Very High Cycle Fatigue Life of Free-Spanning Subsea Pipeline Subjected to Vortex-Induced Vibrations
Abstract
1. Introduction
2. Vibration Amplitude and Stress Distribution along the Spanning Pipeline
2.1. Amplitude of VIVs
2.2. Stress Distribution along the Free Span
3. Recommended S-N Curves

4. Fatigue Life Prediction and Discussions
4.1. A Flow Chart for Fatigue Life Prediction
- (1)
- For given structural parameters of the spanned pipeline, the natural frequency (fn) of the free span can first be evaluated with Equations (2)–(4a). The reduced velocity (Vr) is calculated with Equation (1) for a certain flow velocity ().
- (2)
- Once the value of Vr is obtained, the dimensionless vibration amplitude (A/D) can then be evaluated with reference to the recommended A/D–Vr curve (Figure 2). Subsequently, the maximum stress range (= 2σmax) can be calculated with Equation (8a) or Equation (8b), where the maximum deflection count (wmax) is substituted by the vibration amplitude A.
- (3)
- By referring to the recommended S-N curves (Figure 5), the fatigue life in terms of the vibration cycles (N) of the spanned pipeline can finally be obtained with Equation (9).
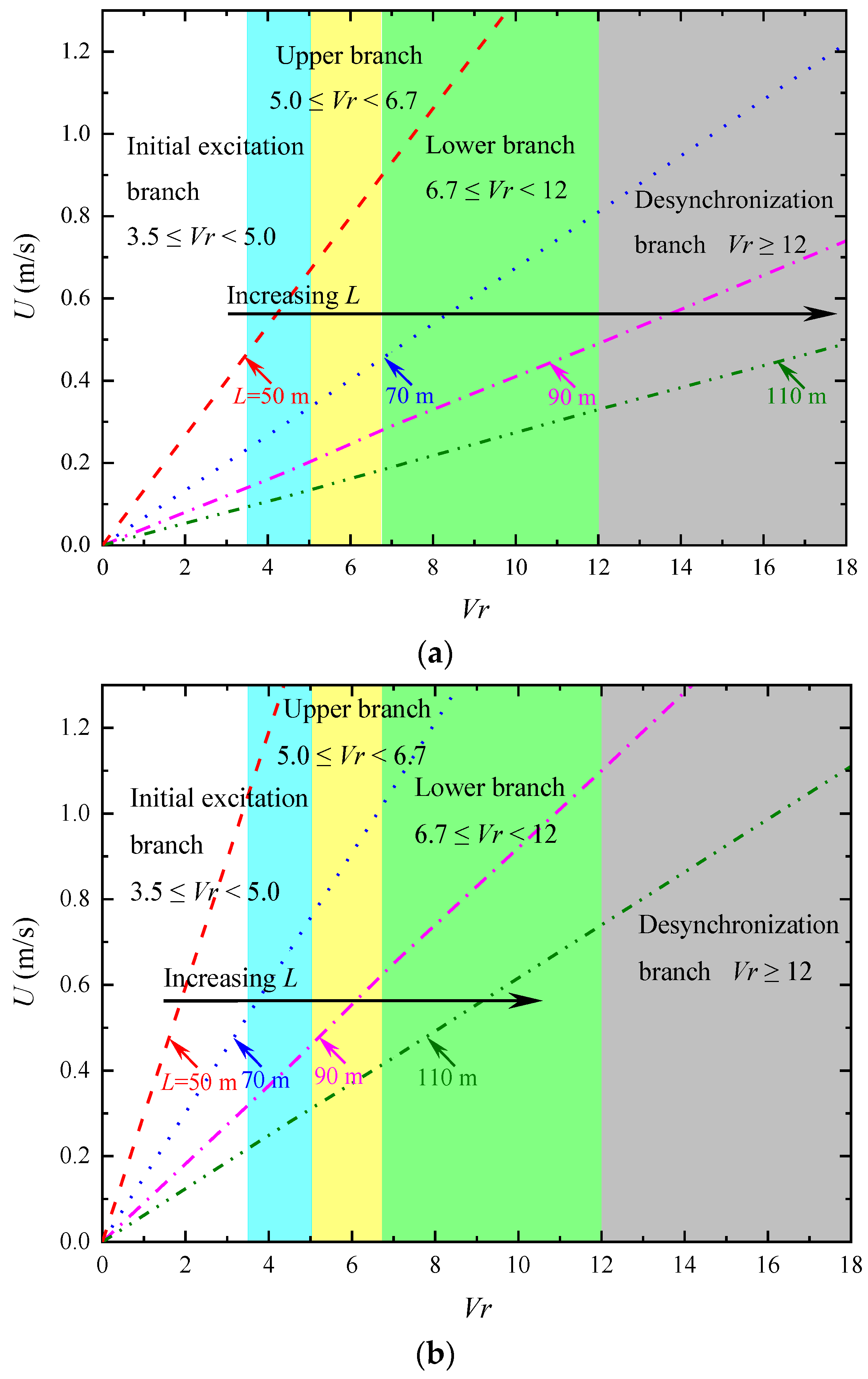
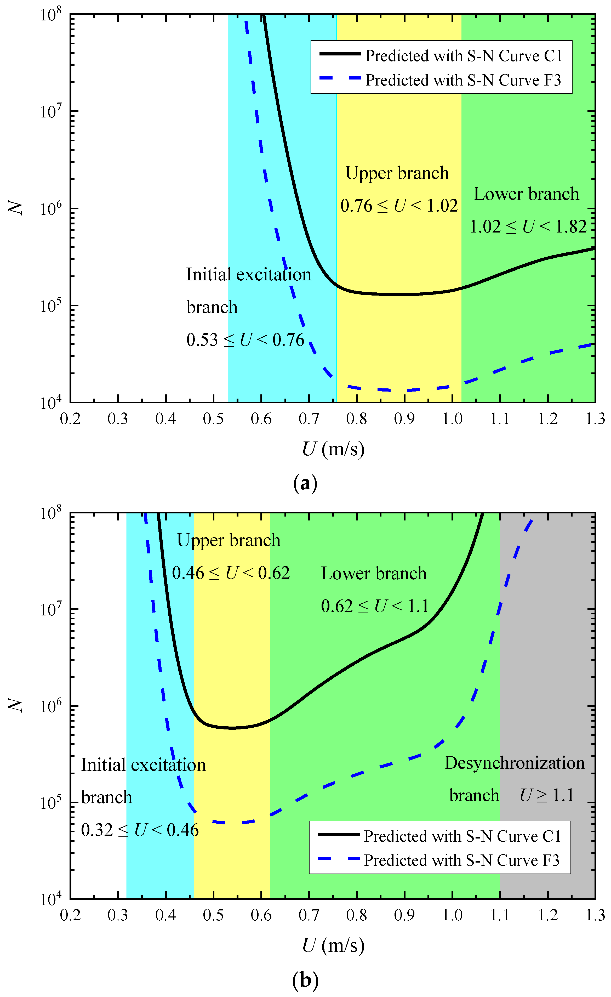
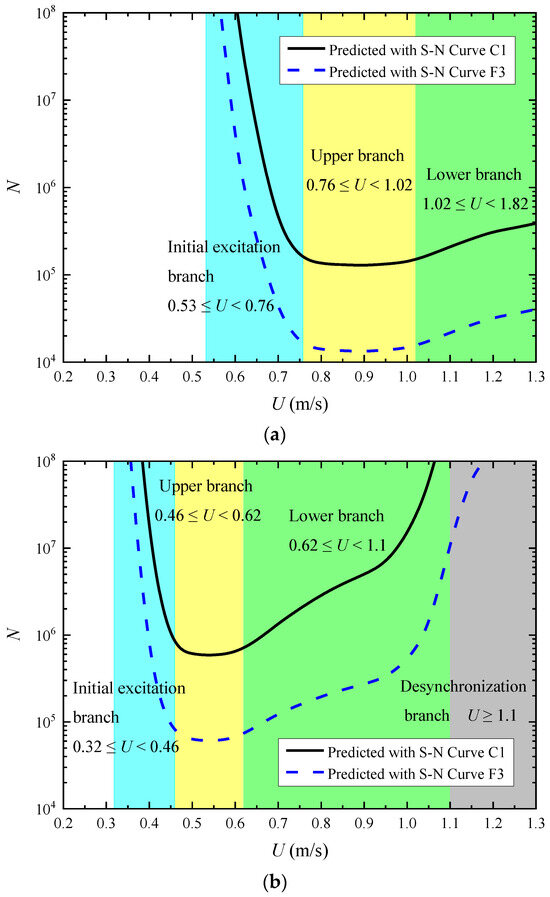
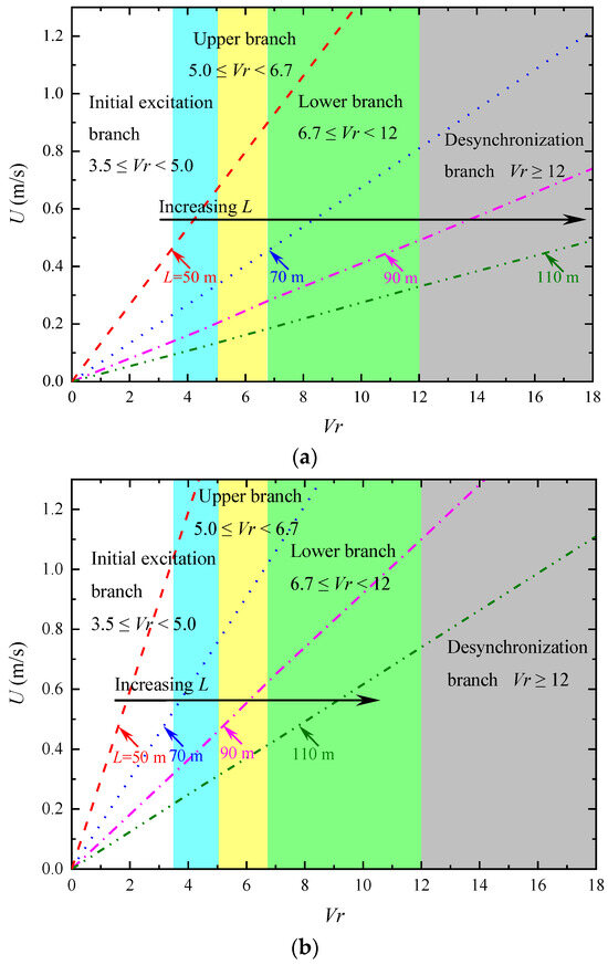
4.2. Parametric Study and Discussions
5. Concluding Remarks
- (1)
- With reference to the benchmark flume observations of the VIV response amplitudes of a low mass damping system, the whole curve for the nonlinear variation in A/D with Vr (A/D–Vr curve) is recommended, in which four distinct branches of VIV responses can be identified (i.e., the initial excitation branch, the upper branch, the lower branch, and the desynchronization branch). Bilinear S-N curves were chosen to describe the relationship between the stress range and the fatigue life of the free spans in a complex seawater environment.
- (2)
- On the basis of the recommended A/D–Vr curve and the S-N curve for VHCF of high-strength steel in seawater and with cathodic protections, a prediction method was proposed for the fatigue life of free spans undergoing VIVs. If the pipeline and environmental parameters are given, then the fatigue life in terms of the number of cycles to failure N can be evaluated by following the flow chart.
- (3)
- The nonlinear relationships between the fatigue life N and the flow velocity U and span length L were obtained in a parametric study. For the examined range of span lengths and flow velocities, the minimum fatigue life emerged at a certain flow with a moderate velocity for a given span length L. With a further decrease or increase in U, the fatigue life N would be enhanced correspondingly, which could be within the regime of VHCF. Such nonlinearity of the relationship of N with U and L is mainly attributed to the intrinsic characteristics of VIVs (i.e., the nonlinear variation in the dimensionless vibration amplitude with a reduced velocity).
