Next Article in Journal
Wind and Wave Climatic Characteristics and Extreme Parameters in the Bohai Sea
Previous Article in Journal
Numerical Simulation Study on Combustion Characteristics of a Low-Speed Marine Engine Using Biodiesel
 
 
Font Type:
Arial Georgia Verdana
Font Size:
Aa Aa Aa
Line Spacing:
Column Width:
Background:
Article

Research on Seepage Field and Stress Field of Deep-Buried Subsea Tunnel with Anisotropic Permeability of the Surrounding Rock

Key Laboratory for Damage Diagnosis of Engineering Structures of Hunan Province, College of Civil Engineering, Hunan University, Changsha 410082, China
*
Author to whom correspondence should be addressed.
J. Mar. Sci. Eng. 2025, 13(5), 825; https://doi.org/10.3390/jmse13050825
Submission received: 17 March 2025 / Revised: 17 April 2025 / Accepted: 21 April 2025 / Published: 22 April 2025
(This article belongs to the Section Ocean Engineering)

Abstract

Deep-buried subsea tunnels are often under high water pressure conditions, and the influence of the seepage field on the tunnel cannot be ignored. Existing studies generally assume that the surrounding rock exhibits permeability isotropy; this study developed a model of deep-buried subsea tunnel that considers the permeability anisotropy of surrounding rock and investigated the effects of permeability differences between the surrounding rock and lining structure on tunnel seepage flow and plastic zone extent. By employing coordinate transformation and conformal mapping methods, the hydraulic head and the seepage discharge for each region are determined for each section of the tunnel. Based on the analytical solution of the seepage field, the seepage force is treated as a body force, and using the Mohr–Coulomb criterion, an elastoplastic analytical solution for the lining and surrounding rock under anisotropic seepage is derived. Using the Shenzhen MaWan Sea-Crossing Passage as a case study, numerical simulations are conducted using Abaqus2021, and the results are compared with the analytical solution to verify the accuracy of the study. The research shows that the permeability anisotropy of surrounding rock increases the seepage discharge, and this effect becomes more significant with increasing burial depth. If the anisotropy is 10 times greater than its previous value, the tunnel seepage volume will increase by 35.6%. When the surrounding rock permeability is sufficiently large, the impact of permeability anisotropy on the seepage discharge is relatively weak, with the seepage discharge primarily dominated by the permeability of the lining. In the tunnel stress field, due to the significant difference in stiffness between the lining and the surrounding rock, the hoop stress in the lining is much larger than that in the surrounding rock, and there is a stress discontinuity at their interface. When the permeability of the elastic zone of the surrounding rock is 100 times greater than that of the plastic zone, the plastic radius of the tunnel will increase by 2 to 3 times compared to the previous value. Reducing the permeability of the plastic zone in the surrounding rock effectively limits the seepage body force acting on the lining, thereby enhancing the stability of the lining structure and reducing the risk of damage to the tunnel.

1. Introduction

Deep-buried subsea tunnels are typically exposed to high hydraulic head conditions, with the lining structure subjected to significant water pressure, which can easily result in safety issues such as lining cracking, seepage, and water or mud surges within the tunnel [1]. Historically, water surge accidents have occurred in the Seikan Undersea Tunnel and the English Channel Tunnel, causing huge economic losses. Therefore, obtaining the analytical solution for the seepage field in deep-buried subsea tunnels is crucial for the design of the lining structure and the enhancement of drainage facilities.
The study of tunnel stress and displacement fields is also a key focus in engineering analysis. Classical elastodynamics assumes that the surrounding rock of a tunnel behaves as a purely elastic medium, which does not accurately reflect the engineering reality of deep-buried subsea tunnels influenced by seepage. Under high water pressure conditions, seepage can expand the plastic zone of the surrounding rock, ultimately leading to tunnel deformation and potential instability. Therefore, considering the effects of seepage, selecting an appropriate elastoplastic model to analyze the stress field of the tunnel lining and surrounding rock is of significant engineering value [2].
In recent years, scholars have conducted extensive research on tunnel seepage fields [3,4,5]. Tani [6] analyzed the seepage field of a circular shallow water tunnel using the conformal mapping method. Wang et al. [7] derived a formula for calculating the seepage discharge and water pressure in the tunnel lining and grouting ring base. Ma et al. [8] applied the mirror method to derive an analytical solution for the tunnel seepage field incorporating both the grouting ring and the lining. Verruijt [9] used conformal mapping to transform the semi-infinite space domain into a circular ring domain and solved the problem of a semi-circular hole in infinite space. Guo et al. [10] derived an analytical solution for the steady-state seepage field of a shallowly buried bilinear parallel underwater tunnel using angle-preserving transformation and the Schwarz iteration method. Xu et al. [11] obtained an analytical solution for the seepage field of an anisotropic circular tunnel by employing coordinate transformation and angle-preserving mapping.
Numerous studies have also been conducted on solving the stress field of tunnels while considering the seepage effect [12,13,14,15,16,17,18]. Li et al. [19] derived expressions for the plastic stress and plastic radius of a tunnel by treating seepage force as a body force and applying the Mohr–Coulomb criterion. Zhang et al. [20] formulated an elastoplastic analytical solution for the interaction between the surrounding rock and the lining structure under seepage influence based on the Mohr–Coulomb criterion and established the equation describing the relationship between the extent of the plastic zone and the support reaction force. He et al. [21] developed an elastoplastic analytical solution for the interaction between the surrounding rock and the lining structure under seepage conditions using the Drucker–Prager criterion and analyzed the tunnel’s loading conditions at different stages. Ouyang et al. [22] obtained a numerical solution for the stress field distribution in the elastic–plastic zone of the surrounding rock under seepage influence based on the Hoek–Brown criterion, accounting for the nonlinearity of the surrounding rock material. In addition, the effect of permeability on the rock stress field is increasingly being emphasized in other fields [23].
Soils in natural environments are often layered or lamellar due to sedimentation or stress loading, resulting in differences in horizontal and vertical permeability. The degree of permeability anisotropy varies across different soil types. For stronger soils with good permeability, the anisotropy is not very pronounced. However, for soils with lower strength and poor permeability, which are strongly influenced by geological processes and soil self-weight, the permeability anisotropy ratio is often large. Kenny et al. [24] determined the horizontal and vertical permeability of soils at a site in Ontario, Canada, and found that their ratio ranged from 1 to 5. Mitchell et al. [25] found that due to the layering of natural soil deposits, permeability anisotropy is common, with the ratio of horizontal to vertical permeability ranging from 5 to 15. Ni et al. [26] conducted experiments on the anisotropic consolidation behavior of Shanghai clay, and the results indicated that the ratio of horizontal to vertical permeability was approximately 10 to 20.
At present, most domestic and international studies on the seepage field of submarine tunnels consider the surrounding rock as a permeability isotropic medium and employ the equivalent continuous medium seepage model for related research. However, the study of permeability anisotropy in the surrounding rock remains incomplete, which affects the accuracy of engineering calculations for the seepage field in deep-buried subsea tunnels [27]. In addition, the permeability of the surrounding rock and lining structure is a crucial factor influencing the stability of deeply buried submarine tunnels. Previous studies on tunnel stress fields have primarily focused on the stress distribution in the surrounding rock and its interaction with the lining. However, research remains limited on how permeability differences between the surrounding rock and lining structure influence the seepage discharge and the extent of the plastic zone in tunnels, particularly when considering the role of anisotropic seepage.
Although numerical simulation software like Abaqus is widely used in engineering practice, deriving analytical solutions still holds significant theoretical and practical value. Specifically, analytical solutions provide precise mathematical expressions that reveal the underlying physical laws of the problem and the intrinsic relationships between variables. While numerical simulation tools are capable of solving complex engineering problems, they rely on approximations and may suffer from numerical errors, convergence issues, or instability. In contrast, analytical solutions generate results directly through formulas, thereby significantly reducing computational effort. Furthermore, analytical solutions are highly adaptable to changes in boundary conditions or material parameters, whereas numerical simulations usually require recalibration of parameters and boundary conditions, making the process more cumbersome. In conclusion, the derivation of analytical solutions is essential, as it complements numerical simulations and provides a more comprehensive and detailed analysis.
Therefore, based on the Mohr–Coulomb criterion and considering the anisotropy of surrounding rock permeability, this paper investigates the seawater seepage field and the stress field of the tunnel’s surrounding rock and lining using coordinate transformation and conformal mapping. This study aimed to provide a simpler and more accurate method for determining the hydraulic head, the seepage discharge, and elastoplastic analytical solution for the tunnel at each interface, and to examine the impact of the permeability of the surrounding rock and lining structure on both the seepage discharge and the extent of the tunnel’s plastic zone. This study also aimed to enhance construction safety, optimize tunnel design, and provide theoretical reference for improving cross-sea tunnel systems and establishing relevant codes and standards.

