Quantifying the Uncertainties in Projecting Extreme Coastal Hazards: The Overlooked Role of the Radius of Maximum Wind Parameterizations
Abstract
1. Introduction
2. Materials and Methods
2.1. Study Area and Data
2.2. Parametric TC Model
2.3. Empirical Formulas of RMW
2.4. ROMS–SWAN Model
2.5. Extreme Value Analysis
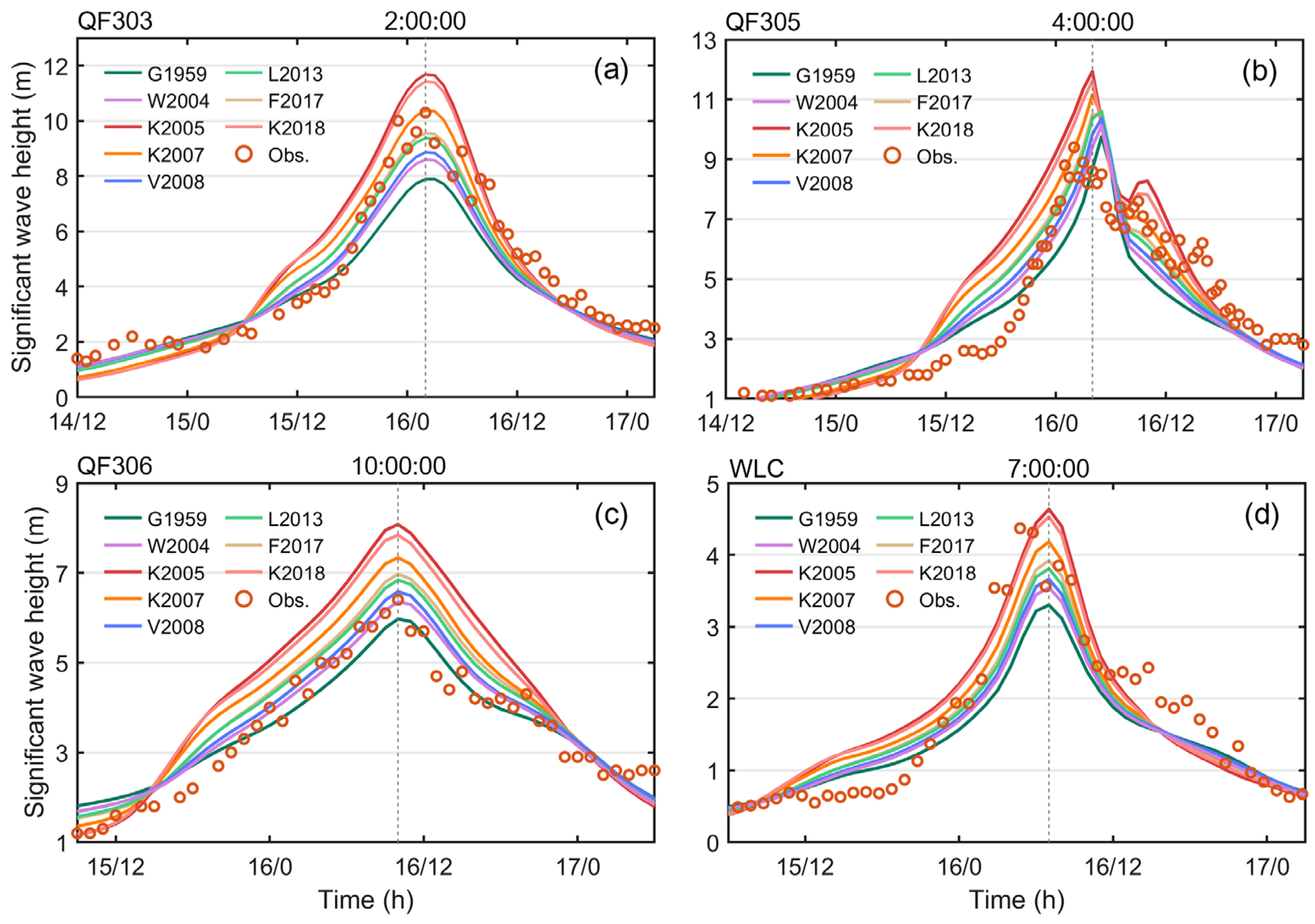
3. Results
3.1. Impact of RMW Formulas on Long Return Period Estimates
3.2. Impact of Empirical RMW on Joint Distribution
3.3. RMW-Induced Uncertainty in Representative TC Modeling
4. Discussion
4.1. Why Relying on a Single RMW Formula Introduces Systematic Bias
4.2. Consequences for Extreme Value and Compound Hazard Assessments
4.3. Practical Recommendations for Uncertainty-Aware RMW Parameterization
4.4. Limitations and Future Work
5. Conclusions
Author Contributions
Funding
Data Availability Statement
Acknowledgments
Conflicts of Interest
Abbreviations
| CI | Confidence intervals |
| GEV | Generalized extreme value distribution |
| H10 | Holland parametric tropical cyclone model |
| JTWC | Joint Typhoon Warning Center |
| MAE | Mean absolute phase error |
| PRE | Pearl River Estuary |
| RP100 | 100-year return period |
| RMSE | Root mean square error |
| RMW | The radius of maximum wind |
| ROMS | The Regional Ocean Modeling System |
| SWAN | The Simulating WAves Nearshore model |
| TC | Tropical cyclone |
| WNP | Western North Pacific |
References
- Knutson, T.; Camargo, S.J.; Chan, J.C.L.; Emanuel, K.; Ho, C.-H.; Kossin, J.; Mohapatra, M.; Satoh, M.; Sugi, M.; Walsh, K.; et al. Tropical Cyclones and Climate Change Assessment: Part I: Detection and Attribution. Bull. Am. Meteorol. Soc. 2019, 100, 1987–2007. [Google Scholar] [CrossRef]
- Kropf, C.M.; Vaterlaus, L.; Bresch, D.N.; Pellissier, L. Tropical Cyclone Risk for Global Ecosystems in a Changing Climate. Nat. Clim. Change 2025, 15, 92–100. [Google Scholar] [CrossRef]
- Wu, G. Modeling Wave Effects on Storm Surge and Coastal Inundation. Coast. Eng. 2018, 140, 371–382. [Google Scholar] [CrossRef]
- Magee, A.D.; Kiem, A.S.; Chan, J.C.L. A New Approach for Location-Specific Seasonal Outlooks of Typhoon and Super Typhoon Frequency across the Western North Pacific Region. Sci. Rep. 2021, 11, 19439. [Google Scholar] [CrossRef] [PubMed]
- Shen, Z.-Q.; Nie, G.-Z.; Qiu, X.; Gu, J.-F.; Zhang, Y. Outer Size Distribution of Landfalling Tropical Cyclones over China Changes in the Recent Decades. J. Clim. 2023, 36, 6427–6445. [Google Scholar] [CrossRef]
