Next Article in Journal
From Multi-Field Coupling Behaviors to Self-Powered Monitoring: Triboelectric Nanogenerator Arrays for Deep-Sea Large-Scale Cages
Previous Article in Journal
Vertical Motion Stabilization of High-Speed Multihulls in Irregular Seas Using ESO-Based Backstepping Control
Previous Article in Special Issue
Comparison of Numerical Simulations of Propeller Open-Water Performance with Cavitation for High-Speed Planing Hulls
 
 
Font Type:
Arial Georgia Verdana
Font Size:
Aa Aa Aa
Line Spacing:
Column Width:
Background:
Article

A Simplified Prediction Method for the Hydrodynamic Performance of Ship Propellers Under Heave and Pitch Motions

1
School of Ocean Engineering, Harbin Institute of Technology (Weihai), Weihai 264209, China
2
Shanghai Ship and Shipping Research Institute Co., Ltd., Shanghai 200135, China
*
Author to whom correspondence should be addressed.
J. Mar. Sci. Eng. 2025, 13(11), 2041; https://doi.org/10.3390/jmse13112041 (registering DOI)
Submission received: 11 September 2025 / Revised: 19 October 2025 / Accepted: 22 October 2025 / Published: 24 October 2025
(This article belongs to the Special Issue Novelties in Marine Propulsion)

Abstract

This paper presents a simplified computational method for evaluating the hydrodynamic performance of a ship propeller, taking into account the effects of wave-induced heave and pitch motions. The method combines Computational Fluid Dynamics (CFD) for propeller hydrodynamic force calculations with forced heave and pitch motions computed via the potential flow theory-based method. Numerical simulations at three representative wavelengths demonstrate that heave and pitch motions reduce propeller thrust, increase torque, and decrease the propeller’s efficiency significantly. In addition, the results reveal a nonlinear coupling between heave and pitch effects, where their hydrodynamic contributions are not simply additive. Compared to high-fidelity ship–propeller coupling CFD simulations, the proposed method reduces computational costs by approximately four times while maintaining practical accuracy for wave–propeller interaction analysis.

1. Introduction

To address global environmental concerns, the International Maritime Organization (IMO) has implemented stringent regulations including the Energy Efficiency Design Index (EEDI) for new-built ships [1] and the Carbon Intensity Indicator (CII) for existing fleets [2] Moreover, IMO has set a target to reduce greenhouse gas emissions from international shipping by at least 50% by 2050 compared to 2008 levels, with an aim to phase out emissions entirely within this century [3].
In this context, energy conservation and emission reduction have become the most important trends in the development of the shipping industry. Accordingly, there has been a growing shift in the field of marine engineering from traditional studies of ship performance in calm water to research on ship performance in waves, aiming to enhance navigation efficiency under real sea conditions.
Screw propellers (referred to henceforth, in keeping with common practice, as propellers) are the most common propulsion devices for ships. While traditional evaluation methods of propeller hydrodynamics (open-water and behind-ship tests) remain valuable, their inability to account for wave effects represents a critical limitation in real-world performance prediction. To enhance a ship’s performance in actual sea conditions, it is deemed important to study the hydrodynamic performance of propellers in waves. Tavakoli et al. [4] and Saettone et al. [5], through their study on mathematical models of ship propulsion systems in waves, confirm that the variation in propeller performance under wave conditions is a crucial and complex component of the entire propulsion system.
Recent studies on propeller performance in waves primarily adopt two approaches: open-water analyses with wave effects consideration and coupled hull-propeller analyses under wave conditions. Irannezhad et al. [6] conducted experimental and numerical open water tests of KP458 propellers in calm water and in regular head waves, demonstrating the remarkable influences of waves on the propeller advance coefficient. Recently, Acanfora et al. [7] conducted experimental studies on the open water characteristics of a ship propeller in waves and showed that both thrust and torque are reduced compared to the calm water case as wave amplitude increases. Cosgun et al. [8] proposed a method to predict the motion performance of a submarine under various surge conditions by utilizing four-quadrant propeller performance and resistance test data. Their work also enhanced the prediction scope for the propeller’s open-water performance. Liang et al. [9] analyzed the open-water propulsion performance of a propeller and the scale effect on hull resistance. They demonstrated that although the extrapolation method from model to full scale lacks high accuracy, its relative error remains acceptable for engineering requirements. Yurtseven et al. [10] investigated the variation pattern of blade torque during the pitch change action of a controllable pitch propeller. Their results show that the torque required to rotate each blade increases with the pitch angle, peaks at a critical point, and then decreases. Grlj et al. [11] conducted an in-depth investigation into the scale effects on open-water propeller performance. Through a systematic and scientific study of propeller open-water tests with and without the Gamma-Re-θ transition model, they found that the influence of scale effects on open-water characteristics was significantly mitigated when the transition model was applied.
Analyzing the performance of a propeller in ship behind conditions is more complex and intriguing than in open water tests. Particularly, when the ship is sailing in waves, the propeller experiences six degrees of freedom wave-induced motions along with the ship hull. These significant wave-induced motions alter the wake of the ship hull, further complicating the flow field around the propeller. Through model testing, Ueno et al. [12,13] reveal that heave and pitch motions alter propeller inflow, leading to measurable changes in hydrodynamic performance.
Thanks to the rapid advancements in Computational Fluid Dynamics (CFD), numerous studies have also been conducted in this area. For instance, Cai et al. [14] tested three different methods to analyze propeller–hull interactions in head waves. Using the KCS ship as a research model, Gamal et al. [15] analyzed the variation in propeller propulsive power behind a ship in different wave conditions and demonstrated that an increase in wave steepness leads to large fluctuations in thrust, resulting in an additional reduction in propeller efficiency. Woeste et al. [16] found that added power is not simply a linear function of added resistance or the squared incoming wave amplitude; the complex interactions between the propeller and hull in the waves result in significant power consumption. Sadat-Hosseini et al. [17] simulated the self-propelled KCS ship in regular head waves with a dimensionless wavelength of λ/L = 1.37 and confirmed a substantial increase in the mean inflow velocity to the propeller due to the fluctuating wake field. Ortolani et al. [18] studied the loads on individual blades of the propeller of a twin-screw ship model navigating in regular waves, demonstrating that single blade loads are significantly affected by waves, even in relatively moderate sea states (SS3 and SS4).
Indeed, the above-mentioned CFD studies provide deep understanding of the complex physical phenomena of hull-propeller-wave interactions. However, these computations require large computational resources and long CPU times and, therefore, it is hard to perform systemic computations that reveal the variation law of the hydrodynamic performance of the propeller, such as the thrust and torque against the incident wave conditions. To deal with this problem, Wang et al. [19,20] proposed a simplified method by simulating a propeller in open water conditions near the free surface, with a forced sinusoidal heave motion applied to the propeller shaft. Their results proved that the propeller load and the wake field are closely related to the variation of heave motion period.
We computed the hydrodynamic performance of the KP505 propeller considering the heave and pitch motions of the KCS hull. A CFD-based numerical method was developed for the primary propeller analysis, and a potential flow-based method was used to calculate the response amplitude operators (RAOs) of the heave and pitch motions of the ship advancing in waves. Referring to Wang et al. [19] we exerted sinusoidal heave and pitch motions, which are generated according to the computed amplitudes and phase lags of RAOs, to the propeller. Based on the developed model, three different incident wave lengths were tested and the propeller thrust, torque and efficiency under different wave conditions were collected and analyzed. The calculated results are expected to provide theoretical reference for the estimation of propeller propulsion performance in waves.

