Next Article in Journal
Study on the Influence of Chord Length and Frequency of Hydrofoil Device on the Discharge Characteristics of Floating Matter in Raceway Aquaculture
Next Article in Special Issue
Combined Freak Wave, Wind, and Current Effects on the Dynamic Responses of Offshore Triceratops
Previous Article in Journal
Mechanisms of Proppant Transport in Rough Fractures of Offshore Unconventional Reservoirs: Shale and Tight Sandstone
Previous Article in Special Issue
Wave-Current Interaction Effects on the OC4 DeepCwind Semi-Submersible Floating Offshore Wind Turbine
 
 
Font Type:
Arial Georgia Verdana
Font Size:
Aa Aa Aa
Line Spacing:
Column Width:
Background:
Article

Current Loads on a Horizontal Floating Flexible Membrane in a 3D Channel

by
Sarat Chandra Mohapatra
1,*,
C. Guedes Soares
1 and
Kostas Belibassakis
2
1
Centre for Marine Technology and Ocean Engineering (CENTEC), Instituto Superior Técnico, Universidade de Lisboa, Av. Rovisco Pais, 1049-001 Lisboa, Portugal
2
School of Naval Architecture & Marine Engineering, National Technical University of Athens, 15772 Athens, Greece
*
Author to whom correspondence should be addressed.
J. Mar. Sci. Eng. 2024, 12(9), 1583; https://doi.org/10.3390/jmse12091583
Submission received: 4 July 2024 / Revised: 4 September 2024 / Accepted: 6 September 2024 / Published: 7 September 2024

Abstract

A 3D analytical model is formulated based on linearised small-amplitude wave theory to analyse the behaviour of a horizontal, flexible membrane subject to wave–current interaction. The membrane is connected to spring moorings for stability. Green’s function approach is used to obtain the dispersion relation and is utilised in the solution by applying the velocity decomposition method. On the other hand, a brief description of the experiment is presented. The accuracy level of the analytical results is checked by comparing the results of reflection and the transmission coefficients against experimental data sets. Several numerical results on the displacements of the membrane and the vertical forces are studied thoroughly to examine the impact of current loads, spring stiffness, membrane tension, modes of oscillations, and water depths. It is observed that as the value of the current speed (CS) rises, the deflection also increases, whereas it declines in deeper water. On the other hand, the spring stiffness has minimal effect on the vibrations of the flexible membrane. When vertical force is considered, higher oscillation modes increase the vertical loads on the membrane, and for a mid-range wavelength, the vertical wave loads on the membrane grow as the CS increases. Further, the influence of the phase and group velocities are presented. The influences of CS and comparisons between them in terms of water depth are presented and analysed. This analysis will inform the design of membrane-based wave energy converters and breakwaters by clarifying how current loads affect the dynamics of floating membranes at various water depths.

1. Introduction

Nowadays, horizontal flexible floating structures are becoming attractive and interesting, as are varieties of offshore and coastal structures in contrast to vertical designs that can be utilised in the sea environment for multi-use model applications such as breakwater [1,2] and wave energy converters. Recent studies have concentrated on using flexible floating or submerged structures in breakwaters and wave energy converters [3,4,5]. The construction of these structures is economical when the water depth is significant and shielded from seismic activity, does not harm the marine environment or impede ocean currents, and can be removed or expanded effortlessly and, therefore, is environmentally sustainable.
Another impressive kind of flexible structure is the membrane structure, which has applications in wave energy conversion. This type of structure has become beautiful when using wave energy converters based on model tests, numerical tools, or theoretical approaches. For instance, the flexible-membrane wave energy converter was studied using the videogrammetric technique based on model tests [6]. A comprehensive experiment was carried out to harness the power from an undulating membrane using linear electromagnetic generators [7]. Further, the dynamic behaviour in terms of the membrane’s dynamic profile and hydrodynamic forces of an undulating tidal energy converter was assessed while subjected to wave and current forces based on a small prototype undulating membrane test [8]. A thorough approach was suggested for analysing the dynamic behaviour of structural deformation, and the outcomes were compared with the existing published physical model test results [9].
A rigorous review was carried out of the state-of-the-art on flexible membranes for harvesting wave energy, encompassing various computational modelling techniques. [10]. The interaction of waves and flexible membranes connected with spring moorings in 3D was developed via theoretical tests and compared with experimental model tests with no current case [11]. Through linear analysis utilising a straightforward theoretical model and model testing, a WEC (Wave Energy Converter) made up of two submerged, bottom-fixed, air-filled cylindrical chambers separated by a distance of roughly half a wavelength and capped with flexible membranes on top was examined along with an investigation into the stability of the flexible membranes [12].
Theoretical models utilised submerged horizontal flexible membranes as breakwaters and anti-motion structures to mitigate the structural response of floating elastic structures. The orthogonal mode-coupling condition was applied to analyse the influence of a submerged flexible membrane on a floating plate in 3D [3]. The relationship between floating membranes and ocean waves was studied utilising a hydro-viscoelastic model built on a monolithic finite element approach with linearised potential flow and viscoelastic membrane equations in 2D [13]. A coupled mode system was developed to study the wave–current–seabed interaction on the shear currents in variable bathymetry regions [14].
Introduced a novel numerical model capable of predicting the performance of floating-membrane solar islands based on linear potential flow theory principles. It was aimed at examining the various vertical motion modes displayed [15]. A comprehensive approach was introduced to study the hydroelastic behaviour of membrane-based floating PV platforms using coupled dynamic equations [16]. The theoretical solutions advanced for evaluating simplified membrane-type structures have been successfully applied in practice in the initial design analysis of membrane-type PV farms [17]. The hydrodynamic behaviour of a floating PV farm was performed based on full-scale experiment tests and numerical simulation subjected to marine environmental conditions [18].
Significant and influential works related to WEC are associated with floating structures connected with mooring lines, such as floating platforms supported by wind turbines especially based on experimental and theoretical ones discussed. For example, subjected to regular and irregular waves, the hydrodynamic responses of a floating spar wind turbine were obtained, where experimental techniques were employed to measure the four mooring lines, and the results of RAO were validated with numerical simulation [19]. A spar buoy wind turbine’s model motion and mooring loads were analysed by conducting physical model tests [20]. The dynamic properties of a spar platform that is linked with mooring lines were conducted based on the surrogate model generation approach [21] under the action of the current. The dynamic response via hydrodynamic loads of a platform wind turbine and a WEC were calculated based on numerical simulation, and the results were compared with model test results [22]. The hydrodynamic response of FOWT and the tensions between the two various mooring systems were analysed by applying the BEM (Boundary Element Method) theory, which indicated that the mooring system can significantly diminish the dynamic response of floating wind turbine platforms [23]. The response is dynamic through peak movements, and RAO response under ranges of wave parameters was predicted based on experiments [24]. The dynamic characteristics of a FOWT was examined through theoretical analysis and model testing in which the effects of second-order doubling and third-order tripling waves significantly influence both shear force at the tower top and tension in the mooring lines [25].
While advancements in flexible-membrane structure design have occurred, the effect of currents on a 3D analytical model associated with a horizontal floating flexible membrane (HFFM) connected with spring moorings remains absent. This model offers a valuable understanding of the intricate connection between currents, hydrodynamic behaviour, and structural stability of these membranes. Therefore, this work aims to develop a 3D mathematical model that operates under current loads as well as to provide its analytical solutions and provide significant insights into the present literature.
Section 2 presents the mathematical formulation of the referenced model under linearised water wave theory in three dimensions in the presence of current loads, in alignment with this study’s objective. Section 3 utilises techniques involving Green’s function to obtain the dispersion relation in the presence of currents in different water depths. The derived dispersion relation is then utilised in the analytical solution by applying the velocity decomposition method. A brief description of the experiment is presented in Section 4. Section 5 compares the analytical results for reflection and transmission coefficients with experimental model results available in recent publications. Additionally, the effects of varying structural and environmental parameters on membrane deflection and vertical force are examined through numerical simulations. In addition, the impact of current loads and environmental depths on the phase and group velocities are studied. Section 6 provides a concluding overview of this study’s findings and identifies promising avenues for further investigation.