Author Contributions
Funding
Institutional Review Board Statement
Informed Consent Statement
Data Availability Statement
Conflicts of Interest
Notations
| A | Vibration amplitude of the cylinder |
| Coefficient in Equation (9) | |
| Parameter for the S-N curve in Table 2 | |
| Parameter for the S-N curve in Table 2 | |
| C1 | Boundary condition coefficient in Equation (2) |
| C3 | Boundary condition coefficient in Equation (2) |
| CA | Added mass coefficient |
| D | Outer diameter of the cylinder or the pipe |
| Di | Inner diameter of the pipe |
| e | Gap between the pipe’s bottom and the seabed surface |
| E | Elastic modulus of the pipe |
| (EI)conc | Stiffness of concrete coating |
| FCS | Concrete stiffness enhancement factor for the pipe |
| fn | Natural frequency of the pipe or the cylinder |
| fv | Frequency of vortex shedding from a fixed cylinder |
| G | Shear modulus of the soil |
| I | Moment of inertia |
| k | Exponent of thickness of the pipe |
| kc | Empirical constant |
| K | Soil stiffness |
| Ks | Combined mass damping parameter |
| Kvd | Dynamic vertical stiffness of the soil |
| L | Free span length of the pipeline |
| Leff | Effective span length of the pipeline |
| M | Bending moment of the pipeline |
| m1 | Parameter for the S-N curve in Table 2 |
| m2 | Parameter for the S-N curve in Table 2 |
| ma | Added mass of the pipeline per meter |
| mc | Mass of the content inside the pipeline per meter |
| me | Effective mass of the pipeline per meter |
| mp | Mass of the steel pipeline per meter |
| N | Number of cycles to fatigue failure |
| Pcr | Critical buckling load |
| q | Uniform load on the pipeline |
| SCF | Stress concentration factor |
| Seff | Effective axial force along the pipeline |
| t | Wall thickness of the pipe |
| Reference wall thickness of the pipe | |
| U | Flow velocity |
| Vr | Reduced velocity |
| Vrcr | Critical reduced velocity |
| w | Deflection of the suspended pipeline |
| wmax | Maximum deflection of the suspended pipeline |
| Non-dimensional soil stiffness | |
| Static deflection of the pipeline | |
| Stress range | |
| Density of the steel | |
| Density of the seawater | |
| Normal stress | |
| Maximum normal stress | |
| Kinematic viscosity of the seawater | |
| Poisson ratio of the soil |
References
- Drago, M.; Mattioli, M.; Bruschi, R.; Vitali, L. Insights on the design of free spanning pipelines. Philos. Trans. R. Soc. A 2015, 373, 20140111. [Google Scholar] [CrossRef]
- Sumer, B.M.; Jensen, H.R.; Mao, Y.; Fredsøe, J. Effect of lee-wake on scour below pipelines in current. J. Waterw. Port Coast. Ocean Eng. 1988, 114, 599–614. [Google Scholar] [CrossRef]
- Gao, F.P. Flow-pipe-soil coupling mechanisms and predictions for submarine pipeline instability. J. Hydrodyn. 2017, 29, 763–773. [Google Scholar] [CrossRef]
- Blevins, R.D. Flow-Induced Vibration, 2nd ed.; Krieger Publishing Company: New York, NY, USA, 1990. [Google Scholar]
- Williamson, C.H.K.; Govardhan, R. Vortex-induced vibrations. Annu. Rev. Fluid Mech. 2004, 36, 413–455. [Google Scholar] [CrossRef]
- Liu, J.; Gao, F.P. Triggering mechanics for transverse vibrations of a circular cylinder in a shear flow: Wall-proximity effects. J. Fluids Struct. 2022, 108, 103423. [Google Scholar] [CrossRef]