2. Computational Method

2.1. Numerical Simulation Method of CFD

Considering an incompressible viscous fluid, its flow adheres to the principles of mass and momentum conservation. Accordingly, the fluid’s continuity equation and momentum equations (Navier-Stokes equations) read as follows:
ρ t + ( ρ v ) = 0
( ρ v ) ( t ) + ( ρ v v ) = ( p I ) + T + f b
where ρ is the fluid density, v is the fluid velocity vector, t is time, p is pressure, I is the unit stress tensor, T is viscous stress tensor, and fb is the body force acting on the fluid.
For most practical engineering applications, fluid flow is typically turbulent, marked by irregular and highly rotational motion. These turbulent structures are small in scale and high in frequency. Employing Direct Numerical Simulation (DNS) to resolve them is prohibitively expensive and time-consuming, making it infeasible for routine use. Conversely, the Reynolds-Averaged Navier–Stokes (RANS) method has found extensive application in ship hydrodynamics and related fields because of its relatively high computational efficiency. The RANS method decomposes the solution variables in the instantaneous Navier–Stokes equations into mean and fluctuating components. Substituting these decomposed variables into Equations (1) and (2) yields the following time-averaged continuity and momentum equations:
ρ t + ( ρ v ¯ ) = 0
( ρ v ¯ ) ( t ) + ( ρ v ¯ v ¯ ) = ( p ¯ I ) + ( T ¯ + T R A N S ) + f b
where v ¯ is the mean velocity, p ¯ is the mean pressure, TRANS is the additional stress tensor, its expression is:
T R A N S = ρ R + 2 3 ρ k I
where k is the turbulent kinetic energy, R is the Reynolds stress tensor, which is defined as:
R = u u ¯ u v ¯ u w ¯ u v ¯ v v ¯ v w ¯ u w ¯ v w ¯ w w ¯
The addition of the extra stress tensor TRANS makes the original governing equations unclosed. Thus, a turbulence model is required to model this stress and achieve closure. In this work, the Reynolds stress is modeled using the eddy viscosity concept, which relates it to the mean flow field via the Boussinesq approximation as follows:
T R A N S = 2 μ t S - 2 3 ( μ t v ¯ ) I
where S is the mean strain-rate tensor defined as:
S = 1 2 ( v ¯ + v ¯ T )
To model the turbulent eddy viscosity (μₜ), the Shear Stress Transport (SST) k-ω model is adopted. This approach merges the k-ω and k-ε models by substituting ω for ε in the k-ε model via the SST equations, effectively combining the far-field behavior of k-ε with the near-wall accuracy of k-ω. SST k-ω model transport equations:
( ρ ω ) t + ( ρ ω v ¯ ) = G ω + S ω + D ω + [ ( μ + σ ω μ t ) ω ] ρ β f β ( ω 2 ω 0 2 )
( ρ k ) t + ( ρ k v ¯ ) = G k + S k + [ ( μ + σ k μ t ) k ] ρ β * f β * ( ω k ω 0 k 0 )
where ω is specific dissipation rate, μ is dynamic viscosity, σk and σω are model coefficients, Gk, Dk and Dω are production terms, f β * is free shear correction factor, f β is vortex stretching modification factor, Sω and Sk are source terms.

2.2. General Methodology

Let us consider a ship advancing at a constant forward speed, Vs, in regular head waves. The propeller, operating in the behind-hull condition, generates thrust to overcome the total resistance, which is the sum of the calm-water resistance and the added wave resistance. Note that both the propeller thrust and the wave-added resistance are inherently variable rather than constant due to the influence of the waves. However, to avoid the complexities of the nonlinear interactions between thrust, ship speed, and wave-added resistance, we introduce a simplified computational method. Firstly, given the incident wave conditions and the fixed ship speed, we compute heave and pitch RAOs based on potential flow theory. Secondly, we ignore the influence of wave-induced ship motions on propeller thrust and evaluate the ‘ideal’ rotation speed of propeller based on its open water characteristics in calm water. Thirdly, we enforce the heave of pitch motions on the open-water propeller and analyze the related variations of hydrodynamic performance of the propeller.
In practice, the ANSYS (2023 R2) AQWA software is applied to compute the motion RAOs. AQWA is a numerical analysis tool based on potential flow theory. It computes the global motion responses of ships to wave loads with high computational efficiency. The following sections introduce the methods for determining the ‘ideal’ propeller rotation speed and analyzing propeller performance.

2.3. Approach for Identifying the ‘Ideal’ Rotation Speed

The ‘ideal’ rotation speed of propeller is determined by solving the system of equations consisting of (11) to (14):
( 1 t ) T = R c + R w
T = K T ( J ) ρ n 2 D 4
J = V A n D
V A = ( 1 ω 0 ) V S
where t is the thrust deduction factor, Rc and Rw represent the calm water resistance and the mean value of the wave added resistance, respectively. T is the ‘ideal’ thrust force of the propeller, n is the ‘ideal’ rotation speed; D is the diameter of the propeller, ω0 is wake coefficient and KT is the open water thrust coefficient of the propeller in calm water. Equation (11) represents the equilibrium between propeller thrust and hull resistance, whereas Equations (12)–(14) are used to calculate the rotational speed of the propeller behind the ship under self-propulsion conditions.
Following conventional methods for predicting ship navigation motion in waves, such as Lee et al. [21] and Okuda et al. [22], we assume that the thrust deduction factor and the wake coefficient remain constant regardless of the incident wave conditions. These parameters are determined through traditional self-propulsion tests conducted in calm water. By utilizing the calm water resistance, the mean wave-added resistance and the open-water characteristics of the propeller, we can determine the ‘ideal’ rotational speed of the propeller, namely, n, by solving Equations (11)–(14). This ‘ideal’ rotational speed theoretically ensures the ship maintains a constant forward speed, Vs, while sailing in waves.

2.4. CFD-Based Simulation Method for Propeller Performance Analysis

The hydrodynamic characteristics of propeller are computed using the CFD platform STAR-CCM+ (2410 19.06.008). STAR-CCM+ is a widely used CFD tool in ship hydrodynamics. Its built-in meshing capabilities are robust. Furthermore, its user-defined field functions and superposed motion feature are ideally suited for applying complex prescribed motions to components. A computational domain, which comprises three zones, is employed. The innermost zone simulates propeller motion (rotation and heave/pitch). The intermediate zone defines the range of heave/pitch motion and employs mesh refinement to enhance flow-field prediction accuracy. The outermost zone represents the overall fluid domain. Figure 1 illustrates the dimensions of each zone. An overlapping grid interface is set up between the innermost zone and the intermediate zone.
In order to improve the computational efficiency, we consider only the open-water condition in our simplified method. Nevertheless, the influence of the ship hull is modelled via the wake coefficient. The advance speed of the propeller, VA, is applied as a velocity-inlet boundary condition at the frontal boundary of the outermost zone. The setup methods for other boundary conditions are shown in Figure 1.
In order to model the propeller’s working conditions during heave and pitch motions, prescribed sinusoidal heave and pitch movements were applied as follows:
y h = A h sin ( ω t + φ h )
y p = θ p sin ( ω t + φ p )
where Ah and θp are the amplitude of heave and pitch motions, respectively; ω is the motion frequency, which equals to the wave encounter frequency; φh and φp denote phase lags of heave and pitch motions with respect to the incident wave profile, respectively. Figure 2 shows the schematic definition of heave and pitch motions. In practice, the motion amplitude and phase lags are determined according to the seakeeping results provided by AQWA.

