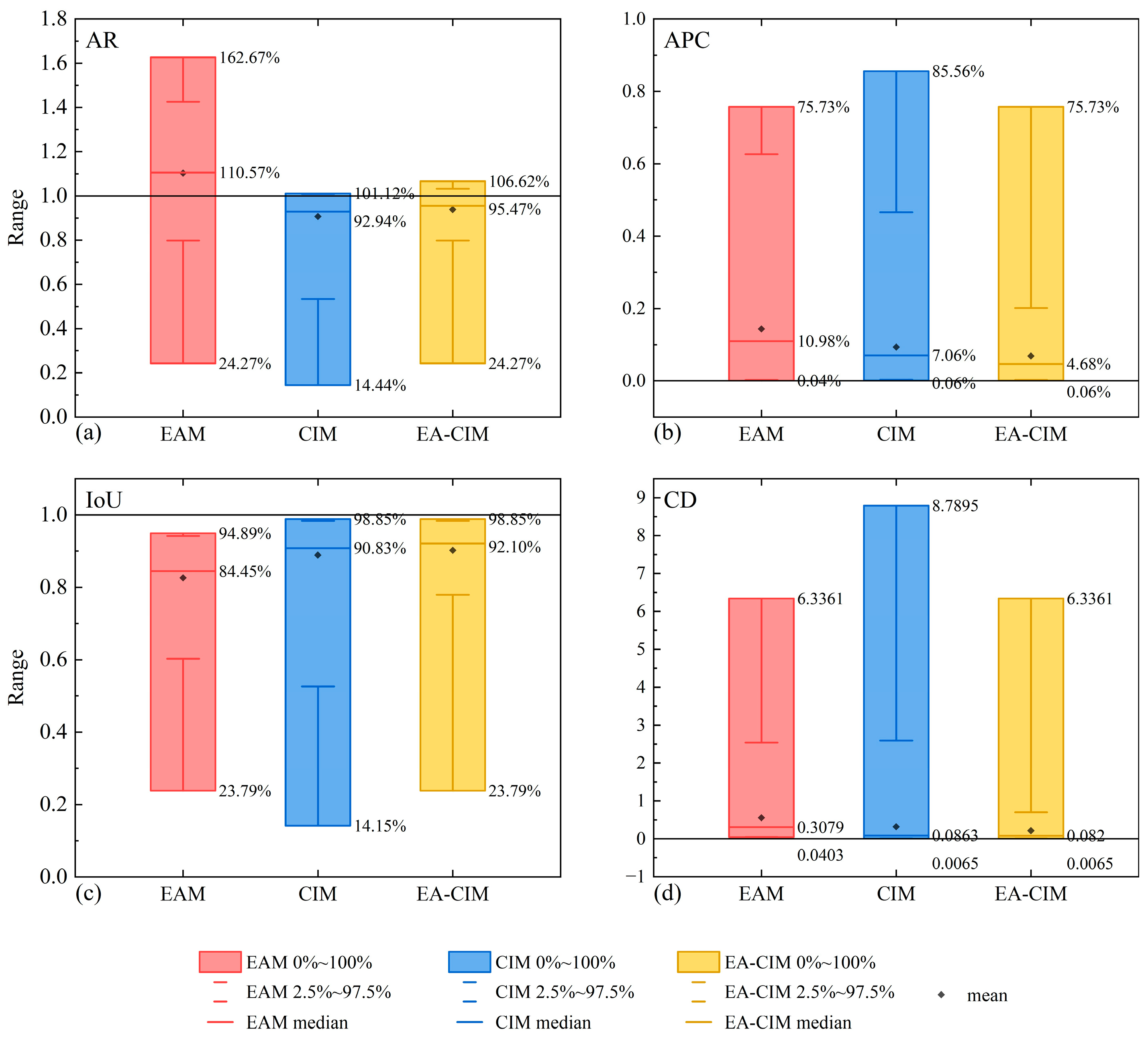
5. Discussion
5.1. Reconstruction of Binary Images
5.2. Fusion Experiment
5.3. Computational Efficiency and Challenges in Method Application
6. Conclusions
Supplementary Materials
Author Contributions
Funding
Data Availability Statement
Acknowledgments
Conflicts of Interest
Abbreviations
| ACB | almost-completely-buried |
| APC | absolute percentage change |
| AR | area ratio |
| AUV | autonomous underwater vehicle |
| CD | Chamfer distance |
| CIM | contour interweaving method |
| EAM | elliptic approximation method |
| EB | edge-buried |
| IB | interior-buried |
| IoU | intersection-over-union |
| PB | partition-buried |
| PMN | polymetallic nodule |
| TSC | thin-sediment-covering |
References
- Halbach, P.; Fellerer, R. The metallic minerals of the Pacific Seafloor. GeoJournal 1980, 4, 407–421. [Google Scholar] [CrossRef]
- Hein, J.R.; Koschinsky, A.; Kuhn, T. Deep-ocean polymetallic nodules as a resource for critical materials. Nat. Rev. Earth Environ. 2020, 1, 158–169. [Google Scholar] [CrossRef]
- Kuhn, T.; Wegorzewski, A.; Rühlemann, C.; Vink, A. Composition, formation, and occurrence of polymetallic nodules. In Deep-Sea Mining: Resource Potential, Technical and Environmental Considerations; Springer: Berlin/Heidelberg, Germany, 2017; pp. 23–63. [Google Scholar]
- Hein, J.R.; Mizell, K. Deep-ocean polymetallic nodules and cobalt-rich ferromanganese crusts in the global ocean: New sources for critical metals. In The United Nations Convention on the Law of the Sea, Part XI Regime and the International Seabed Authority: A Twenty-Five Year Journey; Brill: Leiden, The Netherlands, 2022; pp. 177–197. [Google Scholar]
- Mizell, K.; Hein, J.R.; Au, M.; Gartman, A. Estimates of metals contained in abyssal manganese nodules and ferromanganese crusts in the global ocean based on regional variations and genetic types of nodules. In Perspectives on Deep-Sea Mining: Sustainability, Technology, Environmental Policy and Management; Springer: Berlin/Heidelberg, Germany, 2022; pp. 53–80. [Google Scholar]
- Miller, K.A.; Thompson, K.F.; Johnston, P.; Santillo, D. An overview of seabed mining including the current state of development, environmental impacts, and knowledge gaps. Front. Mar. Sci. 2018, 4, 312755. [Google Scholar] [CrossRef]
- Meyer, K. Surface sediment and manganese nodule facies encountered on R/V Valdivia cruises 1972/73. Meerestechnik 1973, 4, 196–199. [Google Scholar]
- Meylan, R. Field Description and Classification of Manganese Nodules; Technical Report; National Science Foundation (U.S.): Alexandria, VA, USA, 1974. [Google Scholar]
