Prescribed Performance Formation Tracking Control for Underactuated AUVs under Time-Varying Communication Delays
Abstract
1. Introduction
- (1)
- Combining time series analysis theory, an innovative real-time state information online predictor (RSIOP) is proposed. This approach does not necessitate prior knowledge of the upper bound of communication delays. Instead, it leverages the delayed motion state information of neighboring AUVs to recursively obtain their current state information. This approach not only ensures data validity but also achieves real-time active compensation for time-varying communication delays.
- (2)
- To enhance both transient and steady-state performance, the AUV formation’s motion states are constrained using prescribed performance functions, which significantly improves operational efficiency. Additionally, by incorporating nonlinear mapping techniques, the complex transformations of constrained errors are avoided, resulting in a more straightforward and intuitive control protocol design.
- (3)
- The proposed approach addresses the adverse effects of input saturation and unknown external disturbances in AUV formation control without the need for observers, thereby simplifying the adjustment of control parameters.
- (4)
- The formation is designed to be dynamic, enhancing its flexibility in practical applications and improving its ability to adapt to complex and evolving environments.
2. Preliminary and Problem Formulations
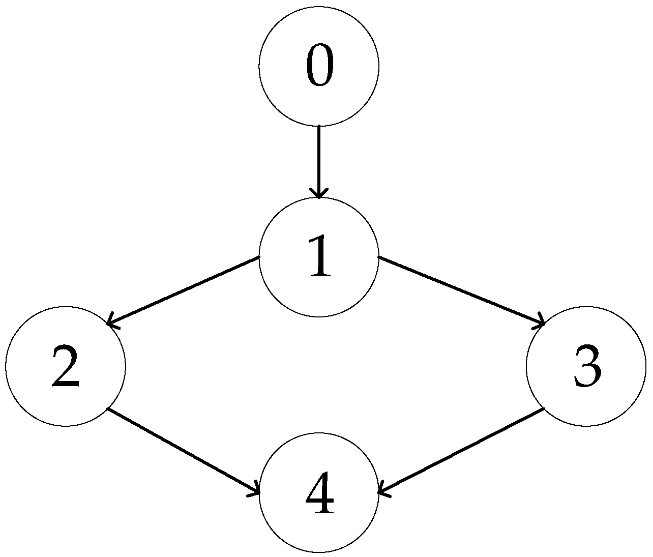
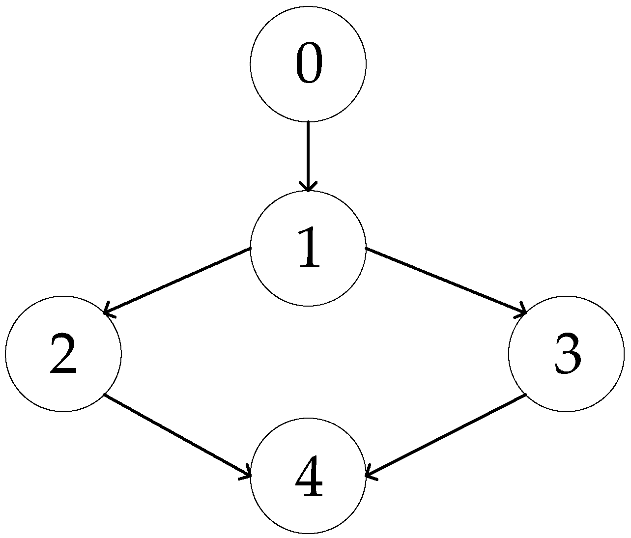
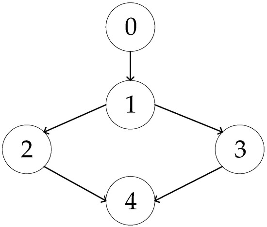
2.1. Graphy Theory
2.2. AUV Model
2.3. Actuator Dynamics
3. Approach to Address Time-Varying Underwater Acoustic Communication Delay
4. Formation Control Protocol Design
4.1. Error Transformation with Prescribed Performance
4.2. Formation Control Law Design
4.3. Stability Analysis
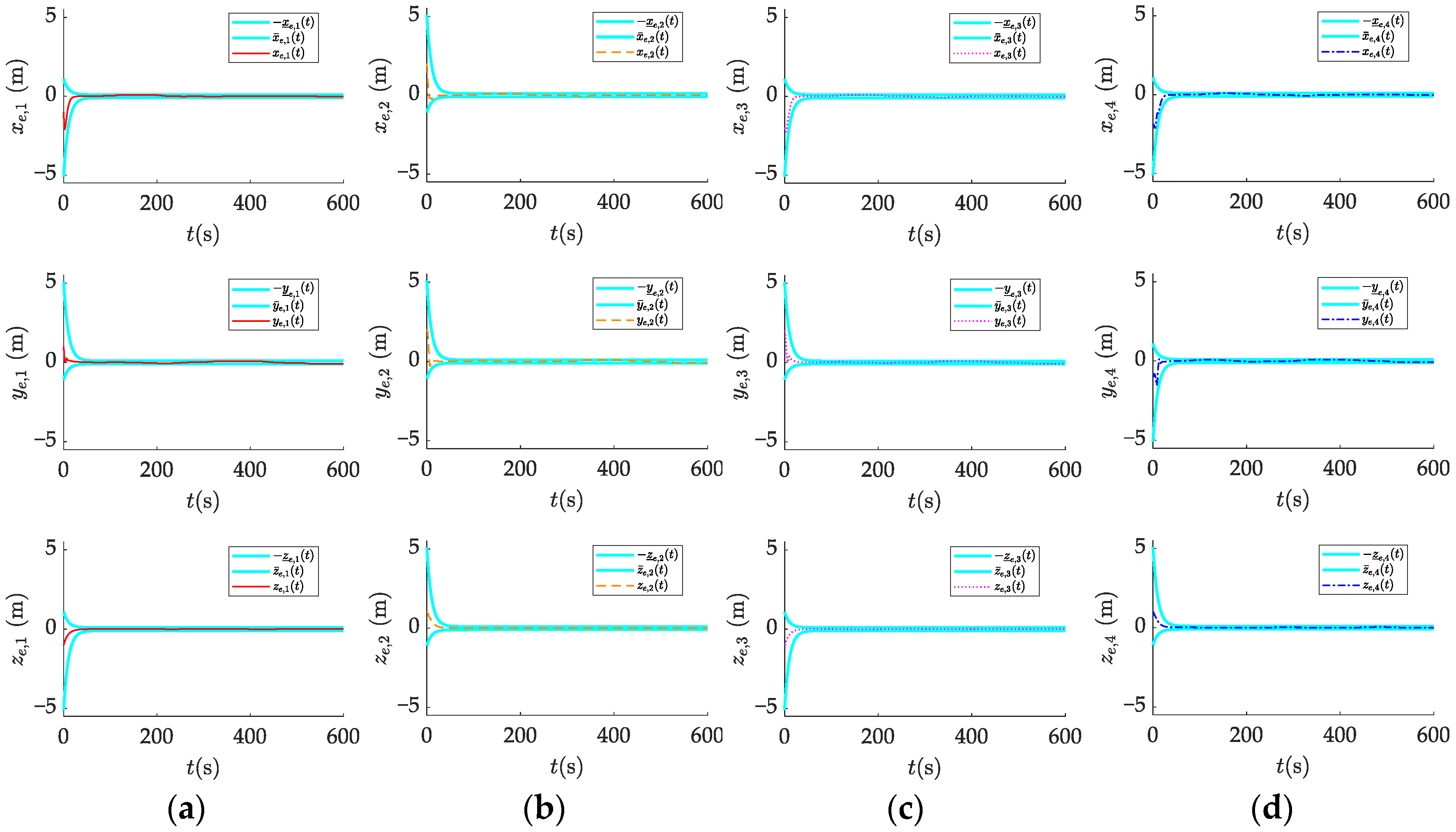
