FLUID: Dynamic Model-Agnostic Federated Learning with Pruning and Knowledge Distillation for Maritime Predictive Maintenance
Abstract
1. Introduction
- We introduce FLUID, a lightweight, model architecture-agnostic FL framework that enables collaboration among heterogeneous clients in maritime environments;
- We develop a logit-based knowledge exchange mechanism that eliminates the need for full model synchronization while preserving predictive performance to achieve faster convergence and high robustness;
- We design a dynamic clustering module that groups client ships into resource tiers, enabling the calibration of structured pruning strategies, guaranteeing model compression and respecting the heterogeneous computing constraints without manual tuning;
- We conduct a comprehensive evaluation using real-world maritime PdM data, demonstrating that FLUID achieves competitive accuracy against state-of-the-art CML and FL strategies that do not incorporate heterogeneous model architectures.
2. Background and Related Work
2.1. Heavy-Fuel-Oil Purifier
2.2. PdM in the Maritime Domain
2.3. Federated Learning
2.4. Model Pruning for Communication Efficiency
2.5. Knowledge Distillation and Ensembles in FL
3. FLUID Framework Overview
3.1. System Model and Basic Assumptions
- 1.
- Data heterogeneity: Local datasets exhibit non-IID label distribution due to differing ship usage patterns.
- 2.
- Resource heterogeneity: Ships vary widely in compute and memory capacities; we assume that accurately reflects available resources.
- 3.
- Communication constraints: Clients communicate with the server over high-latency satellite links; the number of communication rounds R is, therefore, limited.
- 4.
- Security and privacy: Raw sensor data remain on device; only model parameters or logits are exchanged. However, the practical implementation of knowledge distillation relies on a small, unlabeled public reference dataset . In the context of a single maritime company, this dataset does not need to be externally sourced, as it can be constructed from a small fraction of historical, anonymized sensor readings stored in a central server that is a trusted entity within the organization.
3.2. Dynamic Pruning Adaptation to Client Resources
| Algorithm 1 FLUID: server-side calibration and model dispatch. | 
| 
 | 
3.3. Federated Knowledge Distillation
| Algorithm 2 FLUID: federated knowledge distillation loop (server side). | 
| 
 | 
| Algorithm 3 FLUID: client update procedure. | 
| 
 | 
4. Experimental Setup
4.1. Dataset
4.2. Data Preprocessing and Feature Engineering
4.3. Baseline Model, Pruning Techniques, and Training Setup
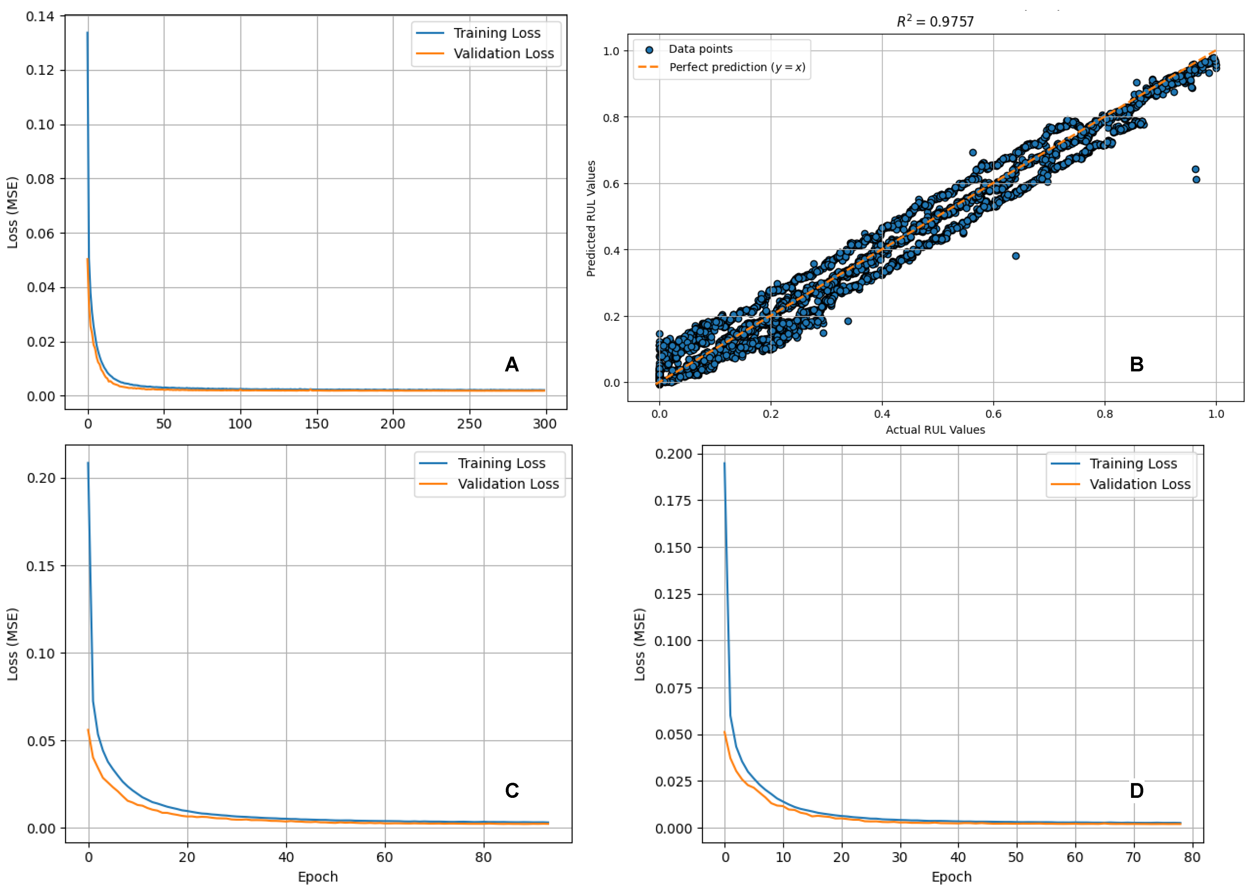
5. Results
5.1. Hyperparameter Tuning
5.2. Performance Analysis
6. Discussion
7. Conclusions
Author Contributions
Funding
Data Availability Statement
Acknowledgments
Conflicts of Interest
Abbreviations
| AE | AutoEncoder | 
| Batch size | |
| CAE | Convolutional AE | 
| CML | Centralized Machine Learning | 
| CNN | Convolutional Neural Network | 
