Improving Electric Power Stability and Efficiency Using an Integrated Control System for Refrigerated Containers
Abstract
1. Introduction
2. Materials and Methods
2.1. Analysis of Specifications and Framework Design of the Target Container Ship
2.2. Operating Method of Conventional Refrigerated Container Model
2.3. Validation for Modeled Refrigerated Containers
2.4. Proposed Integrated Control System for Refrigerated Containers
2.5. Ship Power System and Power Management System
3. Results
3.1. Comparison of Power-Load Variability According to the Operating Methods of Refrigerated Containers
3.2. Comparison of Internal Container Temperatures According to the Operating Methods of Refrigerated Containers
3.3. Comparison of Individual Container Power-Load Fluctuations According to the Operating Methods of Refrigerated Containers
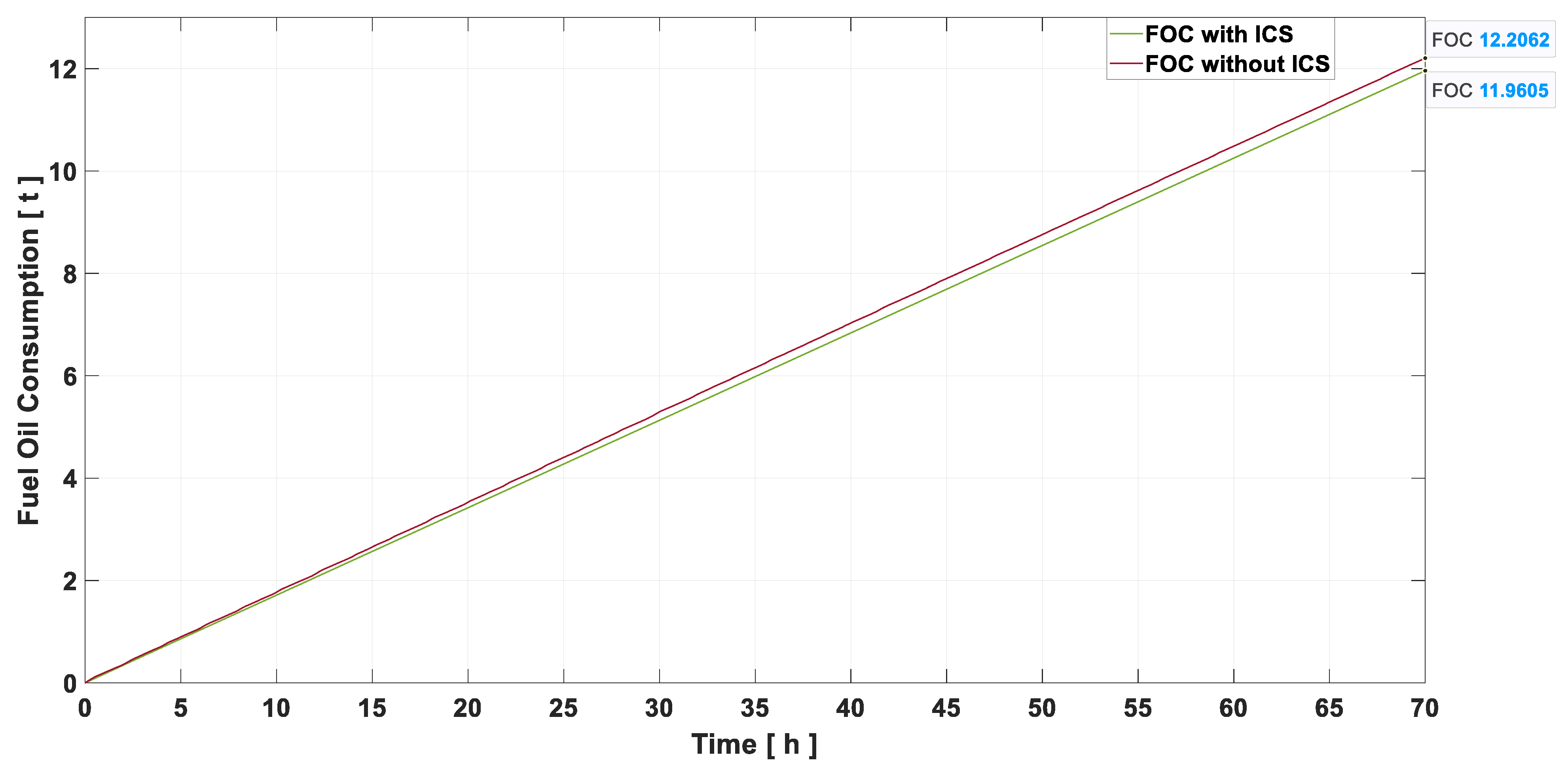
3.4. Comparison of Diesel Generator Load and Fuel Consumption According to the Operating Methods of Refrigerated Containers
4. Discussion
4.1. Improved Power Stability of Container Ships Achievable by ICS
4.2. Improvement of Ship Energy Efficiency by ICS
4.3. Control Performance for Maintaining the Temperature of Refrigerated Cargo
4.4. Limitations and Future Research
5. Conclusions
- Using the conventional operating method of refrigerated containers, the load fluctuation of an engine generator of the target ship was 37.6% of the rated capacity. However, with the proposed ICS, the load fluctuation was reduced to 9.6%, thereby enhancing the stability of the power system.
- The conventional operating method increased the load and fluctuations that exceeded the standby generator operation settings of the PMS, resulting in more than 50 instances of standby generator operation and shutdowns during the simulation period. In contrast, no standby generator operations or shutdowns occurred with the proposed ICS.
- Both the conventional and ICS-based refrigerated container operations maintained the internal cargo temperature within the set limits; however, the temperature variation range of the refrigerated cargo with the ICS was lower.
- The conventional operating method resulted in a higher SFOC owing to the power-load instability and parallel operation with the standby engine generator. However, the proposed ICS allows operation in a lower fuel consumption range, with the average SFOC of No. 1 DG showing a difference of 4.3 g/kWh during the simulation period.
- The application of the proposed ICS resulted in a fuel saving of 0.24 tons over the 70 h simulation period compared to the conventional method, corresponding to a 1.88% improvement in fuel consumption for power generation.
Funding
Institutional Review Board Statement
Informed Consent Statement
