A Frequency Optimization Method Considering Acoustic Cavitation for Maximizing Received Power in Underwater Wireless Ultrasonic Power Transfer Systems
Abstract
1. Introduction
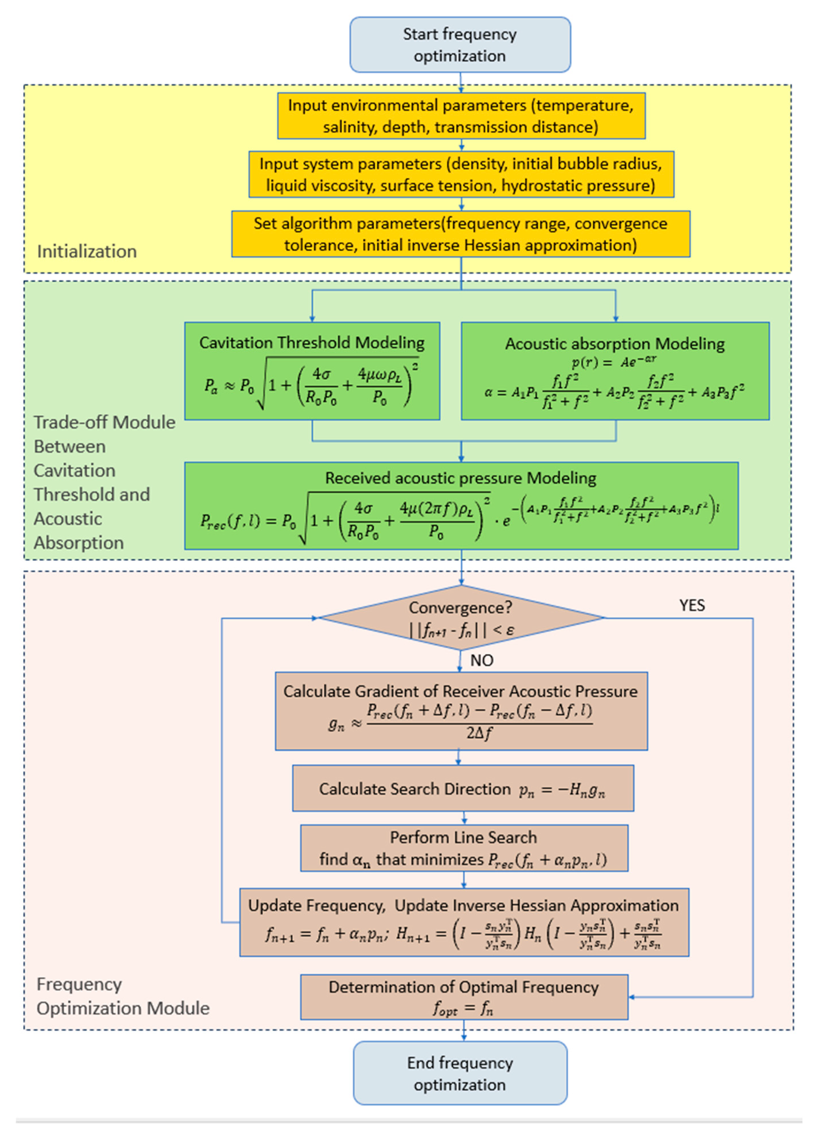
2. Method
2.1. Trade-Off Model Between Cavitation Threshold and Acoustic Absorption
2.1.1. Theoretical Modeling of the Relationship Between Cavitation Threshold and Ultrasonic Frequency
2.1.2. Acoustic Absorption Modeling
2.1.3. Received Acoustic Pressure Modeling
2.2. Frequency Optimization for Maximum Received Power
3. Results and Discussion
3.1. Validation of the Frequency—Cavitation Threshold Relationship
3.2. Impact of Frequency on Received Sound Pressure
3.2.1. Experimental Setup
3.2.2. Experimental Result
3.3. Dependence of the Optimal Frequency on Transmission Distance
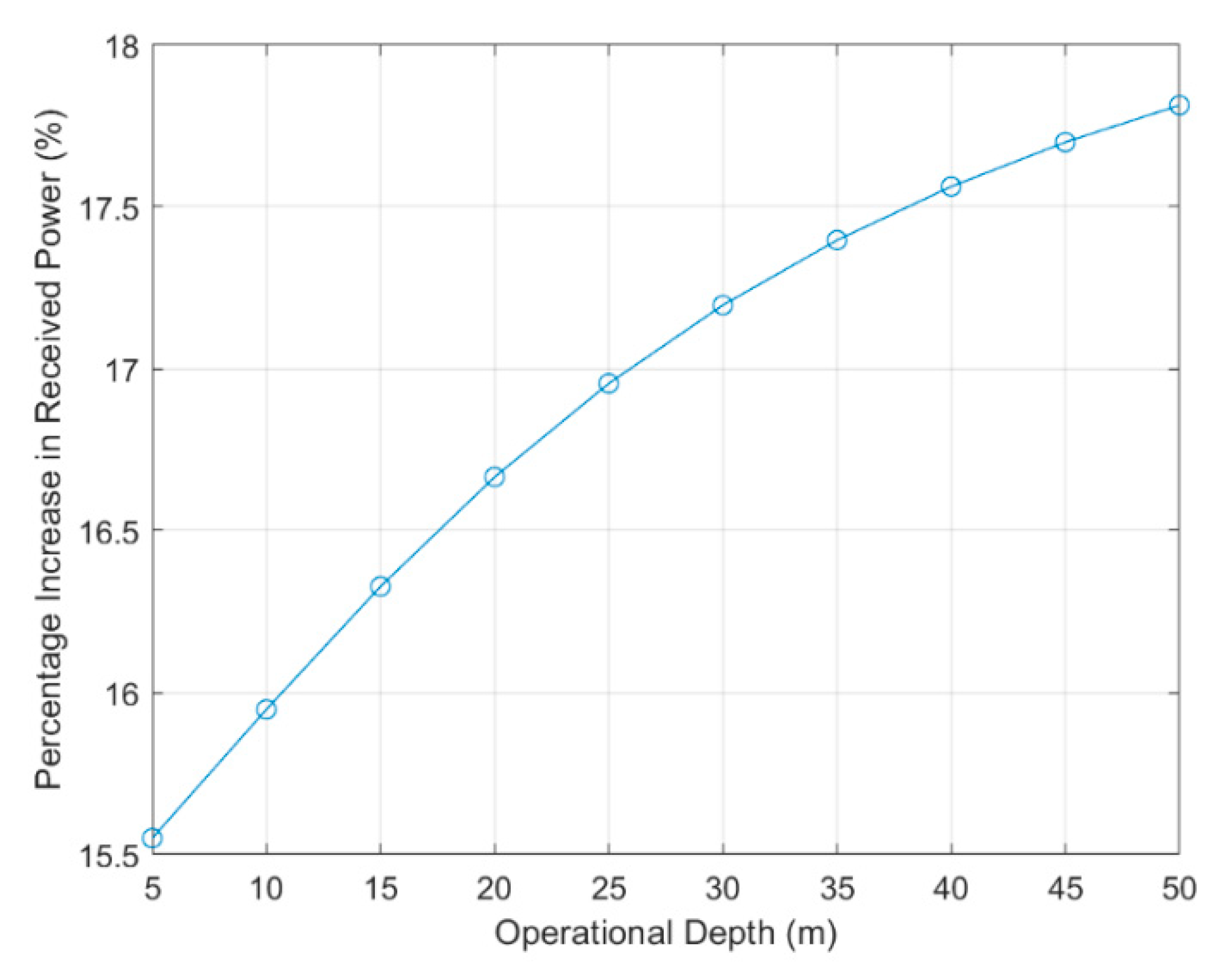
3.4. Dependence of the Optimal Frequency on Operational Depth and Salinity
3.5. Dependence of the Optimal Frequency on Dominant Cavitation Nucleus Radius
3.6. Performance Enhancement with the Optimal Frequency Selection
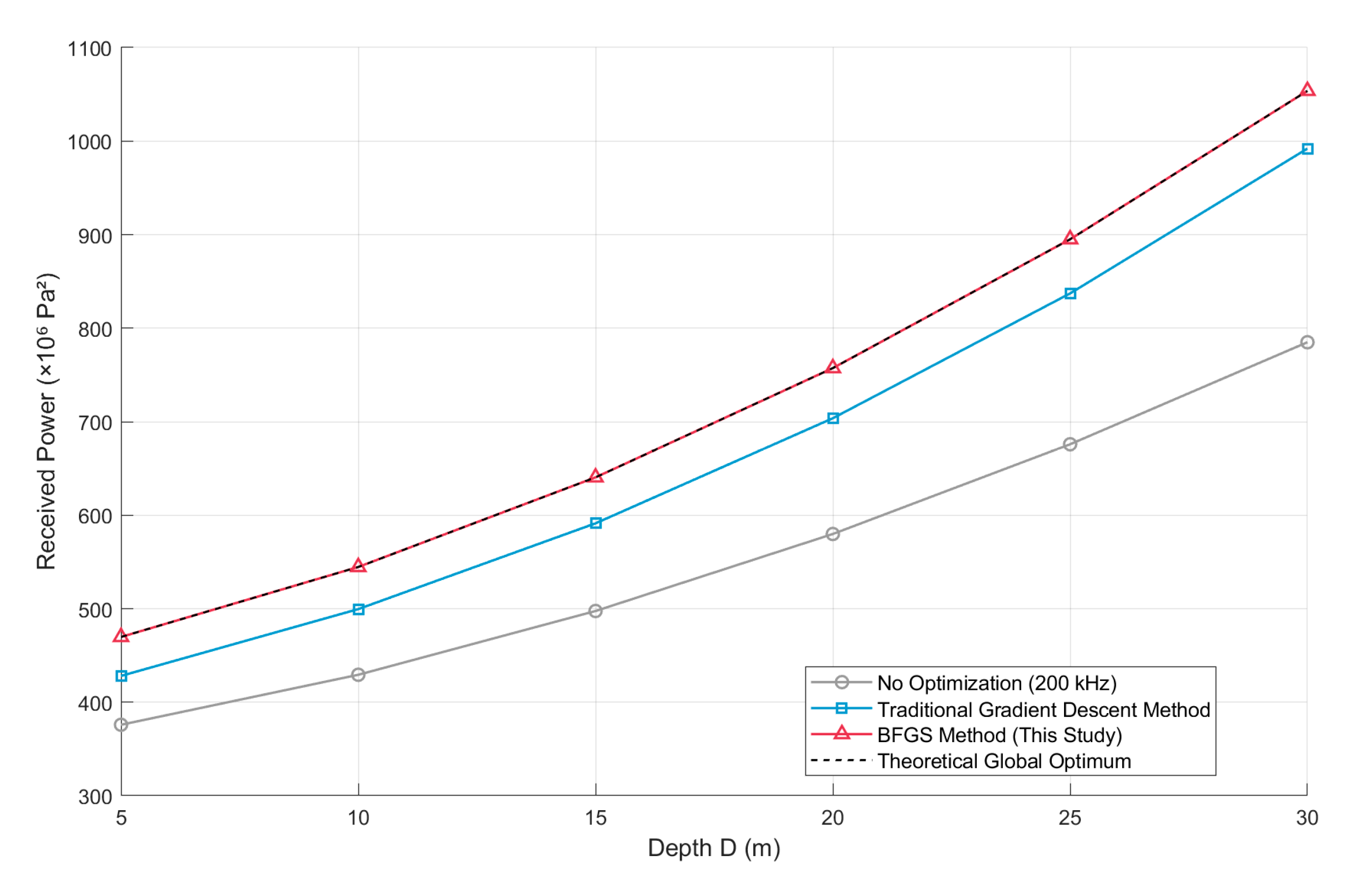
3.7. Comparison of Different Frequency Selection Strategies
3.8. Convergence Stability Validation of the Frequency Optimization Algorithm
3.9. Applications for Frequency Optimization Method in Typical Underwater Environments
4. Conclusions and Future Works
Author Contributions
Funding
Data Availability Statement
Acknowledgments
Conflicts of Interest
References
- Yang, L.; Li, X.; Zhang, Y.; Feng, B.; Yang, T.; Wen, H.; Tian, J.; Zhu, D.; Huang, J.; Zhang, A.; et al. A review of underwater inductive wireless power transfer system. IET Power Electron. 2024, 17, 894–905. [Google Scholar] [CrossRef]
- Lin, M.; Zhang, F.; Yang, C.; Li, D.; Lin, R. Design of bidirectional power converters coupled with coils for wireless charging of AUV docking systems. J. Mar. Sci. Technol. 2022, 27, 873–886. [Google Scholar] [CrossRef]