3. Numerical Setup

3.1. Test Cases

Numerical investigations are performed for the KCS container ship and its matched KP505 propeller. Designed by Korea Research Institute of Ships and Ocean Engineering (KRISO), the KCS container ship is a standard benchmark model widely used in ship hydrodynamics research. Extensive publicly available data exists for this model, including motion RAOs, wave-added resistance, and open-water propeller performance curves, providing comprehensive reference data for validation in this study. Figure 3 displays the KCS hull geometry, with principal particulars listed in Table 1. The KP505 propeller is the designated propeller for the KCS hull. The geometry of this propeller is illustrated in Figure 4, while its principal parameters are presented in Table 2.

3.2. Grid Generation Method

To conduct the hydrodynamic analysis of the propeller using CFD, a hybrid mesh generation approach was employed to discretize the flow domain. Specifically, the outermost zone and the intermediate zone were discretized using trimmed cell mesh and polyhedral mesh. The innermost zone, which is of high geometric complexity, was discretized using polyhedral mesh. Referring to Stark et al. [23], auxiliary volume control was implemented to achieve a smooth transition to the intermediate zone, with the transitional mesh detailed in Figure 5. The boundary layer was resolved with prismatic layers. This employed a low y+ wall treatment strategy, targeting a value of y+ = 1 for the first cell layer. Furthermore, geometric consistency was maintained between the outermost prism layer and the dimensions of the background mesh. The number of prism layers was set to 10, and the volume growth rate was set to 1.2. Figure 6 illustrates the detailed prism layer mesh.

4. Results and Discussions

Numerical simulations were performed for a 1/31.6 scale model of the ship and propeller. A constant ship forward speed, corresponding to a Froude number Fr = Vs/(gL)0.5 = 0.26, was set as the target speed. The RAOs for heave and pitch motions at this speed were computed using AQWA. Based on the results, the heave and pitch motions under three representative wave conditions were selected to study their effects on the propeller’s hydrodynamic performance.
This section first presents the RAOs results calculated using AQWA. Then, the open-water characteristics of the KP505 propeller in calm water, predicted by CFD computations, is presented and compared against the experimental measurements. Subsequently, the proposed simplified method is verified through comparison with coupled hull-propeller-wave CFD simulation results. Finally, the hydrodynamic performances of the KP505 propeller, under different heave and pitch motion conditions, are presented and discussed.

4.1. Numerical Results of Heave and Pitch RAOs of the KCS Ship in Head Waves

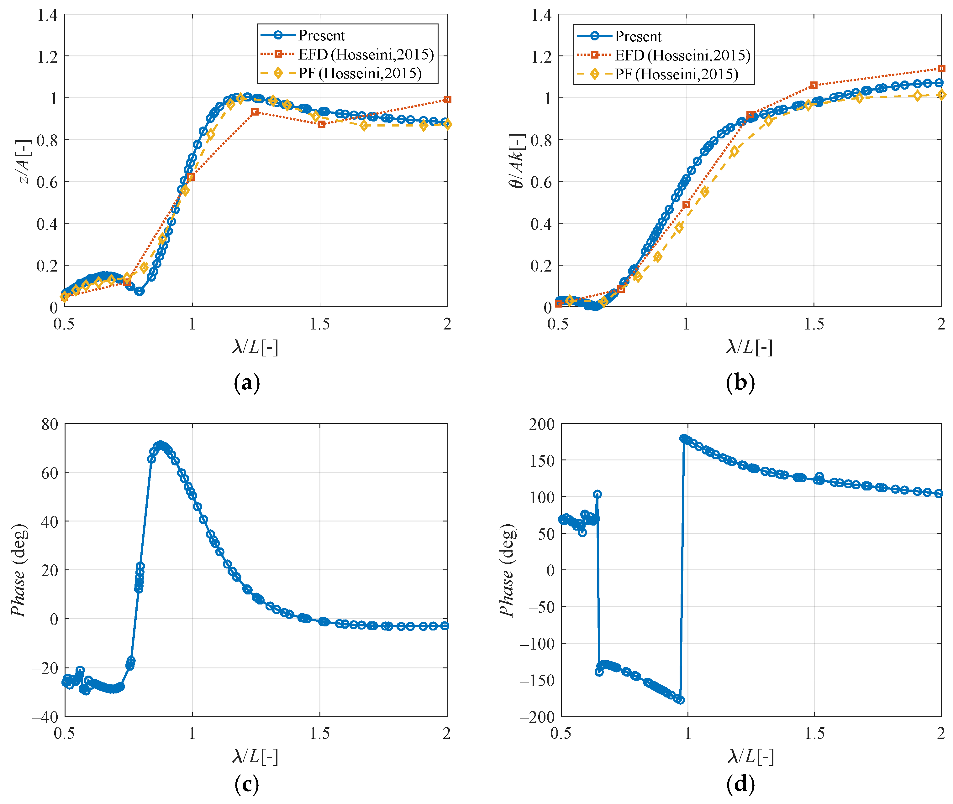
The seakeeping analysis of the KCS ship is performed using AQWA. The computed RAOs and phases of the heave and pitch motions are plotted in Figure 7. In Figure 7a,b, our numerical results (Present) are compared against the experimental measurements (EFD) and existing potential flow solutions (PF) of Sadat-Hosseini et al. [17]. As seen, the computed motion RAOs exhibit favorable agreement with the published experimental data and the existing numerical solutions, demonstrating the effectiveness of the potential flow methodology implemented in our study.

4.2. CFD Predictions of the Open-Water Characteristics of the KP505 Propeller in Calm Water

The hydrodynamic characteristics of the KP505 propeller are computed using STAR-CCM+. The propeller rotation is modelled via overset grid method. During each CFD simulation run, the prism layer thickness and number of layers were adjusted based on the propeller’s advance speed to ensure computational accuracy.
Figure 8 plots the computed thrust coefficient (KT), torque coefficient (KQ), and propeller efficiency (η), for KP505 propeller in calm water. The tested advance ratio was in the region of 0.1 < J < 0.9. Our numerical results (Present) are denoted by dashed line with hollow symbols while the comparative measurements (EFD), borrowed from Lee et al. [24], by solid lines with colored symbols.
It can be seen that our CFD results are in good agreement with the experimental results. The overall error is less than 5%. Near the design working condition (J = 0.5), the errors for the propeller thrust coefficient and torque coefficient are approximately 2%. The favorable agreements demonstrate the effectiveness of the established numerical approach for the propeller hydrodynamic analysis.