2. Computational Models and Basic Assumptions

In this paper, a deep-buried subsea circular tunnel with anisotropic permeability in the surrounding rock was selected as the research object, and a corresponding computational model is established, as shown in Figure 1. The cross-section of the tunnel is circular, with the vertical distance from the sea level to the tunnel center denoted as h 0 . The inner and outer radii of the tunnel lining are represented by r a and r l , the radius of the plastic zone of the surrounding rock being r p , respectively. The radius of the elastic zone in the surrounding rock is r 0 = δ r a , which is determined based on actual safety requirements [28]. Since the radii of the plastic zone and the lining are significantly smaller than those of the elastic zone, anisotropy exerts a lesser effect on the hydraulic head. The horizontal and vertical permeability coefficients of the surrounding rock are denoted as k x and k y and are considered constants. p 0 is the original ground stress, p a is the pressure inside the tunnel, and h a is the internal hydraulic head. p l is the radial pressure at the interface between the surrounding rock and the lining, and h l is the corresponding hydraulic head. p p is the radial pressure at the elastic–plastic interface, and h p is the corresponding hydraulic head.
Based on the above conditions, the following assumptions are adopted to simplify the calculation for the model [29,30,31,32,33]: (1) The surrounding rock is an ideal elastic–plastic medium subjected to uniform ground stress; (2) seawater is incompressible, seepage is in a steady state, and follows Darcy’s law; (3) the lining is in close contact with the surrounding rock, and the tunnel is simplified as a plane strain problem for study; (4) the lining structure is modeled as a linear-elastic material, while the surrounding rock is treated as an elastic–plastic medium; (5) the elastic zone of the surrounding rock exhibits permeability anisotropy, while the plastic zone of the surrounding rock and the lining exhibit permeability isotropy.

3. Research Content

Since the elastic zone of the surrounding rock exhibits permeability anisotropy and the plastic zone of the surrounding rock and the lining exhibit permeability isotropy, the seepage equations are expressed in different forms for each area. Therefore, the three areas are calculated separately and subsequently solved together using the principle of equal seepage [11].

3.1. Coordinate Transformation of Area 1

The seepage equation for area 1, which is permeably anisotropic, is as follows: [9].
k x 2 ϕ r x 2 + k y 2 ϕ r y 2 = 0
In the formula, ϕ r is the hydraulic head in the elastic zone of the surrounding rock, k x is the horizontal permeability coefficient, and k y is the vertical permeability coefficient.
In order to solve the seepage field in area 1 [34], both sides are divided by k y , which can be obtained as follows:
2 ϕ r k y / k x x 2 + 2 ϕ r y 2 = 0
Introduction of permeability coefficient ratio n = k y / k x ,
x ' = y + h 0 y ' = n x
where x ' and y ' are the horizontal and vertical coordinates of the transformed G-plane.
Therefore, the circular tunnel in the Z-plane becomes an elliptical tunnel in the G-plane, as shown in Figure 2. a and b are the semi-major and semi-minor axes of the ellipse in the G-plane, respectively. The equation of the elliptical tunnel is as follows:
x ' 2 r p 2 + y ' 2 n r p 2 = 1
Its seepage equation in the G-plane can be obtained as follows:
2 ϕ r x ' 2 + 2 ϕ r y ' 2 = 0
Considering the flow rate of the seepage field in different coordinate systems, it can be seen that the equivalent permeability coefficient of the transformed seepage field is k e .
k e = k x k y
Through coordinate transformation, the form of the seepage equation in the G-plane is the same as that in the isotropic seepage field, and the problem is transformed into the study of the seepage field in the G-plane for an isotropic medium.