- Mohsan, S.A.H.; Khan, M.A.; Mazinani, A.; Alsharif, M.H.; Cho, H.-S. Enabling underwater wireless power transfer towards sixth generation (6g) wireless networks: Opportunities, recent advances, and technical challenges. J. Mar. Sci. Eng. 2022, 10, 1282. [Google Scholar] [CrossRef]
- Liu, Y.; Li, B.; Pan, L.; Yao, S.; Dong, Z.; Zhang, J.; Zhu, C.; Cui, S. Review on Development and Research of Underwater Capacitive Power Transfer. Energies 2024, 17, 6496. [Google Scholar] [CrossRef]
- Liu, Z.; Li, F.; Tao, C.; Li, S.; Wang, L. Design of wireless power transfer system for autonomous underwater vehicles considering seawater eddy current loss. Microsyst. Technol. 2021, 27, 3783–3792. [Google Scholar] [CrossRef]
- Guida, R.; Demirors, E.; Dave, N.; Melodia, T. Underwater ultrasonic wireless power transfer: A battery-less platform for the internet of underwater things. IEEE Trans. Mob. Comput. 2020, 21, 1861–1873. [Google Scholar] [CrossRef]
- Liu, Z.; Zhang, T.; Yuan, Y.; Li, Y.; Geng, Y. Evaluation Method for Underwater Ultrasonic Energy Radiation Performance Based on the Spatial Distribution Characteristics of Acoustic Power. Sensors 2024, 24, 3942. [Google Scholar] [CrossRef]
- Zhu, Y.; Moheimani, S.O.R.; Yuce, M.R. Ultrasonic energy transmission and conversion using a 2-D MEMS resonator. IEEE Electron Device Lett. 2010, 31, 374–376. [Google Scholar] [CrossRef]
- Zhao, Y.; Du, Y.; Wang, Z.; Wang, J.; Geng, Y. Design of ultrasonic transducer structure for underwater wireless power transfer system. In Proceedings of the 2021 IEEE Wireless Power Transfer Conference (WPTC), San Diego, CA, USA, 1–4 June 2021; IEEE: Piscataway, NJ, USA, 2021; pp. 1–4. [Google Scholar]
- Liu, L.; Abdulla, W.H. Optimizing Ultrasonic Wireless Power Transfer Systems: Theoretical and Experimental Analysis of Piezoelectric Transducer Resonance. IEEE Sens. J. 2025, 25, 10694–10706. [Google Scholar] [CrossRef]