- Gao, F.P.; Yang, B.; Wu, Y.X.; Yan, S.M. Steady currents induced seabed scour around a vibrating pipeline. Appl. Ocean Res. 2006, 28, 291–298. [Google Scholar] [CrossRef]
- Sharma, A.; Oh, M.C.; Ahn, B. Recent advances in very high cycle fatigue behavior of metals and alloys—A review. Metals 2020, 10, 1200. [Google Scholar] [CrossRef]
- Murakami, Y.; Nomoto, T.; Ueda, T.; Murakami, Y. On the mechanism of fatigue failure in the superlong life regime (N>107 cycles). Part I: Influence of hydrogen trapped by inclusions. Fatigue Fract. Eng. Mater. Struct. 2000, 23, 893–902. [Google Scholar] [CrossRef]
- Shiozawa, K.; Lu, L.; Ishihara, S. S-N curve characteristics and subsurface crack initiation behaviour in ultra-long life fatigue of a high carbon-chromium bearing steel. Fatigue Fract. Eng. Mater. Struct. 2001, 24, 781–790. [Google Scholar] [CrossRef]
- Sakai, T.; Sato, Y.; Oguma, N. Characteristic S-N properties of high-carbon-chromium-bearing steel under axial loading in long-life fatigue. Fatigue Fract. Eng. Mater. Struct. 2002, 25, 765–773. [Google Scholar] [CrossRef]
- Hong, Y.; Zhao, A.; Qian, G.; Zhou, C. Fatigue strength and crack initiation mechanism of very-high-cycle fatigue for low alloy steels. Metall. Mater. Trans. A 2012, 43, 2753–2762. [Google Scholar] [CrossRef]
- Song, Q.Y.; Sun, C.Q. Mechanism of crack initiation and early growth of high strength steels in very high cycle fatigue regime. Mater. Sci. Eng. A 2020, 771, 138648. [Google Scholar] [CrossRef]
- Det Norske Veritas and Germanischer Lloyd (DNV GL). DNVGL-RP-C203: Fatigue Design of Offshore Steel Structures; DNV: Oslo, Norway, 2016. [Google Scholar]
- Det Norske Veritas and Germanischer Lloyd (DNV GL). DNVGL-RP-F105: Free Spanning Pipelines; DNV: Oslo, Norway, 2017. [Google Scholar]
- Liu, J.; Gao, F.P. Evaluation for allowable span length of a submarine pipeline considering VIV hysteresis effect. Int. J. Offshore Polar Eng. 2021, 31, 325–332. [Google Scholar] [CrossRef]
- He, Z.F.; Wei, Y.; Liu, S.L. Analysis of safe span length and fatigue life of submarine pipelines. China Ocean Eng. 2020, 34, 119–130. [Google Scholar] [CrossRef]
- Det Norske Veritas and Germanischer Lloyd (DNV GL). DNVGL-RP-F114: Pipe-Soil Interaction for Submarine Pipelines; DNV: Oslo, Norway, 2017. [Google Scholar]
- Guo, B.; Song, S.; Ghalambor, A.; Lin, T.R. Offshore Pipelines: Design, Installation, and Maintenance, 2nd ed.; Gulf Professional Publishing: Waltham, MA, USA, 2014. [Google Scholar]
- Sarpkaya, T. A critical review of the intrinsic nature of vortex-induced vibrations. J. Fluids Struct. 2004, 19, 389–447. [Google Scholar] [CrossRef]
- Bearman, P.W. Circular cylinder wakes and vortex-induced vibrations. J. Fluids Struct. 2011, 27, 648–658. [Google Scholar] [CrossRef]
- Wu, X.; Ge, F.; Hong, Y. A review of recent studies on vortex-induced vibrations of long slender cylinders. J. Fluids Struct. 2012, 28, 292–308. [Google Scholar] [CrossRef]
- Wang, X.K.; Hao, Z.; Tan, S.K. Vortex-induced vibrations of a neutrally buoyant circular cylinder near a plane wall. J. Fluids Struct. 2013, 39, 188–204. [Google Scholar] [CrossRef]
