Dynamics of Microbial Abundance in Unvegetated and Seagrass Habitats: A Case Study
Abstract
1. Introduction
2. Materials and Methods
2.1. Study Site and Sampling Methods
2.2. Flow Cytometric Analyses
2.3. Data Analysis
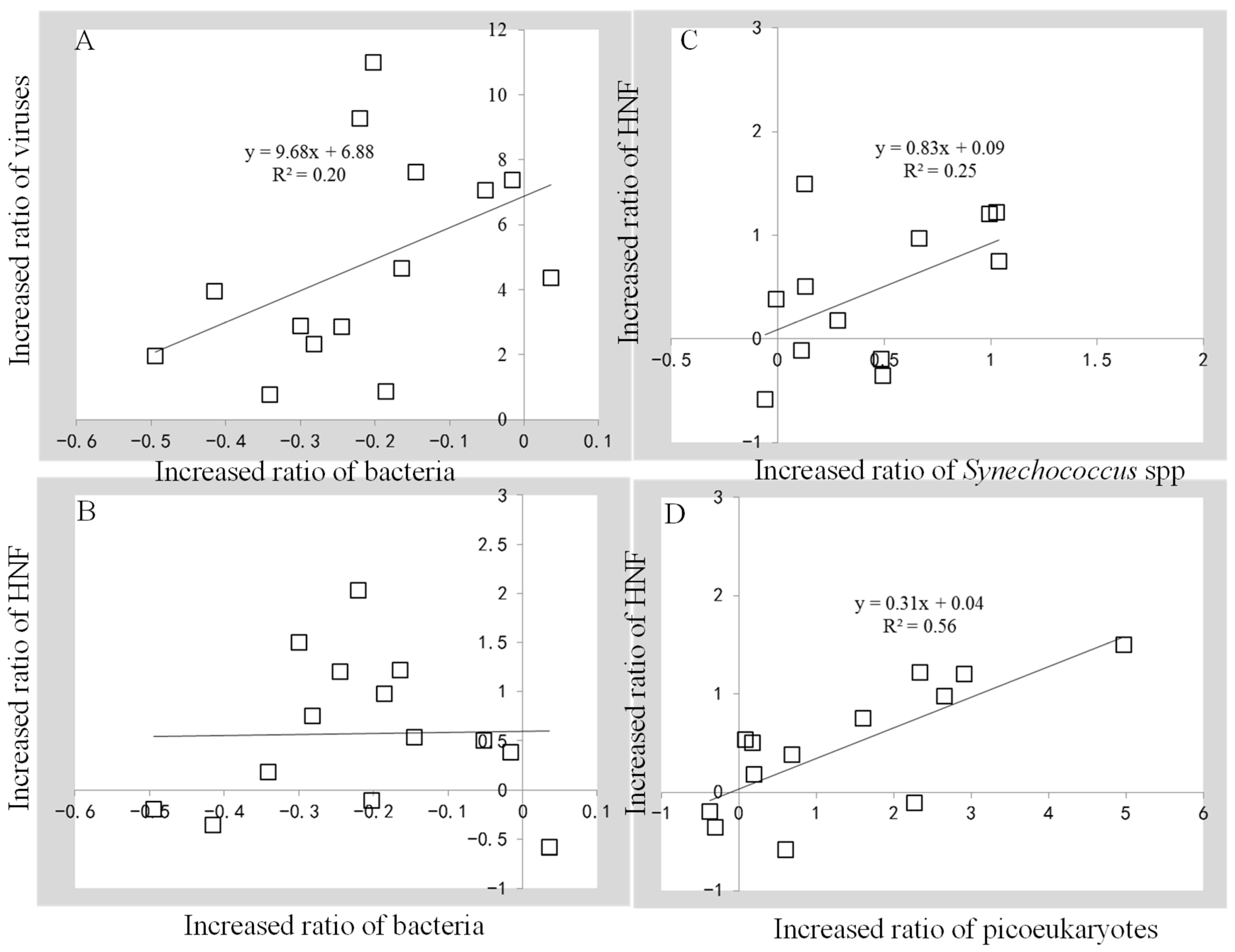
3. Results
3.1. Temporal Variability of Temperature, Salinity, and DO
3.2. Temporal Variability of Microbial Community Abundance
3.3. Increased Ratio of Microbial Community in the Seagrass Incubation
4. Discussion
5. Conclusions
Author Contributions
Funding
Data Availability Statement
Conflicts of Interest
References
- Duarte, C.M.; Kennedy, H.; Marbà, N.; Hendriks, I. Assessing the capacity of seagrass meadows for carbon burial: Current limitations and future strategies. Ocean Coast. Manag. 2013, 83, 32–38. [Google Scholar] [CrossRef]
- Zhang, X.; Liu, S.; Wu, Y.; Luo, H.; Ren, Y.; Liang, J.; Huang, X.; Macreadie, P.I. Nutrient loading accelerates breakdown of refractory dissolved organic carbon in seagrass ecosystem waters. Water Res. 2024, 253, 123017. [Google Scholar] [CrossRef] [PubMed]
- Macreadie, P.I.; Baird, M.E.; Trevathan-Tackett, S.M.; Larkum, A.W.D.; Ralph, P.J. Quantifying and modelling the carbon sequestration capacity of seagrass meadows–a critical assessment. Mar. Pollut. Bull. 2014, 83, 430–439. [Google Scholar] [CrossRef] [PubMed]
- Jiang, Z.; Liu, S.; Zhang, J.; Zhao, C.; Wu, Y.; Yu, S.; Zhang, X.; Huang, C.; Huang, X.; Kumar, M. Newly discovered seagrass beds and their potential for blue carbon in the coastal seas of Hainan Island, South China Sea. Mar. Pollut. Bull. 2017, 125, 513–521. [Google Scholar] [CrossRef]
- Williams, C.J.; Jaffe, R.; Anderson, W.T.; Jochem, F.J. Importance of seagrass as a carbon source for heterotrophic bacteria in a subtropical estuary (Florida Bay). Estuar. Coast. Shelf Sci. 2009, 85, 507–514. [Google Scholar] [CrossRef]
- Vähätalo, A.V.; Søndergaard, M. Carbon transfer from detrital leaves of eelgrass (Zostera marina) to bacteria. Aquat. Bot. 2002, 73, 265–273. [Google Scholar] [CrossRef]
- Jones, R.D.; Bugden, J.B.C.; Guerrero, M.A.J. Spatial and temporal variation of marine bacterioplankton in Florida Bay, USA. J. Coast. Res. 1998, 14, 1304. [Google Scholar]
- Delille, D.; Canon, C.; Windeshausen, F. Comparison of planktonic and benthic bacterial communities associated with a Mediterranean Posidonia seagrass system. Bot. Mar. 1996, 39, 234–249. [Google Scholar] [CrossRef]
- Buitenhuis, E.T.; Vogt, M.; Moriarty, R.; Bednaršek, N.; Doney, S.C.; Leblanc, K.; Le Quéré, C.; Luo, Y.-W.; O’Brien, C.; O’Brien, T.; et al. MAREDAT: Towards a world atlas of MARine ecosystem DATa. Earth Syst. Sci. Data 2013, 5, 227–239. [Google Scholar] [CrossRef]