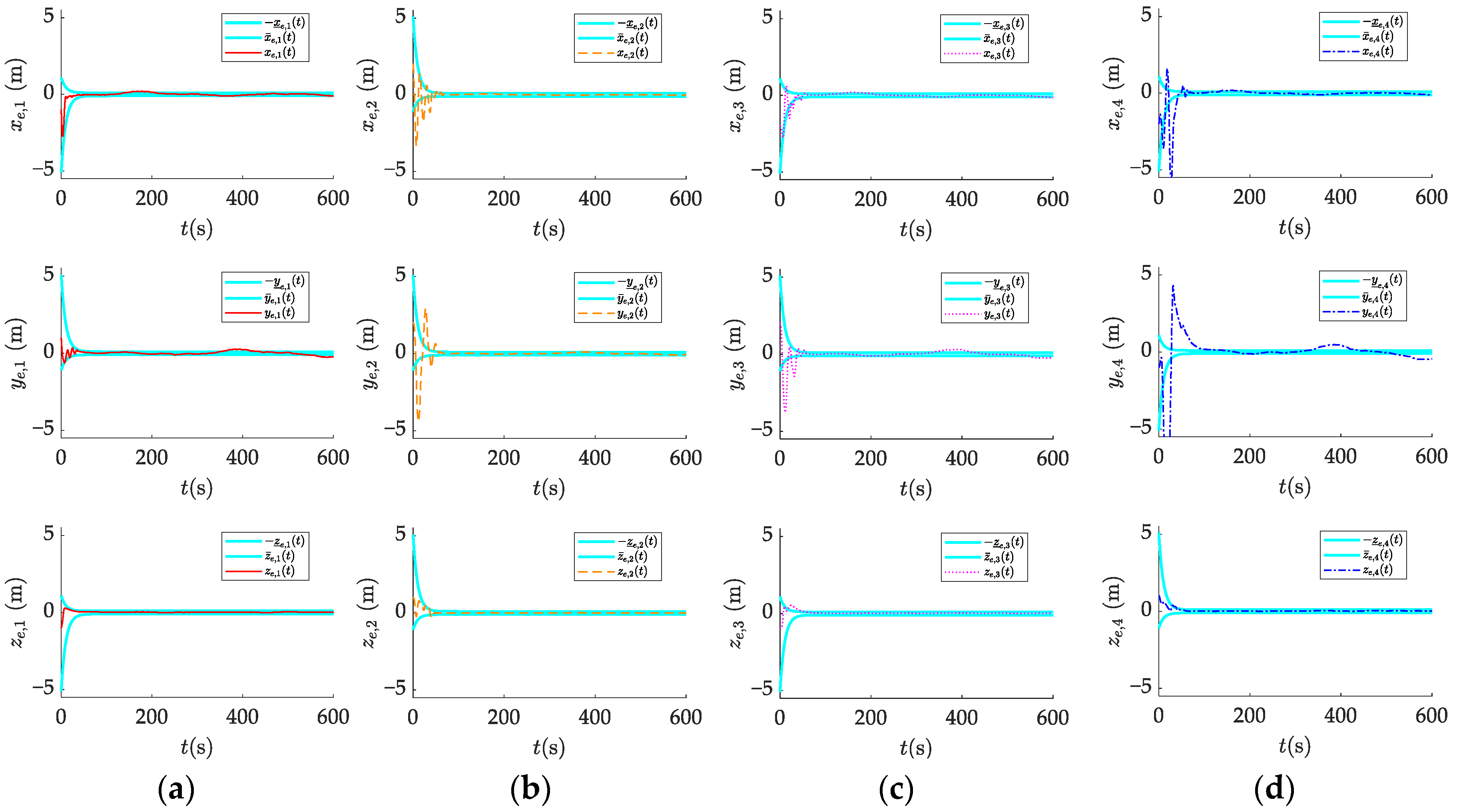
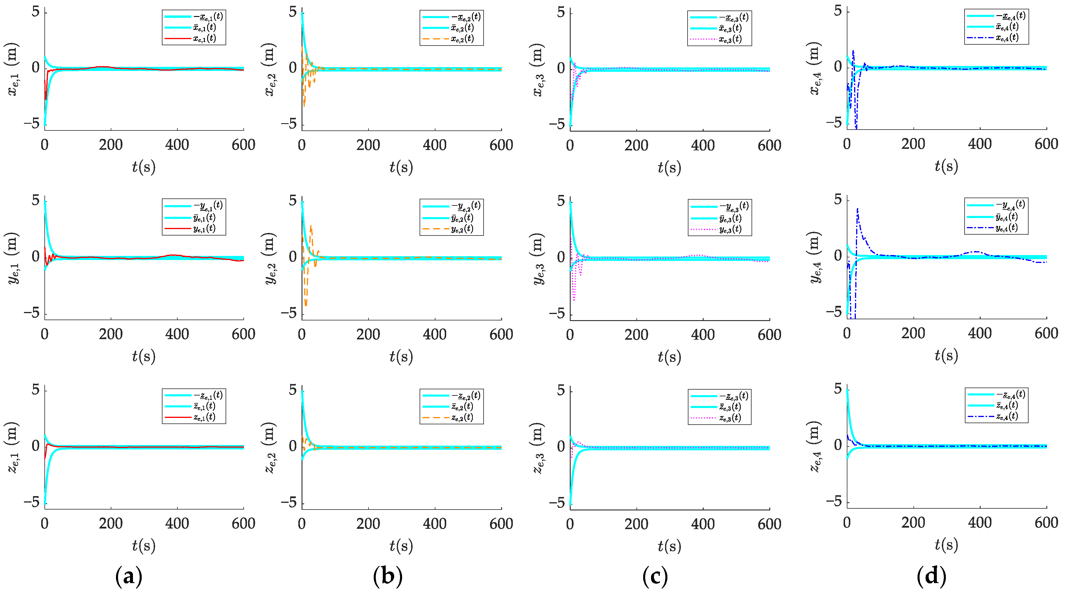
5. Simulation Results
6. Conclusions
Author Contributions
Funding
Institutional Review Board Statement
Informed Consent Statement
Data Availability Statement
Conflicts of Interest
References
- Xie, T.; Li, Y.; Jiang, Y.; Pang, S.; Wu, H. Turning Circle Based Trajectory Planning Method of an Underactuated AUV for the Mobile Docking Mission. Ocean Eng. 2021, 236, 109546. [Google Scholar] [CrossRef]
- Wang, C.; Cai, W.; Lu, J.; Ding, X.; Yang, J. Design, Modeling, Control, and Experiments for Multiple AUVs Formation. IEEE Trans. Autom. Sci. Eng. 2022, 19, 2776–2787. [Google Scholar] [CrossRef]
- Li, B.; Wen, G.; Peng, Z.; Huang, T.; Rahmani, A. Fully Distributed Consensus Tracking of Stochastic Nonlinear Multiagent Systems With Markovian Switching Topologies via Intermittent Control. IEEE Trans. Syst. Man Cybern. Syst. 2022, 52, 3200–3209. [Google Scholar] [CrossRef]
- Qiao, L.; Zhang, W. Trajectory Tracking Control of AUVs via Adaptive Fast Nonsingular Integral Terminal Sliding Mode Control. IEEE Trans. Ind. Inform. 2020, 16, 1248–1258. [Google Scholar] [CrossRef]
- Vu, M.T.; Le Thanh, H.N.N.; Huynh, T.-T.; Thang, Q.; Duc, T.; Hoang, Q.-D.; Le, T.-H. Station-Keeping Control of a Hovering Over-Actuated Autonomous Underwater Vehicle Under Ocean Current Effects and Model Uncertainties in Horizontal Plane. IEEE Access 2021, 9, 6855–6867. [Google Scholar] [CrossRef]
- Zhou, Z.; Liu, J.; Yu, J. A Survey of Underwater Multi-Robot Systems. IEEE/CAA J. Autom. Sin. 2022, 9, 1–18. [Google Scholar] [CrossRef]
- Liu, Y.; Liu, J.; He, Z.; Li, Z.; Zhang, Q.; Ding, Z. A Survey of Multi-Agent Systems on Distributed Formation Control. Unmanned Syst. 2023, 12, 913–926. [Google Scholar] [CrossRef]
- Li, D.; Du, L. AUV Trajectory Tracking Models and Control Strategies: A Review. J. Mar. Sci. Eng. 2021, 9, 1020. [Google Scholar] [CrossRef]