- De Oliveira Barbosa, J.M.; Qu, Y.; Metrikine, A.V.; Lourens, E.M. Vortex-induced vibrations of a freely vibrating cylinder near a plane boundary: Experimental investigation and theoretical modelling. J. Fluids Struct. 2017, 69, 382–401. [Google Scholar] [CrossRef]
- Daneshvar, S.; Morton, C. On the vortex-induced vibration of a low mass ratio circular cylinder near a planar boundary. Ocean Eng. 2020, 201, 107109. [Google Scholar] [CrossRef]
- Khalak, A.; Williamson, C.H.K. Investigation of the relative effects of mass and damping in vortex-induced vibration of a circular cylinder. J. Wind. Eng. Ind. Aerodyn. 1997, 69–71, 341–350. [Google Scholar] [CrossRef]
- Sun, X.F.; Fang, X.S.; Guan, L.T. Mechanics of Materials, 5th ed.; Higher Education Press: Beijing, China, 2009. [Google Scholar]
- Sakai, T.; Oguma, N.; Morikawa, A. Microscopic and nanoscopic observations of metallurgical structures around inclusions at interior crack initiation site for a bearing steel in very high-cycle fatigue. Fatigue Fract. Eng. Mater. Struct. 2015, 38, 1305–1314. [Google Scholar] [CrossRef]
- Hong, Y.; Liu, X.; Lei, Z.; Sun, C. The formation mechanism of characteristic region at crack initiation for very-high-cycle fatigue of high-strength steels. Int. J. Fatigue 2016, 89, 108–118. [Google Scholar] [CrossRef]
- Avateffazeli, M.; Webster, G.; Tahmasbi, K.; Haghshenas, M. Very high cycle fatigue at elevated temperatures: A review on high temperature ultrasonic fatigue. J. Space Saf. Eng. 2022, 9, 488–512. [Google Scholar] [CrossRef]
- Sakai, T.; Nakagawa, A.; Oguma, N.; Nakamura, Y.; Ueno, A.; Kikuchi, S.; Sakaida, A. A review on fatigue fracture modes of structural metallic materials in very high cycle regime. Int. J. Fatigue 2016, 93, 339–351. [Google Scholar] [CrossRef]
- Nadot, Y. Fatigue from defect: Influence of size, type, position, morphology and loading. Int. J. Fatigue 2022, 154, 106531. [Google Scholar] [CrossRef]
- Schmiedel, A.; Henkel, S.; Kirste, T.; Morgenstern, R.; Weidner, A.; Biermann, H. Ultrasonic fatigue testing of cast steel G42CrMo4 at elevated temperatures. Fatigue Fract. Eng. Mater. Struct. 2020, 43, 2455–2475. [Google Scholar] [CrossRef]
- Bayraktar, E.; Mora, R.; Garcia, I.; Bathias, C. Heat treatment, surface roughness and corrosion effects on the damage mechanism of mechanical components in the very high cycle fatigue regime. Int. J. Fatigue 2009, 31, 1532–1540. [Google Scholar] [CrossRef]
- Gorash, Y.; Comlekci, T.; Styger, G.; Kelly, J.; Brownlie, F. Investigation of S275JR+AR structural steel fatigue performance in very high cycle domain. Procedia Struct. Integr. 2022, 38, 490–496. [Google Scholar] [CrossRef]
- Palin-Luc, T.; Pérez-Mora, R.; Bathias, C.; Domínguez, G.; Paris, P.; Arana, J. Fatigue crack initiation and growth on a steel in the very high cycle regime with sea water corrosion. Eng. Fract. Mech. 2010, 77, 1953–1962. [Google Scholar] [CrossRef]
- Pérez-Mora, R.; Palin-Luc, T.; Bathias, C.; Paris, P. Very high cycle fatigue of a high strength steel under sea water corrosion: A strong corrosion and mechanical damage coupling. Int. J. Fatigue 2015, 74, 156–165. [Google Scholar] [CrossRef]
