Predicting Sediment Suspension by Asymmetric Waves with a Modified Model of Bottom Shear Stress
Abstract
1. Introduction
2. Description of Sediment Transport Model
2.1. Governing Equations
2.2. Boundary Condition
2.3. Sediment Diffusivity
2.4. Numerical Implementation
3. Modeling Bottom Shear Stress
3.1. Previous Models
3.2. Modified Model
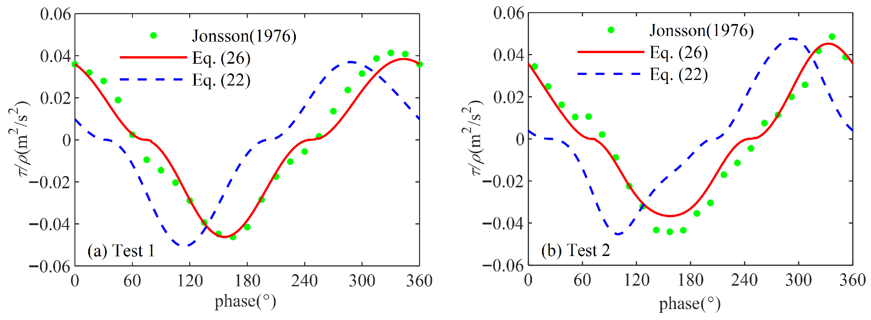
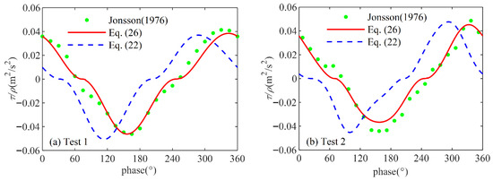
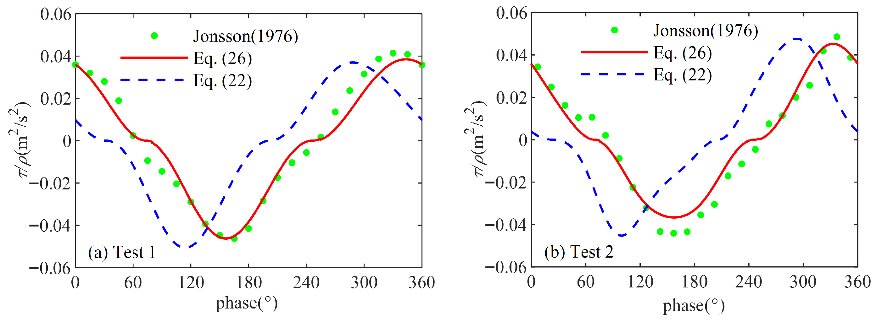
3.3. Comparison with Experimental and Numerical Data
4. Results
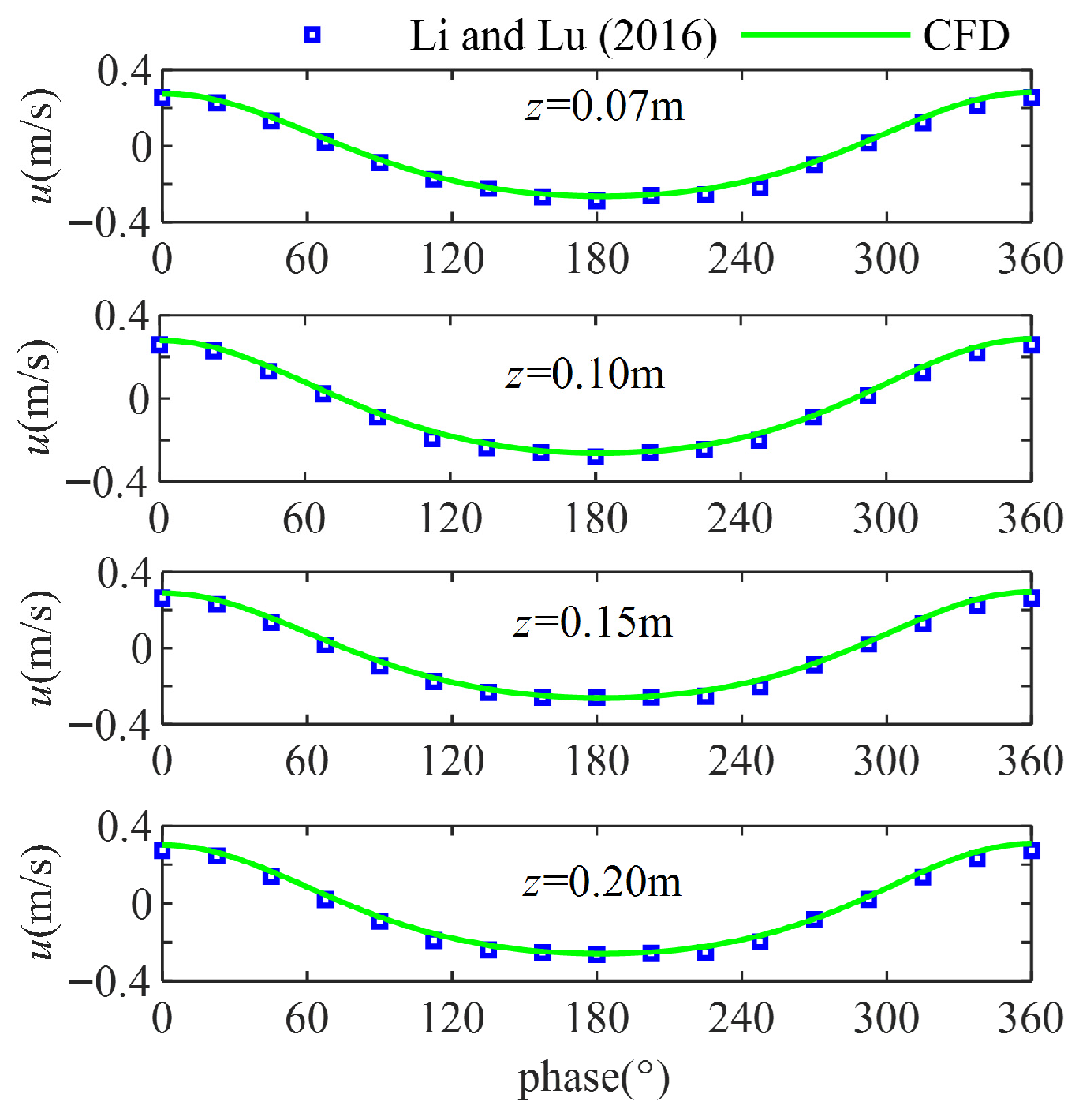
4.1. Hydrodynamic Characteristics
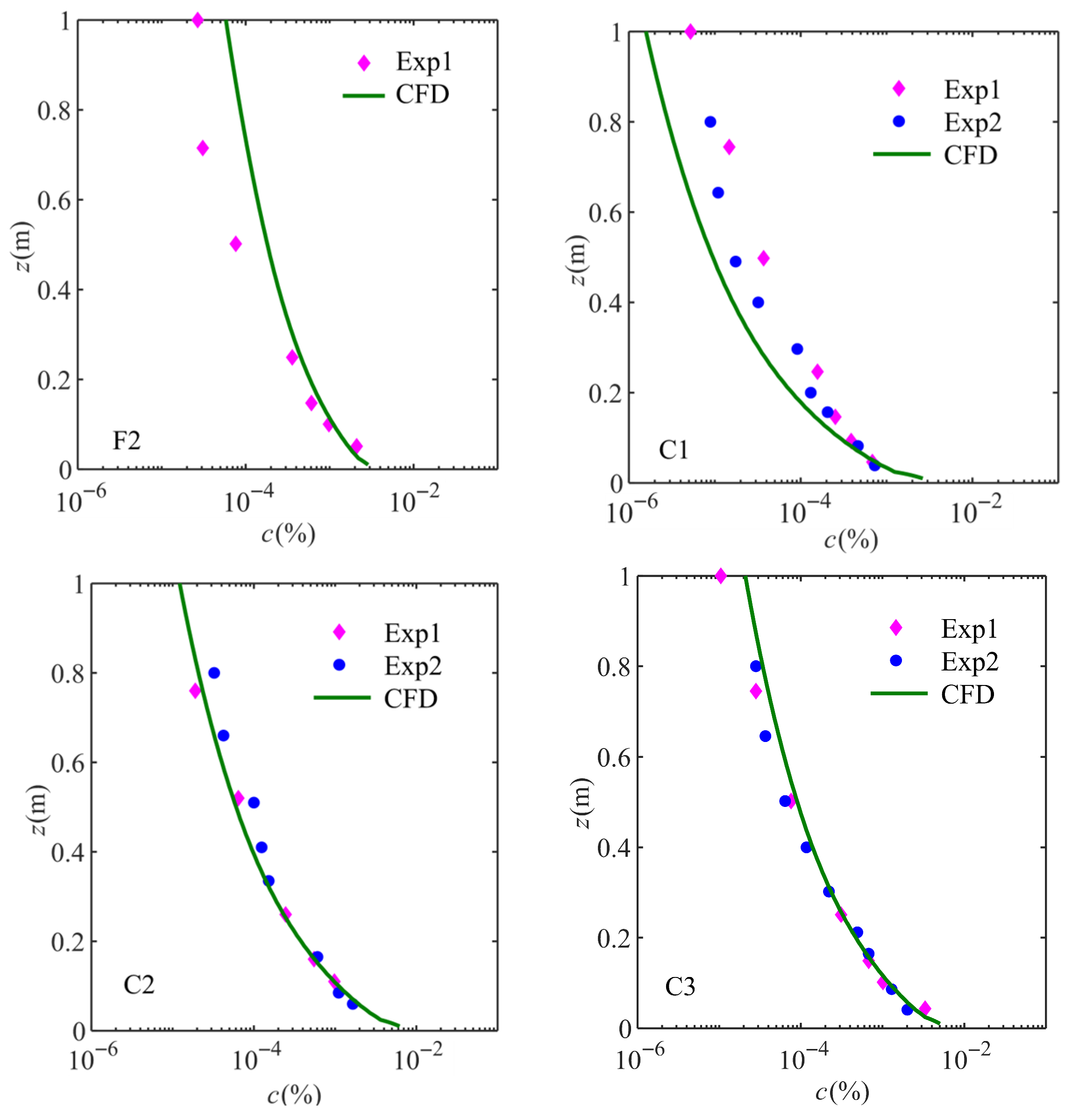
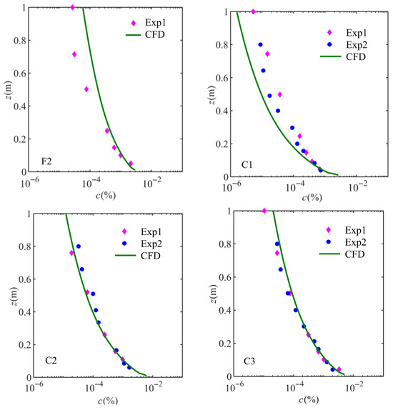
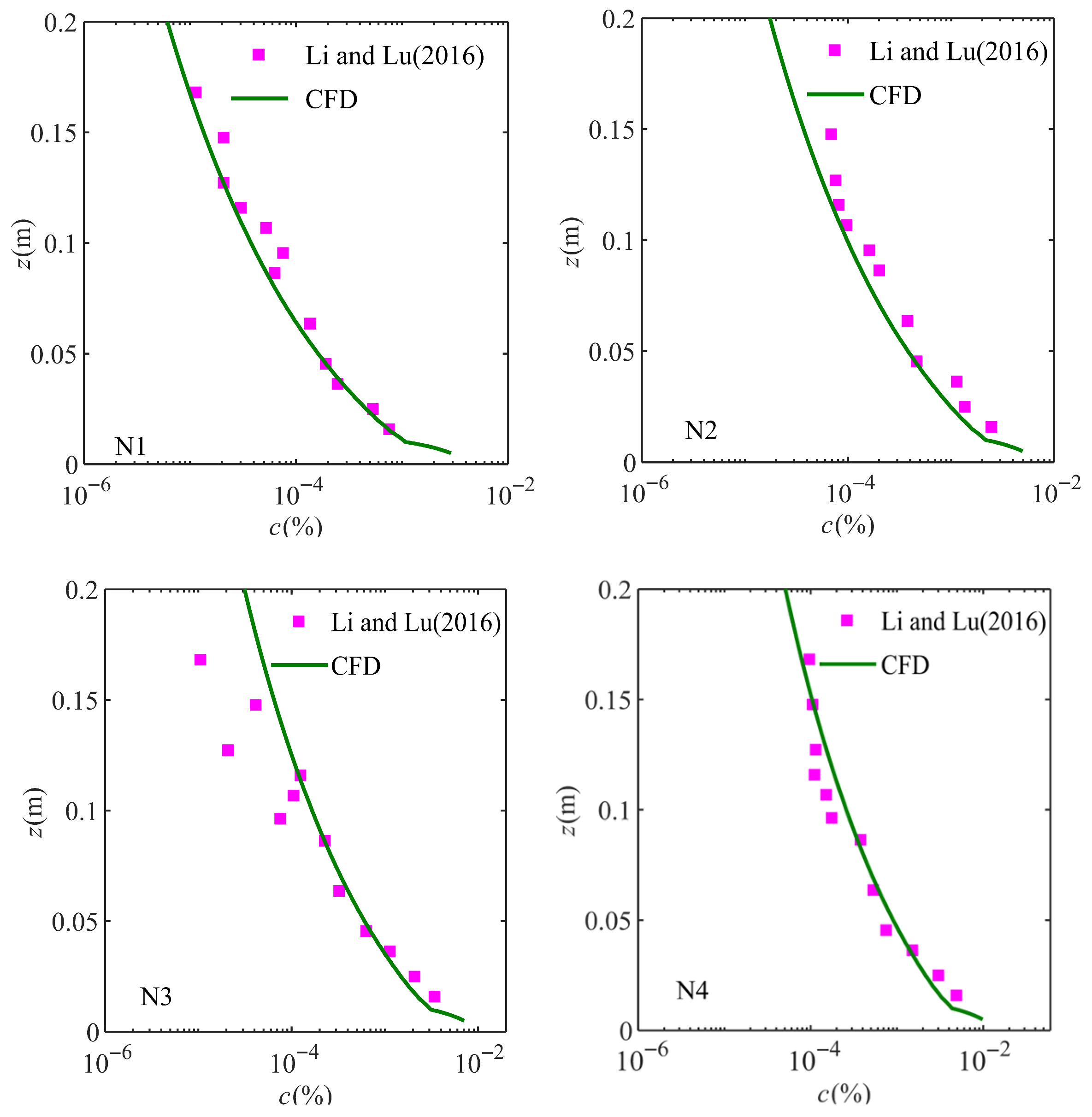
4.2. Sediment Concentration
5. Conclusions
Author Contributions
Funding
Data Availability Statement
Conflicts of Interest
Abbreviations
| LES | Large Eddy Simulation |
References
- Zhang, Z.; Feng, X.; Fan, X.; Lin, Y.; Zhu, C. Impact of Internal Solitary Waves on Marine Suspended Particulate Matter: A Review. J. Mar. Sci. Eng. 2025, 13, 1433. [Google Scholar] [CrossRef]
- Spiliotopoulos, G.; Katsardi, V. Nonlinear Effects on the Formation of Large Random Wave Events. J. Mar. Sci. Eng. 2025, 13, 1516. [Google Scholar] [CrossRef]
- Stokes, G.G. On the theory of oscillatory waves. Trans. Camb. Philos. Soc. 1847, 8, 441–455. [Google Scholar]
- Watanabe, A.; Sato, S. A sheet-flow transport rate formula for asymmetric, forward-leaning waves and currents. In Coastal Engineering; World Scientific: Singapore, 2004; pp. 1703–1714. [Google Scholar] [CrossRef]