- Grossman, A.R.; Mackey, K.R.M.; Bailey, S. A perspective on photosynthesis in the oligotrophic oceans: Hypotheses concerning alternate routes of electron flow. J. Phycol. 2010, 46, 629–634. [Google Scholar] [CrossRef]
- Li, L.; Jiang, Z.; Wu, Y.; He, J.; Fang, Y.; Lin, J.; Liu, S.; Huang, X. Interspecific differences in root exudation for three tropical seagrasses and sediment pore-water dissolved organic carbon beneath them. Mar. Pollut. Bull. 2021, 173, 113059. [Google Scholar] [CrossRef] [PubMed]
- Wit, R.; Troussellier, M.; Courties, C.; Buffan-Dubau, E.; Lemaire, E. Short-term interactions between phytoplankton and intertidal seagrass vegetation in a coastal lagoon (Bassin d’Arcachon, SW France). Hydrobiologia 2012, 699, 55–68. [Google Scholar] [CrossRef]
- Chen, P.W.Y.; Annabel, C.N.; Olivia, M.; Chou, W.C.; Chen, J.J.; Shiu, R.-F.; Mukhanov, V.; Natividad, M.; Shen, Y.-L.; Tsai, A.-Y. Investigation of the growth and mortality of bacteria and Synechococcus spp. in unvegetated and seagrass habitats. Water 2024, 16, 939. [Google Scholar] [CrossRef]
- Setiabudi, G.I.; Bengen, D.G.; Effendi, H.; Radjasa, O.K. The community structure of phytoplankton in seagrass ecosystem and its relationship with environmental characteristics. Biosaintifika 2016, 8, 257–269. [Google Scholar] [CrossRef]
- Deng, W.; Chen, S.; Chen, S.; Xing, B.; Chan, Z.; Zhang, Y.; Chen, B.; Chen, G. Impacts of eutrophication on microbial community structure in sediment, seawater, and phyllosphere of seagrass ecosystems. Front. Microbiol. 2024, 15, 1449545. [Google Scholar] [CrossRef]
- Luna, G.M.; Corinaldesi, C.; Dell’Anno, A.; Pusceddu, A.; Danovaro, R. Impact of aquaculture on benthic virus-prokaryote interactions in the Mediterranean Sea. Water Res. 2013, 47, 1156–1168. [Google Scholar] [CrossRef]
- Glud, R.N.; Middelboe, M. Virus and bacteria dynamics of a coastal sediment: Implications for benthic carbon cycling. Limnol. Oceanogr. 2004, 49, 2073–2081. [Google Scholar] [CrossRef]
- Wilhelm, S.W.; Suttle, C.A. Viruses and nutrient cycles in the sea. Bioscience 1999, 49, 781–788. [Google Scholar] [CrossRef]
- Aladro-Lubel, M.A.; Martinez-Murillo, M.E. Epibiotic protozoa (Ciliophora) on a community of Thalassia testudinum in a coral reef in Veracruz, Mexico. Aquat. Bot. 1999, 65, 239–254. [Google Scholar] [CrossRef]