- Wang, J.; Dong, H.; Chen, F.; Vu, M.T.; Shakibjoo, A.D.; Mohammadzadeh, A. Formation Control of Non-Holonomic Mobile Robots: Predictive Data-Driven Fuzzy Compensator. Mathematics 2023, 11, 1804. [Google Scholar] [CrossRef]
- Yan, T.; Xu, Z.; Yang, S.X. Consensus Formation Tracking for Multiple AUV Systems Using Distributed Bioinspired Sliding Mode Control. IEEE Trans. Intell. Veh. 2023, 8, 1081–1092. [Google Scholar] [CrossRef]
- Chen, B.; Hu, J.; Zhao, Y.; Ghosh, B.K. Finite-Time Velocity-Free Rendezvous Control of Multiple AUV Systems With Intermittent Communication. IEEE Trans. Syst. Man Cybern. Syst. 2022, 52, 6618–6629. [Google Scholar] [CrossRef]
- Hadi, B.; Khosravi, A.; Sarhadi, P. A Review of the Path Planning and Formation Control for Multiple Autonomous Underwater Vehicles. J. Intell. Robot. Syst. 2021, 101, 67. [Google Scholar] [CrossRef]
- Yang, Y.; Xiao, Y.; Li, T. A Survey of Autonomous Underwater Vehicle Formation: Performance, Formation Control, and Communication Capability. IEEE Commun. Surv. Tutor. 2021, 23, 815–841. [Google Scholar] [CrossRef]
- Yan, Z.; Zhang, C.; Tian, W.; Zhang, M. Formation Trajectory Tracking Control of Discrete-Time Multi-AUV in a Weak Communication Environment. Ocean Eng. 2022, 245, 110495. [Google Scholar] [CrossRef]
- Li, J.; Zhang, H.; Chen, T.; Wang, J. AUV Formation Coordination Control Based on Transformed Topology under Time-Varying Delay and Communication Interruption. J. Mar. Sci. Eng. 2022, 10, 950. [Google Scholar] [CrossRef]
- Li, J.; Tian, Z.; Zhang, H. Discrete-Time AUV Formation Control with Leader-Following Consensus under Time-Varying Delays. Ocean Eng. 2023, 286, 115678. [Google Scholar] [CrossRef]
- Zhang, W. Leader-Following Consensus of Discrete-Time Multi-AUV Recovery System with Time-Varying Delay. Ocean Eng. 2021, 219, 108258. [Google Scholar] [CrossRef]