- Liu, Z.; Zhang, T.; Geng, Y.; An, T. Underwater wireless high-efficiency energy transmission method based on the ultrasonic transducer array. In Proceedings of the 2021 IEEE 21st International Conference on Communication Technology (ICCT), Tianjin, China, 13–16 October 2021; IEEE: Piscataway, NJ, USA, 2021. [Google Scholar]
- Richards, S.D. The effect of temperature, pressure, and salinity on sound attenuation in turbid seawater. J. Acoust. Soc. Am. 1998, 103, 205–211. [Google Scholar] [CrossRef]
- Tiong, T.J.; Chu, J.K.; Tan, K.W. Advancements in Acoustic Cavitation Modelling: Progress, Challenges, and Future Directions in Sonochemical Reactor Design. Ultrason. Sonochem. 2025, 112, 107163. [Google Scholar] [CrossRef]
- Maciulevičius, M.; Ragaišė, D.; Rulinskaitė, R.; Raišutis, R.; Svilainis, L.; Chaziachmetovas, A.; Saleniece, K.; Šatkauskas, S. Ca2+ Delivery into Cell Suspension and Spheroid Models via Ultrasound-induced Inertial Cavitation. J. Drug Deliv. Sci. Technol. 2025, 111, 107132. [Google Scholar] [CrossRef]
- Yusof, N.S.M.; Babgi, B.; Alghamdi, Y.; Aksu, M.; Madhavan, J.; Ashokkumar, M. Physical and chemical effects of acoustic cavitation in selected ultrasonic cleaning applications. Ultrason. Sonochem. 2016, 29, 568–576. [Google Scholar] [CrossRef]
- Fang, L.H.; Rahim, R.A.; Fahmi, M.I.; Kupusamy, V. Modelling and Characterization Piezoelectric Transducer for Sound Wave Energy Harvesting. J. Adv. Res. Fluid Mech. Therm. Sci. 2023, 103, 81–98. [Google Scholar] [CrossRef]
- Xu, H.; He, Z.; Shi, Q.; Gao, J.; Zhou, T. Transmitting beam control method of underwater acoustic transducer array based on global optimization. IEEE Sens. J. 2023, 23, 17491–17498. [Google Scholar] [CrossRef]