- Peduzzi, P.; Herndl, G.J. Decomposition and significance of seagrass leaf litter (Cymodocea nodosa) for the microbial food web in coastal waters (Gulf of Trieste, northern Adriatic Sea). Mar. Ecol. Prog. Ser. 1991, 71, 163–174. [Google Scholar] [CrossRef]
- Jürgens, K.; Massana, R. Protistan grazing on marine bacterioplankton. In Microbial Ecology of the Oceans; Kirchman, D.L., Ed.; Wiley-Blackwell: Hoboken, NJ, USA, 2008; pp. 383–441. [Google Scholar]
- Eyre, B.D.; Ferguson, A.J.P. Benthic metabolism and nitrogen cycling in a subtropical east Australian estuary (Brunswick): Temporal variability and controlling factors. Limnol. Oceanogr. 2005, 50, 81–96. [Google Scholar] [CrossRef]
- Ferguson, A.; Eyre, B.; Gay, J. Benthic nutrient fluxes in euphotic sediments along shallow subtropical estuaries, northern New South Wales, Australia. Aquat. Microb. Ecol. 2004, 37, 219–235. [Google Scholar] [CrossRef]
- Brussaard, C.P. Optimization of procedures for counting viruses by flow cytometry. Appl. Environ. Microbiol. 2004, 70, 1506–1513. [Google Scholar] [CrossRef] [PubMed]
- Gasol, J.; Giorgio, P. Using flow cytometry for counting natural planktonic bacteria and understanding the structure of planktonic bacterial communities. Sci. Mar. 2000, 64, 197–224. [Google Scholar] [CrossRef]
- Christaki, U.; Courties, C.; Massana, R.; Catala, P.; Lebaron, P.; Gasol, J.M.; Zubkov, M.V. Optimized routine flow cytometric enumeration of heterotrophic flagellates using SYBR Green I. Limnol. Oceanogr. Methods 2011, 9, 329–339. [Google Scholar] [CrossRef]
- Hamisi, M.; Díez, B.; Lymio, T.; Ininbergs, K. Epiphytic cyanobacteria of the seagrass Cymodocea rotundata: Diversity, diel nifH expression and nitrogenase activity. Environ. Microbiol. Rep. 2013, 5, 367–376. [Google Scholar] [CrossRef]
- Short, F.; Carruthers, T.; Dennison, W.; Waycott, M. Global seagrass distribution and diversity: A bioregional model. J. Exp. Mar. Biol. Ecol. 2007, 350, 3–20. [Google Scholar] [CrossRef]
- Borowitzka, M.A.; Lavery, P.; Van Keulen, M. Epiphytes of seagrass. In Seagrass Biology; Springer: Berlin/Heidelberg, Germany, 2005; pp. 1–21. [Google Scholar]
- Vogel, M.A.; Mason, O.U.; Miller, T.E. Environmental stressors alter the composition of seagrass phyllosphere microbial communities. Clim. Change Ecol. 2021, 2, 100042. [Google Scholar] [CrossRef]
- Mishra, A.K.; Campus, B.; Blair, P.; Campus, B.; Blair, P. Epiphytic bacterial communities in seagrass meadows of oligotrophic waters of Andaman Sea. Open Access Libr. J. 2018, 5, 1. [Google Scholar] [CrossRef]
