Numerical Investigation of Coupled Oblique Flow and Steering Effects on Hydrodynamic Performance of Rudder Behind Propeller
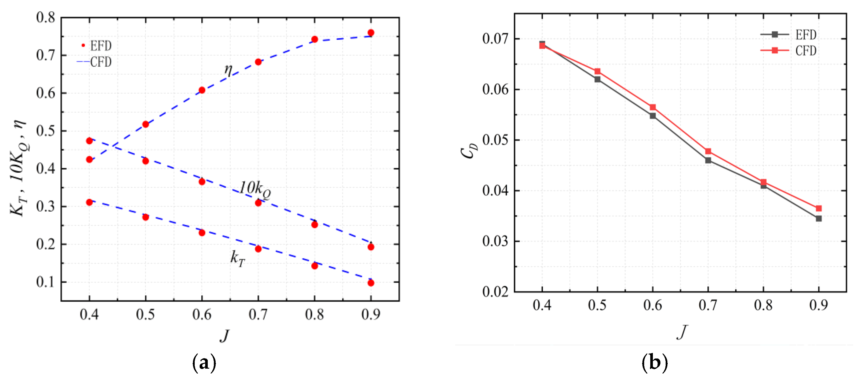
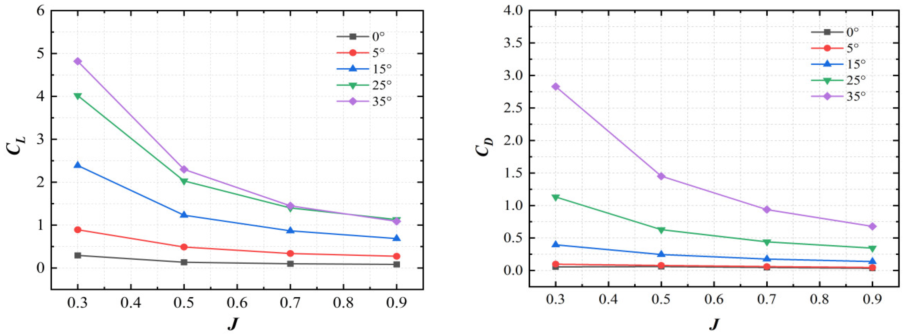
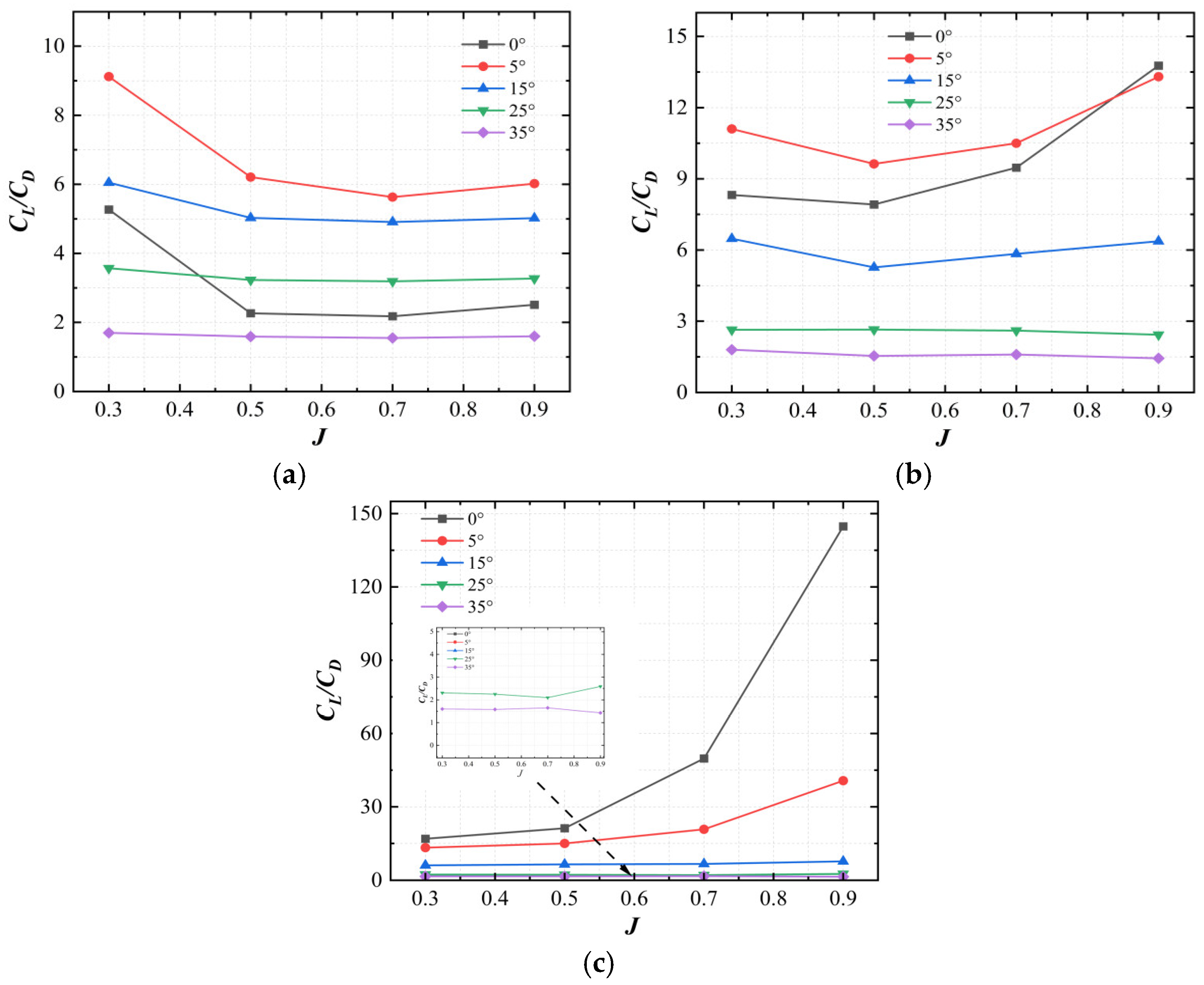
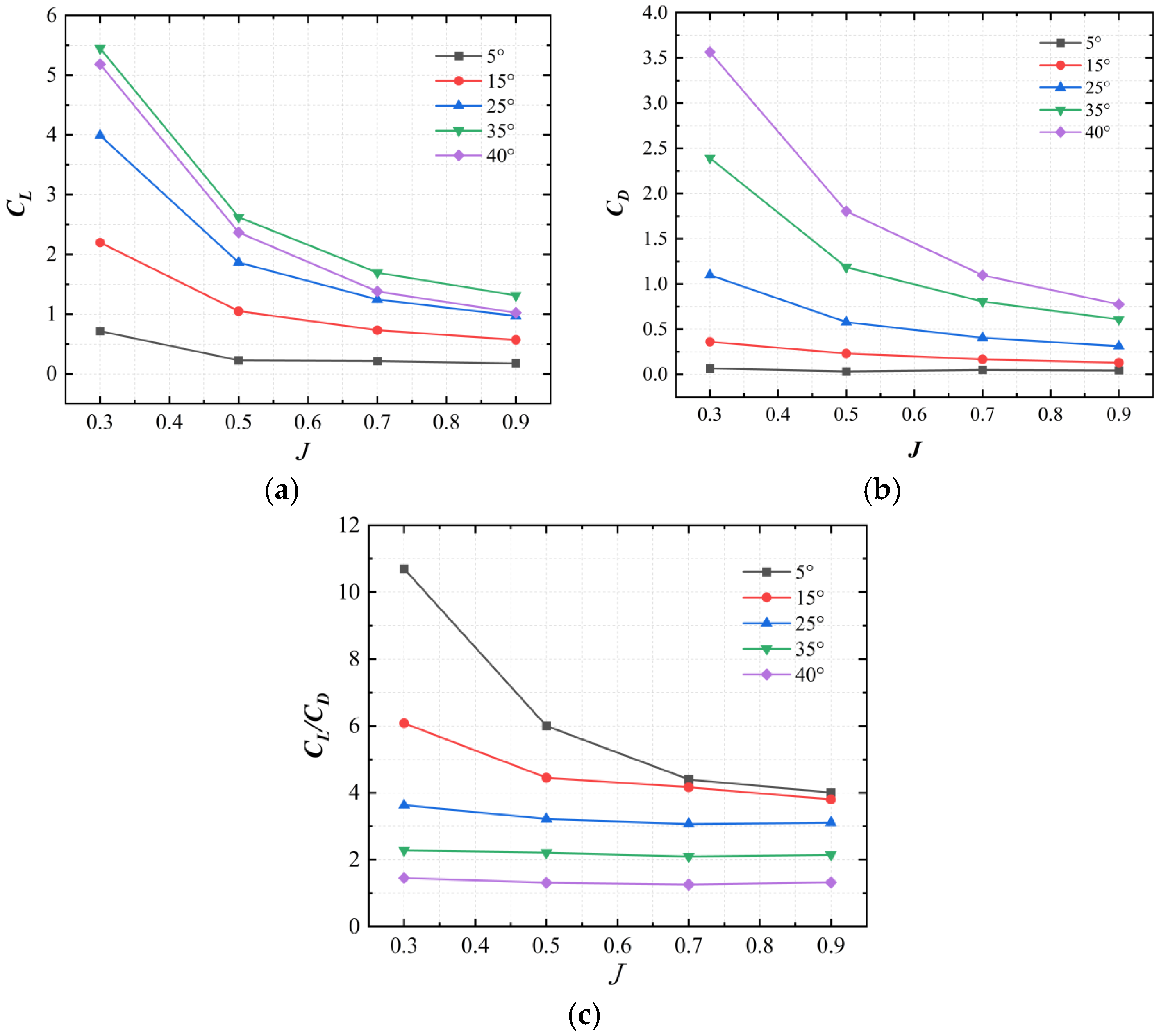
Abstract
Share and Cite
Chen, W.; Li, R.; Huang, J.; Dong, H.; Qiu, Q.; Chen, Q. Numerical Investigation of Coupled Oblique Flow and Steering Effects on Hydrodynamic Performance of Rudder Behind Propeller. J. Mar. Sci. Eng. 2025, 13, 2140. https://doi.org/10.3390/jmse13112140
Chen W, Li R, Huang J, Dong H, Qiu Q, Chen Q. Numerical Investigation of Coupled Oblique Flow and Steering Effects on Hydrodynamic Performance of Rudder Behind Propeller. Journal of Marine Science and Engineering. 2025; 13(11):2140. https://doi.org/10.3390/jmse13112140
Chicago/Turabian StyleChen, Weiguan, Ronghui Li, Ji Huang, Haihui Dong, Qiqing Qiu, and Qinglong Chen. 2025. "Numerical Investigation of Coupled Oblique Flow and Steering Effects on Hydrodynamic Performance of Rudder Behind Propeller" Journal of Marine Science and Engineering 13, no. 11: 2140. https://doi.org/10.3390/jmse13112140
APA StyleChen, W., Li, R., Huang, J., Dong, H., Qiu, Q., & Chen, Q. (2025). Numerical Investigation of Coupled Oblique Flow and Steering Effects on Hydrodynamic Performance of Rudder Behind Propeller. Journal of Marine Science and Engineering, 13(11), 2140. https://doi.org/10.3390/jmse13112140