- Liu, Z.; Zhang, T.; Li, Y.; Yuan, Y.; Mahmud, N.; Geng, Y. Dynamic Frequency Optimization for Underwater Acoustic Energy Transmission: Balancing Absorption and Geometric Diffusion in Marine Environments. J. Mar. Sci. Eng. 2025, 13, 1089. [Google Scholar] [CrossRef]
- Ma, Y.; Liang, B.; Wang, J.; Cheng, B.; Yan, Z.; Dong, M.; Mao, Z. A Novel Hill Climbing-Golden Section Search Maximum Energy Efficiency Tracking Method for Wireless Power Transfer Systems in Unmanned Underwater Vehicles. J. Mar. Sci. Eng. 2024, 12, 1336. [Google Scholar] [CrossRef]
- Zuo, C.; Yang, M.; Li, S. Frequency tracking of piezoelectric transducer based on the current and phase difference. J. Appl. Acoust. 2016, 35, 189–194. [Google Scholar]
- Felemban, E. Acoustic frequency optimization for underwater wireless sensor network. Int. J. Adv. Comput. Sci. Appl. 2020, 11, 642–648. [Google Scholar] [CrossRef]
- Nguyen, T.T.; Asakura, Y.; Koda, S.; Yasuda, K. Dependence of cavitation, chemical effect, and mechanical effect thresholds on ultrasonic frequency. Ultrason. Sonochem. 2017, 39, 301–306. [Google Scholar] [CrossRef]
- Sponer, J. Dependence of the cavitation threshold on the ultrasonic frequency. Czechoslov. J. Phys. 1990, 40, 1123–1132. [Google Scholar] [CrossRef]
- Franc, J.P. The Rayleigh-Plesset equation: A simple and powerful tool to understand various aspects of cavitation. In Fluid Dynamics of Cavitation and Cavitating Turbopumps; Springer: Vienna, Austria, 2007; pp. 1–41. [Google Scholar]
- Francois, R.E.; Garrison, G.R. Sound absorption based on ocean measurements. Part II: Boric acid contribution and equation for total absorption. J. Acoust. Soc. Am. 1982, 72, 1879–1890. [Google Scholar] [CrossRef]
- Yount, D.E.; Gillary, E.W.; Hoffman, D.C. A microscopic investigation of bubble formation nuclei. J. Acoust. Soc. Am. 1984, 76, 1511–1521. [Google Scholar] [CrossRef]
- Le Menn, M.; Albo, P.A.G.; Lago, S.; Romeo, R.; Sparasci, F. The absolute salinity of seawater and its measurands. Metrologia 2018, 56, 015005. [Google Scholar] [CrossRef]