- Zulberti, A.; Jones, N.L.; Ivey, G.N. Observations of Enhanced Sediment Transport by Nonlinear Internal Waves. Geophys. Res. Lett. 2020, 47, e2020GL088499. [Google Scholar] [CrossRef]
- Hsu, T.-J.; Liu, P.L.-F. Toward modeling turbulent suspension of sand in the nearshore. J. Geophys. Res. 2004, 109, C06018. [Google Scholar] [CrossRef]
- Amoudry, L.; Hsu, T.-J.; Liu, P.L.-F. Schmidt number and near-bed boundary condition effects on a two-phase dilute sediment transport model. J. Geophys. Res. 2005, 110, C09003. [Google Scholar] [CrossRef]
- Amoudry, L.O.; Bell, P.S.; Thorne, P.D.; Souza, A.J. Toward representing wave-induced sediment suspension over sand ripples in RANS models. J. Geophys. Res. Ocean. 2013, 118, 2378–2392. [Google Scholar] [CrossRef]
- Kim, Y.; Cheng, Z.; Hsu, T.J.; Mieras, R.S.; Puleo, J.A. A numerical investigation of sheet flow under non-breaking and breaking waves. In Proceedings of the Coastal Dynamics Conference, Helsingør, Denmark, 12–16 June 2017. [Google Scholar]
- Jonsson, I.G.; Carlsen, N.A. Experimental and theoretical investigations in an oscillatory turbulent boundary layer. J. Hydraul. Res. 1976, 14, 45–60. [Google Scholar] [CrossRef]
- Tanaka, H.; Chian, C.S.; Shuto, N. Experiments on an oscillatory flow accompanied with a unidirectional motion. Coast. Eng. Jpn. 1983, 26, 19–37. [Google Scholar] [CrossRef]
- Tanaka, H. Bed load transport due to non-linear wave motion. In Coastal Engineering 1988 Proceedings; ASCE: Reston, VA, USA, 1988; Chapter 133; pp. 1803–1817. [Google Scholar] [CrossRef]
- Vittori, G. Sediment suspension due to waves. J. Geophys. Res. 2003, 108, 3173. [Google Scholar] [CrossRef]