- Song, J.; Klotzbach, P.J.; Duan, Y. Differences in Western North Pacific Tropical Cyclone Activity among Three El Niño Phases. J. Clim. 2020, 33, 7983–8002. [Google Scholar] [CrossRef]
- You, Z. Coastal Inundation and Erosion Hazards along the Coast of China and Mitigation Strategies. Bull. Chin. Acad. Sci. 2016, 31, 1190–1196, (In Chinese with English Abstract). [Google Scholar] [CrossRef]
- Cao, X.; Wu, R.; Jiang, X.; Dai, Y.; Wang, P.; Lin, C.; Deng, D.; Sun, Y.; Wu, L.; Chen, S.; et al. Future Changes in Tropical Cyclone Tracks over the Western North Pacific under Climate Change. npj Clim. Atmos. Sci. 2025, 8, 148. [Google Scholar] [CrossRef]
- Kossin, J.P.; Knapp, K.R.; Olander, T.L.; Velden, C.S. Global Increase in Major Tropical Cyclone Exceedance Probability over the Past Four Decades. Proc. Natl. Acad. Sci. USA 2020, 117, 11975–11980. [Google Scholar] [CrossRef]
- Mei, W.; Xie, S.-P. Intensification of Landfalling Typhoons over the Northwest Pacific since the Late 1970s. Nat. Geosci. 2016, 9, 753–757. [Google Scholar] [CrossRef]
- Qin, W.; Cai, Y.; He, L. The Relationship between the Typhoons Affecting South China and the Pacific Decadal Oscillation. Atmosphere 2024, 15, 285. [Google Scholar] [CrossRef]
- Tebaldi, C.; Ranasinghe, R.; Vousdoukas, M.; Rasmussen, D.J.; Vega-Westhoff, B.; Kirezci, E.; Kopp, R.E.; Sriver, R.; Mentaschi, L. Extreme Sea Levels at Different Global Warming Levels. Nat. Clim. Change 2021, 11, 746–751. [Google Scholar] [CrossRef]
- Nawarat, K.; Reyns, J.; Vousdoukas, M.I.; Duong, T.M.; Kras, E.; Ranasinghe, R. Coastal Hardening and What It Means for the World’s Sandy Beaches. Nat. Commun. 2024, 15, 10626. [Google Scholar] [CrossRef]
- Bloemendaal, N.; Haigh, I.D.; De Moel, H.; Muis, S.; Haarsma, R.J.; Aerts, J.C.J.H. Generation of a Global Synthetic Tropical Cyclone Hazard Dataset Using STORM. Sci. Data 2020, 7, 40. [Google Scholar] [CrossRef]
- Fang, P.; Ye, G.; Yu, H. A Parametric Wind Field Model and Its Application in Simulating Historical Typhoons in the Western North Pacific Ocean. J. Wind Eng. Ind. Aerodyn. 2020, 199, 104131. [Google Scholar] [CrossRef]
- McInnes, K.L.; Hubbert, G.D.; Abbs, D.J.; Oliver, S.E. A Numerical Modelling Study of Coastal Flooding. Meteorol. Atmos. Phys. 2002, 80, 217–233. [Google Scholar] [CrossRef]
- Dietrich, J.C.; Tanaka, S.; Westerink, J.J.; Dawson, C.N.; Luettich, R.A.; Zijlema, M.; Holthuijsen, L.H.; Smith, J.M.; Westerink, L.G.; Westerink, H.J. Performance of the Unstructured-Mesh, SWAN + ADCIRC Model in Computing Hurricane Waves and Surge. J. Sci. Comput. 2012, 52, 468–497. [Google Scholar] [CrossRef]