4.3. Hydrodynamic Performance of the Propeller with Heave and Pitch Motions

After validating the propeller performance, the focus shifts to added resistance under regular wave conditions. As seen in Figure 7, the peak value of the heave RAO occurs around a dimensionless wavelength (λ/L) is 1.15. Meanwhile, the pitch RAO increases significantly with wavelength when the dimensionless wavelength is below 1.15, while its growth rate decreases noticeably beyond this value. Hence, we selected three representative wavelengths, which centered around dimensionless wavelength is 1.15, as the typical computational cases. The default wave steepness (H/λ) is set to be 1/60.
Table 3 and Table 4 summarize the detailed specifications of the selected computational cases, in which the motion RAOs are sampled from Figure 7 and the ‘ideal’ rotation speed for each case is calculated according to Equations (11)–(14). Note that a constant calm water resistance, Rc = 84 N, was considered for all tested cases. This value is computed via a CFD computation of the KCS ship model advancing in calm water at Fr = 0.26. The wave-added resistance coefficient σaw at different wave lengths are borrowed from the experimental measurements of Mikkelsen et al. [25] Moreover, a constant wake fraction, ω = 0.2071, and a constant thrust deduction coefficient, t = 0.1599, were adopted for all tested cases. These values were determined by Song et al. [26] based on the experimental self-propulsion tests in calm water.

4.3.1. Convergence Test

Before conducting systemic computation of the propeller performance using the proposed method, we first carried out grid and temporal convergence test, following the methodology of Stern et al. [27] and Grlj et al. [28]. Selecting a typical case with dimensionless wavelength of 1.15, we computed the propeller thrust coefficient KT and torque coefficient KQ using three grid sets: coarse (SG1, 5.23 million cells), medium (SG2, 6.88 million cells), and fine (SG3, 9.15 million cells). The grid refinement ratio ΓG was approximately 1.31. Details about mesh density appear in Table 5.
Similarly, temporal convergence was evaluated using three kinds of time steps, including 4.14 × 10−4 s (ST1, 2° per time step), 2.07 × 10−4 s (ST2, 1° per time step), and 1.03 × 10−4 s (ST3, 0.5° per time step). This gave a time step refinement ratio ΓT = 2. Based on the spatial and temporal discretization schemes, the expected order of accuracy (PGest) for grid convergence was 2. For time step convergence (PTest), it was 1. The grid convergence study used the medium time step (ST2). Conversely, the time step convergence study employed the medium grid (SG2). Results for grid convergence and time step convergence are presented in Table 6 and Table 7, respectively.
Table 6 shows that both propeller thrust and torque coefficients converge monotonically with grid refinement. All convergence coefficients (CG and CT) are between 0 and 1, indicating favorable convergence characteristics of the calculation. The grid discretization uncertainty (UG%SG3) indicates minimal sensitivity to grid size changes. Furthermore, the low iterative uncertainty (U1%SG3) on the fine grid suggests iterative errors have minimal impact at this resolution. This collectively verifies grid convergence for the current simulations. Similarly, Table 7 demonstrates monotonic convergence of thrust and torque coefficients with time step refinement. The small-time step discretization uncertainty (UT%ST3) confirms minimal sensitivity to time step size variations. The low iterative uncertainty (U1%ST3) also shows iterative errors have minimal impact.
Additionally, the relative percentage error (ε23%SG3) exhibits a small magnitude, indicating minimal differences between the results obtained with the SG2 and SG1 grids. Similarly, the relative percentage error ε23%ST3 is also small, signifying minimal differences between the results using the ST2 and ST1 time steps. To achieve higher accuracy and computational efficiency in subsequent numerical simulations, the SG2 grid and ST2 time step will be employed accordingly.

4.3.2. Analysis of the Hydrodynamic Performance of the Propeller Considering the Influence of Heave and Pitch Motions at Different Wavelengths

Applying the proposed computational method, the hydrodynamic performances of the propeller were investigated under three different wavelengths are 1.00, 1.15 and 1.30. For each case, we configure the CFD simulation parameters according to the specifications provided in Table 3 and Table 4. To better demonstrate the influence of heave and pitch motions on propeller performance, a supplementary simulation was conducted for each case, in which the same propeller rotational speed and advance ratio were maintained whereas the amplitudes of heave and pitch were set to zero.
Figure 9a displays the kinematic trajectories of propeller heave displacement and pitch angular motion under prescribed operational conditions at dimensionless wavelength is 1.15. Figure 9b presents the corresponding time histories of thrust and torque coefficients, comparing cases with and without heave and pitch motions of the propeller.
As shown in Figure 9b, when propeller heave and pitch motions are taken into account, the time histories of thrust and torque coefficients exhibit two distinct periodic patterns. The shorter period corresponds to the blade frequency, while the longer period matches the frequency of heave and pitch motions (i.e., the wave encounter frequency). Compared to the results without heave and pitch motions, the inclusion of the motion leads to a decrease in the propeller’s average thrust coefficient and an increase in the average torque coefficient.
Figure 10 presents the variations in thrust coefficient and torque coefficient for wavelengths dimensionless wavelength is 1.00 and dimensionless wavelength is 1.30; the observed trends of thrust reduction and torque increase are consistent with the conclusions drawn for the dimensionless wavelength is 1.15 case, exhibiting a decrease in mean thrust and an increase in mean torque. Numerically, the thrust coefficients for the propeller with heave and pitch motions decreased by approximately 5% across all wavelengths compared to the case without motions, while the torque coefficients increased by approximately 5%. This significant reduction has notable implications for ship propulsion performance. For instance, using only traditional open-water propeller curves to predict the self-propulsion point results in actual thrust being lower than expected values, preventing achievement of the target ship speed.