3.2. Conformal Mapping of Area 1

The seepage field in the elastic zone of the surrounding rock can be obtained by solving the model area 1. As shown in Figure 3, the solution of the seepage field of an isotropic medium in the G-plane can be equated to the steady seepage problem in an undersea tunnel. The conformal mapping equation is as follows [32]:
s = u + i v = δ 1 ( G ) = 1 4 m R 2 × ( m + 1 ) R G + ( m 1 ) R G 2 4 m R 2
s 2 = u 2 + i v 2 = δ 2 ( s ) = r s + r 2 s 2 1
X = v 2 Y = u 2 h e
where
G = x ' + i y '
R = a + b 2
m = a b a + b
h e denotes the equivalent height from the sea level to the center of the tunnel after mapping by the complex functions δ 1 and δ 2 .
Using Equations (7)–(9), the original seepage area consisting of the boundary between the surrounding rock and the lining can be mapped as a circle, and the ground surface remains unchanged.
Substituting h 0 into Equations (7)–(9), it can be obtained as follows:
h e = h 0 + a 1 a 3 + a 2 2 h 0 a 3 2 r p 2 + a 2 a 3 a 3 2 r p 2 + a 2 a 3 / ( 1 a 3 )
where
a 1 = h 0 2 + r p 2
a 2 = h 0 2 r p 2
a 3 = k y / k x 1
By applying the conformal transformation, the problem is transformed into an isotropic semi-infinite domain circular orifice classical problem, which is mapped into a circular domain using the mapping function [9]. The conformal mapping function is shown as follows:
z = ω ( ξ ) = i A 1 + ξ 1 ξ
where
A = h e 1 α 2 1 + α 2
α = h e r p h e r p 2 1
Through the complex function ω , the plane consisting of the tunnel surface boundary, the outer boundary of the plastic zone, and the surrounding rock is mapped into a circular domain with an outer radius of the ξ -plane of length 1 and an inner radius of length α , as shown in Figure 4.
The ξ -plane satisfies the Laplace equation, which can be expressed as the following equation:
2 ϕ r ζ 2 + 2 ϕ r η 2 = 0
The generalized solution of this equation in polar coordinates can be obtained as follows:
ϕ r = A 1 + A 2 ln φ + n = 1 ( A 3 ρ n + A 4 ρ n ) cos n θ
where different values of A are coefficients to be determined and can be solved according to the boundary conditions.
The boundary conditions are as follows:
ϕ ( φ = 1 ) = h 0 ϕ ( φ = α ) = h p
Substituting Equation (22) into Equation (21) can obtain the following:
A 1 = h 0 A 2 = h p h 0 ln α A 3 = A 4 = 0
In summary, the hydraulic head in the elastic zone of the surrounding rock can be obtained as follows:
ϕ r = h 0 + ln φ ln α ( h p h 0 )
The seepage discharge in area 1 can be integrated from the following equation:
Q r = k e 0 2 π ϕ r φ φ d β = 2 π k e ln α ( h p h 0 )

3.3. Seepage Field in Areas 2 and 3

The seepage in the plastic zone of the surrounding rock and the lining structure is dominated by the radial direction, which can be simplified to axisymmetric steady seepage [33]. In this case, the seepage flow equations are as follows:
2 ϕ l ρ 2 + 1 ρ ϕ l ρ = 0
2 ϕ p ρ 2 + 1 ρ ϕ p ρ = 0
In the formula, ϕ l is the hydraulic head in the plastic zone of the surrounding rock, and ϕ p is the hydraulic head in the lining structure.
The boundary conditions are as follows:
ϕ a ( ρ = r a ) = h a ϕ l ( ρ = r l ) = h l ϕ l ( ρ = r p ) = h p
According to the above equations, Equations (26) and (27) can be solved, and the expression of hydraulic head between the plastic zone of surrounding rock and lining structure can be written as follows:
ϕ l = h a ln r l h l ln r a ln ( r l / r a ) + h l h a ln ( r l / r a ) ln ρ
ϕ p = h l ln r p h p ln r l ln ( r p / r l ) + h p h l ln ( r p / r l ) ln ρ
The seepage discharge in the plastic zone of the surrounding rock and the lining structure can be obtained by integrating the above equation as follows:
Q l = k l 0 2 π ϕ l φ φ d β = 2 π k l ln ( r l / r a ) ( h l h a )
Q p = k p 0 2 π ϕ p φ φ d β = 2 π k p ln ( r p / r l ) ( h p h l )

3.4. Tunnel Seepage

According to the principle of continuous and equal interlayer seepage, the seepage in the elastic zone of the tunnel perimeter rock, the plastic zone of the perimeter rock, and the lining structure are equal [34], so Q 0 = Q r = Q p = Q l . By associating several equations, expressions for the hydraulic head in each region of the tunnel can be derived as follows:
h p = h 0 k e k p ln ( r p r l ) + k e k l ln ( r l r a ) h a ln α k e k p ln ( r p / r l ) + k e k l ln ( r l / r a ) ln α
h l = h 0 k e k l ln ( r l r a ) + h a k e k p ln ( r p r l ) ln α k e k p ln ( r p / r l ) + k e k l ln ( r l / r a ) ln α

4. Tunnel Stress Field Under Seepage

In engineering construction, subsequent construction typically begins only when the surrounding rock of the tunnel is stable and free from collapse. Therefore, the modulus of elasticity of the lining structure is denoted as E l , and its Poisson’s ratio is μ l ; the modulus of elasticity of the tunnel’s surrounding rock is E s , its Poisson’s ratio is μ s , the friction angle is φ , and the cohesion of the surrounding rock is c .

4.1. Fundamental Equation

There is an internal and external hydraulic head difference between the modeled interfaces, and the seepage force is expressed as a body force [19], which is calculated based on the plane strain assumption as
f ρ = γ ω d ( ξ H ) d ρ
where γ ω is the specific weight of the water, and ξ is the equivalent surface porosity of the fractured mass.
The body force is applied to the tunnel stress field, and the stress balance equation in the lining structure is
d σ ρ d ρ + σ ρ σ θ ρ + f ρ = 0
where σ ρ and σ θ are the radial positive stress and circumferential positive stress, respectively.