| CS | Constant Sparsity | 
| Public reference dataset | |
| DL | Deep learning | 
| E | Epochs | 
| EGT | Exhaust Gas Temperature | 
| ES | Early stopping | 
| Client model’s raw output for input x with local model | |
| FFT | Fast Fourier Transform | 
| FL | Federated Learning | 
| Search space for hyperparameters h for pruning method t | |
| HFO | Heavy fuel oil | 
| IID | Independently and Identically Distributed | 
| K | Number of resource tiers | 
| KD | Knowledge distillation | 
| Distillation loss | |
| Distillation signal strength coefficient | |
| Loss | |
| LSTM-AE | Long Short-Term Memory AutoEncoder | 
| MAE | Mean Absolute Error | 
| ME | Main Engine | 
| Logits (soft label predictions) from client i for input x | |
| M | Number of sparsity levels to deploy | 
| MSE | Mean Squared Error | 
| N | Total number of clients | 
| Number of data points at client i | |
| Learning rate | |
| P | Early stopping patience | 
| PD | Polynomial Decay | 
| PdM | Predictive maintenance | 
| Structured pruning operator | |
| R | Number of communication rounds | 
| Coefficient of determination | |
| Resource profile of client i | |
| RMSE | Root Mean Squared Error | 
| List of client profiles | |
| RUL | Remaining useful life | 
| Set of selected clients | |
| t | Index of pruning method | 
| Best pruning method | |
| Baseline model | |
| Pruned model | |
| Gradient of total loss | |
| TSFEL | Time Series Feature Extraction Library | 
| Predicted value | |
| Mean of actual values | |
| Z | Ensemble teacher | 
References
- Achouch, M.; Dimitrova, M.; Ziane, K.; Sattarpanah Karganroudi, S.; Dhouib, R.; Ibrahim, H.; Adda, M. On predictive maintenance in industry 4.0: Overview, models, and challenges. Appl. Sci. 2022, 12, 8081. [Google Scholar] [CrossRef]
- Makridis, G.; Kyriazis, D.; Plitsos, S. Predictive maintenance leveraging machine learning for time-series forecasting in the maritime industry. In Proceedings of the 2020 IEEE 23rd International Conference on Intelligent Transportation Systems (ITSC), Rhodes, Greece, 20–23 September 2020; pp. 1–8. [Google Scholar]
- Han, X.; Wang, Z.; Xie, M.; He, Y.; Li, Y.; Wang, W. Remaining useful life prediction and predictive maintenance strategies for multi-state manufacturing systems considering functional dependence. Reliab. Eng. Syst. Saf. 2021, 210, 107560. [Google Scholar] [CrossRef]
- Mitici, M.; de Pater, I.; Barros, A.; Zeng, Z. Dynamic predictive maintenance for multiple components using data-driven probabilistic RUL prognostics: The case of turbofan engines. Reliab. Eng. Syst. Saf. 2023, 234, 109199. [Google Scholar] [CrossRef]
- Bemani, A.; Björsell, N. Aggregation strategy on federated machine learning algorithm for collaborative predictive maintenance. Sensors 2022, 22, 6252. [Google Scholar] [CrossRef] [PubMed]
- Kalafatelis, A.S.; Nomikos, N.; Giannopoulos, A.; Alexandridis, G.; Karditsa, A.; Trakadas, P. Towards predictive maintenance in the maritime industry: A component-based overview. J. Mar. Sci. Eng. 2025, 13, 425. [Google Scholar] [CrossRef]