2. Model Formulation

The mathematical modelling of the considered problem is based on small-amplitude linearised water wave theory and structural response in three dimensions, with x z the horizontal plane and the y-axis being the vertical downward positive direction in finite water depth. Under the assumption of linearised theory, the velocity of the water particle, displacement, and their derivatives are small quantities. Moreover, the current flow is assumed to be much smaller than wave components. The flexible membrane is modelled as a thin, inextensible sheet that acts under tension at its interface. The two-dimensional string equation governs the behaviour of the flexible membrane, assuming it is made of a material with constant and uniform density.
The floating flexible membrane of finite length 2 l and finite width a occupies the region x l , l ,   z 0 , a on the mean free surface   y = 0 over an impermeable sea bed y = h making an angle θ along the direction of wave propagation in the positive direction of the x- and z-axis referred to as the following current; hence, the components of the current are ( u 1 , u 2 ) = ( u cos θ , u sin θ ) , and the floating flexible membrane is connected with spring moorings with stiffness s j for j = 1, 2 at the edges of the horizontal flexible membrane (see Figure 1).
Hence, the whole fluid domain can be designated as
Fluid   domain = { < x < l ,   l < x < ,   0 < y < h ,   0 z a   over   Ω 0 , l < x < l ,   0 < y < h ,   0 z a   over   Ω 1 .
Under the assumption of linear water wave theory, it is assumed that a progressive wave with angular frequency ω is incident on the flexible membrane with the positive x-axis. It is assumed that the fluid is inviscid and incompressible and that the motion is irrotational. The wave–current flow in a channel is restricted by vertical walls at z = 0 ,   a that results in the reflection of current flow by the side walls and could be confined to u 1 = u ,   u 2 = 0 . Therefore, the total velocity potential is defined as Ψ ( y ¯ ; t ) such that
Ψ ( y ¯ ; t ) = u x + Φ ( y ¯ ; t ) ,
where Φ ( y ¯ ; t ) = Re { ϕ ( y ¯ ) e i ω t } , and Re is the real part of the complex velocity potential where y ¯ = ( x , y , z ) . Further, the displacement of the floating flexible membrane is presumed to be of the form η ( x , z ; t ) = Re { η ( x , z ) e i ω t } . ϕ ( y ¯ ) is the complex spatial velocity potential that satisfies the 3D Laplace equation,
x y z 2 Φ = 0 ,   in   the   fluid   domain .
where 2 denotes the Laplacian operator.
The linearised kinematic and dynamic conditions at y = 0 in the presence of current speed u are read as
η t + u η x = Φ 0 y ,
Φ 0 t + u Φ 0 x + g η = 0 .
By combining the above dynamic and kinematic linearised conditions (3) and (4), the linear form of the free surface boundary condition can be obtained as
( t + u x ) 2 Φ 0 + g Φ 0 y = 0 ,
As the bottom is rigid, the water bottom boundary conditions in finite water depth (FWD) and infinite water depth (IWD) are given by
Φ y = 0   on   y = h   in   FWD ,
Φ ,   Φ 0     as   y   in   IWD
Now, the dynamic condition on the HFFM satisfies
{ ( τ f x x 2 + τ z f z 2 ) ρ m d t 2 } η = P H ( y , t ) ,
where the hydrodynamic pressure P H ( y , t ) in the presence of current is given by
P H ( y , t ) = ρ g η ρ ( t + u x ) Φ 1 .
Combining Equations (7) and (8), the dynamic condition on the HFFM x l , l ,   z 0 , a in the presence of current is obtained as
{ ( τ f x x 2 + τ z f z 2 ) ρ m d t 2 } η = ρ ( t + u x ) Φ 1 ρ g η ,
where the subscripts ‘x’, ‘z’, and ‘t’ refer to the partial derivatives with respect to x, z, and t, respectively. Further, τ f x and τ f z are the tension acting on the flexible membrane in x- and z-directions.
Eliminating the deflection η from Equations (3) and (9), the membrane-covered boundary condition under the influence of the following current is determined as
{ ( τ f x x 2 + τ z f z 2 ) ρ m d t 2 + ρ g } Φ 1 y = ρ ( t + u x ) 2 Φ 1 .
Assuming that uniform tension acts on the membrane along x- and z-directions, that is, τ f x = τ z f = τ f , condition (8) can be re-written as
y ( σ 2 Φ 1 y 2 γ m 2 Φ 1 t 2 + Φ 1 ) = 1 g { t + u ( x ) } 2 Φ 1 ,   l , l ,   z 0 , a ,
where σ = τ f / ρ g , γ m = ρ m d / ρ g , and σ, ρm, and d are the tension, density, and thickness of the HFFM.
Considering that the side walls of the channel are rigid, that yields
Φ 1 z = 0   at   z = 0 , a , l < x < l .
The HFFM is free to the walls of the channel z = 0 , a at y = 0 ; thus, at the edges of the HFFM, the restoring forces in the spring must be equal to the transverse components of the tension, which gives
z { σ ( x 2 + z 2 ) } ϕ y = 0 ,   on   l < x < l .
To mitigate structural damage during storms, the floating flexible membrane is secured with mooring lines to withstand the force of strong waves and currents, it is assumed that the floating flexible membrane is moored at x = ± l with springs of stiffness s j , j = 1 , 2 to the bottom, which yields
z { σ ( x x + z z ) } ϕ y = s j ϕ y ,   y = 0 ,   0 z a .
The mathematical problem under consideration requires the application of continuity conditions to solve at hand; specifically, deflection and slope of deflection are assumed to be continuous at ( x , y ) = ( 0 ,   0 ) along 0 z a , respectively, yielding (as in [3])
ϕ y | ( 0 + , 0 ) = ϕ y | ( 0 , 0 ) ,
ϕ x y ( x , y ) | ( 0 + , 0 ) = ϕ x y ( x , y ) | ( 0 , 0 ) .
Further, the continuity of pressure and velocity for 0 z a give
ϕ ( 0 + , z ¯ ) = ϕ ( 0 , z ¯ ) , ϕ ( l + , z ¯ ) = ϕ ( l , z ¯ ) ,
ϕ x ( 0 + , z ¯ ) = ϕ x ( 0 , z ¯ ) , ϕ x ( l + , z ¯ ) = ϕ x ( l , z ¯ ) ,
where z ¯ = ( y , z ) .
In the end, the far-field radiation condition for surface gravity wave interaction with an HFFM in 3D is of the form
ϕ ( y ¯ ) = { m = 0 ( I m 0 e i α m 0 x + r m 0 e i α m 0 x ) f m 0 ( z ¯ ) ,   x , m = 0 t m 0 e i α m 0 x f m 0 ( z ¯ ) , x ,
where α m 0 2 = k 0 2 μ m 2 and m refers to the mode of oscillations, which is m 0 as the incident wave contains many directions (harmonic incident wave propagating along the x-axis of the channel and also additional transverse components corresponding to m > 0 ) in the channel; I m 0 is the incident wave amplitude; and r m 0 and t m 0 are the amplitudes of the waves associated with the m-th modes of oscillation of reflected and transmitted waves, respectively. Further, f m 0 = ( cosh k 0 ( h y ) / cosh k 0 h ) cos μ m z , where μ m = ( m π / a ) , and k 0 satisfies the gravity wave dispersion relation in the presence of currents as ( ω u k 0 ) 2 = g k 0 tanh k 0 h .
NB: The formulation is notable for accommodating both following and opposing wave–current conditions; however, the results are presented on the following currents. This is beneficial because wave blocking, which could occur in opposing current scenarios, is a condition to be avoided.

3. Solution Method

In this section, the dispersion relation associated with the referred problem will be derived based on Green’s function technique, and the derived dispersion relation will be utilised in the following subsections.