4.2. Stress Field of the Lining Structure

The stress balance equation for the lining structure is
d σ ρ d ρ + σ ρ σ θ ρ γ ω ξ ( h l h a ) ρ ln ( r l / r a ) = 0
The boundary conditions are as follows:
( σ ρ ) ρ = r a = p a ( σ ρ ) ρ = r l = p l
Associating the two equations and combining them with the solution method of a plane strain problem [24], the stresses and radial displacements in the lining structure can be obtained as follows:
σ ρ l = E l ( 1 + μ l ) ( 1 2 μ l ) G 1 r l 2 G 2 r a 2 r l 2 r a 2 + ( G 2 G 1 ) r l 2 r a 2 r l 2 r a 2 ρ 2 γ ω ξ ( h l h a ) ln ρ + 1 μ l 2 1 μ l ln r l / r a
σ θ l = E l ( 1 + μ l ) ( 1 2 μ l ) G 1 r l 2 G 2 r a 2 r l 2 r a 2 ( G 2 G 1 ) r l 2 r a 2 r l 2 r a 2 ρ 2 γ ω ξ ( h l h a ) ln ρ + μ l μ l 2 2 1 μ l 2 ln r l / r a
u l = G 1 r l 2 G 2 r a 2 ρ r l 2 r a 2 + G 1 G 2 r l 2 r a 2 1 2 μ l r l 2 r a 2 ρ 1 + μ l 1 2 μ l γ w ξ h a h l ρ ln ρ 2 E l 1 μ l ln r l / r a
The different G values in the formula are constants as follows:
G 1 = 1 + μ l 1 2 μ l E l γ w ξ h a h l ln r l + 1 μ l 2 1 μ l ln r l / r a P l
G 2 = 1 + μ l 1 2 μ l E l γ w ξ h a h l ln r a + 1 μ l 2 1 μ l ln r l / r a P a

4.3. Stress Field of the Surrounding Rock Structure

The surrounding rock with a radius in the annulus between r l and r p enters a plastic state, and the plastic zone of the enclosing rock satisfies the Mohr–Coulomb criterion [20]
1 + sin φ σ ρ p 1 sin φ σ θ p = 2 c cos φ
The boundary conditions are as follows:
( σ ρ ) ρ = r l = p l ( σ ρ ) ρ = r p = p p
Substituting Equations (44) and (45) into Equation (36), the circumferential and radial stresses in the plastic zone of the surrounding rock are, respectively, expressed as
σ ρ p = J ( J + p l ) ( ρ r l ) 2 sin φ 1 sin φ σ θ p = 1 + sin φ 1 sin φ σ ρ p 2 c cos φ 1 sin φ
where
J = 1 sin φ 2 sin φ γ ω ξ ( h l h p ) ln ( r p / r l ) + c cot φ
Its radial displacement is
u p = ( 1 μ s 2 ) ρ E s ( c cos φ J sin φ ) ρ 2 r p 2 1 μ s 1 sin φ ρ 2 + 2 sin φ ( P l + J ) 1 sin φ ρ r l 2 sin φ 1 sin φ r p r l 2 sin φ 1 sin φ r p ρ 2 + 1 2 μ s 1 μ s P 0 μ s 1 μ s σ ρ p + σ θ p
Prior to the start of lining construction, there is a radial over-displacement of the lining in contact with the surrounding rock λ μ p 0 ( 0 < μ < 1 ) . At this time, ρ = r l and P l = 0 .
The area of the surrounding rock with a circular radius between r p and r 0 is the elastic region. This part satisfies the stress equilibrium equation [19]. It can be written as follows:
d σ ρ d ρ + σ ρ σ θ ρ γ ω ξ ( h 0 h p ) ρ ln ( r 0 / r p ) = 0
The boundary conditions are as follows:
( σ ρ ) ρ = r 0 = P 0 ( σ ρ ) ρ = r p = P p
Combining Equations (49) and (50) can obtain the following:
σ ρ s = E s ( 1 + μ s ) ( 1 2 μ s ) X 1 r 0 2 X 2 r p 2 r 0 2 r p 2 + ( X 2 X 1 ) r 0 2 r p 2 r 0 2 r p 2 ρ 2 γ ω ξ ( h 0 h p ) ln ρ + 1 μ s 2 1 μ s ln r 0 / r p
σ θ s = E s ( 1 + μ s ) ( 1 2 μ s ) X 1 r 0 2 X 2 r p 2 r 0 2 r p 2 ( X 2 X 1 ) r 0 2 r p 2 r 0 2 r p 2 ρ 2 γ ω ξ ( h 0 h p ) ln ρ + μ s μ s 2 2 1 μ s 2 ln r 0 / r p
u s = X 1 r 0 2 X 2 r p 2 ρ r 0 2 r p 2 + X 1 X 2 r 0 2 r p 2 1 2 μ s r 0 2 r p 2 ρ 1 + μ s 1 2 μ s γ w ξ h p h 0 ρ ln ρ 2 E s 1 μ s ln r 0 / r p + 1 + μ s 1 2 μ s P 0 ρ E s
The different X values in the formula are constants as follows:
X 1 = 1 + μ s 1 2 μ s E s γ w ξ h p h 0 ln r 0 + 1 μ s 2 1 μ s ln r 0 r p P 0
X 2 = 1 + μ s 1 2 μ s E s γ w ξ h p h 0 ln r p + 1 μ s 2 1 μ s ln r 0 / r p P p

4.4. Solving the Elastoplastic Analytical Solution

The elastoplastic analytical solution can be derived from the continuity conditions of the displacement and stress at the interface between the tunnel lining and the surrounding rock, as well as the elastic–plastic region in the surrounding rock.
σ ρ p = σ ρ s ρ = r p
u p = u s ρ = r p
u l = u p λ u p 0 ρ = r l
Combining the above equations, it can be determined that r p .
It is important to note that all non-homogeneous materials in natural environments exhibit some degree of anisotropy. In this study, only the anisotropy of the permeability of the surrounding rock in the subsea tunnel was considered, and it was simplified to anisotropy in the horizontal and vertical directions, which introduced certain limitations. Furthermore, the extent to which seepage affects the analytical solution of the tunnel stress field depends on the yield criterion used. In this study, the Mohr–Coulomb criterion was adopted as the elastic–plastic constitutive relationship for the surrounding rock, and the influence of other yield criteria will be explored in the future.

5. Engineering Example Analysis

The MaWan Sea-Crossing Passage is located on the western side of the Nanshan Peninsula and the eastern side of the Zhujiang River Estuary in Shenzhen, China [35]. The project consists of marine and land sections, shown in blue and red in Figure 5, respectively, with a total length of approximately 8.05 km, of which the tunnel portion measures 6246.8 m. The MaWan Tunnel is the first large-diameter cross-sea tunnel in Shenzhen constructed using shield tunneling technology.
This study was based on the Shenzhen MaWan Sea-Crossing Passage, which is characterized by a substantial excavation depth, high external water pressure, and complex geological conditions in the crossing area. The influence of the seepage field on the tunnel must not be overlooked. This chapter considers the permeability anisotropy of the surrounding rock as a key factor and conducts a comprehensive analysis of various factors affecting the seepage discharge. Furthermore, it investigates the impact of permeability differences between the surrounding rock and the lining structure on the extent of the plastic zone and explores how the plastic zone influences the distribution of seepage force.