- Huang, Y.; Liu, W.; Lin, Y.; Kang, J.; Zhu, F.; Wang, F.Y. FLCSDet: Federated learning-driven cross-spatial vessel detection for maritime surveillance with privacy preservation. IEEE Trans. Intell. Transp. Syst. 2024, 26, 1177–1192. [Google Scholar] [CrossRef]
- Imteaj, A.; Mamun Ahmed, K.; Thakker, U.; Wang, S.; Li, J.; Amini, M.H. Federated learning for resource-constrained iot devices: Panoramas and state of the art. In Federated and Transfer Learning; Springer: Cham, Switzerland, 2022; pp. 7–27. [Google Scholar]
- Imteaj, A.; Thakker, U.; Wang, S.; Li, J.; Amini, M.H. A survey on federated learning for resource-constrained IoT devices. IEEE Internet Things J. 2021, 9, 1–24. [Google Scholar] [CrossRef]
- Imteaj, A.; Amini, M.H. FedPARL: Client activity and resource-oriented lightweight federated learning model for resource-constrained heterogeneous IoT environment. Front. Commun. Netw. 2021, 2, 657653. [Google Scholar] [CrossRef]
- McMahan, B.; Moore, E.; Ramage, D.; Hampson, S.; y Arcas, B.A. Communication-efficient learning of deep networks from decentralized data. In Proceedings of the Artificial Intelligence and Statistics, Fort Lauderdale, FL, USA, 20–22 April 2017; pp. 1273–1282. [Google Scholar]
- Li, T.; Sahu, A.K.; Zaheer, M.; Sanjabi, M.; Talwalkar, A.; Smith, V. Federated optimization in heterogeneous networks. Proc. Mach. Learn. Syst. 2020, 2, 429–450. [Google Scholar]
- Ye, M.; Fang, X.; Du, B.; Yuen, P.C.; Tao, D. Heterogeneous federated learning: State-of-the-art and research challenges. ACM Comput. Surv. 2023, 56, 1–44. [Google Scholar] [CrossRef]
- Fan, B.; Jiang, S.; Su, X.; Tarkoma, S.; Hui, P. A survey on model-heterogeneous federated learning: Problems, methods, and prospects. In Proceedings of the 2024 IEEE International Conference on Big Data (BigData), Washington, DC, USA, 15–18 December 2024; pp. 7725–7734. [Google Scholar]
- Li, W.; Li, T. Comparison of deep learning models for predictive maintenance in industrial manufacturing systems using sensor data. Sci. Rep. 2025, 15, 23545. [Google Scholar] [CrossRef]
- Qi, P.; Chiaro, D.; Piccialli, F. Small models, big impact: A review on the power of lightweight Federated Learning. Future Gener. Comput. Syst. 2025, 162, 107484. [Google Scholar] [CrossRef]
- Hinton, G.; Vinyals, O.; Dean, J. Distilling the knowledge in a neural network. arXiv 2015, arXiv:1503.02531. [Google Scholar] [CrossRef]
- Gou, J.; Yu, B.; Maybank, S.J.; Tao, D. Knowledge distillation: A survey. Int. J. Comput. Vis. 2021, 129, 1789–1819. [Google Scholar] [CrossRef]
- Wu, C.; Wu, F.; Lyu, L.; Huang, Y.; Xie, X. Communication-efficient federated learning via knowledge distillation. Nat. Commun. 2022, 13, 2032. [Google Scholar] [CrossRef] [PubMed]
- Gad, G.; Fadlullah, Z. Federated learning via augmented knowledge distillation for heterogenous deep human activity recognition systems. Sensors 2022, 23, 6. [Google Scholar] [CrossRef]