4.3.3. Validation of the Simplified Computational Method

To further validate the effectiveness of the proposed simplified algorithm, this study conducted additional CFD simulations of self-propelled ship-propeller systems in waves (which is referred to as the ‘high-fidelity method’ hereafter). The results from these high-fidelity simulations were then systematically compared with those obtained from the simplified approach. Figure 11 presents the schematic diagram and boundary condition configuration for the high-fidelity computations.
For the computational setup of the high-fidelity method, the DFBI approach was employed to simulate ship motions in waves. A PI controller was used to regulate the ship’s speed to 2.196 m/s under self-propulsion conditions. The entire computational domain was defined as the background region, with an overset grid established around the hull. In cell size and position between the overset and background regions. Mesh morphing was activated to ensure a smooth and natural transition Furthermore, for the propeller, an overset grid was adopted to better capture the intricate flow characteristics. A schematic of the background and overset mesh is shown in Figure 12.
Furthermore, to capture wave characteristics and mitigate the influence of reflected waves, a wave-forcing method was employed. Wave-forcing zones, each with a length of one ship length, were applied on all sides of the computational domain. The mesh was discretized to ensure at least 80 cells per wavelength and 10 cells per wave height, with the aspect ratio of any individual cell not exceeding 8:8:1. A fifth-order VOF wave model was selected for wave generation. The time step was set to 2.07 × 10−4 s with a maximum of 10 internal iterations per step. The simulation was configured for a maximum physical time of 25 s.
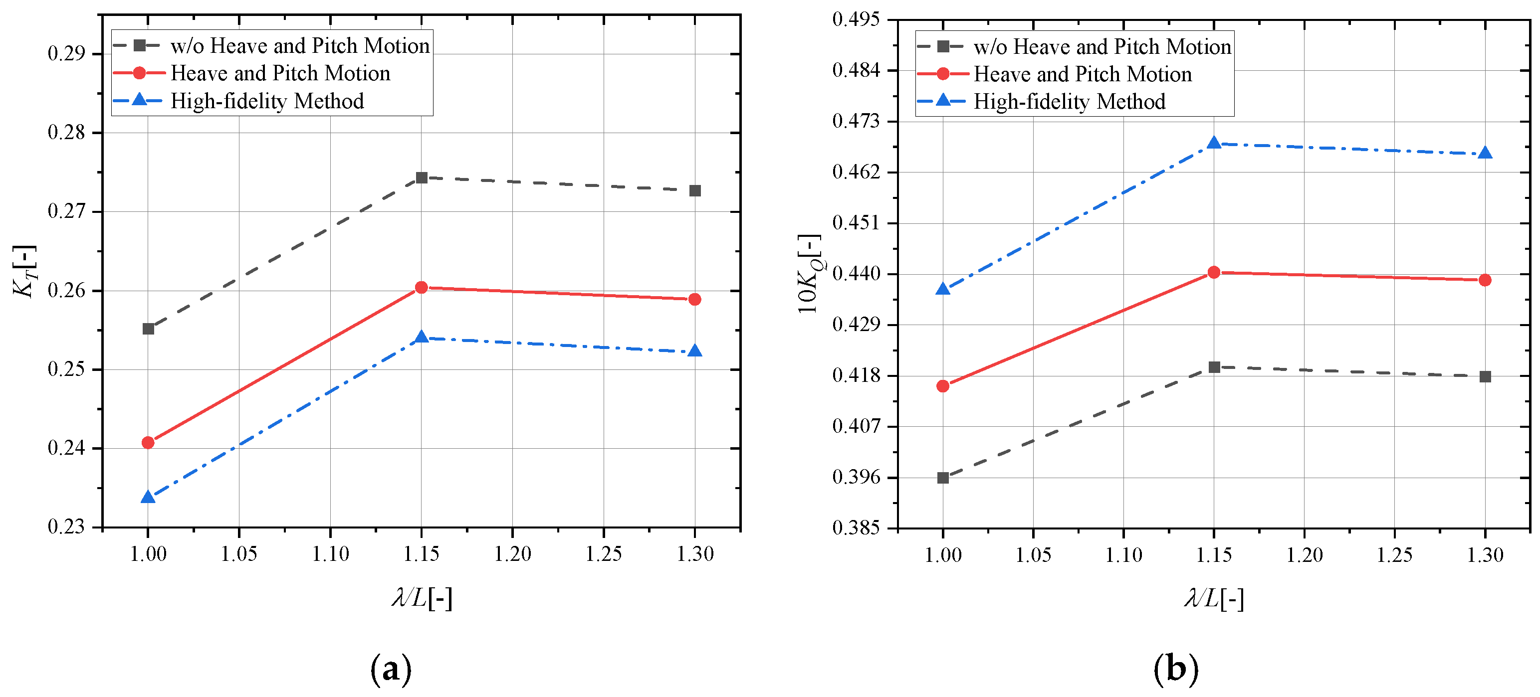
Figure 13 presents the computed thrust and torque coefficients of the propeller. The red line with circle symbol represents results from the simplified algorithm accounting for heave and pitch motions, while the black dash line with square symbol shows results from the same algorithm without considering these motions. The blue dash-dot line with triangle symbol corresponds to the high-fidelity CFD results.
The results presented in Figure 13 confirm that heave and pitch motions significantly influence propeller performance, leading to thrust reduction and torque increment. As shown, the hydrodynamic parameters for the propeller without heave and pitch motions deviate substantially from the high-fidelity results. In comparison, the proposed simplified algorithm effectively narrows this discrepancy—particularly for the thrust coefficient—demonstrating its validity.
Although the simplified method accounting for heave and pitch motions shows improved results, some discrepancies with the high-fidelity data remain. These differences stem primarily from the method’s assumption of uniform inflow (calculated using a wake fraction) rather than incorporating the actual non-uniform ship wake. Accurate modeling of non-uniform inflow, especially the complex wake field, remains computationally challenging. Furthermore, pressure fluctuations induced by ship motions in waves may significantly influence propeller cavitation dynamics. The underlying physics involved in these phenomena presents complex theoretical challenges that remain unresolved in the current research landscape.
It is noteworthy that, under identical computational resources, the simplified algorithm is four times more efficient than the high-fidelity approach. This substantial improvement enables systematic investigation of propeller performance across various operating conditions. Given the significantly reduced computational burden, the accuracy attained by the proposed method—especially in predicting thrust coefficient—represents a practical and rational balance between computational expense and result reliability. Consequently, the proposed method shows strong potential as an efficient tool for the systematic analysis of propeller performance in complex operational scenarios.

4.3.4. Analysis on the Hydrodynamic Performance of the Propeller Considering Different Wave Steepness

Based on the simplified method, we further investigate wave height effects on propeller performance. To this end, three typical dimensionless wavelengths (the three dimensionless wavelengths are 1.00, 1.15, and 1.30) were selected and for each wavelength three wave steepness factors, 1/30, 1/60, and 1/90, were systematically examined.
Table 8 summarizes the wave steepness, advance coefficient and ‘Ideal’ propeller rotation for each computational case. The heave and pitch motions under each computational case, which were determined according to Table 3, were incorporated into the proposed method to evaluate the propeller’s hydrodynamic performance across varying wave steepness conditions.
Figure 14 compares thrust coefficients across different wave steepness values at constant wavelengths, while Figure 15 presents the corresponding torque coefficients. In both figures, results for the propeller under heave and pitch motions are indicated by red solid lines, whereas blue dotted lines represent the propeller without these motions.
As shown in Figure 14 and Figure 15, both thrust and torque coefficients increase notably with greater wave steepness. This trend is attributed to the heightened wave-added resistance under steeper waves, which imposes an increased load on the propeller at a fixed sailing speed. Furthermore, the figures reaffirm the observed reduction in thrust and increase in torque resulting from heave and pitch motions.
Figure 16 illustrates the reduction in propeller efficiency caused by heave and pitch motions. This is examined for different wave steepness at a fixed wavelength. In the figure, the red solid line represents propeller efficiency incorporating heave and pitch effects, while the blue dotted line corresponds to the baseline efficiency without these motion-induced disturbances. The orange bar chart quantifies the absolute efficiency reduction between the two scenarios.
As seen in Figure 16, under the three tested wave steepness conditions, the propeller efficiency shows noticeable decreases when heave and pitch motions are considered compared to when they are not. Under low wave steepness of 1/90, the propeller efficiency experiences an absolute decrease of over six percentage points when accounting for heave and pitch effects, which is equivalent to a relative reduction exceeding 10%; whereas under high wave steepness of 1/30, the absolute efficiency drop exceeds three percentage points, corresponding to a relative reduction of approximately 7%.
It is interesting to find that the influence of heave and pitch motions on propeller efficiency is less pronounced under high wave steepness compared to low wave steepness conditions. This phenomenon can be attributed to the following mechanisms: while larger wave steepness corresponds to greater heave and pitch motion amplitudes, it simultaneously induces more significant wave-added resistance, consequently altering the propeller’s operating conditions under self-propulsion. At lower wave steepness, the propeller operates at a relatively lower rotational rate and, therefore, the circumferential inflow velocity of the propeller is relatively low. When the radial inflow velocity of the propeller is affected by heave and pitch motions, the resulting changes in the hydrodynamic pitch angle of propeller blades become more pronounced, leading to greater variations in overall hydrodynamic performance. Conversely, at higher wave steepness, the propeller rotates faster, and the circumferential inflow velocity increases. In this scenario, the influence of heave and pitch motions on the advance velocity has relatively less impact on the propeller’s overall performance, despite the larger heave and pitch motion amplitudes.