Data Availability Statement
Conflicts of Interest
Abbreviations
References
- Lu, Y.; Gu, Z.; Liu, S.; Wu, C.; Shao, W.; Li, C. Research on main engine power of transport ship with different bows in ice area according to EEDI regulation. J. Mar. Sci. Eng. 2021, 9, 1241. [Google Scholar] [CrossRef]
- Ren, H.; Ding, Y.; Sui, C. Influence of EEDI (Energy Efficiency Design Index) on ship–engine–propeller matching. J. Mar. Sci. Eng. 2019, 7, 425. [Google Scholar] [CrossRef]
- Hasan, S.R.; Karim, M.M. Proposed inland oil tanker design in Bangladesh focusing CO2 emission reduction based on revised EEDI parameters. J. Mar. Sci. Eng. 2020, 8, 658. [Google Scholar] [CrossRef]
- Bayraktar, M.; Yuksel, O. A scenario-based assessment of the energy efficiency existing ship index (EEXI) and carbon intensity indicator (CII) regulations. Ocean Eng. 2023, 278, 114295. [Google Scholar] [CrossRef]
- Bayramoğlu, K. The effects of alternative fuels, cruising duration and variable generators combination on exhaust emissions, energy efficiency existing ship index (EEXI) and carbon intensity rating (CII). Ocean Eng. 2024, 302, 117723. [Google Scholar] [CrossRef]
- Lee, S.-S. Analysis of the effects of EEDI and EEXI implementation on CO2 emissions reduction in ships. Ocean Eng. 2024, 295, 116877. [Google Scholar] [CrossRef]
- Liu, J.; Qu, J.; Feng, Y.; Zhu, Y.; Wu, Y. Improving the Overall Efficiency of Marine Power Systems through Co-Optimization of Top-Bottom Combined Cycle by Means of Exhaust-Gas Bypass: A Semi Empirical Function Analysis Method. J. Mar. Sci. Eng. 2023, 11, 1215. [Google Scholar] [CrossRef]
- Díaz-Secades, L.A.; González, R.; Rivera, N.; Quevedo, J.R.; Montañés, E. Parametric study of organic Rankine working fluids via Bayesian optimization of a preference learning ranking for a waste heat recovery system applied to a case study marine engine. Ocean Eng. 2024, 306, 118124. [Google Scholar] [CrossRef]
- Roh, G.; Kim, H.; Jeon, H.; Yoon, K. Fuel consumption and CO2 emission reductions of ships powered by a fuel-cell-based hybrid power source. J. Mar. Sci. Eng. 2019, 7, 230. [Google Scholar] [CrossRef]
- Gospić, I.; Glavan, I.; Poljak, I.; Mrzljak, V. Energy, economic and environmental effects of the marine diesel engine trigeneration energy systems. J. Mar. Sci. Eng. 2021, 9, 773. [Google Scholar] [CrossRef]
- Fitzgerald, W.B.; Howitt, O.J.; Smith, I.J.; Hume, A. Energy use of integral refrigerated containers in maritime transportation. Energy Policy 2011, 39, 1885–1896. [Google Scholar] [CrossRef]
- Binqadhi, H.; Hamanah, W.M.; Shafiullah, M.; Alam, M.S.; AlMuhaini, M.M.; Abido, M.A. A Comprehensive Survey on Advancement and Challenges of DC Microgrid Protection. Sustainability 2024, 16, 6008. [Google Scholar] [CrossRef]