5.1. Engineering Modeling Background

To verify the reliability of the theoretical method presented in this paper, Abaqus2021 is used to establish a finite element model for calculating the numerical solution. The model dimensions are 100 × 100 m, with a circular tunnel located at the center. The finite element mesh is subdivided into 5664 cells, as shown in Figure 6, with refined mesh near the tunnel. The upper boundary of the model is free, while x-direction constraints are applied to the left and right boundaries and y-direction constraints are applied to the lower boundary.
Taking Shenzhen MaWan Sea-Crossing Passage as the background [25], the parameters are selected according to the drawings: the inner radius of the tunnel r a = 4.7   m , the outer radius r l = 5.0   m , the equivalent surface porosity of the fractured mass ξ = 1 [36], the original ground stress P 0 = 3   M P a , the pressure inside the tunnel P a = 0   M P a , and the internal hydraulic head h a = 0   m .
The modulus of elasticity of the lining E l = 10   G P a , Poisson’s ratio μ l = 0.20 ; the modulus of elasticity of the surrounding rock E s = 1.0   G P a , Poisson’s ratio μ s = 0.35 , cohesion c = 100   K P a , and friction angle φ = 40 ° .
The permeability coefficient of the lining k l = 1.0 × 10 7   m / s , the permeability coefficient of the plastic zone of the surrounding rock k p = 1.0 × 10 6   m / s , and the permeability coefficient of the elastic zone of the surrounding rock k x = 2.0 × 10 6   m / s and k y = 1.0 × 10 6   m / s .

5.2. Factors Affecting Seepage in Tunnels

Figure 7 shows the influence of varying anisotropic permeability in the surrounding rock on the seepage discharge within the tunnel. The results indicate that the relative errors between the analytical and numerical solutions of tunnel seepage are small, and the overall trends remain consistent. The parameter s = k x / k y is introduced to represent the ratio of the transverse permeability coefficient to the longitudinal permeability coefficient in the elastic zone of the surrounding rock. A larger s indicates a higher permeability anisotropy of the surrounding rock. As the permeability anisotropy increases, the overall permeability of the tunnel also increases; however, the rate of growth gradually slows down.
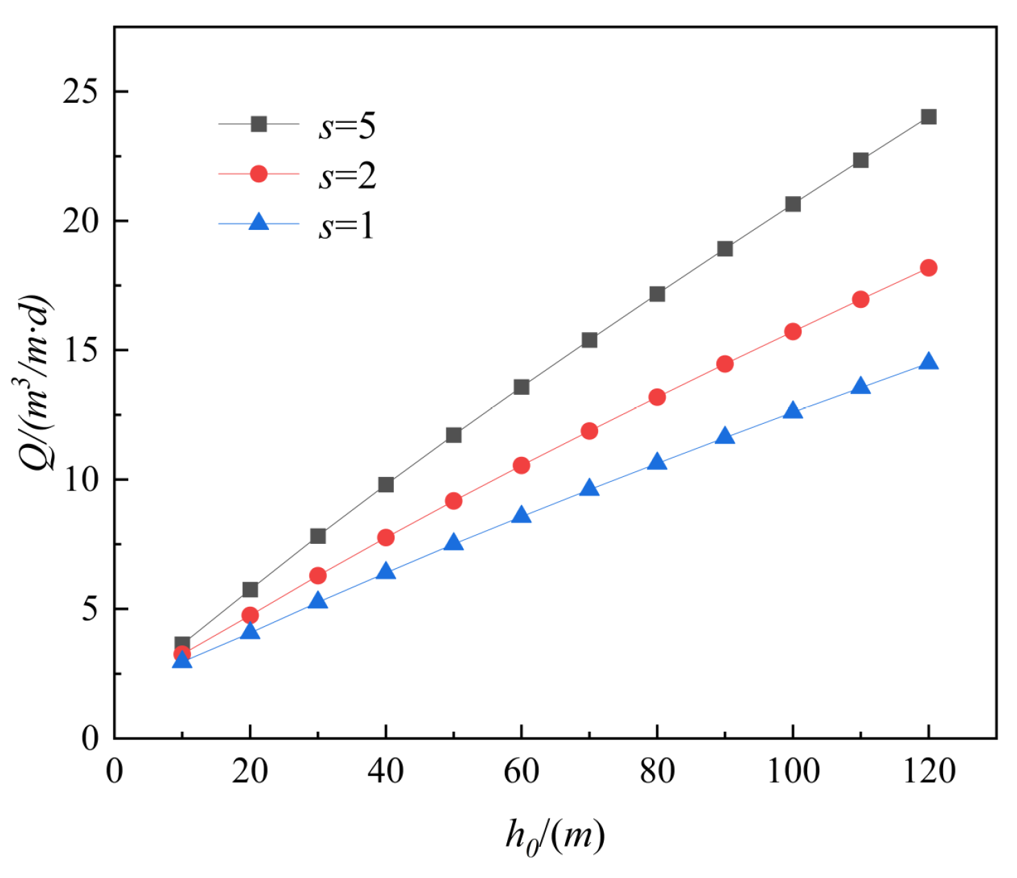
Figure 8 illustrates the variation in the seepage discharge at different burial depths. It can be observed that as the burial depth increases, the seepage discharge of the tunnel also gradually increases, and the influence of the permeability anisotropy of the surrounding rock on the seepage discharge becomes more significant. Therefore, in the study and analysis of deep-buried subsea tunnel, it is crucial to consider the impact of the surrounding rock’s permeability anisotropy on the seepage discharge. When s = 1 , the tunnel is degenerated to be affected by anisotropic seepage, and the results of this study correspond to the analytical solution for the isotropic seepage field proposed in Ref. [1].
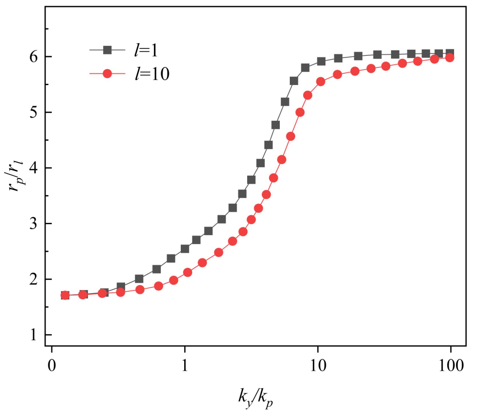
Additionally, the seepage discharge of the tunnel is influenced to some extent by the permeability of the lining structure. To investigate this effect, the parameter l = k y / k l is introduced, which represents the permeability difference between the surrounding rock and the tunnel lining.
Figure 9 illustrates the influence of the permeability of the surrounding rock and the lining structure on the seepage discharge. The results show that the seepage discharge decreases rapidly with the increase in l , but the rate of decrease slows down gradually. Additionally, for the same value of l , the seepage discharge varies with different values of s , further confirming the impact of the permeability anisotropy of the surrounding rock on the seepage discharge. Specifically, the smaller the value of l , the more significant the effect of s on the seepage discharge. However, when l is large enough, the effect of s on the seepage discharge diminishes. In other words, when the permeability of the surrounding rock is sufficiently high, the seepage discharge in the tunnel is primarily determined by the permeability of the lining.