- Li, D.; Wang, J. Fedmd: Heterogenous federated learning via model distillation. arXiv 2019, arXiv:1910.03581. [Google Scholar] [CrossRef]
- Foretich, A.; Zaimes, G.G.; Hawkins, T.R.; Newes, E. Challenges and opportunities for alternative fuels in the maritime sector. Marit. Transp. Res. 2021, 2, 100033. [Google Scholar] [CrossRef]
- Kalafatelis, A.S.; Stamou, N.; Dailani, A.; Theodoridis, T.; Nomikos, N.; Giannopoulos, A.; Tsoulakos, N.; Alexandridis, G.; Trakadas, P. A Lightweight Predictive Maintenance Strategy for Marine HFO Purification Systems. In Proceedings of the European, Mediterranean, and Middle Eastern Conference on Information Systems, Athens, Greece, 2–3 September 2024; pp. 88–99. [Google Scholar]
- Başhan, V.; Demirel, H.; Celik, E. Evaluation of critical problems of heavy fuel oil separators on ships by best-worst method. Proc. Inst. Mech. Eng. Part M J. Eng. Marit. Environ. 2022, 236, 868–876. [Google Scholar] [CrossRef]
- Kandemir, Ç.; Çelik, M.; Akyuz, E.; Aydin, O. Application of human reliability analysis to repair & maintenance operations on-board ships: The case of HFO purifier overhauling. Appl. Ocean. Res. 2019, 88, 317–325. [Google Scholar]
- Ayvaz, S.; Karakurt, A. Examination of Failures in the Marine Fuel and Lube Oil Separators Through the Fuzzy DEMATEL Method. J. ETA Marit. Sci. 2025, 13, 36–45. [Google Scholar] [CrossRef]
- Han, P.; Ellefsen, A.L.; Li, G.; Æsøy, V.; Zhang, H. Fault prognostics using LSTM networks: Application to marine diesel engine. IEEE Sens. J. 2021, 21, 25986–25994. [Google Scholar] [CrossRef]
- Gribbestad, M.; Hassan, M.U.; Hameed, I.A. Transfer learning for Prognostics and health Management (PHM) of marine Air Compressors. J. Mar. Sci. Eng. 2021, 9, 47. [Google Scholar] [CrossRef]
- Tang, W.; Roman, D.; Dickie, R.; Robu, V.; Flynn, D. Prognostics and health management for the optimization of marine hybrid energy systems. Energies 2020, 13, 4676. [Google Scholar] [CrossRef]
- Liu, B.; Gan, H.; Chen, D.; Shu, Z. Research on fault early warning of marine diesel engine based on CNN-BiGRU. J. Mar. Sci. Eng. 2022, 11, 56. [Google Scholar] [CrossRef]
- Wu, J.Y.; Wu, M.; Chen, Z.; Li, X.L.; Yan, R. Degradation-aware remaining useful life prediction with LSTM autoencoder. IEEE Trans. Instrum. Meas. 2021, 70, 1–10. [Google Scholar] [CrossRef]
- Angelopoulos, A.; Giannopoulos, A.; Nomikos, N.; Kalafatelis, A.; Hatziefremidis, A.; Trakadas, P. Federated learning-aided prognostics in the shipping 4.0: Principles, workflow, and use cases. IEEE Access 2024, 12, 6437–6454. [Google Scholar] [CrossRef]
- Giannopoulos, A.E.; Spantideas, S.T.; Zetas, M.; Nomikos, N.; Trakadas, P. Fedship: Federated over-the-air learning for communication-efficient and privacy-aware smart shipping in 6g communications. IEEE Trans. Intell. Transp. Syst. 2024. [Google Scholar] [CrossRef]
- Abreha, H.G.; Hayajneh, M.; Serhani, M.A. Federated learning in edge computing: A systematic survey. Sensors 2022, 22, 450. [Google Scholar] [CrossRef] [PubMed]