- Zeng, Z.; Yu, H.; Guo, C.; Yan, Z. Finite-Time Coordinated Formation Control of Discrete-Time Multi-AUV with Input Saturation under Alterable Weighted Topology and Time-Varying Delay. Ocean Eng. 2022, 266, 112881. [Google Scholar] [CrossRef]
- Yan, Z.; Yang, Z.; Pan, X.; Zhou, J.; Wu, D. Virtual Leader Based Path Tracking Control for Multi-UUV Considering Sampled-Data Delays and Packet Losses. Ocean Eng. 2020, 216, 108065. [Google Scholar] [CrossRef]
- Li, L.; Li, Y.; Zhang, Y.; Xu, G.; Zeng, J.; Feng, X. Formation Control of Multiple Autonomous Underwater Vehicles under Communication Delay, Packet Discreteness and Dropout. J. Mar. Sci. Eng. 2022, 10, 920. [Google Scholar] [CrossRef]
- Du, J.; Li, J.; Lewis, F.L. Distributed 3-D Time-Varying Formation Control of Underactuated AUVs With Communication Delays Based on Data-Driven State Predictor. IEEE Trans. Ind. Inform. 2023, 19, 6963–6971. [Google Scholar] [CrossRef]
- Bechlioulis, C.P.; Rovithakis, G.A. Robust Adaptive Control of Feedback Linearizable MIMO Nonlinear Systems With Prescribed Performance. IEEE Trans. Autom. Control 2008, 53, 2090–2099. [Google Scholar] [CrossRef]
- Liu, X.; Zhang, M.; Wang, S. Adaptive Region Tracking Control with Prescribed Transient Performance for Autonomous Underwater Vehicle with Thruster Fault. Ocean Eng. 2020, 196, 106804. [Google Scholar] [CrossRef]
- Sun, Y.; Liu, M.; Qin, H.; Wang, H.; Ding, Z. Full Prescribed Performance Trajectory Tracking Control Strategy of Autonomous Underwater Vehicle with Disturbance Observer. ISA Trans. 2024, 151, 117–130. [Google Scholar] [CrossRef]
- Huang, B.; Zhou, B.; Zhang, S.; Zhu, C. Adaptive Prescribed Performance Tracking Control for Underactuated Autonomous Underwater Vehicles with Input Quantization. Ocean Eng. 2021, 221, 108549. [Google Scholar] [CrossRef]