3.1. Derivation of Dispersion Relation Based on Green’s Function Technique in 3D

Recently, Green’s function associated with submerged horizontal flexible porous membrane under oblique surface gravity wave interaction in FWD was derived [26]. Working similarly, in this research, the first public derivation of the dispersion relation is presented in the case of a floating flexible impenetrable membrane for the problem of wave and current flow. This derivation is achieved using Green’s function techniques, which consider fundamental source potentials in the water of both FWD and IWD.
It is considered that the fluid characteristics and structural response are the same as defined in Section 2. It is assumed that G ( y ¯ ; ξ ¯ 0 ) represents the spatial component of the three-dimensional source potential where ξ ¯ 0 = ( η 0 , ξ 0 , υ 0 ) being the source point of unity strength and y ¯ = ( x , y , z ) being any point in the fluid domain which is referred to as Green’s function. Thus, G ( y ¯ ; ξ ¯ 0 ) satisfies the three-dimensional Laplace equation
( x x + y y + z z ) G = 0   except   at   ( ξ ¯ 0 ) ,
along with the floating-membrane condition (11) and the bottom boundary conditions (6a,b). Further, near the source point ( ξ ¯ 0 ) , Green’s function G ( y ¯ ; ξ ¯ 0 ) satisfies
G 1 d
as d = ( x η 0 ) 2 + ( y ξ 0 ) 2 + ( z υ 0 ) 2 0 . In the case of FWD, let the source point ( ξ ¯ 0 ) be in between the floating flexible membrane and bottom surface with the consideration of < x < ,   0 < y < h ,   0 z a , Green’s function G ( y ¯ ; ξ ¯ 0 ) satisfying Equation (19), along with the finite depth boundary condition (6a), and (20) is expanded as
G ( y ¯ ; y ¯ 0 ) = 1 2 π π π 0 [ e p | y ξ 0 | + e p | 2 h y ξ 0 | + { A ( p ) coth p y + B ( p ) } sinh ( p y ) ] ( p , θ ) d p d θ ,
where the first two terms under the integral correspond to the source and its mirror with respect to the bottom surface 1 d + 1 d h where d h = ( x η 0 ) 2 + ( 2 h ξ 0 y ) 2 + ( z υ 0 ) 2 and ( p , θ ) = exp [ i p { ( x η 0 ) cos θ + ( z υ 0 ) sin θ } ] (as in [27]).
Using the boundary condition (11) and applying the Riemann–Lebesgue lemma, one can derive the unknowns A ( p )   and   B ( p ) connected with Equation (21) as follows:
A ( p ) = 2 exp ( p h ) cosh p ( h ξ 0 ) { ( 1 / g ) ( ω u p ) 2 + p ( σ p 2 + 1 ) } S ( p ) , B ( p ) = 2 exp ( p h ) cosh p ( h ξ 0 ) { ( 1 / g ) ( ω u p ) 2 + p ( σ p 2 + 1 ) } S ( p ) tanh p h }
where
S ( p ) = ( 1 / g ) ( ω u p ) 2 p ( σ p 2 + 1 ) tanh p h .
It may be noted that S ( p ) = 0 as defined in Equation (23) is the dispersion relation in p n associated with the surface gravity wave interaction with a horizontal floating flexible membrane in the presence of currents in finite water depth, which has one real root p 0 , two complex roots p I , p I I , and infinite numbers of purely imaginary roots p n ,   n = 1 , 2 , . The roots of the dispersion relation (23) are obtained using the iterative–numerical-scheme Newton–Raphson method for real roots, and using contour plots, the initial guesses can be obtained for finding complex roots of the dispersion relation (23).
Similarly, in the case of infinite water depth, when the source ( ξ ¯ 0 ) is in < x <   0 < y < and 0 z a , one can express the Green’s function G ( y ¯ ; ξ ¯ 0 ) satisfying the 3D Laplace equation along with the infinite bottom boundary condition (6b) and conditions (19) and (20) as follows:
G ( y ¯ ; y ¯ 0 ) = 1 2 π π π 0 [ e p | y ξ 0 | + e p | 2 h y ξ 0 | + C ( p ) e p y ] ( p , θ ) d p d θ , 0 < y < ,
where ( p , θ ) is the same as in Equation (21).
Using the boundary condition (11), the unknown C ( p ) in Equation (24) is obtained as
C ( p ) = 2 exp ( p h ) cosh p ( h ξ 0 ) { ( 1 / g ) ( ω u p ) 2 + p ( σ p 2 + 1 ) } S ( p ) ,
where
S ( p ) = ( 1 / g ) ( ω u p ) 2 p ( σ p 2 + 1 ) ,
where S ( p ) = 0 is the dispersion relation in infinite water depth. It is important to note that with the singularity of Green’s functions, Equations (21) and (24) can be solved by applying the Cauchy residue theorem and considering the roots of the dispersion relations (23) and (26) that lead to the boundedness of Green’s function. Further, it may be noted that if we set the CS to u = 0, then the reduced dispersion relation will be the same as in [11].

3.2. Method of Decomposition in 3D

The original mathematical problem exhibits geometrical symmetry about x = 0 , allowing it to be divided into two simpler problems. These problems are defined in the semi-infinite region along the x-axis, and 0 < z < is easily solvable.
To derive the system of equations, the orthogonal relation associated with the eigenfunctions in Ω o is used. Hence, for our purposes, we need only consider the region 0 < x < , 0 < z < as the solution can be extended into the whole domain using symmetric relations. Proceeding similarly as in [3], the split potentials χ 1 ( y ¯ ) and χ 2 ( y ¯ ) can be expressed as symmetric potential ϕ S ( x , z ¯ ) , x > 0 , and anti-symmetric potential ϕ A ( x , z ¯ ) , x < 0 , z 0 , a , as follows:
χ 1 ( y ¯ ) = ϕ S ( x , z ¯ ) ϕ A ( x , z ¯ ) , χ 2 ( y ¯ ) = ϕ S ( x , z ¯ ) + ϕ A ( x , z ¯ ) , }
where the split velocity potentials χ 1 ( y ¯ ) and χ 2 ( y ¯ ) are derived by using the Fourier expansion formulae and satisfying Equations (1), (5), (6a), and (11) as follows:
χ 1 ( y ¯ ) = { m n i g c m n 2 ( ω u p n ) φ m n A ( x ) Θ m n ( z ¯ ) , x ( 0 , l ) , i g 2 ( ω u k 0 ) m { I m 0 e i α m 0 ( x l ) κ m 0 ( z ¯ ) + n i g 2 ( ω u k n ) a m n e i α m n ( x l ) κ m n ( z ¯ ) } ,   x ( l , ) ,
χ 2 ( y ¯ ) = { m n i g c ¯ m n 2 ( ω u p n ) φ m n S ( x ) Θ m n ( z ¯ ) ,   x ( 0 , l ) i g 2 ( ω u k 0 ) m { I m 0 e i α m 0 ( x l ) κ m 0 ( z ¯ ) n i g 2 ( ω u k n ) b m n e i α m n ( x l ) κ m n ( z ¯ ) } ,   x ( l , ) ,
where α m n 2 = k n 2 μ m 2 and μ m = m π / a for n = 0 , I , I I , 1 , and m = 0 , 1 , 2 , .
Further, φ m n A ( x ) =   ( s i n h p m n x ) / ( s i n h p m n l ) , φ m n S ( x ) = ( cosh p m n x ) / ( cosh p m n l ) where p m n 2 = p n 2 ( m π / a ) 2 , and a m n ,   b m n ,   c m n , and c ¯ m n are the unknowns to be determined. The eigenfunction Θ m n ( z ¯ ) is obtained by applying the separation of variables method as Θ m n ( z ¯ ) = { cosh p n ( h y ) / cosh p n h } cos μ m z where p n satisfies the dispersion relation (23). The behaviour of roots is also discussed below in Equation (23). The normalised vertical eigenfunction in Ω 0 is obtained as follows (see [3]):
κ m n ( z ¯ ) = ( cosh k n ( h y ) / ε n ) cos μ m z
where ε n = ( h / 2 ) { 1 + ( sinh 2 k n h ) / ( 2 k n h ) } and satisfy the orthogonal relation κ m n ( z ¯ ) ,   κ j l ( z ¯ ) = ( a / 2 ) δ m j δ n l where δ m j   and   δ n l are the Kronecker delta.
The spring mooring edge condition (14) in terms of split potential is given as
x { σ χ 2 y ( l , 0 , z ) } = s f χ 2 x y ( l , 0 , z )   on   0 z a .
The continuity conditions (15) and (16) give
χ 1 y ( 0 , 0 ) = 0 , χ 2 x y ( 0 , 0 ) = 0   on   0 z a . }
The continuity of pressure and velocity at the interface at x = l in Equation (17a,b) yields
χ 1 ( y ¯ ) = 0   for   0 z a ,
χ 2 x ( y ¯ ) = 0   for   0 z a .
Finally, the far-field radiation condition is taken in the form
χ 1 ( y ¯ ) m = 1 ( I m 0 e i α m 0 x + a m 0 e i α m 0 x ) κ m 0 ( z ¯ ) , x ,
χ 2 ( y ¯ ) m = 1 ( I m 0 e i α m 0 x + b m 0 e i α m 0 x ) κ m 0 ( z ¯ ) , x
where a m 0 = r m 0 t m 0 and b m 0 = r m 0 + t m 0 .
The procedure for the determination of unknown coefficients a m n , c m n , b m n , and c ¯ m n in Equations (28) and (29) is presented in Appendix A.
Once the unknown constants are determined, then the amplitudes of reflection and transmission waves r m 0 and t m 0 are obtained using the relations r m 0 = ( a m 0 + b m 0 ) / 2 I m 0 and t m 0 = ( a m 0 b m 0 ) / 2 I m 0 . Then, the reflection and transmission coefficients can be computed using the formulae C r m = | r m 0 | and C t m = | t m 0 | , respectively.
The non-dimensional vertical wave force acting on the HFFM is obtained as
F m = i ω 2 g l 0 a 0 l y ( χ 1 + χ 2 ) | y = 0 d x d z .