- Hohman, F.; Kery, M.B.; Ren, D.; Moritz, D. Model compression in practice: Lessons learned from practitioners creating on-device machine learning experiences. In Proceedings of the 2024 CHI Conference on Human Factors in Computing Systems, Honolulu, HI, USA, 11–16 May 2024; pp. 1–18. [Google Scholar]
- Kalafatelis, A.S.; Nomikos, N.; Giannopoulos, A.; Trakadas, P. A Survey on Predictive Maintenance in the Maritime Industry Using Machine and Federated Learning. Authorea Prepr. 2024, 1–30. [Google Scholar]
- Zhang, C.; Xie, Y.; Bai, H.; Yu, B.; Li, W.; Gao, Y. A survey on federated learning. Knowl.-Based Syst. 2021, 216, 106775. [Google Scholar] [CrossRef]
- Wen, J.; Zhang, Z.; Lan, Y.; Cui, Z.; Cai, J.; Zhang, W. A survey on federated learning: Challenges and applications. Int. J. Mach. Learn. Cybern. 2023, 14, 513–535. [Google Scholar] [CrossRef]
- Wang, J.; Liu, Q.; Liang, H.; Joshi, G.; Poor, H.V. Tackling the objective inconsistency problem in heterogeneous federated optimization. Adv. Neural Inf. Process. Syst. 2020, 33, 7611–7623. [Google Scholar]
- Karimireddy, S.P.; Kale, S.; Mohri, M.; Reddi, S.; Stich, S.; Suresh, A.T. Scaffold: Stochastic controlled averaging for federated learning. In Proceedings of the International Conference on Machine Learning, Virtual, 13–18 July 2020; pp. 5132–5143. [Google Scholar]
- Nguyen, D.P.; Yu, S.; Muñoz, J.P.; Jannesari, A. Enhancing heterogeneous federated learning with knowledge extraction and multi-model fusion. In Proceedings of the SC’23 Workshops of the International Conference on High Performance Computing, Network, Storage, and Analysis, Denver, CO, USA, 12–17 November 2023; pp. 36–43. [Google Scholar]
- Han, S.; Pool, J.; Tran, J.; Dally, W. Learning both weights and connections for efficient neural network. Adv. Neural Inf. Process. Syst. 2015, 28. [Google Scholar]
- Li, H.; Kadav, A.; Durdanovic, I.; Samet, H.; Graf, H.P. Pruning filters for efficient convnets. arXiv 2016, arXiv:1608.08710. [Google Scholar]
- Jiang, Y.; Wang, S.; Valls, V.; Ko, B.J.; Lee, W.H.; Leung, K.K.; Tassiulas, L. Model pruning enables efficient federated learning on edge devices. IEEE Trans. Neural Netw. Learn. Syst. 2022, 34, 10374–10386. [Google Scholar] [CrossRef]
- Xu, W.; Fang, W.; Ding, Y.; Zou, M.; Xiong, N. Accelerating federated learning for iot in big data analytics with pruning, quantization and selective updating. IEEE Access 2021, 9, 38457–38466. [Google Scholar] [CrossRef]
- Huang, H.; Zhuang, W.; Chen, C.; Lyu, L. Fedmef: Towards memory-efficient federated dynamic pruning. In Proceedings of the IEEE/CVF Conference on Computer Vision and Pattern Recognition, Seattle, WA, USA, 16–22 June 2024; pp. 27548–27557. [Google Scholar]
- Zhou, G.; Xu, K.; Li, Q.; Liu, Y.; Zhao, Y. AdaptCL: Efficient collaborative learning with dynamic and adaptive pruning. arXiv 2021, arXiv:2106.14126. [Google Scholar] [CrossRef]
- Internò, C.; Raponi, E.; van Stein, N.; Bäck, T.; Olhofer, M.; Jin, Y.; Hammer, B. Adaptive hybrid model pruning in federated learning through loss exploration. In Proceedings of the International Workshop on Federated Foundation Models in Conjunction with NeurIPS 2024, Vancouver, BC, Canada, 15 December 2024. [Google Scholar]