- Hamilton, E.L. Sound attenuation as a function of depth in the sea floor. J. Acoust. Soc. Am. 1976, 59, 528–535. [Google Scholar] [CrossRef]
















| Comparison Dimension | No Optimization Strategy (200 kHz) | Traditional Gradient Descent Method | BFGS Method in This Paper |
|---|---|---|---|
| Power Loss Rate (Relative to Global Optimum) | 20.00–25.50% | 5.85–8.87% | 0.00% |
| Number of Convergence Iterations | (No Iteration) | 637–1137 times | 9 times |
| Relative Frequency Error | Severely Deviated | 116.9–177.2% (Local Optimum) | <0.1% |
| Depth (m) | Minimum Received Power (Pa2) | Maximum Received Power (Pa2) | Mean Value (Pa2) | Coefficient of Variation (%) |
|---|---|---|---|---|
| 5 | 4.70 × 108 | 4.70 × 108 | 4.70 × 108 | 0.0302 |
| 10 | 5.45 × 108 | 5.45 × 108 | 5.45 × 108 | 0.0333 |
| 15 | 6.40 × 108 | 6.41 × 108 | 6.41 × 108 | 0.0416 |
| 20 | 7.57 × 108 | 7.58 × 108 | 7.57 × 108 | 0.0290 |
| 25 | 8.95 × 108 | 8.96 × 108 | 8.96 × 108 | 0.0497 |
| 30 | 1.05 × 109 | 1.05 × 109 | 1.05 × 109 | 0.0368 |
| Depth (m) | Average Optimal Frequency (Hz) | Frequency Standard Deviation (Hz) | Relative Theoretical Error (%) |
|---|---|---|---|
| 5 | 50,550 | 635.1 | 0.0886 |
| 10 | 50,895 | 663.0 | 0.2165 |
| 15 | 49,643 | 800.7 | 3.6160 |
| 20 | 52,019 | 528.4 | 0.0272 |
| 25 | 50,747 | 885.9 | 3.3477 |
| 30 | 52,976 | 631.9 | 0.0529 |
| Depth (m) | Minimum Number of Iterations | Maximum Number of Iterations | Average Number of Iterations |
|---|---|---|---|
| 5 | 5 | 10 | 9.8 |
| 10 | 6 | 10 | 9.5 |
| 15 | 5 | 11 | 10.0 |
| 20 | 5 | 10 | 9.3 |
| 25 | 5 | 11 | 9.4 |
| 30 | 5 | 10 | 9.0 |
| Environments | Depth | Salinity | Temperature | Transmission Distance | Optimal Frequency |
|---|---|---|---|---|---|
| Lake Baikal | 20 m | 2% | 4 °C | 1.3 m | 174.2 KHz |
| Typical ocean | 20 m | 35% | 20 °C | 1.3 m | 298.5 kHz |