- Vickery, P.J.; Masters, F.J.; Powell, M.D.; Wadhera, D. Hurricane Hazard Modeling: The Past, Present, and Future. J. Wind Eng. Ind. Aerodyn. 2009, 97, 392–405. [Google Scholar] [CrossRef]
- Emanuel, K.A. Downscaling CMIP5 Climate Models Shows Increased Tropical Cyclone Activity over the 21st Century. Proc. Natl. Acad. Sci. USA 2013, 110, 12219–12224. [Google Scholar] [CrossRef]
- Malakar, P.; Kesarkar, A.P.; Bhate, J.N.; Singh, V.; Deshamukhya, A. Comparison of Reanalysis Data Sets to Comprehend the Evolution of Tropical Cyclones Over North Indian Ocean. Earth Space Sci. 2020, 7, e2019EA000978. [Google Scholar] [CrossRef]
- Chen, H.; Chen, D.; Lian, T. Inactive Tropical Cyclone Strengthens Western North Pacific Anticyclone. Geophys. Res. Lett. 2025, 52, e2024GL114440. [Google Scholar] [CrossRef]
- Du, S.; Yan, Z. Numerical Study of Extreme Waves Driven by Synthetic Tropical Cyclones in the Northwest Pacific Ocean. Front. Environ. Sci. 2023, 11, 1126655. [Google Scholar] [CrossRef]
- Tao, D.; Nystrom, R.; Bell, M. The Quasi-Linear Absolute Angular Momentum Slope of Tropical Cyclones Under Rapid Intensification. Geophys. Res. Lett. 2023, 50, e2023GL104583. [Google Scholar] [CrossRef]
- Holland, G.J. An Analytic Model of the Wind and Pressure Profiles in Hurricanes. Mon. Weather Rev. 1980, 108, 1212–1218. [Google Scholar] [CrossRef]
- Holland, G.J.; Belanger, J.I.; Fritz, A. A Revised Model for Radial Profiles of Hurricane Winds. Mon. Weather Rev. 2010, 138, 4393–4401. [Google Scholar] [CrossRef]
- Willoughby, H.E.; Rahn, M.E. Parametric Representation of the Primary Hurricane Vortex. Part I: Observations and Evaluation of the Holland (1980) Model. Mon. Weather Rev. 2004, 132, 3033–3048. [Google Scholar] [CrossRef]
- Willoughby, H.E.; Darling, R.W.R.; Rahn, M.E. Parametric Representation of the Primary Hurricane Vortex. Part II: A New Family of Sectionally Continuous Profiles. Mon. Weather Rev. 2006, 134, 1102–1120. [Google Scholar] [CrossRef]
- Emanuel, K. Tropical Cyclone Energetics and Structure. In Atmospheric Turbulence and Mesoscale Meteorology; Fedorovich, E., Rotunno, R., Stevens, B., Eds.; Cambridge University Press: Cambridge, UK, 2004; pp. 165–192. [Google Scholar]
- Emanuel, K.; Rotunno, R. Self-Stratification of Tropical Cyclone Outflow. Part I: Implications for Storm Structure. J. Atmos. Sci. 2011, 68, 2236–2249. [Google Scholar] [CrossRef]