- Behvar, A.; Haghshenas, M. A critical review on very high cycle corrosion fatigue: Mechanisms, methods, materials, and models. J. Space Saf. Eng. 2023, 10, 284–323. [Google Scholar] [CrossRef]
- Song, Q.Y. Observation of Characteristic and Analysis of Mechanism in Very High Cycle Fatigue Regime of High-Strength Steel. Ph.D. Thesis, University of Chinese Academy of Sciences, Beijing, China, 2021. [Google Scholar]
- Lemos, M.; Kwietniewski, C.; Clarke, T.; Joia, C.J.B.; Altenhofen, A. Evaluation of the fatigue life of high-strength low-alloy steel girth welds in aqueous saline environments with varying carbon dioxide partial pressures. J. Mater. Eng. Perform. 2012, 21, 1254–1259. [Google Scholar] [CrossRef]
- Gao, Z.; Gong, B.; Xu, Q.; Wang, D.; Deng, C.; Yu, Y. High cycle fatigue behaviors of API X65 pipeline steel welded joints in air and H2S solution environment. Int. J. Hydrogen Energy 2021, 46, 10423–10437. [Google Scholar] [CrossRef]
- Yan, Y.; Zhong, S.; Chen, Z.; Sun, Y.; Xu, L.; Zhao, L.; Han, Y. Corrosion fatigue behavior of X65 pipeline steel welded joints prepared by CMT/GMAW baking process. Corros. Sci. 2023, 225, 111568. [Google Scholar] [CrossRef]









| Parameters | Values | Units |
|---|---|---|
| Outer diameter of the steel pipe (D) | 0.508 | m |
| Wall thickness of the steel pipe (t) | 0.0379 | m |
| Density of the steel () | 7.870 × 103 | kg/m3 |
| Density of the gas inside the pipe () | 0.200 × 103 | kg/m3 |
| Density of the seawater () | 1.024 × 103 | kg/m3 |
| Kinematic viscosity of the seawater () | 1.565 × 10−6 | m2/s |
| Elastic modulus of the steel (E) | 2.10 × 1011 | Pa |
| Moment of inertia of the steel pipe (I) | 1.56 × 10−3 | m4 |
| Non-dimensional soil stiffness () | 4.0 | |
| Reference wall thickness of the pipe (tref) | 0.025 | m |
| S-N Curve | N ≤ 106 | N > 106 | k | ||
|---|---|---|---|---|---|
| m1 | m2 | ||||
| C1 | 3 | 12.049 | 5 | 16.081 | 0.10 |
| F3 | 3 | 11.146 | 5 | 14.576 | 0.25 |
| L (m) | Leff (m) | C1 | fn (Hz) | Vr | A/D | w (m) | σmax (MPa) | N (Predicted with S-N Curve C1) | N (Predicted with S-N Curve F3) | ||||||||
|---|---|---|---|---|---|---|---|---|---|---|---|---|---|---|---|---|---|
| P-P | F-F | P-P | F-F | P-P | F-F | P-P | F-F | P-P | F-F | P-P | F-F | P-P | F-F | P-P | F-F | ||
| 40 | 51.78 | 1.57 | 3.56 | 0.407 | 0.916 | 2.76 | 1.23 | 0.019 | 0 | 0.010 | 0 | 1.82 | 0 | 1.52 × 1013 | 3.49 × 1011 | ||
| 45 | 58.25 | 1.57 | 3.56 | 0.322 | 0.724 | 3.49 | 1.55 | 0.025 | 0 | 0.013 | 0 | 1.95 | 0 | 1.07 × 1013 | 2.46 × 1011 | ||
| 50 | 64.72 | 1.57 | 3.56 | 0.261 | 0.586 | 4.31 | 1.91 | 0.410 | 0 | 0.208 | 0 | 25.44 | 0 | 2.87 × 107 | 7.78 × 105 | ||
| 55 | 71.19 | 1.57 | 3.56 | 0.215 | 0.484 | 5.21 | 2.32 | 0.922 | 0.017 | 0.468 | 0.008 | 47.30 | 2.84 | 1.29 × 106 | 1.67 × 1012 | 1.21 × 105 | 3.81 × 1010 |
| 60 | 77.66 | 1.57 | 3.56 | 0.181 | 0.407 | 6.20 | 2.76 | 0.926 | 0.019 | 0.471 | 0.010 | 39.95 | 2.70 | 3.01 × 106 | 2.13 × 1012 | 2.01 × 105 | 4.88 × 1010 |
| 65 | 84.14 | 1.57 | 3.56 | 0.154 | 0.347 | 7.28 | 3.24 | 0.788 | 0.023 | 0.400 | 0.012 | 28.95 | 2.77 | 1.50 × 107 | 1.86 × 1012 | 5.28 × 105 | 4.26 × 1010 |
| 70 | 90.61 | 1.57 | 3.56 | 0.133 | 0.299 | 8.44 | 3.75 | 0.658 | 0.103 | 0.334 | 0.053 | 20.86 | 10.92 | 7.74 × 107 | 1.97 × 109 | 1.77 × 106 | 4.51 × 107 |