- Guo, X.; Lang, X.; Yuan, Y.; Tong, L.; Shen, B.; Long, T.; Mao, W. Energy management system for hybrid ship: Status and perspectives. Ocean Eng. 2024, 310, 118638. [Google Scholar] [CrossRef]
- Ma, S.; Ding, Y.; Liu, G.; Sui, C.; Xiang, L. Effects of adverse sea conditions on the dynamic performance of a cruise ship integrated power system. Ocean Eng. 2024, 310, 118715. [Google Scholar] [CrossRef]
- Jeon, H.; Park, K.; Kim, J. Comparison and verification of reliability assessment techniques for fuel cell-based hybrid power system for ships. J. Mar. Sci. Eng. 2020, 8, 74. [Google Scholar] [CrossRef]
- Lucà Trombetta, G.; Leonardi, S.G.; Aloisio, D.; Andaloro, L.; Sergi, F. Lithium-ion batteries on board: A review on their integration for enabling the energy transition in shipping industry. Energies 2024, 17, 1019. [Google Scholar] [CrossRef]
- Kan, A.; Wang, T.; Zhu, W.; Cao, D. The characteristics of cargo temperature rising in reefer container under refrigeration-failure condition. Int. J. Refrig. 2021, 123, 1–8. [Google Scholar] [CrossRef]
- Filina-Dawidowicz, L.; Filin, S.; Wojnicz, L.; Miłek, D.; Grzelak, P. Energy-efficient maritime transport of refrigerated containers. Procedia Comput. Sci. 2022, 207, 3572–3581. [Google Scholar] [CrossRef]
- Yang, Z.; Lian, Z.; Xiong, J.; Miao, Z.; An, Y.; Chen, A. Feasibility study on applying the mist-spraying cooling to improve the capacity of ultra-large container ships for loading reefers. Ocean Eng. 2018, 163, 377–390. [Google Scholar] [CrossRef]
- Sørensen, K.K.; Stoustrup, J.; Bak, T. Adaptive MPC for a reefer container. Control Eng. Pract. 2015, 44, 55–64. [Google Scholar] [CrossRef]
- Nel, M.; Goedhals-Gerber, L.L.; van Dyk, E. A comparison of different technologies to improve temperature control in refrigerated containers: A table grape export case. Heliyon 2024, 10, e25988. [Google Scholar] [CrossRef] [PubMed]
- Budiyanto, M.A.; Zhafari, F. Simulation study using building-design energy analysis to estimate energy consumption of refrigerated container. Energy Procedia 2019, 156, 207–211. [Google Scholar] [CrossRef]
- Budiyanto, M.A.; Fernanda, H.; Shinoda, T. Effect of azimuth angle on the energy consumption of refrigerated container. Energy Procedia 2019, 156, 201–206. [Google Scholar] [CrossRef]
- van Duin, J.R.; Geerlings, H.H.; Verbraeck, A.A.; Nafde, T.T. Cooling down: A simulation approach to reduce energy peaks of reefers at terminals. J. Clean. Prod. 2018, 193, 72–86. [Google Scholar] [CrossRef]
- Iris, Ç.; Lam, J.S.L. Optimal energy management and operations planning in seaports with smart grid while harnessing renewable energy under uncertainty. Omega 2021, 103, 102445. [Google Scholar] [CrossRef]