| The Red Sea | 20 m | 41% | 30 °C | 1.3 m | 442.8 kHz |
Disclaimer/Publisher’s Note: The statements, opinions and data contained in all publications are solely those of the individual author(s) and contributor(s) and not of MDPI and/or the editor(s). MDPI and/or the editor(s) disclaim responsibility for any injury to people or property resulting from any ideas, methods, instructions or products referred to in the content. |
© 2025 by the authors. Licensee MDPI, Basel, Switzerland. This article is an open access article distributed under the terms and conditions of the Creative Commons Attribution (CC BY) license (https://creativecommons.org/licenses/by/4.0/).
Share and Cite
Li, Y.; Zhang, T.; Liu, Z.; Mahmud, N.; Geng, Y. A Frequency Optimization Method Considering Acoustic Cavitation for Maximizing Received Power in Underwater Wireless Ultrasonic Power Transfer Systems. J. Mar. Sci. Eng. 2025, 13, 2023. https://doi.org/10.3390/jmse13112023
Li Y, Zhang T, Liu Z, Mahmud N, Geng Y. A Frequency Optimization Method Considering Acoustic Cavitation for Maximizing Received Power in Underwater Wireless Ultrasonic Power Transfer Systems. Journal of Marine Science and Engineering. 2025; 13(11):2023. https://doi.org/10.3390/jmse13112023
Chicago/Turabian StyleLi, Yuhang, Tao Zhang, Zhongzheng Liu, Nahid Mahmud, and Yanzhang Geng. 2025. "A Frequency Optimization Method Considering Acoustic Cavitation for Maximizing Received Power in Underwater Wireless Ultrasonic Power Transfer Systems" Journal of Marine Science and Engineering 13, no. 11: 2023. https://doi.org/10.3390/jmse13112023
APA StyleLi, Y., Zhang, T., Liu, Z., Mahmud, N., & Geng, Y. (2025). A Frequency Optimization Method Considering Acoustic Cavitation for Maximizing Received Power in Underwater Wireless Ultrasonic Power Transfer Systems. Journal of Marine Science and Engineering, 13(11), 2023. https://doi.org/10.3390/jmse13112023