- Usui, A. Comparison of Manganese Nodules from the Northest Equatorial Pacific (Cruise SO 25) with Nodules from the Central Pacific Basin. Geol. Jb. 1987, 87, 287–313. [Google Scholar]
- Vineesh, T.; Nagender Nath, B.; Banerjee, R.; Jaisankar, S.; Lekshmi, V. Manganese nodule morphology as indicators for oceanic processes in the Central Indian Basin. Int. Geol. Rev. 2009, 51, 27–44. [Google Scholar] [CrossRef]
- Yoo, C.M.; Joo, J.; Lee, S.H.; Ko, Y.; Chi, S.-B.; Kim, H.J.; Seo, I.; Hyeong, K. Resource assessment of polymetallic nodules using acoustic backscatter intensity data from the Korean exploration area, northeastern equatorial pacific. Ocean Sci. J. 2018, 53, 381–394. [Google Scholar] [CrossRef]
- Alevizos, E.; Schoening, T.; Koeser, K.; Snellen, M.; Greinert, J. Quantification of the fine-scale distribution of Mn-nodules: Insights from AUV multi-beam and optical imagery data fusion. Biogeosci. Discuss. 2018; in review. [Google Scholar]
- Prabhakaran, K.; Ramesh, R.; Rajesh, S.; Gopakumar, K.; Ramadass, G.; Atman, M. Underwater Image Processing to Detect Polymetallic Nodule Using Template Matching. In Proceedings of the Global Oceans 2020: Singapore—US Gulf Coast, Biloxi, MS, USA, 5–30 October 2020; pp. 1–6. [Google Scholar]
- Schoening, T.; Jones, D.O.; Greinert, J. Compact-morphology-based poly-metallic nodule delineation. Sci. Rep. 2017, 7, 13338. [Google Scholar] [CrossRef]
- Dong, L.; Wang, H.; Song, W.; Xia, J.; Liu, T. Deep sea nodule mineral image segmentation algorithm based on Mask R-CNN. In Proceedings of the ACM Turing Award Celebration Conference-China, Hefei, China, 30 July–1 August 2021; pp. 278–284. [Google Scholar]
- Song, W.; Wang, H.; Zhang, X.; Xia, J.; Liu, T.; Shi, Y. Deep-sea Nodule Mineral Image Segmentation Algorithm Based on Pix2PixHD. Comput. Mater. Contin. 2022, 73, 1449. [Google Scholar] [CrossRef]
- Shao, M.; Song, W.; Zhao, X. Polymetallic nodule resource assessment of seabed photography based on denoising diffusion probabilistic models. J. Mar. Sci. Eng. 2023, 11, 1494. [Google Scholar] [CrossRef]
- Tomczak, A.; Kogut, T.; Kabała, K.; Abramowski, T.; Ciążela, J.; Giza, A. Automated estimation of offshore polymetallic nodule abundance based on seafloor imagery using deep learning. Sci. Total Environ. 2024, 956, 177225. [Google Scholar] [CrossRef]
- Verlaan, P.A.; Cronan, D.S. Origin and variability of resource-grade marine ferromanganese nodules and crusts in the Pacific Ocean: A review of biogeochemical and physical controls. Geochemistry 2022, 82, 125741. [Google Scholar] [CrossRef]