4. Brief Description of Experiment

4.1. Experimental Model and Equipment Adopted

The model tests took place in the 2D wave flume of the National Laboratory for Civil Engineering (LNEC) in Portugal. At one end of the flume, a piston-type wavemaker is set up to produce regular waves, while the opposite end features a rock slope absorption area designed to efficiently dissipate the incoming wave energy.
Wave gauges (WGs) are utilised to measure the free surface elevation within the wave flume, and the voltage signals are collected by a signal box that is capable of amplifying or attenuating the signal sent to the computer. The sampling frequency is set at 40 Hz. Four-wave gauges are placed in front of and behind the tested floating flexible membrane to measure the reflection and the transmission coefficients. The wave flume dimension and WG distances are included in Table 1.
A four-point method, building upon the three-point technique developed by [28] is employed to distinguish between the incident, reflected, and transmitted waves. This method also allows for calculating the reflection and transmission coefficients, Cr and Ct, by analysing the data from composite waves captured by four WGs positioned before and after the HFFM.

4.2. Model Preparation and Wave Characteristics

The HFFM model comprises two main elements: a synthetic material and a supporting frame made of stainless steel. This steel frame includes two plates, four vertical cylindrical steel rods, and two horizontal rods of identical diameters. The membrane is positioned on the horizontal stainless-steel rods and tautened gently by hand to create a smooth panel. Subsequently, the edges of the membrane are secured to the bottom of the frame using springs anchored by ring-like structures designed for this purpose. The dimension and properties of the HFFM is provided in Table 2.
During the experiment, stainless-steel frames are positioned on the flume and secured with heavy stones to ensure their stability. Additionally, this experimental test primarily examines the impact of springs in response to incident waves that vary in height (H) and spring stiffness ( s f ). The wave characteristics of the experiment are mentioned in Table 3.

5. Numerical Results and Discussion

This section compares the reflection and transmission coefficients calculated from the current analytical solutions with experimental data from [11], which did not account for the current. Secondly, the deflection of floating flexible membranes on different design parameters is presented, and the results are analysed. Thirdly, the wave forces on the moored floating flexible membrane for different membrane widths, modes of oscillations, CSs, and membrane tension are analysed. Finally, the phase and group velocities on the effect of different CSs are also analysed. Here, the results for the opposite current case are avoided as not considered in the formulations due to the case of wave blocking.
Hereafter, all numerical computations were executed based on an analytical solution by considering fluid density ρ = 1025   kgm 3 and acceleration due to gravity g = 9.8   ms 2 , and the series is truncated to N = 8 as the series attends convergence for N = 8 unless mentioned otherwise. MATLAB R2016b, 64-bit (win64) was utilised to carry out computations, and all numerical computations from the analytical solution were performed on a desktop machine with Intel® core i7-4790 CPU with 3.60 GHz CPU (Intel (American multinational corporation and technology, Santa Clara, CA, USA)) and 16 GB of memory. On average, each case took roughly 8–10 min to complete the simulation.

5.1. Comparison Results and Analysis

To check the level of accuracy, in this subsection, the present analytical results of reflection and transmission coefficients on different spring stiffnesses are compared against the experimental model test results with no current [11] versus wave period T ( s ) .
In Figure 2 and Figure 3, for different spring stiffnesses, it is observed that the trends of C r m and C t m are similar, and almost all points of the C t m analytical results agree well with experimental data sets. The higher reflection in Cr from the analytical solution is observed for the lower wave period because of the CS in the present model, leading to elevated reflection upstream. A higher reflection coefficient implies that the HFFM breakwater offers better wave protection and reflection for regular waves with a shorter peak period in real physical applications.
In Figure 2, when T  2.4, the analytical result for Cr converged with the experimental model data sets [11], whilst the Ct values were very close, but at a specific wave period, it also converged with the experimental model presented in reference [11]. However, for the lower wave period, the discrepancy arises from the exceptionally low tension of the membrane materials used [11]. This low tension suggests that the membrane’s tension reduced the efficiency of reflecting incident waves, particularly for higher wave periods, resulting in increased transmission.
Furthermore, in Figure 3, Cr from the model [11] is 0.09 m, while that from the present model is 0.0668 m, which is 34% lower. Conversely, Ct from the analytical solution converged for T 1.8 (s), and the reason for the lower T is similar as is explained in the previous paragraph.