4.3.5. Impact of Independent Heave and Pitch Motions on Propeller Hydrodynamics

In all the numerical results presented above, both heave motion and pitch motion were simultaneously applied to the propeller during calculations. To better understand their individual contributions to propeller hydrodynamics, this section separately examines the effects of isolated heave motion and pitch motion. Following the same operating conditions listed in Table 3 and Table 4, we applied these individual motions to our proposed simplified method.
Figure 17 presents variations in propeller hydrodynamic performance across varying wavelength conditions, under three kinematic configurations: coupled heave and pitch motions (black dotted line with square symbol), isolated heave motion (blue dotted line with circle symbol), and isolated pitch motion (red dash-dotted line with triangle symbol).
Figure 17a shows that isolated heave motion generates higher thrust than coupled heave-pitch motion, while isolated pitch motion results in lower thrust. Figure 17b further indicates that both isolated heave and pitch motions produce greater torque than the coupled motion. Interestingly, Figure 17c reveals that the coupled heave-pitch motion does not result in the lowest efficiency among the three cases—instead, the isolated pitch motion leads to the most substantial efficiency reduction. These findings suggest that hydrodynamic coupling between heave and pitch motions introduces a nonlinear, counteracting effect on efficiency loss, rather than a simple additive combination of individual motion penalties. As can be seen from the figure, compared to heave motion, the ship’s pitch motion has a more significant impact on propeller performance, not only reducing the thrust but also causing a noticeable decrease in propeller efficiency.

5. Conclusions

This study develops a simplified computational method for assessing propeller performance under wave-induced heave and pitch motions. The methodology integrates potential flow theory-derived motion RAOs with CFD-based hydrodynamic analysis, where prescribed heave and pitch motions are systematically imposed on the propeller.
Numerical tests were conducted based on the KCS container ship and its matched KP505 propeller. The numerical results demonstrated that the wave-induced heave and pitch motions lead to a consistent performance degradation, manifested by thrust reduction and torque increase, ultimately leading to an absolute efficiency decrease of 3 to 6 percentage points across all tested wave conditions (equivalent to approximately 10% relative reduction).
Verification against high-fidelity CFD results confirms that the proposed method delivers fairly good accuracy and high computational efficiency. It therefore shows strong potential as an effective tool for the systematic analysis of propeller performance in complex operational scenarios.

Author Contributions

Conceptualization and methodology, W.Z. and R.W.; investigation and validation, G.X. and S.W.; formal analysis, G.X. and W.Z.; resources, R.W.; data curation, G.X.; writing—original draft preparation, G.X.; writing—review and editing, W.Z.; visualization, G.X. and S.W.; supervision, R.W.; project administration, W.Z. and R.W. All authors have read and agreed to the published version of the manuscript.

Funding

This research was funded by Open Funding Project of the State Key Laboratory of Maritime Technology and Safety.

Data Availability Statement

Data will be made available on request to the corresponding author.

Conflicts of Interest

Author Rui Wu was employed by Shanghai Ship and Shipping Research Institute Co., Ltd. The remaining authors declare that the research was conducted in the absence of any commercial or financial relationships that could be construed as a potential conflict of interest.