- Amoudry, L.O.; Souza, A.J.; Thorne, P.D.; Liu, P.L.-F. Parameterization of intrawave ripple-averaged sediment pickup above steep ripples. J. Geophys. Res. Ocean. 2016, 121, 658–673. [Google Scholar] [CrossRef]
- Nielsen, P. Coastal Bottom Boundary Layers and Sediment Transport; Advanced Series on Ocean Engineering; World Scientific Publication: Singapore, 1992; Volume 4. [Google Scholar] [CrossRef]
- Tanaka, H.; Thu, A. Full-range equation of friction coefficient and phase difference in a wave-current boundary layer. Coast. Eng. 1994, 22, 237–254. [Google Scholar] [CrossRef]
- Nielsen, P. Shear stress and sediment transport calculations for swash zone modeling. Coast. Eng. 2002, 45, 53–60. [Google Scholar] [CrossRef]
- Nielsen, P.; Callaghan, D.P. Shear stress and sediment transport calculations for sheet flow under waves. Coast. Eng. 2003, 47, 347–354. [Google Scholar] [CrossRef]
- Nielsen, P. Sheet flow sediment transport under waves with acceleration skewness and boundary layer streaming. Coast. Eng. 2006, 53, 749–758. [Google Scholar] [CrossRef]
- Gonzalez-Rodriguez, D.; Madsen, O.S. Seabed shear stress and bedload transport due to asymmetric and skewed waves. Coast. Eng. 2007, 54, 914–929. [Google Scholar] [CrossRef]
- Suntoyo; Tanaka, H.; Sana, A. Characteristics of turbulent boundary layers over a rough bed under saw-tooth waves and its application to sediment transport. Coast. Eng. 2008, 55, 1102–1112. [Google Scholar] [CrossRef]
- Rodi, W. Examples of calculation methods for flow and mixing in stratified fluids. J. Geophys. Res. 1987, 92, 5305–5328. [Google Scholar] [CrossRef]