- Tsune, A. Quantitative expression of the burial phenomenon of deep seafloor manganese nodules. Minerals 2021, 11, 227. [Google Scholar] [CrossRef]
- Alevizos, E.; Huvenne, V.A.; Schoening, T.; Simon-Lledó, E.; Robert, K.; Jones, D.O. Linkages between sediment thickness, geomorphology and Mn nodule occurrence: New evidence from AUV geophysical mapping in the Clarion-Clipperton Zone. Deep Sea Res. Part I Oceanogr. Res. Pap. 2022, 179, 103645. [Google Scholar] [CrossRef]
- Wasilewska-Błaszczyk, M.; Mucha, J. Possibilities and limitations of the use of seafloor photographs for estimating polymetallic nodule resources—Case study from IOM Area, Pacific Ocean. Minerals 2020, 10, 1123. [Google Scholar] [CrossRef]
- Deng, J.; Wang, X.; Wang, H.; Cao, H.; Xia, J. Quantitative Description of Size and Mass Distribution of Polymetallic Nodules in Northwest Pacific Ocean Basin. Minerals 2024, 14, 1230. [Google Scholar] [CrossRef]
- Li, N.; Zou, T.; Cheng, Y.; Li, H. A method for evaluating the abundance of deep-sea polymetallic nodules based on image processing. Ocean Eng. 2025, 43, 76–88. [Google Scholar] [CrossRef]
- Sharma, R. Effect of Sediment-Water Interface ‘Boundary Layer’ on Exposure of Nodules and Their Abundance: A Study from Seabed Photos. J. Geol. Soc. India 1989, 34, 310–317. [Google Scholar] [CrossRef]
- Song, W.; Dong, L.; Zhao, X.; Xia, J.; Liu, T.; Shi, Y. Review of Nodule Mineral Image Segmentation Algorithms for Deep-Sea Mineral Resource Assessment. Comput. Mater. Contin. 2022, 73, 1649. [Google Scholar] [CrossRef]
- Tsune, A. Effects of size distribution of deep-sea polymetallic nodules on the estimation of abundance obtained from seafloor photographs using conventional formulae. In Proceedings of the ISOPE Ocean Mining and Gas Hydrates Symposium, Kona, HI, USA, 21–26 June 2015; p. ISOPE-M-15-241. [Google Scholar]
- Song, W.; Zheng, N.; Liu, X.; Qiu, L.; Zheng, R. An improved u-net convolutional networks for seabed mineral image segmentation. IEEE Access 2019, 7, 82744–82752. [Google Scholar] [CrossRef]
- Ronneberger, O.; Fischer, P.; Brox, T. U-net: Convolutional networks for biomedical image segmentation. In Proceedings of the International Conference on Medical Image Computing and Computer-Assisted Intervention, Munich, Germany, 5–9 October 2015; pp. 234–241. [Google Scholar]
- Tejada, P.J.; Qi, X.; Jiang, M. Computational Geometry of Contour Extraction. In Proceedings of the CCCG, Montreal, QC, Canada, 10–12 August 2009; pp. 25–28. [Google Scholar]