References

  1. IMO. Guidelines on the Method of Calculation of the Attained Energy Efficiency Design Index (EEDI) for New Ships; International Maritime Organization: London, UK, 2018.
  2. IMO. EEXI and CII—Ship Carbon Intensity and Rating System; IMO International Maritime Law Institute: Msida, Malta, 2021.
  3. Joung, T.-H.; Kang, S.-G.; Lee, J.-K.; Ahn, J. The IMO initial strategy for reducing Greenhouse Gas(GHG) emissions, and its follow-up actions towards 2050. J. Int. Marit. Saf. Environ. Aff. Shipp. 2020, 4, 1–7. [Google Scholar] [CrossRef]
  4. Tavakoli, S.; Saettone, S.; Steen, S.; Andersen, P.; Schramm, J.; Pedersen, E. Modeling and analysis of performance and emissions of marine lean-burn natural gas engine propulsion in waves. Appl. Energy 2020, 279, 115904. [Google Scholar] [CrossRef]
  5. Saettone, S.; Tavakoli, S.; Taskar, B.; Jensen, M.V.; Pedersen, E.; Schramm, J.; Steen, S.; Andersen, P. The importance of the engine-propeller model accuracy on the performance prediction of a marine propulsion system in the presence of waves. Appl. Ocean Res. 2020, 103, 102320. [Google Scholar] [CrossRef]
  6. Irannezhad, M.; Kjellberg, M.; Bensow, R.E.; Eslamdoost, A. Experimental and numerical investigations of propeller open water characteristics in calm water and regular head waves. Ocean Eng. 2024, 302, 117703. [Google Scholar] [CrossRef]
  7. Acanfora, M.; De Luca, F.; Pigazzini, R.; Altosole, M. An experimental study on the open water characteristics of a ship propeller in waves. Appl. Ocean Res. 2025, 154, 104331. [Google Scholar] [CrossRef]
  8. Cosgun, T.; Esenkalan, M.; Kinaci, O.K. Four-quadrant propeller hydrodynamic performance mapping for improving ship motion predictions. Brodogradnja 2024, 75, 306. [Google Scholar] [CrossRef]
  9. Liang, L.; Hao, Z.; Chaonan, Z.; Jinbiao, C.; Baoji, Z.; Xiangen, B.; Shengyao, S.; Qian, C.; Weijia, Z. Study on the effect of marine propeller wake on sediment siltation in a shallow water channel. Brodogradnja 2024, 75, 75308–75322. [Google Scholar] [CrossRef]
  10. Yurtseven, A.; Aktay, K. The numerical investigation of spindle torque for a controllable pitch propeller in feathering maneuver. Brodogradnja 2023, 74, 95–108. [Google Scholar] [CrossRef]
  11. Grlj, C.G.; Degiuli, N.; Farkas, A.; Martić, I. Numerical Study of Scale Effects on Open Water Propeller Performance. J. Mar. Sci. Eng. 2022, 10, 1132. [Google Scholar] [CrossRef]
  12. Ueno, M.; Tsukada, Y.; Tanizawa, K. Estimation and prediction of effective inflow velocity to propeller in waves. J. Mar. Sci. Technol. 2013, 18, 339–348. [Google Scholar] [CrossRef]
  13. Ueno, M.; Tsukada, Y. Estimation of full-scale propeller torque and thrust using free-running model ship in waves. Ocean Eng. 2016, 120, 30–39. [Google Scholar] [CrossRef]
  14. Cai, B.; Qiu, L.; Tian, B.; Xu, Q.; Mao, X.; Chai, W.; Zhan, X. Research on predicting methods of propeller-hull interactions in head waves. Ocean Eng. 2023, 269, 113493. [Google Scholar] [CrossRef]
  15. Gamal, H.; Kotb, M.A.; Abdel-Maksoud, M.; Ahmed, T.M. Influence of Head Waves Encounter on the KRISO Container Ship (KCS) Propulsion. In Proceedings of the 8th International Symposium on Marine Propulsors (smp 2024), Berlin, Germany, 17–20 March 2024. [Google Scholar] [CrossRef]
  16. Woeste, J.T.; O’reilly, C.M.; Gouveia, R.K.; Young, Y.L. Propeller–hull interactions and added power in head seas. Ocean Eng. 2022, 247, 110630. [Google Scholar] [CrossRef]
  17. Sadat-Hosseini, H.; Toxopeus, S.; Kim, D.H.; Castiglione, T.; Sanada, Y.; Stocker, M.; Simonsen, C.; Otzen, J.F.; Toda, Y.; Stern, F. Experiments and Computations for KCS Added Resistance for Variable Heading. In Proceedings of the SNAME Maritime Convention and 5th World Maritime Technology Conference, Providence, RI, USA, 3–7 November 2015. [Google Scholar]
  18. Ortolani, F.; Santic, I.; Dubbioso, G. On the performance of marine propeller in regular waves, Part I: Single Blade loads in moderate sea states. Ocean Eng. 2024, 309, 118290. [Google Scholar] [CrossRef]
  19. Wang, L.; Guo, C.; Su, Y.; Xu, P.; Wu, T. Numerical analysis of a propeller during heave motion in cavitating flow. Appl. Ocean Res. 2017, 66, 131–145. [Google Scholar] [CrossRef]
  20. Wang, L.; Guo, C.; Wan, L.; Su, Y.M. Numerical analysis of propeller during heave motion near a free surface. Mar. Technol. Soc. J. 2017, 51, 40–51. [Google Scholar] [CrossRef]
  21. Lee, J.-H.; Kim, Y. Study on ship operation performance in actual seaways using time-domain free-running simulation. Proc. Inst. Mech. Eng. Part M J. Eng. Marit. Environ. 2020, 235, 885–904. [Google Scholar] [CrossRef]
  22. Okuda, R.; Yasukawa, H.; Matsuda, A. Validation of maneuvering simulations for a KCS at different forward speeds using the 4-DOF MMG method. Ocean Eng. 2023, 284, 115174. [Google Scholar] [CrossRef]
  23. Stark, C.; Shi, W. Hydroacoustic and hydrodynamic investigation of bio-inspired leading-edge tubercles on marine-ducted thrusters. R. Soc. Open Sci. 2021, 8, 210402. [Google Scholar] [CrossRef] [PubMed]
  24. Lee, S.; Paik, K.-J. Urans simulation of a partially submerged propeller operating under the bollard condition. Brodogradnja 2018, 69, 107–121. [Google Scholar] [CrossRef]
  25. Mikkelsen, H.; Shao, Y.; Walther, J.H.H. CFD verification and validation of added resistance and seakeeping response in regular oblique waves with varying wave length. In Proceedings of the 9th Conference on Computational Methods in Marine Engineering (Marine 2021), Edinburgh, UK, 2–4 June 2021. [Google Scholar] [CrossRef]
  26. Song, S.; Demirel, Y.K.; Atlar, M. Penalty of hull and propeller fouling on ship self-propulsion performance. Appl. Ocean Res. 2020, 94, 102006. [Google Scholar] [CrossRef]
  27. Stern, F.; Wilson, R.V.; Coleman, H.V.; Paterson, E.G. Verification and validation of CFD simulations. In Proceedings of the 3rd ASME/JSME Joint Fluids Engineering Conference: FEDSM’99, San Francisco, CA, USA, 18–23 July 1999. [Google Scholar]
  28. Grlj, C.G.; Degiuli, N.; Martić, I. Experimental and numerical assessment of the effect of speed and loading conditions on the nominal wake of a containership. Brodogradnja 2024, 75, 75405. [Google Scholar] [CrossRef]
Figure 1. Schematic diagram of computational domain decomposition.
Figure 1. Schematic diagram of computational domain decomposition.
Jmse 13 02041 g001
Figure 2. Schematic diagram of the heave and pitch motions of the propeller.
Figure 2. Schematic diagram of the heave and pitch motions of the propeller.
Jmse 13 02041 g002
Figure 3. KCS ship model.
Figure 3. KCS ship model.
Jmse 13 02041 g003
Figure 4. KP505 propeller.
Figure 4. KP505 propeller.
Jmse 13 02041 g004
Figure 5. Transitional mesh between intermediate zone and outermost zone.
Figure 5. Transitional mesh between intermediate zone and outermost zone.
Jmse 13 02041 g005
Figure 6. Prism layer mesh of propeller.
Figure 6. Prism layer mesh of propeller.
Jmse 13 02041 g006
Figure 7. Heave and pitch RAOs and phases for the KCS ship advancing at Fr = 0.26 in head waves [17]. (a) Heave RAO; (b) Pitch RAO; (c) Phase of heave motion; (d) Phase of pitch motion.
Figure 7. Heave and pitch RAOs and phases for the KCS ship advancing at Fr = 0.26 in head waves [17]. (a) Heave RAO; (b) Pitch RAO; (c) Phase of heave motion; (d) Phase of pitch motion.
Jmse 13 02041 g007
Figure 8. Open-water characteristics of the KP505 propeller in calm water.
Figure 8. Open-water characteristics of the KP505 propeller in calm water.
Jmse 13 02041 g008
Figure 9. The motion state of the propeller and the variation of the hydrodynamic coefficient with time at λ/L = 1.15 (a) Kinematic profile of the propeller heave and pitch motions; (b) Computed torque and thrust coefficient.
Figure 9. The motion state of the propeller and the variation of the hydrodynamic coefficient with time at λ/L = 1.15 (a) Kinematic profile of the propeller heave and pitch motions; (b) Computed torque and thrust coefficient.
Jmse 13 02041 g009
Figure 10. The variations of the propeller hydrodynamic coefficients at λ/L = 1.00 and λ/L = 1.30 (a) Wavelengths λ/L = 1.00; (b) Wavelengths λ/L = 1.30.
Figure 10. The variations of the propeller hydrodynamic coefficients at λ/L = 1.00 and λ/L = 1.30 (a) Wavelengths λ/L = 1.00; (b) Wavelengths λ/L = 1.30.
Jmse 13 02041 g010
Figure 11. Configuration for the self-propulsion analysis in waves using a fully discretized ship–propeller system.
Figure 11. Configuration for the self-propulsion analysis in waves using a fully discretized ship–propeller system.
Jmse 13 02041 g011
Figure 12. Mesh setup for the self-propulsion analysis in waves using a fully discretized ship-propeller system.
Figure 12. Mesh setup for the self-propulsion analysis in waves using a fully discretized ship-propeller system.
Jmse 13 02041 g012
Figure 13. Comparison of the hydrodynamic performance of propeller under different wavelengths in three design scenarios (a) Comparison of thrust coefficient; (b) Comparison of torque coefficient.
Figure 13. Comparison of the hydrodynamic performance of propeller under different wavelengths in three design scenarios (a) Comparison of thrust coefficient; (b) Comparison of torque coefficient.
Jmse 13 02041 g013
Figure 14. Comparison of thrust coefficients under different wave steepness of the same wavelength (a) Dimensionless wavelengths λ/L = 1.00; (b) Dimensionless wavelengths λ/L = 1.15; (c) Dimensionless wavelengths λ/L = 1.30.
Figure 14. Comparison of thrust coefficients under different wave steepness of the same wavelength (a) Dimensionless wavelengths λ/L = 1.00; (b) Dimensionless wavelengths λ/L = 1.15; (c) Dimensionless wavelengths λ/L = 1.30.
Jmse 13 02041 g014
Figure 15. Comparison of torque coefficients under different wave steepness of the same wavelength (a) Dimensionless wavelengths λ/L = 1.00; (b) Dimensionless wavelengths λ/L = 1.15; (c) Dimensionless wavelengths λ/L = 1.30.
Figure 15. Comparison of torque coefficients under different wave steepness of the same wavelength (a) Dimensionless wavelengths λ/L = 1.00; (b) Dimensionless wavelengths λ/L = 1.15; (c) Dimensionless wavelengths λ/L = 1.30.
Jmse 13 02041 g015
Figure 16. Comparison of propeller efficiencies under different wave steepness of the same wavelength (the orange bars indicate the absolute efficiency reduction of the propeller caused by heave and pitch motions) (a) Dimensionless wavelengths λ/L = 1.00; (b) Dimensionless wavelengths λ/L = 1.15; (c) Dimensionless wavelengths λ/L = 1.30.
Figure 16. Comparison of propeller efficiencies under different wave steepness of the same wavelength (the orange bars indicate the absolute efficiency reduction of the propeller caused by heave and pitch motions) (a) Dimensionless wavelengths λ/L = 1.00; (b) Dimensionless wavelengths λ/L = 1.15; (c) Dimensionless wavelengths λ/L = 1.30.
Jmse 13 02041 g016
Figure 17. Comparative analysis of hydrodynamic performance across varying wavelength for different propeller motion configurations (a) Comparison of thrust coefficient; (b) Comparison of torque coefficient; (c) Comparison of propeller efficiency.
Figure 17. Comparative analysis of hydrodynamic performance across varying wavelength for different propeller motion configurations (a) Comparison of thrust coefficient; (b) Comparison of torque coefficient; (c) Comparison of propeller efficiency.
Jmse 13 02041 g017
Table 1. KCS hull principal parameters.
Table 1. KCS hull principal parameters.
ParametersValue
Length L230 m
Beam B32.2 m
Displacement volume ∇52,030 m3
Draft T10.8 m
Moment of Inertia Kxx/B0.40
Moment of Inertia Kyy/L0.25
Moment of Inertia Kzz/L0.25
Table 2. Propeller principal parameters.
Table 2. Propeller principal parameters.
ParametersValue
Diameter D0.250 m
Number of blades5
P/D (0.7R)0.997
Rotation directionright-handed
Table 3. Propeller motions under different wavelength conditions.
Table 3. Propeller motions under different wavelength conditions.
Dimensionless Wavelength λ/LThe Amplitude of Heave Motion RAOThe Amplitude of Pitch Motion RAOThe Phase of Heave Motion (Rad)The Phase of Pitch Motion (Rad)
1.000.7140.6130.88003.0818
1.150.9960.8440.33972.6240
1.300.9840.9220.09062.3532
Table 4. Hull and propeller parameters at different test cases (at 1/31.6 model scale).
Table 4. Hull and propeller parameters at different test cases (at 1/31.6 model scale).
Dimensionless Wavelength λ/LAdded Resistance Coefficient σawTotal Resistance R (N)Advance Coefficient J‘Ideal’ Propeller Rotation Speed n (rps)
1.007.94155.420.55712.490
1.159.88161.590.51913.400
1.307.56158.660.52213.318
Table 5. Details of mesh distribution.
Table 5. Details of mesh distribution.
DomainCoarseMediumFine
Outermost Zone0.77 M1.01 M1.34 M
Intermediate Zone4.28 M5.50 M7.32 M
Innermost Zone0.27 M0.37 M0.49 M
Total5.23 M6.88 M9.15 M
Table 6. Results of grid convergence validation (λ/L = 1.15).
Table 6. Results of grid convergence validation (λ/L = 1.15).
ε23%SG3 (a)ε21%SG3 (b)RG (c)Con. (d)PG (f)CG (g)UG%SG3 (h)U1%SG3 (i)
KQ0.38240.26890.7032Mon. (e)1.23450.54880.40880.0109
KT0.35220.27260.7741Mon.0.89770.37950.74900.0168
(a) ε23%SG3 = Relative percentage error between SG2 and SG3. (b) ε21%SG3 = Relative percentage error between SG2 and SG1. (c) RG = Grid convergence condition. (d) Con. = Convergence. (e) Mon. = Monotonic. (f) PG = Estimated order of accuracy for grid convergence. (g) CG = Correction factor of calculation for grid convergence. (h) UG%SG3 = Discretization uncertainty of grid. (i) U1%SG3 = Iterative uncertainty of grid.
Table 7. Results of time step convergence validation (λ/L = 1.15).
Table 7. Results of time step convergence validation (λ/L = 1.15).
ε23%ST3 (a)ε21%ST3 (b)RT (c)Con. (d)PT (f)CT (g)UT%ST3 (h)U1%ST3 (i)
KQ−0.1972−0.15120.7669Mon. (e)0.38290.30400.64860.0107
KT−0.2774−0.13230.4771Mon.1.06781.09620.02430.0006
(a) ε23%ST3 = Relative percentage error between ST2 and ST3. (b) ε21%ST3 = Relative percentage error between ST2 and ST1. (c) RT = Time step convergence condition. (d) Con. = Convergence. (e) Mon. = Monotonic. (f) PT = Estimated order of accuracy for time step convergence. (g) CT = Correction factor of calculation for time step convergence. (h) UT%ST3 = Discretization uncertainty of time step. (i) U1%ST3 = Iterative uncertainty of time step.
Table 8. Hull and propeller parameters used for the simulations at different wave steepness.
Table 8. Hull and propeller parameters used for the simulations at different wave steepness.
Dimensionless Wavelength λ/LWave Steepness
H/λ
Advance Coefficient J‘Ideal’ Propeller Rotation Speed n(rps)
1.001/300.43216.091
1/600.55712.490
1/900.59811.643
1.151/300.37518.553
1/600.51913.400
1/900.57512.101
1.301/300.37818.411
1/600.52313.318
1/900.57712.075
Disclaimer/Publisher’s Note: The statements, opinions and data contained in all publications are solely those of the individual author(s) and contributor(s) and not of MDPI and/or the editor(s). MDPI and/or the editor(s) disclaim responsibility for any injury to people or property resulting from any ideas, methods, instructions or products referred to in the content.