- Chavas, D.R.; Lin, N.; Emanuel, K. A Model for the Complete Radial Structure of the Tropical Cyclone Wind Field. Part I: Comparison with Observed Structure. J. Atmos. Sci. 2015, 72, 3647–3662. [Google Scholar] [CrossRef]
- Kudryavtsev, V.; Yurovskaya, M.; Chapron, B. 2D Parametric Model for Surface Wave Development Under Varying Wind Field in Space and Time. J. Geophys. Res. Ocean 2021, 126, e2020JC016915. [Google Scholar] [CrossRef]
- Ruiz-Salcines, P.; Salles, P.; Robles-Díaz, L.; Díaz-Hernández, G.; Torres-Freyermuth, A.; Appendini, C.M. On the Use of Parametric Wind Models for Wind Wave Modeling under Tropical Cyclones. Water 2019, 11, 2044. [Google Scholar] [CrossRef]
- Zhao, S.; Liu, Z.; Wei, X.; Li, B.; Bai, Y. Intercomparison of Empirical Formulations of Maximum Wind Radius in Parametric Tropical Storm Modeling over Zhoushan Archipelago. Sustainability 2021, 13, 11673. [Google Scholar] [CrossRef]
- Leijnse, T.W.B.; Giardino, A.; Nederhoff, K.; Caires, S. Generating Reliable Estimates of Tropical-Cyclone-Induced Coastal Hazards along the Bay of Bengal for Current and Future Climates Using Synthetic Tracks. Nat. Hazards Earth Syst. Sci. 2022, 22, 1863–1891. [Google Scholar] [CrossRef]
- Gao, Y.; Li, X.; Chen, X.; Wang, L. Extreme Wave and Storm Surge Characteristics in the Southeastern Coastal and Offshore Regions of China. Sci. Rep. 2025, 15, 26915. [Google Scholar] [CrossRef]
- Imani, H.; Wei, K.; Shen, Z.; Zhong, X. Investigations into Relationship Between Significant Wave Height and Mean Wave Period in Nearshore Straits Under Typhoon Conditions. J. Offshore Mech. Arct. Eng. 2025, 147, 041204. [Google Scholar] [CrossRef]
- Liu, C.; Li, Y.; Qin, H.; Li, W.; Mu, L.; Wang, S.; Liu, D.; Zhou, K. Effective Storm Surge Risk Assessment and Deep Reinforcement Learning Based Evacuation Planning: A Case Study of Daya Bay Petrochemical Industrial Zone. Nat. Hazards Earth Syst. Sci. 2025, 25, 4767–4786. [Google Scholar] [CrossRef]
- Lin, N.; Emanuel, K.; Oppenheimer, M.; Vanmarcke, E. Physically Based Assessment of Hurricane Surge Threat under Climate Change. Nat. Clim. Change 2012, 2, 462–467. [Google Scholar] [CrossRef]
- Zhuge, W.; Wu, G.; Liang, B.; Zheng, P.; Shi, L. Modeling the Extreme Sea Levels and Waves in the Northern South China Sea: A Synthetic Tropical Cyclone Approach. Ocean Eng. 2025, 331, 121278. [Google Scholar] [CrossRef]
- Guo, Y.; Hou, Y.; Liu, Z.; Du, M. Risk Prediction of Coastal Hazards Induced by Typhoon: A Case Study in the Coastal Region of Shenzhen, China. Remote Sens. 2020, 12, 1731. [Google Scholar] [CrossRef]