- Serra, J.; Soille, P. Mathematical Morphology and Its Applications to Image Processing; Springer Science & Business Media: Berlin/Heidelberg, Germany, 2012; Volume 2. [Google Scholar]
- Soille, P. Morphological Image Analysis: Principles and Applications; Springer: Berlin/Heidelberg, Germany, 1999; Volume 2. [Google Scholar]
- Pratt, W.K. Digital Image Processing: PIKS Scientific Inside; Wiley Online Library: Hoboken, NJ, USA, 2007; Volume 4. [Google Scholar]
- Benites, M.; Millo, C.; Hein, J.; Nath, B.N.; Murton, B.; Galante, D.; Jovane, L. Integrated geochemical and morphological data provide insights into the genesis of ferromanganese nodules. Minerals 2018, 8, 488. [Google Scholar] [CrossRef]
- Liu, B.; Wang, X.; Zhang, X.; Liu, J.; Rong, L.; Ma, Y. Research status of deep-sea polymetallic nodule collection technology. J. Mar. Sci. Eng. 2024, 12, 744. [Google Scholar] [CrossRef]
- Bresenham, J.E. Algorithm for computer control of a digital plotter. In Seminal Graphics: Pioneering Efforts That Shaped the Field; Association for Computing Machinery (ACM): New York, NY, USA, 1998; pp. 1–6. [Google Scholar]
- Girshick, R.; Donahue, J.; Darrell, T.; Malik, J. Rich feature hierarchies for accurate object detection and semantic segmentation. In Proceedings of the IEEE Conference on Computer Vision and Pattern Recognition, Columbus, OH, USA, 23–28 June 2014; pp. 580–587. [Google Scholar]
- Borgefors, G. Distance transformations in digital images. Comput. Vis. Graph. Image Process. 1986, 34, 344–371. [Google Scholar] [CrossRef]
- Ma, T.; Yang, X.; Latecki, L.J. Boosting chamfer matching by learning chamfer distance normalization. In Proceedings of the European Conference on Computer Vision, Crete, Greece, 5–11 September 2010; pp. 450–463. [Google Scholar]
- Myronenko, A.; Song, X. Point set registration: Coherent point drift. IEEE Trans. Pattern Anal. Mach. Intell. 2010, 32, 2262–2275. [Google Scholar] [CrossRef] [PubMed]
- Zacchini, L.; Ridolfi, A.; Topini, A.; Secciani, N.; Bucci, A.; Topini, E.; Allotta, B. Deep learning for on-board AUV automatic target recognition for optical and acoustic imagery. IFAC-PapersOnLine 2020, 53, 14589–14594. [Google Scholar] [CrossRef]















| Type | Number | Proportion | N_Max (Single Image) | N_Min (Single Image) |
|---|---|---|---|---|
| EB | 1466 | 82.13% | 11 | 1 |
| PB | 235 | 13.17% | 4 | 0 |
| ACB | 84 | 4.70% | 3 | 0 |
| Value Range | Similarity Evaluation | Explanation |
|---|---|---|
| [0, 0.05) | Excellent | Almost overlapping |
| [0.05, 0.15) | Very good | Highly matched |
| [0.15, 0.3) | Good | Well-corresponding |
| [0.3, 0.6) | Pass | Out of alignment |