- Zhang, X.; Lam, J.S.L.; Iris, Ç. Cold chain shipping mode choice with environmental and financial perspectives. Transp. Res. Part D Transp. Environ. 2020, 87, 102537. [Google Scholar] [CrossRef]
- Mao, A.; Yu, T.; Ding, Z.; Fang, S.; Guo, J.; Sheng, Q. Optimal scheduling for seaport integrated energy system considering flexible berth allocation. Appl. Energy 2022, 308, 118386. [Google Scholar] [CrossRef]
- Ahn, J.; Park, S.H.; Jeong, J.; Lee, S.; Ryu, J.; Park, J. Eco-efficient marine power system with cooled air ventilation by waste LNG cold energy for reefer holds in an ultra-large container ship. J. Clean. Prod. 2021, 322, 129037. [Google Scholar] [CrossRef]
- Yousefzadeh, M.; Lenzen, M.; Tyedmers, E.K.; Ali, S.H. An integrated combined power and cooling strategy for small islands. J. Clean. Prod. 2020, 276, 122840. [Google Scholar] [CrossRef]
- Tang, P.; Postolache, O.A.; Hao, Y.; Zhong, M. Reefer container monitoring system. In Proceedings of the 2019 11th International Symposium on Advanced Topics in Electrical Engineering (ATEE), Bucharest, Romania, 28–30 March 2019; pp. 1–6. [Google Scholar]
- Haass, R.; Dittmer, P.; Veigt, M.; Lütjen, M. Reducing food losses and carbon emission by using autonomous control–A simulation study of the intelligent container. Int. J. Prod. Econ. 2015, 164, 400–408. [Google Scholar] [CrossRef]
- Defraeye, T.; Verboven, P.; Opara, U.L.; Nicolai, B.; Cronjé, P. Feasibility of ambient loading of citrus fruit into refrigerated containers for cooling during marine transport. Biosyst. Eng. 2015, 134, 20–30. [Google Scholar] [CrossRef]
- Zhang, X.; Lam, J.S.L. Shipping mode choice in cold chain from a value-based management perspective. Transp. Res. Part E Logist. Transp. Rev. 2018, 110, 147–167. [Google Scholar] [CrossRef]
- Budiyanto, M.A.; Shinoda, T. The effect of solar radiation on the energy consumption of refrigerated container. Case Stud. Therm. Eng. 2018, 12, 687–695. [Google Scholar] [CrossRef]
- Pei, R.; Xie, J.; Zhang, H.; Sun, K.; Wu, Z.; Zhou, S. Robust multi-layer energy management and control methodologies for reefer container park in port terminal. Energies 2021, 14, 4456. [Google Scholar] [CrossRef]
- Issa, S.; Lang, W. Airflow simulation inside reefer containers. In Dynamics in Logistics: Proceedings of the 4th International Conference LDIC, 2014 Bremen, Germany; Springer: Berlin/Heidelberg, Germany, 2014; pp. 303–311. [Google Scholar]
- Sørensen, K.K.; Nielsen, J.D.; Stoustrup, J. Modular simulation of reefer container dynamics. Simulation 2014, 90, 249–264. [Google Scholar] [CrossRef]
- Roh, C.; Jeon, H.-m.; Kim, S.-w.; Kim, J.-s.; Lee, N.-y.; Song, S.-w. Optimal Hybrid Pulse Width Modulation for Three-Phase Inverters in Electric Propulsion Ships. Machines 2024, 12, 109. [Google Scholar] [CrossRef]