- Garner, A.J.; Mann, M.E.; Emanuel, K.A.; Kopp, R.E.; Lin, N.; Alley, R.B.; Horton, B.P.; DeConto, R.M.; Donnelly, J.P.; Pollard, D. Impact of Climate Change on New York City’s Coastal Flood Hazard: Increasing Flood Heights from the Preindustrial to 2300 CE. Proc. Natl. Acad. Sci. USA 2017, 114, 11861–11866. [Google Scholar] [CrossRef]
- Tiwari, P.; Rao, A.D.; Pandey, S.; Pant, V. Investigation of Complex Coastline Geometry Impact on the Evolution of Storm Surges along the East Coast of India: A Sensitivity Study Using a Numerical Model. EGUsphere, 2024; preprint. [Google Scholar]
- Irish, J.L.; Resio, D.T.; Ratcliff, J.J. The Influence of Storm Size on Hurricane Surge. J. Phys. Oceanogr. 2008, 38, 2003–2013. [Google Scholar] [CrossRef]
- Oh, Y.; Oh, S.M.; Chang, P.-H.; Moon, I.-J. Optimal Tropical Cyclone Size Parameter for Determining Storm-Induced Maximum Significant Wave Height. Front. Mar. Sci. 2023, 10, 1134579. [Google Scholar] [CrossRef]
- Carrasco, C.A.; Landsea, C.W.; Lin, Y.-L. The Influence of Tropical Cyclone Size on Its Intensification. Weather Forecast. 2014, 29, 582–590. [Google Scholar] [CrossRef]
- Morris, M.; Ruf, C.S. Determining Tropical Cyclone Surface Wind Speed Structure and Intensity with the CYGNSS Satellite Constellation. J. Appl. Meteorol. Climatol. 2017, 56, 1847–1865. [Google Scholar] [CrossRef]
- Wahl, T.; Jain, S.; Bender, J.; Meyers, S.D.; Luther, M.E. Increasing Risk of Compound Flooding from Storm Surge and Rainfall for Major US Cities. Nat. Clim. Change 2015, 5, 1093–1097. [Google Scholar] [CrossRef]
- Zscheischler, J.; Westra, S.; Van Den Hurk, B.J.J.M.; Seneviratne, S.I.; Ward, P.J.; Pitman, A.; AghaKouchak, A.; Bresch, D.N.; Leonard, M.; Wahl, T.; et al. Future Climate Risk from Compound Events. Nat. Clim. Change 2018, 8, 469–477. [Google Scholar] [CrossRef]
- Salvadori, G.; Durante, F.; De Michele, C.; Bernardi, M.; Petrella, L. A Multivariate Copula-based Framework for Dealing with Hazard Scenarios and Failure Probabilities. Water Resour. Res. 2016, 52, 3701–3721. [Google Scholar] [CrossRef]
- Vousdoukas, M.I.; Mentaschi, L.; Voukouvalas, E.; Verlaan, M.; Jevrejeva, S.; Jackson, L.P.; Feyen, L. Global Probabilistic Projections of Extreme Sea Levels Show Intensification of Coastal Flood Hazard. Nat. Commun. 2018, 9, 2360. [Google Scholar] [CrossRef]
- Hinkel, J.; Lincke, D.; Vafeidis, A.T.; Perrette, M.; Nicholls, R.J.; Tol, R.S.J.; Marzeion, B.; Fettweis, X.; Ionescu, C.; Levermann, A. Coastal Flood Damage and Adaptation Costs under 21st Century Sea-Level Rise. Proc. Natl. Acad. Sci. USA 2014, 111, 3292–3297. [Google Scholar] [CrossRef]