- Wei, C.; Chen, Q.; Liu, J.; Yin, Z.; Luo, J. An Overview of Prescribed Performance Control and Its Application to Spacecraft Attitude System. Proc. Inst. Mech. Eng. Part I J. Syst. Control Eng. 2021, 235, 435–447. [Google Scholar] [CrossRef]
- Li, Y.; He, J.; Shen, H.; Zhang, W.; Li, Y. Adaptive Practical Prescribed-Time Fault-Tolerant Control for Autonomous Underwater Vehicles Trajectory Tracking. Ocean Eng. 2023, 277, 114263. [Google Scholar] [CrossRef]
- Shojaei, K.; Arefi, M.M. On the Neuro-adaptive Feedback Linearising Control of Underactuated Autonomous Underwater Vehicles in Three-dimensional Space. IET Control Theory Appl. 2015, 9, 1264–1273. [Google Scholar] [CrossRef]
- Huang, B.; Zhu, C.; Xu, Y.; Zhu, G.; Su, Y. Energy Tradeoff-Oriented Quasi-Optimal Distributed Affine Formation Maneuver Control for Electric Marine Surface Vehicles. IEEE Trans. Transp. Electrif. 2024, 1. [Google Scholar] [CrossRef]
- Wang, Y.; Ji, H. Input-to-state Stability-based Adaptive Control for Spacecraft Fly-around with Input Saturation. IET Control Theory Appl. 2020, 14, 1365–1374. [Google Scholar] [CrossRef]
- Akaike, H. A New Look at the Statistical Model Identification. IEEE Trans. Autom. Control 1974, 19, 716–723. [Google Scholar] [CrossRef]
- Shibata, R. Selection of the Order of an Autoregressive Model by Akaike’s Information Criterion. Biometrika 1976, 63, 117–126. [Google Scholar] [CrossRef]
- Levant, A. Higher-Order Sliding Modes, Differentiation and Output-Feedback Control. Int. J. Control 2003, 76, 924–941. [Google Scholar] [CrossRef]
- Zhu, C. Approximation-Free Appointed-Time Tracking Control for Marine Surface Vessel with Actuator Faults and Input Saturation. Ocean Eng. 2022, 245, 110468. [Google Scholar] [CrossRef]












| Parameters | Value | Parameters | Value |
|---|---|---|---|
| 2.55 | |||
| Maximum thrust | Maximum Horizontal/Vertical Rudder Force |
| Parameters | Value | Parameters | Value |
|---|---|---|---|
| Parameters | Value |
|---|---|