- Luo, Y.; Fang, S.; Niu, T.; Chen, G.; Liao, R. Power-characterized shipboard hybrid energy storage system management for dynamic positioning. Ocean Eng. 2024, 298, 117256. [Google Scholar] [CrossRef]
- Gao, F.; Brodtkorb, A.H.; Zadeh, M.; Mo, S.M. Power management and optimization of marine hybrid propulsion systems: A combinator surface methodology. Ocean Eng. 2024, 309, 118354. [Google Scholar] [CrossRef]
- Wu, S.; Li, T.; Chen, R.; Huang, S.; Xu, F.; Wang, B. Transient Performance of Gas-Engine-Based Power System on Ships: An Overview of Modeling, Optimization, and Applications. J. Mar. Sci. Eng. 2023, 11, 2321. [Google Scholar] [CrossRef]
- Putra, A.P.; Yusro, M.; Diamah, A. Prototype of a monitoring system for temperature, humidity, and location of reefer container based on IoT. In Proceedings of the 2022 International Conference on Informatics Electrical and Electronics (ICIEE), Yogyakarta, Indonesia, 5–7 October 2022; pp. 1–5. [Google Scholar]












| 1006 TEU Container Vessel Max. 20 Feet. Ref. Container Quantity is 65 [EA] | ||||||
|---|---|---|---|---|---|---|
| Electric System | ||||||
| Power Source | DG Model | DG Fuel Type | Capability [kVA] | Power Factor | Voltage [V] | Quantity |
| Diesel Generator | MAN E&S 23/30 H | MGO | 1064 | 0.85 | 450 | 3 |
| Electrical Load Analysis | ||||||
| Navigation Mode | Seagoing | Maneuvering | Cargo Handling | In Port | Mano. With Thruster | |
| Power [kW] | 580.9 | 753.3 | 608.6 | 496.9 | 746.9 | |
| Reference Data from the Literature [24] | ||||||
|---|---|---|---|---|---|---|
| Dimensions | Initial temperature before plug-in | Set point | Allowed temperature, upper limit | Allowed temperature, lower limit | Auxiliary power | Cooling power |
| Values | 10.2 °C | 10 °C | 10.5 °C | 9.5 °C | 2.5 kW | 10 kW |
| Parameter for Test Model | ||||||
| Dimensions | Initial temperature before plug-in | Set point | Allowed temperature, upper limit (CST) | Allowed temperature, lower limit (CTT) | Power when CTT Status | Power when CST Status |
| Values | 10.2 °C | - | 10.5 °C | 9.5 °C | 2.5 kW | 12.5 kW |
| Ref. No. | Initial Temp. [°C] | CST [°C] | CTT [°C] | SF |
|---|---|---|---|---|
| 1 | 10 | 12 | 10 | 1.00 |
| 2 | 11 | 7 | 4 | 0.99 |
| 3 | 8 | 6 | 3 | 0.98 |
| 4 | 7 | 9 | 5 | 0.98 |
| 5 | 5 | 8 | 6 | 0.97 |
| 6 | 9 | 10 | 7 | 0.96 |
| 7 | 9 | 9 | 7 | 0.98 |
| 8 | 9 | 10 | 6 | 0.96 |
| 9 | 11 | 5 | 3 | 0.96 |
| 10 | 12 | 9 | 7 | 0.97 |
| 11 | 9 | 6 | 4 | 0.97 |
| 12 | 9 | 7 | 3 | 0.98 |
| 13 | 11 | 10 | 8 | 0.99 |
| 14 | 5 | 7 | 4 | 0.95 |
| 15 | 12 | 8 | 4 | 0.96 |
| 16 | 5 | 8 | 5 | 0.97 |
| 17 | 7 | 5 | 1 | 0.98 |
| 18 | 7 | 5 | 2 | 0.98 |
| 19 | 8 | 9 | 5 | 0.95 |
| 20 | 6 | 6 | 2 | 0.99 |