- Thomsen, G.L.; Smith, R.K.; Montgomery, M.T. Tropical Cyclone Flow Asymmetries Induced by a Uniform Flow Revisited. J. Adv. Model. Earth Syst. 2015, 7, 1265–1284. [Google Scholar] [CrossRef]
- Guo, X.; Tan, Z. Tropical Cyclone Intensification and Fullness: The Role of Storm Size Configuration. Geophys. Res. Lett. 2022, 49, e2022GL098449. [Google Scholar] [CrossRef]
- Stern, D.P.; Vigh, J.L.; Nolan, D.S.; Zhang, F. Revisiting the Relationship between Eyewall Contraction and Intensification. J. Atmos. Sci. 2015, 72, 1283–1306. [Google Scholar] [CrossRef]
- Xu, J.; Wang, Y. A Statistical Analysis on the Dependence of Tropical Cyclone Intensification Rate on the Storm Intensity and Size in the North Atlantic. Weather Forecast. 2015, 30, 692–701. [Google Scholar] [CrossRef]
- Graham, H.E.; Nunn, D.E. Meteorological Considerations Pertinent to Standard Project Hurricane, Atlantic and Gulf Coasts of the United States; U.S. Department of Commerce: Washington, DC, USA; Weather Bureau: Silver Spring, MD, USA, 1959. [Google Scholar]
- Kato, F. Study on Risk Assessment of Storm Surge Flood, Technical Note of National Institute for Land and Infrastructure Management of Japan; No.275; National Institute for Land and Infrastructure Management: Tokyo, Japan, 2005. [Google Scholar]
- Knaff, J.A.; Zehr, R.M. Reexamination of Tropical Cyclone Wind–Pressure Relationships. Weather Forecast. 2007, 22, 71–88. [Google Scholar] [CrossRef]
- Vickery, P.J.; Wadhera, D. Statistical Models of Holland Pressure Profile Parameter and Radius to Maximum Winds of Hurricanes from Flight-Level Pressure and H*Wind Data. J. Appl. Meteorol. Climatol. 2008, 47, 2497–2517. [Google Scholar] [CrossRef]
- Lin, W.; Fang, W. Regional Characteristics of the Holland B Parameter in Typhoon Wind-Field Models over the Northwestern Pacific. Trop. Geogr. 2013, 33, 124–132, (In Chinese with English Abstract). [Google Scholar]
- Fang, W.; Chen, G.; Zhao, H.; Yan, S. Comparative Study on the Effects of Maximum Wind Speed Radius on Typhoon Wave Simulation. Waterw. Harb. 2017, 38, 574–580, (In Chinese with English Abstract). [Google Scholar]
- Knaff, J.A.; Sampson, C.R.; Musgrave, K.D. Statistical Tropical Cyclone Wind Radii Prediction Using Climatology and Persistence: Updates for the Western North Pacific. Weather Forecast. 2018, 33, 1093–1098. [Google Scholar] [CrossRef]
- Tan, H.; Francis, O.; Wu, G.; Yang, G.; Wang, J.; Zhang, X.; Huang, J.; Shen, C. Evaluation of Global Ocean Tide Models Based on Tidal Gravity Observations in China. Geod. Geodyn. 2021, 12, 451–458. [Google Scholar] [CrossRef]