| Parameters | Value |
|---|---|
| , else | |
| Parameters | ||||||
|---|---|---|---|---|---|---|
| The proposed protocol | 1237.49 | 1252.75 | 612.64 | 7.43 | 6 | 4 |
| Backstepping method | 2989 | 5646.97 | 1056.65 | 9.66 | 15.61 | 4 |
Disclaimer/Publisher’s Note: The statements, opinions and data contained in all publications are solely those of the individual author(s) and contributor(s) and not of MDPI and/or the editor(s). MDPI and/or the editor(s) disclaim responsibility for any injury to people or property resulting from any ideas, methods, instructions or products referred to in the content. |
© 2024 by the authors. Licensee MDPI, Basel, Switzerland. This article is an open access article distributed under the terms and conditions of the Creative Commons Attribution (CC BY) license (https://creativecommons.org/licenses/by/4.0/).
Share and Cite
Zhang, H.; Jiang, Y.; Gao, R.; Li, H.; Li, A. Prescribed Performance Formation Tracking Control for Underactuated AUVs under Time-Varying Communication Delays. J. Mar. Sci. Eng. 2024, 12, 1533. https://doi.org/10.3390/jmse12091533
Zhang H, Jiang Y, Gao R, Li H, Li A. Prescribed Performance Formation Tracking Control for Underactuated AUVs under Time-Varying Communication Delays. Journal of Marine Science and Engineering. 2024; 12(9):1533. https://doi.org/10.3390/jmse12091533
Chicago/Turabian StyleZhang, Haitian, Yanqing Jiang, Rui Gao, Hang Li, and Ao Li. 2024. "Prescribed Performance Formation Tracking Control for Underactuated AUVs under Time-Varying Communication Delays" Journal of Marine Science and Engineering 12, no. 9: 1533. https://doi.org/10.3390/jmse12091533
APA StyleZhang, H., Jiang, Y., Gao, R., Li, H., & Li, A. (2024). Prescribed Performance Formation Tracking Control for Underactuated AUVs under Time-Varying Communication Delays. Journal of Marine Science and Engineering, 12(9), 1533. https://doi.org/10.3390/jmse12091533