| [0.6, 1.2) | Poor | Obvious offset |
| [1.2, 2.5) | Very poor | Significantly mismatched |
| ≥2.5 | Extremely poor | Completely mismatched |
| Metric | Semi-Buried Type | Method | Maximum | Minimum | Mean | Median | Standard Deviation |
|---|---|---|---|---|---|---|---|
| Area ratio (AR) | U-Net | 94.99% | 41.56% | 84.99% | 88.11% | 0.1077 | |
| EB | EAM | 184.63% | 58.20% * | 116.27% | 115.91% | 0.1546 | |
| CIM | 113.18% | 46.31% | 95.29% | 98.42% | 0.0939 | ||
| U-Net | 91.59% | 32.66% | 64.32% | 64.86% | 0.1599 | ||
| PB | EAM | 173.99% | 74.46% | 121.32% | 118.88% | 0.1942 | |
| CIM | 108.86% | 53.83% | 95.56% | 99.37% | 0.1125 | ||
| U-Net | 67.62% | 14.78% | 38.72% | 38.02% | 0.1196 | ||
| ACB | EAM | 115.06% | 25.98% | 63.56% | 58.96% | 0.2139 | |
| CIM | 74.64% | 21.03% | 47.15% | 45.39% | 0.1473 | ||
| Absolute percentage change (APC) | U-Net | 58.44% | 3.01% | 15.01% | 11.89% | 0.1077 | |
| EB | EAM | 84.63% | 0.04% | 18.53% | 16.74% | 0.1267 | |
| CIM | 53.68% | 0.02% | 6.67% | 3.32% | 0.0812 | ||
| U-Net | 67.34% | 8.41% | 35.68% | 35.14% | 0.1599 | ||
| PB | EAM | 73.99% | 1.48% | 24.24% | 20.94% | 0.1552 | |
| CIM | 46.17% | 0.03% | 7.56% | 4.19% | 0.0939 | ||
| U-Net | 85.22% | 32.38% | 61.28% | 61.98% | 0.1196 | ||
| ACB | EAM | 74.02% | 5.75% | 37.51% | 41.04% | 0.1937 | |
| CIM | 78.97% | 25.36% | 52.85% | 54.6% | 0.1473 | ||
| Intersection over Union (IoU) | U-Net | 92.99% | 40.56% | 84.68% | 85.89% | 0.1089 | |
| EB | EAM | 95.73% | 48.47% | 80.25% | 81.3% | 0.0794 | |
| CIM | 98.32% | 44.81% | 89.94% | 93.22% | 0.0844 | ||
| U-Net | 91.59% | 32.54% | 64.15% | 64.86% | 0.1624 | ||
| PB | EAM | 88.25% | 56.67% | 76.62% | 76.45% | 0.0746 | |
| CIM | 97.68% | 50.34% | 89.06% | 93.36% | 0.0963 | ||
| U-Net | 66.82% | 14.17% | 38.36% | 37.58% | 0.1195 | ||
| ACB | EAM | 92.55% | 24.76% | 55.26% | 54.53% | 0.178 | |
| CIM | 71.38% | 18.41% | 45.06% | 43.45% | 0.1426 | ||
| Chamfer distance (CD) | U-Net | 5.8005 | 0.0321 | 0.4918 | 0.2628 | 0.6092 | |
| EB | EAM | 3.3813 | 0.0277 | 0.4806 | 0.3306 | 0.4747 | |
| CIM | 5.3454 | 0.009 | 0.2332 | 0.0718 | 0.4361 | ||
| U-Net | 3.4578 | 0.1086 | 1.0937 | 0.8751 | 0.7699 | ||
| PB | EAM | 1.6005 | 0.1092 | 0.5308 | 0.4491 | 0.3586 | |
| CIM | 2.4563 | 0.0124 | 0.1788 | 0.0593 | 0.4021 | ||
| U-Net | 8.4514 | 0.6022 | 3.6148 | 2.7093 | 2.4063 | ||
| ACB | EAM | 5.9934 | 0.0872 | 1.783 | 1.3073 | 1.4673 | |
| CIM | 7.2134 | 0.4754 | 2.9083 | 2.5492 | 1.9892 |
| Metric | Comparison Method | Z | p-Value | r | 95% CI | Significance |
|---|---|---|---|---|---|---|
| Area | U-Net vs. EAM | −34.791 | <0.001 | 0.863 | [−1059.5, −988.0] | Yes |