- Buciluǎ, C.; Caruana, R.; Niculescu-Mizil, A. Model compression. In Proceedings of the 12th ACM SIGKDD International Conference on Knowledge Discovery and Data Mining, Philadelphia, PA, USA, 20–23 August 2006; pp. 535–541. [Google Scholar]
- Fukuda, T.; Suzuki, M.; Kurata, G.; Thomas, S.; Cui, J.; Ramabhadran, B. Efficient knowledge distillation from an ensemble of teachers. In Proceedings of the Interspeech, Stockholm, Sweden, 20–24 August 2017; pp. 3697–3701. [Google Scholar]
- Lan, L.; Zhu, X.; Gong, S. Knowledge distillation by on-the-fly native ensemble. Adv. Neural Inf. Process. Syst. 2018, 31. [Google Scholar]
- Lin, T.; Kong, L.; Stich, S.U.; Jaggi, M. Ensemble distillation for robust model fusion in federated learning. Adv. Neural Inf. Process. Syst. 2020, 33, 2351–2363. [Google Scholar]
- Afonin, A.; Karimireddy, S.P. Towards model agnostic federated learning using knowledge distillation. arXiv 2021, arXiv:2110.15210. [Google Scholar]
- Kang, H.; Cha, S.; Kang, J. GeFL: Model-Agnostic Federated Learning with Generative Models. arXiv 2024, arXiv:2412.18460. [Google Scholar] [CrossRef]
- Shin, Y.; Lee, K.; Lee, S.; Choi, Y.R.; Kim, H.S.; Ko, J. Effective heterogeneous federated learning via efficient hypernetwork-based weight generation. In Proceedings of the 22nd ACM Conference on Embedded Networked Sensor Systems, Hangzhou, China, 4–7 November 2024; pp. 112–125. [Google Scholar]
- Barandas, M.; Folgado, D.; Fernandes, L.; Santos, S.; Abreu, M.; Bota, P.; Liu, H.; Schultz, T.; Gamboa, H. TSFEL: Time series feature extraction library. SoftwareX 2020, 11, 100456. [Google Scholar] [CrossRef]
- Bosello, M.; Falcomer, C.; Rossi, C.; Pau, G. To charge or to sell? EV pack useful life estimation via LSTMs, CNNs, and autoencoders. Energies 2023, 16, 2837. [Google Scholar] [CrossRef]
- Ji, Z.; Gan, H.; Liu, B. A deep learning-based fault warning model for exhaust temperature prediction and fault warning of marine diesel engine. J. Mar. Sci. Eng. 2023, 11, 1509. [Google Scholar] [CrossRef]
- Bird, J.J.; Barnes, C.M.; Manso, L.J.; Ekárt, A.; Faria, D.R. Fruit quality and defect image classification with conditional GAN data augmentation. Sci. Hortic. 2022, 293, 110684. [Google Scholar] [CrossRef]
- Zhu, M.; Gupta, S. To prune, or not to prune: Exploring the efficacy of pruning for model compression. arXiv 2017, arXiv:1710.01878. [Google Scholar] [CrossRef]
- Hoefler, T.; Alistarh, D.; Ben-Nun, T.; Dryden, N.; Peste, A. Sparsity in deep learning: Pruning and growth for efficient inference and training in neural networks. J. Mach. Learn. Res. 2021, 22, 1–124. [Google Scholar]
- Jayakumar, S.; Pascanu, R.; Rae, J.; Osindero, S.; Elsen, E. Top-kast: Top-k always sparse training. Adv. Neural Inf. Process. Syst. 2020, 33, 20744–20754. [Google Scholar]