- Hirt, C.W.; Nichols, B.D. Volume of fluid (VOF) method for the dynamics of free boundaries. J. Comput. Phys. 1981, 39, 201–205. [Google Scholar] [CrossRef]
- van Rijn, L.C. Principles of Sediment Transport in Rivers, Estuaries and Coastal Seas; Aqua Publications: Amsterdam, The Netherlands, 1993. [Google Scholar]
- Dean, R.G. Stream function representation of nonlinear ocean waves. J. Geophys. Res. 1965, 70, 4561–4572. [Google Scholar] [CrossRef]
- Hagatun, K.; Eidsvik, K.J. Oscillating turbulent boundary layer with suspended sediments. J. Geophys. Res. 1986, 91, 13045–13055. [Google Scholar] [CrossRef]
- Garcia, M.; Parker, G. Entrainment of bed sediment into suspension. J. Hydraul. Eng. 1991, 117, 414–435. [Google Scholar] [CrossRef]
- van Rijn, L.C. Unified view of sediment transport by currents and waves. II: Suspended transport. J. Hydraul. Eng. 2007, 133, 668–689. [Google Scholar] [CrossRef]
- Grant, W.D.; Madsen, O.S. Combined wave and current interaction with a rough bottom. J. Geophys. Res. 1979, 84, 1797–1808. [Google Scholar] [CrossRef]
- Lee, T.H.; Hanes, D.M. Comparison of field observations of the vertical distribution of suspended sand and its prediction by models. J. Geophys. Res. 1996, 101, 3561–3572. [Google Scholar] [CrossRef]
- Li, S.Q.; Lu, Y.J. Sediment Transport Process in Wave-Current Boundary Layer; Hohai University Press: Nanjing, China, 2016. (In Chinese) [Google Scholar]
- Jasak, H. Error Analysis and Estimation for the Finite Volume Method with Applications to Fluid Flows. Ph.D. Thesis, Department of Mechanical Engineering, Imperial College of Science, London, UK, 1996. [Google Scholar]