5.3. Stress Field Analysis of Surrounding Rock and Lining Structure

Figure 10 shows the stress distribution of the tunnel under the seepage effect, and the results from the analytical solution are generally consistent with those from the numerical solution.
Due to the significant difference in stiffness between the lining and the surrounding rock, the cyclic stress in the lining is much larger than that in the surrounding rock, with a sudden change in stress at their junction. In the tunnel structure, the circumferential stress gradually increases in the plastic zone and decreases in the elastic zone. In contrast, the radial stresses in the tunnel consistently exhibit a nonlinear increase but remain smaller than the circumferential stresses. This curve follows the same trend as the results calculated using the Drucker–Prager criterion in Ref. [25].
Let m = k y / k p , which represents the permeability difference between the elastic and plastic regions of the surrounding rock and can also reflect the permeability difference between the modeled isotropic and anisotropic permeable media.
Figure 11 illustrates the influence of the permeability of the surrounding rock and the lining structure on the plastic radius. It can be observed that the extent of the plastic zone gradually increases as the permeability of the surrounding rock’s plastic zone decreases. This is because when the permeability of the surrounding rock’s plastic zone is significantly lower than that of the elastic zone, the water-blocking capacity of the plastic zone is stronger relative to the elastic zone. As a result, the plastic zone is more significantly influenced by the seepage effect, leading to a relatively larger extent. Furthermore, when the permeability of the surrounding rock’s plastic zone is constant, a higher permeability of the lining structure leads to a larger plastic zone.
Figure 12 shows that when the permeability of the elastic–plastic region of the tunnel is consistent, it is almost unaffected by the change in plastic radius. When m = 10 , the plastic zone of the surrounding rock can effectively reduce the seepage pressure acting on the lining. However, once the plastic zone expands to a specific range, its limiting effect on seepage pressure will gradually stabilize.
When the permeability of the plastic zone is low compared with the elastic zone, its function is similar to that of the grouting zone in tunnels. Appropriately reducing the permeability or expanding the range of the plastic zone can effectively reduce the seepage pressure and thus optimize the waterproofing performance of the tunnel.

6. Conclusions

In this study, the anisotropy of surrounding rock permeability was considered, and a model of a deep-buried subsea tunnel, incorporating the lining, surrounding rock, and seawater, was developed. By employing coordinate transformation, conformal mapping, and zonal calculation methods, the hydraulic head and seepage flow within different regions of the tunnel were determined. Using the derived analytical solution of the seepage field, the elastoplastic analytical solution for the surrounding rock and lining structure under the influence of seepage was obtained, based on the Mohr–Coulomb criterion, where seepage force was treated as a body force. This solution was then compared with the numerical results for the Shenzhen MaWan Sea-Crossing Passage. Based on this, this paper examined the factors influencing tunnel seepage, analyzed the effect of the permeability difference between the tunnel’s surrounding rock and lining structure on the extent of the plastic zone, and explored how the size of the plastic zone impacts the seepage pressure. The conclusions are as follows:
(1) The permeability anisotropy of the tunnel surrounding rock increases the seepage discharge, and this effect becomes more pronounced with increasing burial depth. Failure to consider the permeability anisotropy of the surrounding rock in design calculations may lead to significant errors, potentially affecting the normal construction and operation of the tunnel.
(2) The seepage discharge is inversely related to the permeability of the lining. As the permeability of the lining increases, the seepage discharge decreases rapidly at first, then gradually stabilizes. The effect of surrounding rock permeability anisotropy on seepage flow is mitigated to some extent by the lining. When the permeability of the lining is low, the influence of surrounding rock permeability anisotropy on seepage flow is relatively limited. Therefore, by adjusting the permeability of the lining reasonably during construction, the seepage discharge can be effectively reduced.
(3) Under the influence of seepage, the circumferential stress in the tunnel structure decreases with increasing radius, then increases, and finally decreases again, while the radial stress continuously increases nonlinearly, though it remains lower than the circumferential stress. Due to the significant stiffness difference between the lining and surrounding rock, the cyclic stress in the lining is much higher than that in the surrounding rock, with a sudden change in stress occurring at their interface.
(4) The extent of the surrounding rock’s plastic zone increases as its permeability decreases. Although reducing the permeability within the plastic zone leads to its expansion, this measure can effectively limit the further development of the plastic zone in the long term, stabilizing the shape of the surrounding rock’s plastic zone and preventing its uncontrolled expansion, which could negatively impact the tunnel structure’s stability. When the permeability of the surrounding rock’s plastic zone remains constant, the greater the permeability of the lining structure, the larger the plastic zone’s extent.
(5) Expanding the surrounding rock’s plastic zone or reducing its permeability can effectively lower the seepage pressure, thus reducing the potential threat of seawater to the tunnel structure. When the plastic zone reaches a certain thickness, its ability to limit seepage pressure becomes constrained. In practical applications, the surrounding rock’s plastic zone can be grouted to reduce its permeability, which effectively reduces the seepage force acting on the lining, enhances the stability of the lining structure, and reduces the risk of structural damage caused by seepage.

Author Contributions

Conceptualization, Y.Y. and B.J.; methodology, B.J.; software, Y.Y.; validation, Y.Y.; formal analysis, Y.Y.; investigation, Y.Y.; resources, B.J.; data curation, Y.Y.; writing—original draft preparation, Y.Y.; writing—review and editing, B.J.; visualization, Y.Y.; supervision, B.J.; project administration, B.J.; funding acquisition, B.J. All authors have read and agreed to the published version of the manuscript.

Funding

This research received no external funding.