| 75 | 97.08 | 1.57 | 3.56 | 0.116 | 0.261 | 9.69 | 4.31 | 0.571 | 0.413 | 0.290 | 0.210 | 15.75 | 37.97 | 3.16 × 108 | 3.88 × 106 | 7.22 × 106 | 2.34 × 105 |
| 80 | 103.55 | 1.57 | 3.56 | 0.102 | 0.229 | 11.02 | 4.90 | 0.438 | 0.871 | 0.223 | 0.443 | 10.63 | 70.46 | 2.26 × 109 | 3.53 × 105 | 5.16 × 107 | 3.66 × 104 |
| 85 | 110.02 | 1.57 | 3.56 | 0.090 | 0.203 | 12.44 | 5.53 | 0.157 | 0.928 | 0.080 | 0.472 | 3.37 | 66.49 | 7.01 × 1011 | 4.20 × 105 | 1.60 × 1010 | 4.36 × 104 |
| 90 | 116.50 | 1.57 | 3.56 | 0.080 | 0.181 | 13.95 | 6.20 | 0.124 | 0.926 | 0.063 | 0.471 | 2.37 | 59.17 | 4.06 × 1012 | 5.96 × 105 | 9.28 × 1010 | 6.18 × 104 |
| 95 | 122.97 | 1.57 | 3.56 | 0.072 | 0.162 | 15.54 | 6.91 | 0.120 | 0.857 | 0.061 | 0.435 | 2.06 | 49.12 | 8.24 × 1012 | 1.07 × 106 | 1.88 × 1011 | 1.08 × 105 |
| 100 | 129.44 | 1.57 | 3.56 | 0.065 | 0.147 | 17.22 | 7.66 | 0.111 | 0.727 | 0.057 | 0.369 | 1.73 | 37.61 | 1.98 × 1013 | 4.07 × 106 | 4.53 × 1011 | 2.41 × 105 |
| 105 | 135.91 | 1.57 | 3.56 | 0.059 | 0.133 | 18.99 | 8.44 | 0.658 | 0.334 | 30.89 | 1.09 × 107 | 4.34 × 105 | |||||
| 110 | 142.38 | 1.57 | 3.56 | 0.054 | 0.121 | 20.84 | 9.27 | 0.592 | 0.301 | 25.34 | 2.93 × 107 | 7.87 × 105 | |||||
| 115 | 148.86 | 1.57 | 3.56 | 0.049 | 0.111 | 22.78 | 10.13 | 0.548 | 0.278 | 21.44 | 6.75 × 107 | 1.54 × 106 | |||||
| 120 | 155.33 | 1.57 | 3.56 | 0.045 | 0.102 | 24.80 | 11.03 | 0.437 | 0.222 | 15.72 | 3.19 × 108 | 7.30 × 106 | |||||
| 125 | 161.80 | 1.57 | 3.56 | 0.042 | 0.094 | 26.91 | 11.96 | 0.225 | 0.114 | 7.45 | 1.34 × 1010 | 3.05 × 108 | |||||
| 130 | 168.27 | 1.57 | 3.56 | 0.039 | 0.087 | 29.11 | 12.94 | 0.142 | 0.072 | 4.35 | 1.97 × 1011 | 4.52 × 109 | |||||
Disclaimer/Publisher’s Note: The statements, opinions and data contained in all publications are solely those of the individual author(s) and contributor(s) and not of MDPI and/or the editor(s). MDPI and/or the editor(s) disclaim responsibility for any injury to people or property resulting from any ideas, methods, instructions or products referred to in the content. |
© 2024 by the authors. Licensee MDPI, Basel, Switzerland. This article is an open access article distributed under the terms and conditions of the Creative Commons Attribution (CC BY) license (https://creativecommons.org/licenses/by/4.0/).
Share and Cite
Song, Q.; Liu, J.; Gao, F. Very High Cycle Fatigue Life of Free-Spanning Subsea Pipeline Subjected to Vortex-Induced Vibrations. J. Mar. Sci. Eng. 2024, 12, 1556. https://doi.org/10.3390/jmse12091556
Song Q, Liu J, Gao F. Very High Cycle Fatigue Life of Free-Spanning Subsea Pipeline Subjected to Vortex-Induced Vibrations. Journal of Marine Science and Engineering. 2024; 12(9):1556. https://doi.org/10.3390/jmse12091556
Chicago/Turabian StyleSong, Qingyuan, Jun Liu, and Fuping Gao. 2024. "Very High Cycle Fatigue Life of Free-Spanning Subsea Pipeline Subjected to Vortex-Induced Vibrations" Journal of Marine Science and Engineering 12, no. 9: 1556. https://doi.org/10.3390/jmse12091556
APA StyleSong, Q., Liu, J., & Gao, F. (2024). Very High Cycle Fatigue Life of Free-Spanning Subsea Pipeline Subjected to Vortex-Induced Vibrations. Journal of Marine Science and Engineering, 12(9), 1556. https://doi.org/10.3390/jmse12091556