- Sumer, B.M.; Kozakiewicz, A.; Fredsøe, J.; Deigaard, R. Velocity and concentration profiles in sheet-flow layer of movable bed. J. Hydrogr. Eng. 1996, 122, 549–558. [Google Scholar] [CrossRef]
- Li, Y.J.; Chen, J.B.; Zhou, J.F.; Zhang, Q. Large eddy simulation of boundary layer flow under cnoidal waves. Acta Mech. Sin. 2016, 32, 22–37. [Google Scholar] [CrossRef]
- Lohmann, I.P.; Fredsøe, J.; Sumer, B.M.; Christensen, E.D. Large Eddy Simulation of the ventilated wave boundary layer. J. Geophys. Res. 2006, 111, C06036. [Google Scholar] [CrossRef]
- Thorne, P.D.; Williams, J.J.; Davies, A.G. Suspended sediments under waves measured in a large-scale flume facility. J. Geophys. Res. 2002, 107, 3178. [Google Scholar] [CrossRef]












| Case | h/m | H/m | T/s | d/mm | /m | /m |
|---|---|---|---|---|---|---|
| N1 | 0.5 | 0.12 | 2 | 0.125 | 0.069 | 0.014 |
| N2 | 0.5 | 0.15 | 2 | 0.125 | 0.069 | 0.014 |
| N3 | 0.5 | 0.18 | 2 | 0.125 | 0.069 | 0.014 |
| N4 | 0.5 | 0.21 | 2 | 0.125 | 0.069 | 0.014 |
| T/s | Uc/(m/s) | ks/m | Re | As | ||
|---|---|---|---|---|---|---|
| Jonsson (1976) [10] | Test 1 | 8.39 | 2.02 | 0.023 | 6.01 × 106 | 0.5 |
| Jonsson (1976) [10] | Test 2 | 7.2 | 1.58 | 0.063 | 2.74 × 106 | 0.5 |
| Suntoyo (2008) [21] | SK4 | 4 | 4 | 0.015 | 6.75 × 105 | 0.5 |
| Case | h/m | H/m | T/s | d/mm | /(m/s) | /m | /m |
|---|---|---|---|---|---|---|---|
| F2 | 4.5 | 0.848 | 5 | 0.162 | 0.0066 | 0.68 | 0.03 |
| C1 | 4.5 | 0.850 | 5 | 0.329 | 0.017 | 0.37 | 0.04 |
| C2 | 4.5 | 1.111 | 5 | 0.329 | 0.017 | 0.43 | 0.05 |
| C3 | 4.5 | 1.344 | 5 | 0.329 | 0.017 | 0.53 | 0.06 |