- Merz, B.; Basso, S.; Fischer, S.; Lun, D.; Blöschl, G.; Merz, R.; Guse, B.; Viglione, A.; Vorogushyn, S.; Macdonald, E.; et al. Understanding Heavy Tails of Flood Peak Distributions. Water Resour. Res. 2022, 58, e2021WR030506. [Google Scholar] [CrossRef]
- Mushtaq, S.; Miniussi, A.; Merz, R.; Basso, S. Reliable Estimation of High Floods: A Method to Select the Most Suitable Ordinary Distribution in the Metastatistical Extreme Value Framework. Adv. Water Resour. 2022, 161, 104127. [Google Scholar] [CrossRef]
- Salvadori, G.; Michele, C.D.; Kottegoda, N.T.; Rosso, R. Extremes in Nature: An Approach Using Copulas; Water Science and Technology Library; Springer: Dordrecht, The Netherlands, 2007; Volume 56. [Google Scholar]
- Choy, C.; Wu, M.; Lee, T. Assessment of the Damages and Direct Economic Loss in Hong Kong Due to Super Typhoon Mangkhut in 2018. Trop. Cyclone Res. Rev. 2020, 9, 193–205. [Google Scholar] [CrossRef]











| Formula Source | Region of Sample Origin | Formula Form |
|---|---|---|
| G1959 [56] | U.S. East Coast and Gulf of Mexico | |
| W2004 [26] | Atlantic and Eastern Pacific | |
| K2005 [57] | Japanese coast | |
| K2007 [58] | Atlantic and Pacific | |
| V2008 [59] | Atlantic | |
| L2013 [60] | Western North Pacific | |
| F2017 [61] | Western North Pacific | |
| K2018 [62] | Western North Pacific |
| RMSE (m) | Mean Bias (m) | Correlation Coefficient | MAE of Phase (°) | |
|---|---|---|---|---|
| Chiwan | 0.204 | −0.079 | 0.968 | 52.81 |
| Dawanshan | 0.155 | −0.023 | 0.952 | 12.59 |
| Guangzhou | 0.194 | −0.036 | 0.880 | 43.40 |
| Nansha | 0.205 | −0.008 | 0.966 | 34.01 |
| Quarry Bay | 0.168 | −0.044 | 0.922 | 28.29 |
| Zhuhai | 0.202 | −0.066 | 0.906 | 58.17 |
| RP100 Value (m) | RP100 95% CI Width (m) | GEV Shape Parameter | ||||
|---|---|---|---|---|---|---|
| Water Level | Wave Height | Water Level | Wave Height | Water Level | Wave Height | |
| G1959 | 1.93 | 3.65 | 0.50 | 2.04 | −0.187 | −0.083 |
| W2004 | 2.02 | 3.86 | 0.60 | 1.78 | −0.164 | −0.151 |
| K2005 | 3.19 | 5.19 | 2.62 | 2.53 | 0.123 | −0.140 |
| K2007 | 2.56 | 4.59 | 1.42 | 2.23 | −0.005 | −0.140 |
| V2008 | 2.07 | 4.06 | 0.71 | 2.14 | −0.119 | −0.105 |
| L2013 | 2.16 | 4.23 | 0.83 | 2.07 | −0.096 | −0.132 |
| F2017 | 2.29 | 4.31 | 1.04 | 2.08 | −0.055 | −0.140 |
| K2018 | 3.01 | 4.92 | 2.17 | 2.24 | 0.073 | −0.170 |
| Mean RMW (km) | Variation Range of RMW (km) | |||
|---|---|---|---|---|