- Jiang, Y.F.; Ling, J.; Wang, Y.S.; Chen, B. Cultivation dependent analysis of the microbial diversity associated with the seagrass meadows in Xincun Bay, South China Sea. Ecotoxicology 2015, 24, 1540–1547. [Google Scholar] [CrossRef]
- Dietz, H.; Fischer, M.; Schmid, B. Demographic and genetic invasion history of a 9-year-old roadside population of Bunias orientalis L. (Brassicaceae). Oecologia 1999, 120, 225–234. [Google Scholar] [CrossRef] [PubMed]
- Alonso, M.C.; Jimenez-Gomez, F.; Rodriguez, J.; Borrego, J.J. Distribution of virus-like particles in an oligotrophic marine environment (Alboran Sea, Western Mediterranean). Microb. Ecol. 2001, 42, 407–415. [Google Scholar] [CrossRef] [PubMed]
- Wommack, K.E.; Colwell, R.R. Virioplankton: Viruses in aquatic ecosystems. Microbiol. Mol. Biol. Rev. 2000, 64, 69–114. [Google Scholar] [CrossRef]
- Laybourn-Parry, J.; Hofer, J.S.; Sommaruga, R. Viruses in the plankton of freshwater and saline Antarctic lakes. Freshw. Biol. 2001, 46, 1279–1287. [Google Scholar] [CrossRef]
- Cummins, S.P.; Roberts, D.E.; Zimmerman, K.D. Effects of the green macroalga Enteromorpha intestinalis on macrobenthic and seagrass assemblages in a shallow coastal estuary. Mar. Ecol. Prog. Ser. 2004, 266, 77–87. [Google Scholar] [CrossRef]
- Agawin, N.S.; Agustí, S. Abundance, frequency of dividing cells and growth rates of Synechococcus sp. (cyanobacteria) in the stratified Northwest Mediterranean Sea. J. Plankton Res. 1997, 19, 1599–1615. [Google Scholar] [CrossRef]
- Hamisi, M.I.; Lyimo, T.J.; Muruke, M.H.S. Cyanobacterial occurrence and diversity in seagrass meadows in coastal Tanzania. West. Indian Ocean J. Mar. Sci. 2004, 3, 113–122. [Google Scholar] [CrossRef]
- Weinbauer, M.G.; Bonilla-Findji, O.; Chan, A.M.; Dolan, J.R.; Short, S.M.; Šimek, K.; Wilhelm, S.W.; Suttle, C.A. Synechococcus growth in the ocean may depend on the lysis of heterotrophic bacteria. J. Plankton Res. 2011, 33, 1465–1476. [Google Scholar] [CrossRef]
- Zimmerman, A.E.; Howard-Varona, C.; Needham, D.M.; John, S.G.; Worden, A.Z.; Sullivan, M.B.; Waldbauer, J.R.; Coleman, M.L. Metabolic and biogeochemical consequences of viral infection in aquatic ecosystems. Nat. Rev. Microbiol. 2020, 18, 21–34. [Google Scholar] [CrossRef]
- Middelboe, M.; Jørgensen, N.O.G. Viral lysis of bacteria: An important source of dissolved amino acids and cell wall compounds. J. Mar. Biol. Assoc. UK 2006, 86, 605–612. [Google Scholar] [CrossRef]
- Goldman, J.C.; Caron, D.A.; Dennett, M.R. Regulation of gross growth efficiency and ammonium regeneration in bacteria by substrate C: N ratio. Limnol. Oceanogr. 1987, 32, 1239–1252. [Google Scholar] [CrossRef]