Data Availability Statement

The original contributions presented in this study are included in the article. Further inquiries can be directed to the corresponding author.

Conflicts of Interest

The authors declare no conflicts of interest.

References

  1. Pan, Y.H.; Luo, Q.Q.; Zhou, B.; Chen, J.P. Analytical study on seepage field of deep tunnel with grouting circle in half plane. J. Zhejiang Univ. 2018, 52, 1114–1122. [Google Scholar]
  2. Zhang, D.L. Essential issues and their research progress in tunnel and underground engineering. Chin. J. Theor. Appl. Mech. 2017, 49, 3–21. [Google Scholar]
  3. Yu, J.; Zhang, Y.; Li, D.; Zheng, J.; Zhang, W.J. Analytical study of steady state seepage field in tunnels with localized water leakage under the effect of grouting circle. Tunn. Undergr. Space Technol. 2024, 150, 105854. [Google Scholar] [CrossRef]
  4. Zhang, B.Q. Analytical Solution for Seepage Field of Twin-parallel Tunnels in Semi-infinite Plane. J. China Railw. Soc. 2017, 39, 125–131. [Google Scholar]
  5. Chen, Q.Z.; Liang, L.J.; Zou, B.P.; Xu, C.J.; Kong, B.; Ma, J.Y. Analytical solutions of steady a seepage field for deep-buried tunnel with grouting ring considering anisotropic flow. J. Mar. Sci. Eng. 2022, 10, 1861. [Google Scholar] [CrossRef]
  6. El Tani, M. Circular tunnel in a semi-infinite aquifer. Tunn. Undergr. Space Technol. 2003, 18, 49–55. [Google Scholar] [CrossRef]
  7. Wang, X.Y.; Wang, M.S.; Zhang, M. A Simple Method to Calculate Tunnel Discharge and External Water Pressure on Lining. J. North. Jiaotong Univ. 2004, 28, 8–10. [Google Scholar]
  8. Ma, S.K.; Chen, C.J.; Duan, Z.B.; Liu, Y. Analytical solution and verification on seepage field of tunnel in finite aquifer based on image method. Eng. Mech. 2023, 40, 172–181. [Google Scholar]
  9. Verruijt, A. A complex variable solution for a deforming circular tunnel in an elastic half plane. Int. J. Numer. Anal. Methods Geomech. 1997, 21, 77–89. [Google Scholar] [CrossRef]
  10. Guo, Y.F.; Wang, H.N.; Jiang, M.J. Analytical solutions of seepage field for underwater shallow-buried parallel twin tunnels. Chin. J. Geotech. Eng. 2021, 43, 1088–1096. [Google Scholar]
  11. Xu, C.J.; Liang, L.J.; Ding, W.X. Analytical solution on steady seepage field of deep buried circular tunnel after considering anisotropic flow. J. Shanghai Jiaotong Univ. 2018, 52, 1565–1570. [Google Scholar]
  12. Hou, Y.J.; Zhang, D.L.; Li, R.; Chen, X.; Qi, W.W. Calculation method for surrounding rock pressure of deeply buried triple-arch tunnel. Chin. J. Theor. Appl. Mech. 2024, 56, 3213–3226. [Google Scholar]
  13. Ma, W.Z.; Zhou, X.M.; Song, Y.X.; Zhang, S.; Wu, T.; Zhang, J.W.; Liu, Y. Semi-analytical Study for Cylindrical Tunnels Reinforced by Bolt-Grouting in Elastic–Brittle–Plastic Surrounding Rock Considering Nonlinear Seepage. Rock Mech. Rock Eng. 2024, 57, 3281–3314. [Google Scholar] [CrossRef]
  14. Jia, J.; Chen, Y.; Luo, H.; Ma, G. Seepage stability analysis of a deep-buried tunnel in fractured rocks based on a non-Darcy hydro-mechanical coupled method. Tunn. Undergr. Space Technol. 2023, 142, 105393. [Google Scholar] [CrossRef]
  15. Jin, B.; Tian, J.T.; Fang, Q.H. Explicit solution of stress complex potential function for surrounding rock of shallow subsea tunnel. Chin. J. Theor. Appl. Mech. 2023, 55, 1505–1516. [Google Scholar]
  16. He, C.; Jia, Y.P.; Zhou, S.H. Three-dimensional analytical method for calculating vibrations of a coupled tunnel-soil-fluid system. Chin. J. Theor. Appl. Mech. 2023, 55, 1329–1341. [Google Scholar]
  17. Li, Y.S.; Chen, S.G. Analytical solution of frost heaving force in non-circular cold region tunnels. Chin. J. Theor. Appl. Mech. 2020, 52, 196–207. [Google Scholar]
  18. Chen, K.P.; Ren, S.; Li, Z.; Chen, Z.Q.; Yu, B.X.; Zhang, H. Investigation on the seepage-stress field evolution mechanism and failure process of karst tunnels in water-rich areas. Environ. Earth Sci. 2024, 83, 638. [Google Scholar] [CrossRef]
  19. Li, Z.L.; Ren, Q.W.; Wang, Y.H. Elasto-plastic analytical solution of deep-buried circle tunnel considering fluid flow field. Chin. J. Rock Mech. Eng. 2004, 23, 1291–1295. [Google Scholar]
  20. Zhang, Z.G.; Cheng, Z.X.; Wang, J.C.; Wu, Z.T.; Zhao, Q.H. Interaction between surrounding rock and lining of deep-buried tunnel considering influence of seepage. Tunn. Constr. 2021, 41, 108–121. [Google Scholar]
  21. He, C.; Qi, C.; Feng, K.; Xiao, M.Q. Theoretical analysis of interaction between surrounding rocks and linging strcture of shield tunnel based on Drucker-Prager yield criteria. Chin. J. Theor. Appl. Mech. 2017, 49, 31–40. [Google Scholar]
  22. Ouyang, Y.F.; Liu, C.X. Elastio-plastic Analysis on Deep Buried Circle Tunnel Considering Seepage Effect Based on Hoke-Brown Criterion. Chin. J. Undergr. Space Eng. 2019, 15, 1410–1416. [Google Scholar]
  23. Bahrehdar, M.; Lakirouhani, A. Assessment of Interplay of Mud Cake and Failure Criteria on the Lower Limit of Safe Borehole Pressure. Indian Geotech. J. 2024, 54, 2194–2206. [Google Scholar] [CrossRef]
  24. Li, L.; Chen, H.H.; Li, J.P.; Sun, D.A. A semi-analytical solution to steady-state groundwater inflow into a circular tunnel considering anisotropic permeability. Tunn. Undergr. Space Technol. 2021, 116, 104115. [Google Scholar] [CrossRef]
  25. Jin, B.; Hu, M.; Fang, Q.H. Research on stress field of surrounding rock and lining structure of deep-buried subsea tunnel considering seepage effect. Chin. J. Theor. Appl. Mech. 2022, 54, 1322–1330. [Google Scholar]
  26. Zhao, Y.; Wei, T.; Wang, C.L.; Bi, J. A new close-form solution for elastoplastic seepage-induced stresses to circular tunnel with considering intermediate principal stress. Rock Mech. Rock Eng. 2023, 56, 6545–6557. [Google Scholar] [CrossRef]
  27. Zhu, C.W.; Ying, H.W.; Gong, X.N.; Shen, H.W.; Wang, X. Analytical solutions to seepage field of underwater twin parallel tunnels. Chin. J. Geotech. Eng. 2019, 41, 355–360. [Google Scholar]
  28. Lu, X.C.; Xu, J.Y. Elastic-plastic solution for subsea circular tunnel under the influence of seepage field. Eng. Mech. 2009, 26, 216–221. [Google Scholar]
  29. Li, X.F.; Du, S.J.; Chen, B. Unified analytical solution for deep circular tunnel with consideration of seepage pressure, grouting and lining. J. Cent. South Univ. 2017, 24, 1483–1493. [Google Scholar] [CrossRef]
  30. Yang, Z.X.; Yang, L.D. Analytic solution for anisotropic steady seepage into a circle-crossed tunnel. J. Tongji Univ. 2001, 29, 273–277. [Google Scholar]
  31. Wei, F.R.; Wang, H.N.; Zeng, G.S.; Jiang, M.J. Seepage flow around twin circular tunnels in anisotropic ground revealed by an analytical solution. Undergr. Space 2023, 10, 1–14. [Google Scholar] [CrossRef]
  32. Tang, Y.; Chan, D.H.; Zhu, D.Z. Analytical solution for steady-state groundwater inflow into a circular tunnel in anisotropic soils. J. Eng. Mech. 2018, 144, 206–209. [Google Scholar] [CrossRef]
  33. Tong, L.; Xie, K.H.; Lu, M.M.; Wang, K. Analytical study of seepage flow into a lined tunnel in a semi-infinite aquifer. Rock Soil Mech. 2011, 32, 304–308. [Google Scholar]
  34. Ying, H.W.; Zhu, C.W.; Gong, X.N. Analytic solution on seepage field of underwater tunnel considering grouting circle. J. Zhejiang Univ. 2016, 50, 1018–1023. [Google Scholar]
  35. Chen, R.D. Comparison and Selection for Construction Method of Qianhaiwan Tunnel on Mawan Cross Passage. Chin. J. Undergr. Space Eng. 2017, 13, 1319–1328. [Google Scholar]
  36. Peng, L.; Zou, J.F.; Peng, J.G.; Zhang, J.H. Nonlinear analytical solution for underwater tunnel using Hoek-Brown failure criterion. China Civ. Eng. J. 2011, 44, 149–156. [Google Scholar]
Figure 1. Analysis model of deep-buried subsea tunnel.
Figure 1. Analysis model of deep-buried subsea tunnel.
Jmse 13 00825 g001
Figure 2. Coordinate transformation.
Figure 2. Coordinate transformation.
Jmse 13 00825 g002
Figure 3. Conformal mapping.
Figure 3. Conformal mapping.
Jmse 13 00825 g003
Figure 4. ξ -Plane.
Figure 4. ξ -Plane.
Jmse 13 00825 g004
Figure 5. Location of the project.
Figure 5. Location of the project.
Jmse 13 00825 g005
Figure 6. Finite element model meshing results.
Figure 6. Finite element model meshing results.
Jmse 13 00825 g006
Figure 7. The influence of seepage anisotropy on the seepage discharge.
Figure 7. The influence of seepage anisotropy on the seepage discharge.
Jmse 13 00825 g007
Figure 8. The influence of burial depth on the seepage discharge.
Figure 8. The influence of burial depth on the seepage discharge.
Jmse 13 00825 g008
Figure 9. The influence of permeability on the seepage discharge.
Figure 9. The influence of permeability on the seepage discharge.
Jmse 13 00825 g009
Figure 10. Tunnel stress distribution.
Figure 10. Tunnel stress distribution.
Jmse 13 00825 g010
Figure 11. The influence of permeability on the radius of the rock plastic zone.
Figure 11. The influence of permeability on the radius of the rock plastic zone.
Jmse 13 00825 g011
Figure 12. The influence of the radius of the rock plastic zone on seepage force.
Figure 12. The influence of the radius of the rock plastic zone on seepage force.
Jmse 13 00825 g012
Disclaimer/Publisher’s Note: The statements, opinions and data contained in all publications are solely those of the individual author(s) and contributor(s) and not of MDPI and/or the editor(s). MDPI and/or the editor(s) disclaim responsibility for any injury to people or property resulting from any ideas, methods, instructions or products referred to in the content.