Share and Cite

MDPI and ACS Style

Zhang, W.; Xu, G.; Wang, S.; Wu, R. A Simplified Prediction Method for the Hydrodynamic Performance of Ship Propellers Under Heave and Pitch Motions. J. Mar. Sci. Eng. 2025, 13, 2041. https://doi.org/10.3390/jmse13112041

AMA Style

Zhang W, Xu G, Wang S, Wu R. A Simplified Prediction Method for the Hydrodynamic Performance of Ship Propellers Under Heave and Pitch Motions. Journal of Marine Science and Engineering. 2025; 13(11):2041. https://doi.org/10.3390/jmse13112041

Chicago/Turabian Style

Zhang, Wei, Guoliang Xu, Siyu Wang, and Rui Wu. 2025. "A Simplified Prediction Method for the Hydrodynamic Performance of Ship Propellers Under Heave and Pitch Motions" Journal of Marine Science and Engineering 13, no. 11: 2041. https://doi.org/10.3390/jmse13112041

APA Style

Zhang, W., Xu, G., Wang, S., & Wu, R. (2025). A Simplified Prediction Method for the Hydrodynamic Performance of Ship Propellers Under Heave and Pitch Motions. Journal of Marine Science and Engineering, 13(11), 2041. https://doi.org/10.3390/jmse13112041

Note that from the first issue of 2016, this journal uses article numbers instead of page numbers. See further details here.

Article Metrics

Back to TopTop