| 21 | 5 | 8 | 4 | 0.97 |
| 22 | 5 | 5 | 1 | 0.99 |
| 23 | 5 | 9 | 5 | 0.97 |
| 24 | 8 | 6 | 2 | 1.00 |
| 25 | 6 | 6 | 4 | 0.96 |
| 26 | 9 | 10 | 7 | 0.96 |
| 27 | 7 | 10 | 7 | 0.98 |
| 28 | 6 | 7 | 5 | 0.96 |
| 29 | 8 | 6 | 4 | 0.95 |
| 30 | 8 | 10 | 6 | 0.97 |
| 31 | 2 | 0 | −5 | 0.95 |
| 32 | −1 | −2 | −8 | 0.96 |
| 33 | −1 | 0 | −5 | 0.97 |
| 34 | 2 | −3 | −7 | 1.00 |
| 35 | −1 | −1 | −5 | 0.97 |
| 36 | −2 | 0 | −4 | 0.96 |
| 37 | 1 | −1 | −7 | 0.97 |
| 38 | −1 | −1 | −5 | 0.96 |
| 39 | 2 | −1 | −5 | 0.98 |
| 40 | 12 | 0 | −4 | 0.99 |
| 41 | 5 | 12 | 10 | 0.99 |
| 42 | 7 | 7 | 4 | 0.98 |
| 43 | 10 | 6 | 3 | 0.97 |
| 44 | 10 | 9 | 5 | 0.97 |
| 45 | 7 | 8 | 6 | 0.98 |
| 46 | 8 | 10 | 7 | 0.99 |
| 47 | 8 | 9 | 7 | 1.00 |
| 48 | 8 | 10 | 6 | 1.00 |
| 49 | 3 | 5 | 3 | 0.95 |
| 50 | 7 | 9 | 7 | 0.95 |
| 51 | 3 | 0 | −5 | 0.98 |
| 52 | −3 | −2 | −8 | 0.96 |
| 53 | −6 | 0 | −5 | 0.95 |
| 54 | −2 | −3 | −7 | 0.95 |
| 55 | 0 | −1 | −5 | 0.96 |
| 56 | 0 | 0 | −4 | 0.97 |
| 57 | −4 | −1 | −7 | 0.98 |
| 58 | −2 | −1 | −5 | 0.99 |
| 59 | −3 | −1 | −5 | 0.99 |
| 60 | −2 | 0 | −4 | 1.00 |
| 61 | 3 | 6 | 4 | 0.97 |
| 62 | 5 | 10 | 6 | 0.98 |
| 63 | −1 | 0 | −5 | 0.96 |
| 64 | −4 | −2 | −8 | 0.97 |
| 65 | −3 | 0 | −5 | 0.98 |
Disclaimer/Publisher’s Note: The statements, opinions and data contained in all publications are solely those of the individual author(s) and contributor(s) and not of MDPI and/or the editor(s). MDPI and/or the editor(s) disclaim responsibility for any injury to people or property resulting from any ideas, methods, instructions or products referred to in the content. |
© 2024 by the author. Licensee MDPI, Basel, Switzerland. This article is an open access article distributed under the terms and conditions of the Creative Commons Attribution (CC BY) license (https://creativecommons.org/licenses/by/4.0/).
Share and Cite
Kim, H. Improving Electric Power Stability and Efficiency Using an Integrated Control System for Refrigerated Containers. J. Mar. Sci. Eng. 2024, 12, 1624. https://doi.org/10.3390/jmse12091624
Kim H. Improving Electric Power Stability and Efficiency Using an Integrated Control System for Refrigerated Containers. Journal of Marine Science and Engineering. 2024; 12(9):1624. https://doi.org/10.3390/jmse12091624
Chicago/Turabian StyleKim, Heemoon. 2024. "Improving Electric Power Stability and Efficiency Using an Integrated Control System for Refrigerated Containers" Journal of Marine Science and Engineering 12, no. 9: 1624. https://doi.org/10.3390/jmse12091624
APA StyleKim, H. (2024). Improving Electric Power Stability and Efficiency Using an Integrated Control System for Refrigerated Containers. Journal of Marine Science and Engineering, 12(9), 1624. https://doi.org/10.3390/jmse12091624