5.2. Effect of Current and Structural Parameters on C r m and C t m

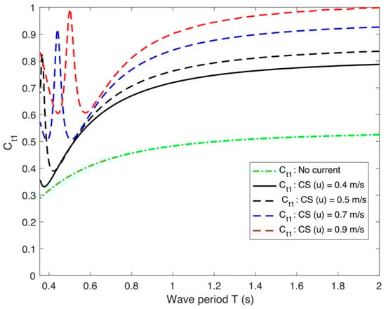
Figure 4 plots the influence of u and no current on the versus wave period T(s) with membrane tension, spring stiffness, and versus wave period. An elevation in current value corresponds to a heightened transmission coefficient (Ct1). This is because of the higher deflection of the floating flexible membrane caused by a higher CS, thereby enabling the transmission of greater wave energy beneath the membrane. It is evident that in the absence of currents, no peak is observed in Ct1, and the trend of Ct1 is almost linear.
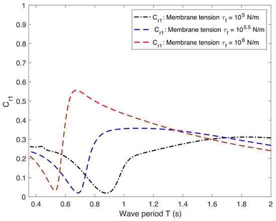
Figure 5 depicts the impact of the tensile force of the floating membrane on the C r 1 versus T(s) with spring stiffness s f = 10 6   N / m , h / l = 0.2 , and a / h = 14 . It is observed that the reflection coefficient increases with an increase in tensional force on the membrane. However, this effect becomes reversed for a higher wave period. Due to the membrane’s higher tensile strength ( τ f ), it exhibits reduced deflection, resulting in decreased wave energy transmission and increased wave reflection.
Figure 6 simulates the effect of the non-dimensional water depth h / l = 0.2 on C r 1 versus T(s) with spring stiffness τ f = 10 11   Nm 1 , l/h = 5, and a/h = 14. It is observed that the reflection coefficient decreases with an increase in tensional force. However, the observed effect is reversed for wave periods exceeding a specific threshold, provided all other parameters are held constant.
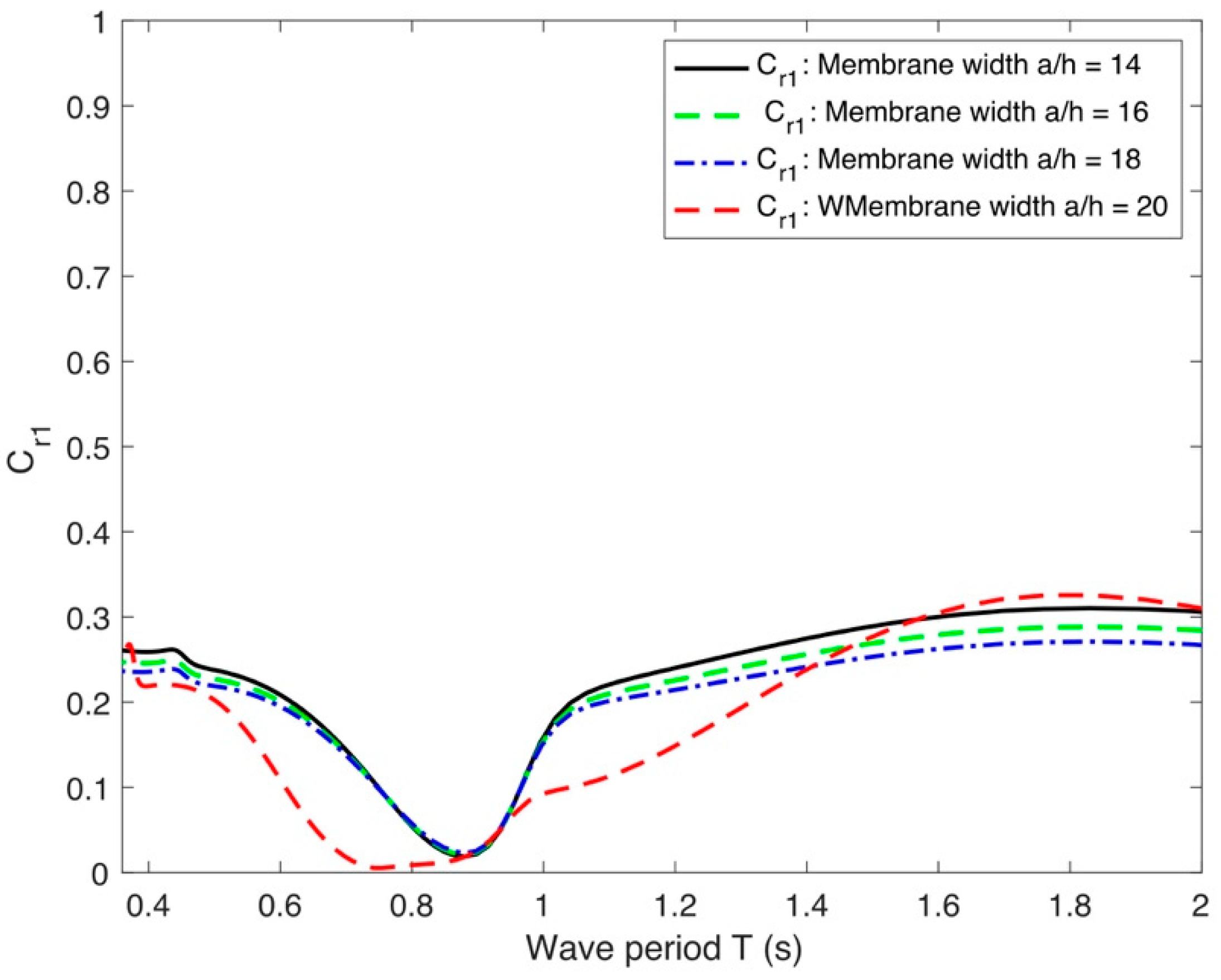
Figure 7 shows the impact of the membrane width a/h on Cr versus T(s) with spring stiffness τ f = 10 11   Nm 1 and h / l = 0.2 . Due to the expanded membrane coverage on the water’s surface, the reflection coefficient drops and reaches its minimum value for a wider membrane. While the results for reflection coefficients across various membrane lengths are not presented here, it is important to note that the observations are similar to those depicted in Figure 7.

5.3. Influence of Current and Structural Parameters on 3D Membrane Deflection

Figure 8 simulates the 3D deflection η ( m ) of the HFFM for different CSs versus the length l ( m ) and width a ( m ) of the channel with membrane tension τ f = 10 7   N / m with u = 1.5   m / s . It is found that the deflection increases with an increase in the value of the CS. However, for lower values of CS, the variations among them are negligible, which is clear from Figure 8.
Figure 9 simulates the 3D deflection η ( m ) of the HFFM for different spring stiffnesses versus the length l ( m ) and width a ( m ) of the channel with membrane tension τ f = 10 7   N / m and where u = 2.5   m / s . An increase in spring stiffness results in a decrease in deflection. Despite their differences, they are essentially the same. It is clear from Figure 9 that the effect of spring stiffness on the HFFM does not significantly affect the vibration of the membrane.
Figure 10 plots the effect of different membrane tensions on the 3D deflection of the HFFM versus channel length and width. It is seen that the observations are similar to those in Figure 6; however, in this case, the deflection variations for different τ f are prominent.
In Figure 11, the effect of different water depth h on the 3D deflection of the HFFM versus channel length l ( m ) and width for s f = 10 6   N / m are plotted. It is found that the deflection decreases as the depth of water increases, which is because the wave force on the membrane becomes lower as the h / l increases.

5.4. Influence of Current and Structural Parameters on Vertical Force

Figure 12 shows the effect of CS on the non-dimensional vertical wave force Fm for s f = 10 6   N / m versus non-dimensional wavelength λ / l . As the values of CS increase, the vertical wave load on the membrane increases. Conversely, for an intermediate wavelength, the vertical wave load on the membrane increases with increasing CS.
Figure 13 shows the effect of membrane width on the non-dimensional vertical wave force where s f = 10 6   N / m and CS u = 2.5   m / s versus non-dimensional wavelength λ / l . In general, the wave force on the HFFM lessens as the width increases. However, for an intermediate value of wavelength, the effect is just reversed in nature.
In Figure 14, the effects of zero, primary, and secondary modes of the HFFM on the vertical wave force where s f = 10 6   N / m and CS u = 2.5   m / s versus λ / l are plotted. It is observed that the vertical wave force increases with an increase in modes of oscillations. The tertiary mode exhibits a sharp peak in vertical load at a smaller wavelength. This phenomenon arises from generating small waves at the edges of the HFFM. These waves break before reaching a critical energy level.
Figure 15 plots the effects of different τ f on the non-dimensional vertical wave force where s f = 10 6   N / m versus λ / l . It is found that the non-dimensional vertical wave force increases with an increase in the values of τ f , certain values of spring stiffness, and the primary mode of oscillation. However, for each value τ f , the vertical load attends to a minimum for particular values of λ / l because the membrane tension increases the flexibility of the membrane, which becomes harder; as a result, the vertical force on the membrane increases.
Figure 16 depicts the effect of water depth on the non-dimensional vertical wave force versus non-dimensional wavelength λ / l . It is found that as the water becomes deeper, the vertical wave load on the membrane usually becomes smaller. Further, at an intermediate wavelength, vertical loads reach a minimum.