| U-Net vs. CIM | −34.755 | <0.001 | 0.862 | [−313.0, −292.0] | Yes | |
| IoU | U-Net vs. EAM | −16.239 | <0.001 | 0.403 | [0.0501, 0.0609] | Yes |
| U-Net vs. CIM | −33.154 | <0.001 | 0.822 | [−0.0321, −0.0288] | Yes | |
| CD | U-Net vs. EAM | −2.049 | 0.040 | 0.051 | [−0.0594, −0.0168] | Yes |
| U-Net vs. CIM | −34.720 | <0.001 | 0.861 | [0.1268, 0.1406] | Yes |
| Semi-Buried Type | U-Net Identified Area | Reconstructed Area | TRUE AREA |
|---|---|---|---|
| EB | 20,180 | 25,639 | 28,067 |
| PB | 8272 | 13,000 | 14,049 |
| ACB | 1297 | 1881 | 2838 |
| Total area | 29,749 | 40,520 | 44,954 |
| AR | 66.18% | 90.14% | 100% |
Disclaimer/Publisher’s Note: The statements, opinions and data contained in all publications are solely those of the individual author(s) and contributor(s) and not of MDPI and/or the editor(s). MDPI and/or the editor(s) disclaim responsibility for any injury to people or property resulting from any ideas, methods, instructions or products referred to in the content. |
© 2026 by the authors. Licensee MDPI, Basel, Switzerland. This article is an open access article distributed under the terms and conditions of the Creative Commons Attribution (CC BY) license.
Share and Cite
Meng, X.; Yang, K.; Wang, M.; Yu, Q.; Shang, J.; Wu, Z. Morphological Reconstruction Based on Optical Images for the Seabed Semi-Buried Polymetallic Nodules: A Fusion Model of Elliptic Approximation and Contour Interweaving Methods. J. Mar. Sci. Eng. 2026, 14, 257. https://doi.org/10.3390/jmse14030257
Meng X, Yang K, Wang M, Yu Q, Shang J, Wu Z. Morphological Reconstruction Based on Optical Images for the Seabed Semi-Buried Polymetallic Nodules: A Fusion Model of Elliptic Approximation and Contour Interweaving Methods. Journal of Marine Science and Engineering. 2026; 14(3):257. https://doi.org/10.3390/jmse14030257
Chicago/Turabian StyleMeng, Xiang, Kehong Yang, Mingwei Wang, Qian Yu, Jihong Shang, and Ziyin Wu. 2026. "Morphological Reconstruction Based on Optical Images for the Seabed Semi-Buried Polymetallic Nodules: A Fusion Model of Elliptic Approximation and Contour Interweaving Methods" Journal of Marine Science and Engineering 14, no. 3: 257. https://doi.org/10.3390/jmse14030257
APA StyleMeng, X., Yang, K., Wang, M., Yu, Q., Shang, J., & Wu, Z. (2026). Morphological Reconstruction Based on Optical Images for the Seabed Semi-Buried Polymetallic Nodules: A Fusion Model of Elliptic Approximation and Contour Interweaving Methods. Journal of Marine Science and Engineering, 14(3), 257. https://doi.org/10.3390/jmse14030257