Share and Cite

MDPI and ACS Style

Yu, Y.; Jin, B. Research on Seepage Field and Stress Field of Deep-Buried Subsea Tunnel with Anisotropic Permeability of the Surrounding Rock. J. Mar. Sci. Eng. 2025, 13, 825. https://doi.org/10.3390/jmse13050825

AMA Style

Yu Y, Jin B. Research on Seepage Field and Stress Field of Deep-Buried Subsea Tunnel with Anisotropic Permeability of the Surrounding Rock. Journal of Marine Science and Engineering. 2025; 13(5):825. https://doi.org/10.3390/jmse13050825

Chicago/Turabian Style

Yu, Yunlong, and Bo Jin. 2025. "Research on Seepage Field and Stress Field of Deep-Buried Subsea Tunnel with Anisotropic Permeability of the Surrounding Rock" Journal of Marine Science and Engineering 13, no. 5: 825. https://doi.org/10.3390/jmse13050825

APA Style

Yu, Y., & Jin, B. (2025). Research on Seepage Field and Stress Field of Deep-Buried Subsea Tunnel with Anisotropic Permeability of the Surrounding Rock. Journal of Marine Science and Engineering, 13(5), 825. https://doi.org/10.3390/jmse13050825

Note that from the first issue of 2016, this journal uses article numbers instead of page numbers. See further details here.

Article Metrics

Back to TopTop