- Fouilland, E.; Tolosa, I.; Bonnet, D.; Bouvier, C.; Bouvier, T.; Bouvy, M.; Got, P.; Le Floc’h, E.; Mostajir, B.; Roques Richard Sempéré, C.; et al. Bacterial carbon dependence on freshly produced phytoplankton exudates under different nutrient availability and grazing pressure conditions in coastal marine waters. FEMS Microbiol. Ecol. 2013, 87, 757–769. [Google Scholar] [CrossRef] [PubMed]
- Shelford, E.J.; Middelboe, M.; Møller, E.F.; Suttle, C.A. Virus-driven nitrogen cycling enhances phytoplankton growth. Aquat. Microb. Ecol. 2012, 66, 41–46. [Google Scholar] [CrossRef]
- Agawin, N.S.; Duarte, C.M. Evidence of direct particle trapping by a tropical seagrass meadow. Estuaries 2002, 25, 1205–1209. [Google Scholar] [CrossRef]







Disclaimer/Publisher’s Note: The statements, opinions and data contained in all publications are solely those of the individual author(s) and contributor(s) and not of MDPI and/or the editor(s). MDPI and/or the editor(s) disclaim responsibility for any injury to people or property resulting from any ideas, methods, instructions or products referred to in the content. |
© 2025 by the authors. Licensee MDPI, Basel, Switzerland. This article is an open access article distributed under the terms and conditions of the Creative Commons Attribution (CC BY) license (https://creativecommons.org/licenses/by/4.0/).
Share and Cite
Olivia, M.; Chen, P.W.-Y.; Annabel, C.N.; Chou, W.-C.; Chen, J.-J.; Mukhanov, V.; Chao, C.-F.; Tsai, A.-Y. Dynamics of Microbial Abundance in Unvegetated and Seagrass Habitats: A Case Study. J. Mar. Sci. Eng. 2025, 13, 1048. https://doi.org/10.3390/jmse13061048
Olivia M, Chen PW-Y, Annabel CN, Chou W-C, Chen J-J, Mukhanov V, Chao C-F, Tsai A-Y. Dynamics of Microbial Abundance in Unvegetated and Seagrass Habitats: A Case Study. Journal of Marine Science and Engineering. 2025; 13(6):1048. https://doi.org/10.3390/jmse13061048
Chicago/Turabian StyleOlivia, Madeline, Patrichka Wei-Yi Chen, Clara Natalie Annabel, Wen-Chen Chou, Jian-Jhih Chen, Vladimir Mukhanov, Chien-Fu Chao, and An-Yi Tsai. 2025. "Dynamics of Microbial Abundance in Unvegetated and Seagrass Habitats: A Case Study" Journal of Marine Science and Engineering 13, no. 6: 1048. https://doi.org/10.3390/jmse13061048
APA StyleOlivia, M., Chen, P. W.-Y., Annabel, C. N., Chou, W.-C., Chen, J.-J., Mukhanov, V., Chao, C.-F., & Tsai, A.-Y. (2025). Dynamics of Microbial Abundance in Unvegetated and Seagrass Habitats: A Case Study. Journal of Marine Science and Engineering, 13(6), 1048. https://doi.org/10.3390/jmse13061048