5.5. Effect of CS on Phase and Group Velocities

This subsection examines the impact of current velocities and varying water depths on the phase and group velocities. From the dispersion relation (23), one can derive the phase velocity ( V c ) and group velocity (Vg) in the presence of CS by neglecting ρ m d [3] in different water depths, as follows.
In the case of FWD, the phase and group velocities can be read as
V c = u ± [ g { σ p + ( 1 / p ) } tanh p h ] 1 / 2 ,   V g = V c Χ + u ( 1 X ) ,
where
Χ = 1 2 { 2 p n h sinh 2 p n h + g ( 3 σ p n 2 + 1 ) g ( σ p n 2 + 1 ) }
In the case of IWD, Equation (38) yields
V c = u ± [ g { σ p + ( 1 / p ) } ] 1 / 2 ,   V g = 1 + ( V c u ) Ε ,
where Ε = 2 σ p n 2 + g 2 ( σ p n 2 + g ) .
In the case of SWD, Equation (38) gives
V c = u ± [ g ( σ p 2 + 1 ) h ] 1 / 2 ,   V g = 1 + ( V c u ) ( 2 σ p n 2 + g ) ( σ p n 2 + g ) .
Figure 17 compares the phase velocity V c and group velocity V g of waves over the floating flexible membrane versus wave number with CS, u = 2.5   m / s . From Figure 17a, in FWD, it is observed that as the CS increases, the values of V c become higher, but the trend decreases in nature for higher values of wave number, while in the case of V g (as shown in Figure 17b), the peak values are the same with those of V c ; however, for smaller values of wave number, the V g moves slower than those of V c . This is because of the non-evanescent mode propagation of waves over the HFFM. Further, in the case of no current, both the phase and group velocity have attended lower values than those of any one of the current values.
Figure 18 shows the comparison of phase velocity V c and group velocity V g over a floating flexible membrane versus wave number where CS u = 2.5   m / s . From Figure 18a, it is observed that the variation V c between finite and deep water depth for higher values of wave number is negligible. However, in deep water, the V c moves are faster than that of finite depth for lower wave numbers with a certain value of CS due to less effect from currents. From Figure 18b, the group velocity of waves in shallow water is noticeably faster than in the other two cases, demonstrating a significant difference in propagation speed. Further, the impact of shallow water currents is easily observed as their flow aligns with the path of advancing waves.

6. Conclusions

In this paper, the novel research contributions extend previous work [11] by investigating the impact of CS on the dynamics of an HFFM using an analytical approach. Further, the effects of current on the hydrodynamic coefficients, membrane deflection, wave forces, and V c and V g for structural and spring mooring parameters are studied by analysing numerical results from the analytical solutions. It is observed that as the value of the CS rises, the deflection also increases, whereas it declines in deeper water. On the other hand, the spring stiffness has minimal effect on the vibrations of the flexible membrane. It is concluded that
The inclusion of current in the mathematical model and analytical solution is an original contribution of this work. It is observed that the comparison results of Crm and Ctm between analytical and experimental data sets support the present analytical solution.
Regarding the effect of springs and membrane tension, it is found that as the s f and membrane tension increase, the 3D deflection of the membrane decreases, whilst as the modes of oscillation increase, the deflection pattern of the HFFM increases significantly. The wave force analysis revealed that non-dimensional vertical wave loads become increasingly substantial for higher m and elevated τ f . On the other hand, it is observed that the phase and group velocity increases for higher values of CS. Nevertheless, the impact of CS is more significant in shallow water regimes than that of DWD and FWD.
The current model has certain limitations: the applicable boundary conditions need to be linear and of the third order, in contrast to the floating flexible plate model, which operates with fifth-order conditions at the structural boundary. Additionally, the structural boundaries must remain constant with respect to the coordinates, necessitating a Fourier series of solutions to be obtained. As a result, the existing methodology is suitable for flexible or porous membrane structures with rectangular or circular shapes.
The analysis of the three-dimensional problem in the presence of oblique current flow and waves will be studied in future work. Further extensions of the present work include the following: (i) The integral form of Green’s function derived in this paper can be further simplified by using Cauchy integral theorem based on complex function theory to obtain an alternate expression in series form, and this approach can be helpful for demonstrating a realistic physical nature of a problem emerging in the field of Ocean Engineering and can be validated against the present developed solutions, (ii) the deflection results might be useful for comparisons with the independent experimental model test results based on the computer vision target tracking technique, and (iii) the present formulation and analysis can give us a better understanding of developing an articulated floating flexible membrane for applications to wave energy extraction systems by introducing or adding extra stiffness and lowering the current speed to mitigate the instability of a floating flexible membrane.

Author Contributions

Conceptualisation, S.C.M. and C.G.S.; methodology, S.C.M.; writing—original manuscript, S.C.M., K.B. and C.G.S. All authors have read and agreed to the published version of the manuscript.

Funding

The first author is under contract as a researcher with the Portuguese Foundation for Science and Technology (Fundação para a Ciência e Tecnologia-FCT), through Scientific Employment Stimulus, Individual support, under contract no. CEECIND/04879/2017. This work contributes to the Strategic Research Plan of the Centre for Marine Technology and Ocean Engineering (CENTEC), which is financed by the Portuguese Foundation for Science and Technology (Fundação para a Ciência e Tecnologia—F.C.T.) under contract UIDB/UIDP/00134/2020.

Institutional Review Board Statement

Not applicable.

Informed Consent Statement

Not applicable.

Data Availability Statement

Data are contained within this article.

Conflicts of Interest

The authors declare no conflicts of interest.

List of Abbreviations

BVPBoundary value problem
FWD Finite water depth
SWDShallow water depth
DWDDeep water depth
IWDInfinite water depth
HFFMHorizontal floating flexible membrane
CSCurrent speed
PEMPiecewise extrapolation method
FOWTFloating offshore wind turbine
RAOResponse amplitude operator
PVPhotovoltaic

Appendix A. Detailed System of Linear Equations

Using the continuity of pressure and velocity at x = l in Equation (17a,b), and using the orthogonal condition as defined below in Equation (30), two systems of equations are obtained, associated with the unknowns a m n and c m n in Equation (28) as
Γ ( u , k n ) a m n δ q n = n = 0 , I , I I , 1 N ( u , p n ) c m n ϒ q n Γ ( u , k 0 ) I m 0 δ q 0
Γ ( u , k n ) i α m n δ q n a m n = n = 0 , I , I I , 1 N ( u , p n ) c m n p m n ϒ q n coth p m n + Γ ( u , k 0 ) i α m 0 I m 0 δ q 0
where Γ ( u , k n ) = 1 / ( ω u k n ) , ( u , p n ) = 1 / ( ω u p n ) , the infinite series is truncated after N -terms, and m = 0 , 1 , 2 , , and q = 0 , 1 , 2 , , N ,   n = 0 , I , I I , I V , 1 , 2 , , N .
ϒ q n = a { ( k q + p n ) sinh ( k q p n ) + ( k q p n ) sinh ( k q + p n ) } 2 ( k q 2 p n 2 ) ε n cosh p n h
Again, matching the velocity and pressure at x = l as in Equation (17a,b), the system of equations associated with the reduced velocity potential χ 2 ( y ) as in Equation (29) is obtained as
Γ ( u , k n ) b m n = n = 0 , I , I I , 1 N ( u , p n ) c ¯ m n ϒ q n Γ ( u , k 0 ) I m 0 δ q 0 ,
Γ ( u , k n ) i α m n b m n δ q n = n = 0 , I , I I , 1 N ( u , p n ) c ¯ m n p m n ϒ q n tanh p m n a + Γ ( u , k 0 ) i α m 0 I m 0 δ q 0 ,
Further, the spring moored condition (31) and one of the continuity conditions, condition (32), yield
n = 0 , I , I I , 1 N ( u , p n ) c ¯ m n p m n ϒ q n c ¯ m n p n p m n ( τ f s f ) tanh p m n l = 0 ,
n = 0 , I , . I I , 1 N ( u , p n ) c ¯ m n p m n tanh p m n l = 0 ,
where the infinite series is truncated after N -terms. The system of Equations (A1)–(A6) can be solved numerically to obtain the unknown coefficients associated with the reduced potentials χ 1 and χ 2 .