- Ma, R.; Miao, J.; Niu, L.; Zhang, P. Transformed ℓ1 regularization for learning sparse deep neural networks. Neural Netw. 2019, 119, 286–298. [Google Scholar] [CrossRef]
- Collins, M.D.; Kohli, P. Memory bounded deep convolutional networks. arXiv 2014, arXiv:1412.1442. [Google Scholar] [CrossRef]
- Idelbayev, Y.; Carreira-Perpinán, M.A. Exploring the Effect of ℓ0/ℓ2 Regularization in Neural Network Pruning using the LC Toolkit. In Proceedings of the ICASSP 2022 IEEE International Conference on Acoustics, Speech and Signal Processing (ICASSP), Singapore, 22–27 May 2022; pp. 3373–3377. [Google Scholar]
- Jacot, A.; Golikov, E.; Hongler, C.; Gabriel, F. Feature Learning in L_2-regularized DNNs: Attraction/Repulsion and Sparsity. Adv. Neural Inf. Process. Syst. 2022, 35, 6763–6774. [Google Scholar]
- Chen, Y.; Wang, Z. An effective information theoretic framework for channel pruning. arXiv 2024, arXiv:2408.16772. [Google Scholar]
- Liu, Y.; Wu, D.; Zhou, W.; Fan, K.; Zhou, Z. EACP: An effective automatic channel pruning for neural networks. Neurocomputing 2023, 526, 131–142. [Google Scholar] [CrossRef]
- Pons, I.; Yamamoto, B.; Reali Costa, A.H.; Jordao, A. Effective layer pruning through similarity metric perspective. In Proceedings of the International Conference on Pattern Recognition, Kolkata, India, 1–5 December 2024; pp. 423–438. [Google Scholar]
- Marinó, G.C.; Petrini, A.; Malchiodi, D.; Frasca, M. Deep neural networks compression: A comparative survey and choice recommendations. Neurocomputing 2023, 520, 152–170. [Google Scholar] [CrossRef]
- Internò, C.; Raponi, E.; van Stein, N.; Bäck, T.; Olhofer, M.; Jin, Y.; Hammer, B. Automated Federated Learning via Informed Pruning. arXiv 2024, arXiv:2405.10271v1. [Google Scholar] [CrossRef]
- Shao, J.; Li, Z.; Sun, W.; Zhou, T.; Sun, Y.; Liu, L.; Lin, Z.; Mao, Y.; Zhang, J. A survey of what to share in federated learning: Perspectives on model utility, privacy leakage, and communication efficiency. arXiv 2023, arXiv:2307.10655. [Google Scholar]






| Feature | Short Description | 
|---|---|
| ME Lub Oil Inlet Pressure (bar) | Pressure of the lubricating oil, used to minimize friction and wear on engine parts | 
| ME Air Spring Air Pressure (bar) | Compressed air pressure utilized to assist the pistons in transmitting power to the engine | 
| ME Turbocharger Lub Oil Inlet Pressure (bar) | Pressure of the lubricating oil at the Turbocharger | 
| DG Fuel Oil Inlet Pressure (bar) | Fuel oil pressure when entering the DG, used to check proper atomization and combustion performance | 
| ME Fuel Oil Inlet Pressure (bar) | Fuel oil pressure when it enters the ME fuel system, affecting injection efficiency and combustion stability | 
| ME Fuel Oil Inlet Temperature (°C) | Fuel oil temperature before entering the ME, influencing fuel viscosity and injection characteristics | 
| ME Fuel Oil Outlet Temperature (°C) | Fuel oil temperature exiting the ME, reflecting heat exchange efficiency and thermal conditions of the fuel system | 
| Method | Model | MAE | RMSE | Train Time (s) | |
|---|---|---|---|---|---|