| Before Luzon Landfall | After Luzon Landfall | Before Luzon Landfall | After Luzon Landfall | |
| G1959 | 16.8 | 25.8 | 4.4 | 15.6 |
| W2004 | 18.8 | 34.9 | 2.9 | 42.1 |
| K2005 | 49.2 | 81.1 | 0.5 | 60.0 |
| K2007 | 45.4 | 54.0 | 3.9 | 12.7 |
| V2008 | 20.3 | 34.7 | 3.3 | 20.5 |
| L2013 | 28.7 | 42.1 | 0.7 | 39.0 |
| F2017 | 26.6 | 47.5 | 2.6 | 55.8 |
| K2018 | 56.6 | 74.4 | 5.1 | 30.4 |
| Station | Peak Value Difference (m) | Duration Differences (h) |
|---|---|---|
| Quarry Bay | 1.36 | 4 |
| Dawanshan | 1.13 | 4 |
| Chiwan | 1.71 | 3 |
| Guangzhou | 2.04 | 2 |
| Nansha | 2.06 | 3 |
| Zhuhai | 2.11 | 3 |
| QF303 | 3.80 | 8 |
| QF305 | 3.25 | 13 |
| QF306 | 1.87 | 13 |
| WLC | 1.52 | 4 |
Disclaimer/Publisher’s Note: The statements, opinions and data contained in all publications are solely those of the individual author(s) and contributor(s) and not of MDPI and/or the editor(s). MDPI and/or the editor(s) disclaim responsibility for any injury to people or property resulting from any ideas, methods, instructions or products referred to in the content. |
© 2026 by the authors. Licensee MDPI, Basel, Switzerland. This article is an open access article distributed under the terms and conditions of the Creative Commons Attribution (CC BY) license.
Share and Cite
Kang, H.; Du, S.; Wu, G.; Liang, B.; Shi, L.; Wang, X.; Yang, B.; Wang, Z. Quantifying the Uncertainties in Projecting Extreme Coastal Hazards: The Overlooked Role of the Radius of Maximum Wind Parameterizations. J. Mar. Sci. Eng. 2026, 14, 222. https://doi.org/10.3390/jmse14020222
Kang H, Du S, Wu G, Liang B, Shi L, Wang X, Yang B, Wang Z. Quantifying the Uncertainties in Projecting Extreme Coastal Hazards: The Overlooked Role of the Radius of Maximum Wind Parameterizations. Journal of Marine Science and Engineering. 2026; 14(2):222. https://doi.org/10.3390/jmse14020222
Chicago/Turabian StyleKang, Hao, Shengtao Du, Guoxiang Wu, Bingchen Liang, Luming Shi, Xinyu Wang, Bo Yang, and Zhenlu Wang. 2026. "Quantifying the Uncertainties in Projecting Extreme Coastal Hazards: The Overlooked Role of the Radius of Maximum Wind Parameterizations" Journal of Marine Science and Engineering 14, no. 2: 222. https://doi.org/10.3390/jmse14020222
APA StyleKang, H., Du, S., Wu, G., Liang, B., Shi, L., Wang, X., Yang, B., & Wang, Z. (2026). Quantifying the Uncertainties in Projecting Extreme Coastal Hazards: The Overlooked Role of the Radius of Maximum Wind Parameterizations. Journal of Marine Science and Engineering, 14(2), 222. https://doi.org/10.3390/jmse14020222