References

  1. Liu, C.; Huang, Z. A mixed Eulerian-Lagrangian simulation of nonlinear wave interaction with a fluid-filled membrane breakwater. Ocean Eng. 2019, 178, 423–434. [Google Scholar] [CrossRef]
  2. Li, A.J.; Liu, Y.; Li, H.J.; Fang, H. Analysis of water wave interaction with a submerged fluid-filled semi-circular membrane breakwater. Ocean Eng. 2020, 197, 106901. [Google Scholar] [CrossRef]
  3. Mohapatra, S.C.; Guedes Soares, C. Interaction of ocean waves with floating and submerged horizontal flexible structures in three-dimensions. Appl. Ocean Res. 2019, 83, 136–154. [Google Scholar] [CrossRef]
  4. Michailides, C.; Angelides, D.C. Modeling of energy extraction and behavior of a flexible floating breakwater. Appl. Ocean Res. 2012, 35, 77–94. [Google Scholar] [CrossRef]
  5. Michailides, C.; Loukogeorgaki, E.; Angelides, D.C. Response Analysis and Optimum Configuration of a Modular Floating Structure with Flexible Connectors. Appl. Ocean Res. 2013, 43, 112–130. [Google Scholar] [CrossRef]
  6. Orphin, J.; Fleming, A.; Algie, C. Physical scale model testing of a flexible membrane wave energy converter: Videogrammetric analysis of membrane operation. Int’l J. Mar. Energy 2017, 20, 135–150. [Google Scholar] [CrossRef]
  7. Träsch, M.; Dporte, A.; Delacroix, S.; Germain, G.; Gaurier, B.; Drevet, J.-B. Power estimates of an undulating membrane tidal energy converter. Ocean Eng. 2018, 148, 115–124. [Google Scholar] [CrossRef]
  8. Träsch, M.; Delacroix, S.; Dporte, A.; Drevet, J.-B.; Gaurier, B.; Germain, G. Dynamic behavior of an undulating membrane tidal energy converter under wave and current loading. Ocean Eng. 2020, 206, 107340. [Google Scholar] [CrossRef]
  9. McDonald, A.; Costello, R. Validation of FlexWEC: A simulation tool for analysis of generic flexible membrane W.E.C.s. In Proceedings of the 14th European Wave and Tidal Energy Conference (EWTEC 2021), The University of Plymouth, Plymouth, UK, 5–9 September 2021. [Google Scholar]
  10. Collins, I.; Hossain, M.; Dettmer, W.; Masters, I. Flexible membrane structures for wave energy harvesting: A review of the developments, materials and computational modelling approaches. Renew. Sustain. Energy Rev. 2021, 151, 111478. [Google Scholar] [CrossRef]
  11. Mohapatra, S.C.; Guo, Y.C.; Guedes Soares, C. Analytical and experimental study on wave interaction with a horizontal floating flexible membrane supported by linear springs. In Trends in Renewable Energies Offshore; Guedes Soares, C., Ed.; C.R.C. Press: Taylor & Francis Group: London, UK, 2023; pp. 257–266. [Google Scholar]
  12. Milani, L.; Thorniley, S.; Kurniawan, A.; Wolgamot, H. Modelling and testing of a pressure-differential wave energy converter with flexible membranes. Appl. Ocean Res. 2023, 134, 103516. [Google Scholar] [CrossRef]
  13. Agarwal, S.; Colomés, O.; Metrikine, A. Dynamic Analysis of Viscoelastic Floating Membranes Using Monolithic Finite Element Method. J. Fluids Struct. 2024, 129, 104167. [Google Scholar] [CrossRef]
  14. Touboul, J.; Morales-Marquez, V.; Belibassakis, K. A Weakly Nonlinear System for Waves and Sheared Currents over Variable Bathymetry. J. Mar. Sci. Eng. 2024, 12, 509. [Google Scholar] [CrossRef]
  15. Kristiansen, T.; Petter, G.; Odd, M.F. A floating membrane solar island study. In Proceedings of the 9th International Conference on Hydroelasticity in Marine Technology, Rome, Italy, 10–13 July 2022; Available online: https://hdl.handle.net/11250/3054316 (accessed on 15 June 2024).
  16. Zhang, Y.; Zhang, X.; Chen, Y.; Tian, X.; Li, X.J. A frequency-domain hydroelastic analysis of a membrane-based offshore floating photovoltaic platform in regular waves. Fluids Struct. 2024, 127, 104125. [Google Scholar] [CrossRef]
  17. Xu, P.; Wellens, P.R. Fully nonlinear hydroelastic modelling and analytic solution of large-scale floating photovoltaics in waves. J. Fluid Struct. 2022, 109, 103446. [Google Scholar] [CrossRef]
  18. Zhang, C.; Dai, J.; Ang, K.K.; Lim, H.V. Development of compliant modular floating photovoltaic farm for coastal conditions. Renew. Sustain. Energy Rev. 2024, 190, 114084. [Google Scholar] [CrossRef]
  19. Sethuraman, L.; Venugopal, V. Hydrodynamic response of a stepped-spar floating wind turbine: Numerical modeling and tank testing. Renew. Energy 2013, 52, 160–174. [Google Scholar] [CrossRef]
  20. Russo, S.; Contestabile, P.; Bardazzi, A.; Leone, E.; Iglesias, G.; Tomasicchio, G.R.; Vicinanza, D. Dynamic Loads and Response of a Spar Buoy Wind Turbine with Pitch-Controlled Rotating Blades: An Experimental Study. Energies 2021, 14, 3598. [Google Scholar] [CrossRef]
  21. Wei, X.; Zhu, X.; Cao, R.; Wang, J.; Li, X.; Li, Q.; Choi, J.H. Dynamic Analysis of a Moored Spar Platform in a Uniform Current: Fluid Load Prediction Using a Surrogate Model. J. Mar. Sci. Eng. 2024, 12, 792. [Google Scholar] [CrossRef]
  22. Ren, N.X.; Ma, Z.; Shan, B.; Ning, D.Z.; Ou, J.P. Experimental and numerical study of dynamic responses of a new combined T.L.P. type floating wind turbine and a wave energy converter under operational conditions. Renew. Energy 2020, 151, 966–974. [Google Scholar] [CrossRef]
  23. Neisi, A.; Ghassemi, H.; Iranmanesh, M. Effect of the multi-segment mooring system failure on the dynamic motions of the floating platform. Ocean Eng. 2023, 290, 116371. [Google Scholar] [CrossRef]
  24. Gonzalez, A.T.; Dai, S.; Neilson, R.D.; Papadopoulos, J.; Kapitaniak, M. Dynamic response of a shallow-draft floating wind turbine concept: Experiments and modelling. Renew. Energy. 2024, 226, 120454. [Google Scholar] [CrossRef]
  25. Bai, H.; Xu, K.; Zhang, M.; Yuan, W.; Jin, R.; Li, W.; Gao, S.; Li, H. Theoretical and experimental study of the high-frequency nonlinear dynamic response of a 10 M.W. semi-submersible floating offshore wind turbine. Renew. Energy. 2024, 231, 120952. [Google Scholar] [CrossRef]
  26. Guo, Y.C.; Mohapatra, S.C.; Guedes Soares, C. Wave energy dissipation of a submerged horizontal flexible porous membrane under oblique wave interaction. Appl. Ocean Res. 2020, 94, 101948. [Google Scholar] [CrossRef]
  27. Wehausen, J.V.; Laitone, E.V. Surface waves. In Handbuch der Physik, 9, Part 3; Springer: Berlin, Germany, 1960; pp. 446–778. [Google Scholar]
  28. Mansard, E.P.; Funke, E.R. The measurement of incident and reflected spectra using a least squares method. Coast. Eng. 1980, 154–172. [Google Scholar]
Figure 1. Three-dimensional modelling of floating flexible membrane connected with spring mooring.
Figure 1. Three-dimensional modelling of floating flexible membrane connected with spring mooring.
Jmse 12 01583 g001
Figure 2. Comparison between the analytical ( C r 1 and C t 1 ) and experimental data sets [11] of C r and C t where s f = 10 5   Nm - 1 , u = 0.8   ms - 1 , and H = 0.04 .
Figure 2. Comparison between the analytical ( C r 1 and C t 1 ) and experimental data sets [11] of C r and C t where s f = 10 5   Nm - 1 , u = 0.8   ms - 1 , and H = 0.04 .
Jmse 12 01583 g002
Figure 3. Comparison between the analytical ( C r 1 and C t 1 ) and experiment [11] of C r and C t where s f = 10 3   Nm - 1 and H = 0.08.
Figure 3. Comparison between the analytical ( C r 1 and C t 1 ) and experiment [11] of C r and C t where s f = 10 3   Nm - 1 and H = 0.08.
Jmse 12 01583 g003
Figure 4. Effects of u on C t 1 for s f = 10 6   N / m , τ f =   10 5   Nm 1 , and h/l = 0.2.
Figure 4. Effects of u on C t 1 for s f = 10 6   N / m , τ f =   10 5   Nm 1 , and h/l = 0.2.
Jmse 12 01583 g004
Figure 5. Effects of τ f on C r 1 for s f = 10 6   N / m , u = 0.5 m/s, and h/l = 0.2.
Figure 5. Effects of τ f on C r 1 for s f = 10 6   N / m , u = 0.5 m/s, and h/l = 0.2.
Jmse 12 01583 g005
Figure 6. Effects of non-dimensional water depth h / l = 0.2 on C r 1 where s f = 10 6   N / m and u = 1.5   m / s .
Figure 6. Effects of non-dimensional water depth h / l = 0.2 on C r 1 where s f = 10 6   N / m and u = 1.5   m / s .
Jmse 12 01583 g006
Figure 7. Effects of membrane width a / h on C r 1 where s f = 10 6   N / m and u = 1.5   m / s .
Figure 7. Effects of membrane width a / h on C r 1 where s f = 10 6   N / m and u = 1.5   m / s .
Jmse 12 01583 g007
Figure 8. Effects of CS on 3D deflection where s f = 10 6   N / m , m = 1, and u = 1.5   m / s .
Figure 8. Effects of CS on 3D deflection where s f = 10 6   N / m , m = 1, and u = 1.5   m / s .
Jmse 12 01583 g008
Figure 9. Effects of different spring stiffnesses s f on membrane deflection where τ f = 10 7   N / m , u = 2.5   m / s , and m = 1.
Figure 9. Effects of different spring stiffnesses s f on membrane deflection where τ f = 10 7   N / m , u = 2.5   m / s , and m = 1.
Jmse 12 01583 g009
Figure 10. Effects of membrane tension on the 3D deflection where s f = 10 6   N / m , m = 1, and u = 2.5   m / s .
Figure 10. Effects of membrane tension on the 3D deflection where s f = 10 6   N / m , m = 1, and u = 2.5   m / s .
Jmse 12 01583 g010
Figure 11. Effects of different water depths h on the 3D deflection where s f = 10 6   N / m and u = 2.5   m / s .
Figure 11. Effects of different water depths h on the 3D deflection where s f = 10 6   N / m and u = 2.5   m / s .
Jmse 12 01583 g011
Figure 12. Effects of CS on the non-dimensional vertical wave force where s f = 10 6   N / m .
Figure 12. Effects of CS on the non-dimensional vertical wave force where s f = 10 6   N / m .
Jmse 12 01583 g012
Figure 13. Effects of width a ( m ) on the non-dimensional vertical wave force where s f = 10 6   N / m and CS, u = 2.5   m / s .
Figure 13. Effects of width a ( m ) on the non-dimensional vertical wave force where s f = 10 6   N / m and CS, u = 2.5   m / s .
Jmse 12 01583 g013
Figure 14. Effects of modes of oscillation m on the vertical wave force where s f = 10 6   N / m and CS u = 2.5   m / s .
Figure 14. Effects of modes of oscillation m on the vertical wave force where s f = 10 6   N / m and CS u = 2.5   m / s .
Jmse 12 01583 g014
Figure 15. Effects of different membrane tension τ f on the vertical wave loads where s f = 10 6   N / m and CS u = 2.5   m / s .
Figure 15. Effects of different membrane tension τ f on the vertical wave loads where s f = 10 6   N / m and CS u = 2.5   m / s .
Jmse 12 01583 g015
Figure 16. Effects of different water depths on the vertical wave loads where s f = 10 6   N / m and CS u = 2.5   m / s .
Figure 16. Effects of different water depths on the vertical wave loads where s f = 10 6   N / m and CS u = 2.5   m / s .
Jmse 12 01583 g016
Figure 17. Effects of CSs on the (a) phase and (b) group velocities in FWD.
Figure 17. Effects of CSs on the (a) phase and (b) group velocities in FWD.
Jmse 12 01583 g017
Figure 18. Comparison of (a) phase velocities and (b) group velocity between different water depths.
Figure 18. Comparison of (a) phase velocities and (b) group velocity between different water depths.
Jmse 12 01583 g018
Table 1. Dimension of wave flume and distance between WGs.
Table 1. Dimension of wave flume and distance between WGs.
Wave Flume Dim.WGsDistances
Length (35 m)1 and 230 cm
Width (0.62 m)2 and 320 cm
Height (1 m)3 and 438 cm
Rock length (5 m)4 placed from 54.65 cm
5 and 630 cm
6 and 723 cm
7 and 835 cm
8 from rock slope3.2 cm
5 and back edge membrane1 m
Table 2. The dimension and properties of the HFFM.
Table 2. The dimension and properties of the HFFM.
ParametersSymbolUnitValue
Mass densitymmkg/m2 0.124
Springs stiffnesssfN/m106, 105, 5 × 103
Membrane lengthlm1.05
Membrane widtham0.6
Table 3. Wave characteristics.
Table 3. Wave characteristics.
ParametersUnitRange
Water depthm0.35
Wave heightm0.04–0.08
Wave periods0.8–3.0 (increments of 0.2)
Disclaimer/Publisher’s Note: The statements, opinions and data contained in all publications are solely those of the individual author(s) and contributor(s) and not of MDPI and/or the editor(s). MDPI and/or the editor(s) disclaim responsibility for any injury to people or property resulting from any ideas, methods, instructions or products referred to in the content.