Disclaimer/Publisher’s Note: The statements, opinions and data contained in all publications are solely those of the individual author(s) and contributor(s) and not of MDPI and/or the editor(s). MDPI and/or the editor(s) disclaim responsibility for any injury to people or property resulting from any ideas, methods, instructions or products referred to in the content. |
© 2025 by the authors. Licensee MDPI, Basel, Switzerland. This article is an open access article distributed under the terms and conditions of the Creative Commons Attribution (CC BY) license (https://creativecommons.org/licenses/by/4.0/).
Share and Cite
Xie, Y.; Zhou, J.; Wang, X.; Duan, J.; Lu, Y.; Li, S. Predicting Sediment Suspension by Asymmetric Waves with a Modified Model of Bottom Shear Stress. J. Mar. Sci. Eng. 2025, 13, 2139. https://doi.org/10.3390/jmse13112139
Xie Y, Zhou J, Wang X, Duan J, Lu Y, Li S. Predicting Sediment Suspension by Asymmetric Waves with a Modified Model of Bottom Shear Stress. Journal of Marine Science and Engineering. 2025; 13(11):2139. https://doi.org/10.3390/jmse13112139
Chicago/Turabian StyleXie, Yiqin, Jifu Zhou, Xu Wang, Jinlong Duan, Yongjun Lu, and Shouqian Li. 2025. "Predicting Sediment Suspension by Asymmetric Waves with a Modified Model of Bottom Shear Stress" Journal of Marine Science and Engineering 13, no. 11: 2139. https://doi.org/10.3390/jmse13112139
APA StyleXie, Y., Zhou, J., Wang, X., Duan, J., Lu, Y., & Li, S. (2025). Predicting Sediment Suspension by Asymmetric Waves with a Modified Model of Bottom Shear Stress. Journal of Marine Science and Engineering, 13(11), 2139. https://doi.org/10.3390/jmse13112139