| CML | Baseline | 0.03213 | 0.04379 | 0.97568 | 1307.76 | 
| Polynomial Decay + ES | 0.03489 | 0.04588 | 0.97331 | 271.65 | |
| Constant Sparsity + ES | 0.03747 | 0.04885 | 0.96974 | 373.79 | |
| Best Client | Baseline | 0.03653 | 0.05516 | 0.96357 | 263.89 | 
| Polynomial Decay (30%) + ES | 0.06699 | 0.09023 | 0.90254 | 146.65 | |
| Polynomial Decay (50%) + ES | 0.06619 | 0.08873 | 0.90574 | 93.58 | |
| Constant Sparsity + ES | 0.07637 | 0.10416 | 0.87012 | 146.25 | 
| Method | Prune | KD | Global MAE | Global RMSE | Global | Train (s) | Mean MAEc (±SD) | Mean RMSEc (±SD) | 
|---|---|---|---|---|---|---|---|---|
| FedAvg [11] | 0 | ✗ | 0.04335 | 0.07215 | 0.9398 | 1764.23 | 0.03957(28) | 0.05258(56) | 
| FedAKD [20] | 0 | ✓ | 0.05387 | 0.08318 | 0.9199 | 1820.75 | 0.02639(23) | 0.04229(32) | 
| FLUID | 30 | ✓ | 0.04647 | 0.06784 | 0.9468 | 3774.65 | 0.02557(21) | 0.04182(28) | 
| 50 | ✓ | 0.04917 | 0.07525 | 0.9345 | 3026.98 | 0.02694(21) | 0.04294(33) | |
| 0–50 * | ✓ | 0.04727 | 0.07482 | 0.9352 | 4102.31 | 0.02575(21) | 0.04190(36) | 
| Disclaimer/Publisher’s Note: The statements, opinions and data contained in all publications are solely those of the individual author(s) and contributor(s) and not of MDPI and/or the editor(s). MDPI and/or the editor(s) disclaim responsibility for any injury to people or property resulting from any ideas, methods, instructions or products referred to in the content. | 
© 2025 by the authors. Licensee MDPI, Basel, Switzerland. This article is an open access article distributed under the terms and conditions of the Creative Commons Attribution (CC BY) license (https://creativecommons.org/licenses/by/4.0/).
Share and Cite
Kalafatelis, A.S.; Pitsiakou, A.; Nomikos, N.; Tsoulakos, N.; Syriopoulos, T.; Trakadas, P. FLUID: Dynamic Model-Agnostic Federated Learning with Pruning and Knowledge Distillation for Maritime Predictive Maintenance. J. Mar. Sci. Eng. 2025, 13, 1569. https://doi.org/10.3390/jmse13081569
Kalafatelis AS, Pitsiakou A, Nomikos N, Tsoulakos N, Syriopoulos T, Trakadas P. FLUID: Dynamic Model-Agnostic Federated Learning with Pruning and Knowledge Distillation for Maritime Predictive Maintenance. Journal of Marine Science and Engineering. 2025; 13(8):1569. https://doi.org/10.3390/jmse13081569
Chicago/Turabian StyleKalafatelis, Alexandros S., Angeliki Pitsiakou, Nikolaos Nomikos, Nikolaos Tsoulakos, Theodoros Syriopoulos, and Panagiotis Trakadas. 2025. "FLUID: Dynamic Model-Agnostic Federated Learning with Pruning and Knowledge Distillation for Maritime Predictive Maintenance" Journal of Marine Science and Engineering 13, no. 8: 1569. https://doi.org/10.3390/jmse13081569
APA StyleKalafatelis, A. S., Pitsiakou, A., Nomikos, N., Tsoulakos, N., Syriopoulos, T., & Trakadas, P. (2025). FLUID: Dynamic Model-Agnostic Federated Learning with Pruning and Knowledge Distillation for Maritime Predictive Maintenance. Journal of Marine Science and Engineering, 13(8), 1569. https://doi.org/10.3390/jmse13081569
 
        






 
       