Share and Cite

MDPI and ACS Style

Mohapatra, S.C.; Guedes Soares, C.; Belibassakis, K. Current Loads on a Horizontal Floating Flexible Membrane in a 3D Channel. J. Mar. Sci. Eng. 2024, 12, 1583. https://doi.org/10.3390/jmse12091583

AMA Style

Mohapatra SC, Guedes Soares C, Belibassakis K. Current Loads on a Horizontal Floating Flexible Membrane in a 3D Channel. Journal of Marine Science and Engineering. 2024; 12(9):1583. https://doi.org/10.3390/jmse12091583

Chicago/Turabian Style

Mohapatra, Sarat Chandra, C. Guedes Soares, and Kostas Belibassakis. 2024. "Current Loads on a Horizontal Floating Flexible Membrane in a 3D Channel" Journal of Marine Science and Engineering 12, no. 9: 1583. https://doi.org/10.3390/jmse12091583

APA Style

Mohapatra, S. C., Guedes Soares, C., & Belibassakis, K. (2024). Current Loads on a Horizontal Floating Flexible Membrane in a 3D Channel. Journal of Marine Science and Engineering, 12(9), 1583. https://doi.org/10.3390/jmse12091583

Note that from the first issue of 2016, this journal uses article numbers instead of page numbers. See further details here.

Article Metrics

Back to TopTop