The Suppression of Flow-Induced Vibrations for a Single and Two Tandem-Arrangement Cylinders Using Three Splitter Plates
Abstract
1. Introduction
1.1. Suppression for Single Cylinders
1.2. Suppression for Cylinders in a Tandem Arrangement
1.3. Present Method
2. Details of the Experimental Procedure
3. Experimental Method Validation
4. Results and Discussion
4.1. Dynamic Characteristics of Single Cylinders with Three Splitter Plates
4.1.1. Vibration Amplitude and Suppression Efficiency
4.1.2. Characteristics of Vortex Shedding
4.1.3. Characteristics of Oscillation Frequency
4.2. Dynamics Response of Two Elastically Mounted Cylinders in Tandem-Arrangement Attached with Three Splitter Plates
4.2.1. Vibration Amplitude Response and Suppression Efficiency
4.2.2. Characteristics of Vortex Shedding Frequency
5. Conclusions
- (1)
- The proposed method of even attachment with three splitter plates not only effectively suppresses the VIV for the single cylinder, but also successfully mitigates the VR and WIG for the two elastically mounted tandem-arrangement cylinders.
- (2)
- For the single cylinders, the three splitter plates exhibit an excellent suppression of VIV. Even at L/D = 0.1, although the model still shows a VIV response, the suppression efficiency is remarkably as high as 81.7%. This enhances the applicability of this method in practical engineering applications. With increasing the L/D, the vibrations of the cylinders become extremely suppressed, consistently exceeding suppression efficiencies of 95% and obtaining an optimal efficiency of 98.4% at L/D = 0.2.
- (3)
- For the two elastically mounted tandem-arrangement cylinders at S/D = 4.0, the suppression efficiencies of the upstream cylinder with the three splitter plates attached reach 79.3% and generally exceed 96% for L/Ds = 0.2–0.8, with an optimal efficiency of 97.4% at L/D = 0.6. The downstream cylinders also show a significant reduction in vibration amplitudes. At L/Ds = 0.1, 0.2, and 0.4, the downstream cylinder exhibits only a VR response, resulting in suppression efficiencies of 80.3%, 67.1%, and 91.0%. For L/Ds = 0.6–0.8, the downstream cylinder remains suppressed throughout the entire reduced velocity range, with the suppression efficiencies exceeding 96%, reaching an optimal efficiency of 98.7% at L/D = 0.6.
- (4)
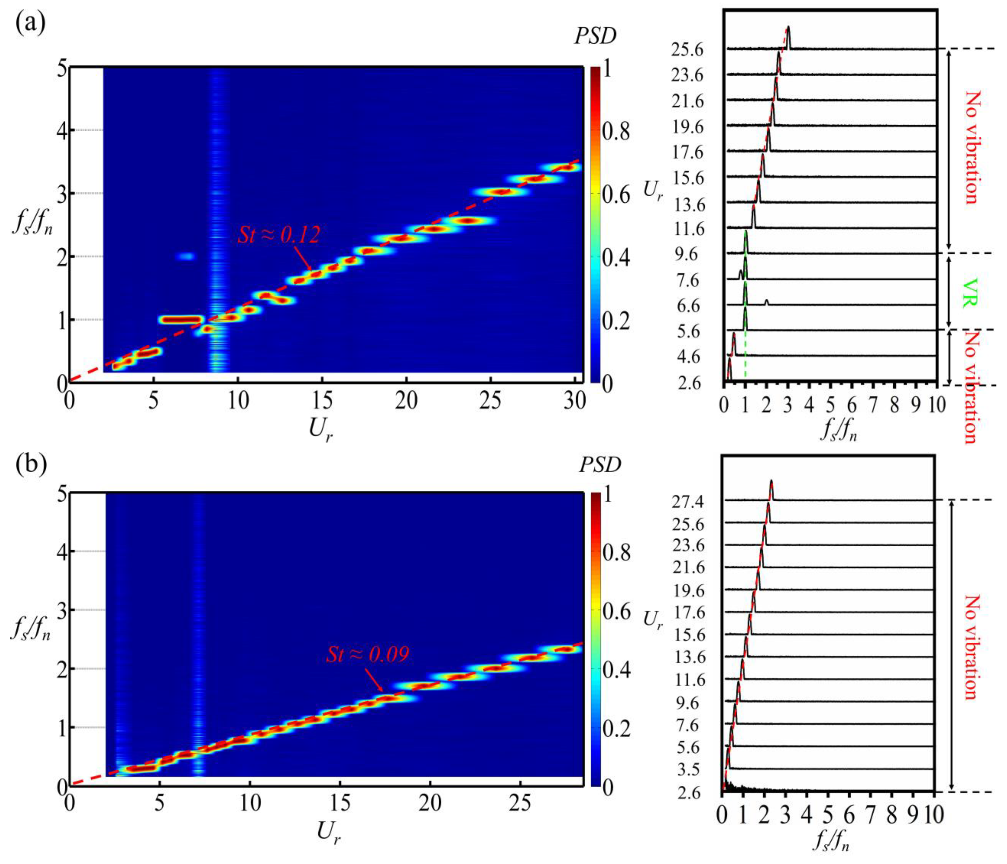
- Three regimes of fs/fn characteristics can be classified for the single cylinder: (I) the VIV vortex shedding pattern; (II) suppressed vortex shedding pattern I, where fs increases evidently with an St line in the whole examined region of Ur; and (III) suppressed vortex shedding pattern II, where nearly no predominant frequencies can be detected. The wake structures show that the shear layers develop along the front plate before attaching onto the cylinder and are then offset to either side of the cylinder by the two rear splitter plates, which contributes to the absence of periodic vortex shedding. However, the change in fs/fn versus Ur for the suppressed downstream cylinders in the tandem arrangement is far less than those of the single cylinders, meaning that the fs may be restrained away from the fn of the cylinders by the splitter plates of the upstream and downstream cylinders themselves.
Author Contributions
Funding
Institutional Review Board Statement
Informed Consent Statement
Data Availability Statement
Conflicts of Interest
References
- Blevins, R.D. Flow-Induced Vibration, 2nd ed.; Van Nostrand, Reinhold: New York, NY, USA, 1990. [Google Scholar]
- Sarpkaya, T. A critical review of the intrinsic nature of vortex-induced vibrations. J. Fluids Struct. 2004, 19, 389–447. [Google Scholar] [CrossRef]
- Williamson, C.H.K.; Govardhan, R. Vortex-induced vibrations. Annu. Rev. Fluid Mech. 2004, 36, 413–455. [Google Scholar] [CrossRef]
- Wang, J.S.; Fan, D.X.; Lin, K. A review on flow-induced vibration of offshore circular cylinders. J. Hydrodyn. 2020, 32, 415–440. [Google Scholar] [CrossRef]
- Assi, G.R.S.; Bearman, P.W.; Meneghini, J.R. On the wake-induced vibration of tandem circular cylinders: The vortex interaction excitation mechanism. J. Fluid Mech. 2010, 661, 365–401. [Google Scholar] [CrossRef]
- Lin, K.; Wang, J.S.; Fan, D.X.; Triantafyllou, M.S. Flow-induced cross-flow vibrations of long flexible cylinder with an upstream wake interference. Phys. Fluids 2021, 33, 065104. [Google Scholar] [CrossRef]
- Bokaian, A.; Geoola, F. Wake-induced galloping of two interfering circular cylinders. J. Fluid Mech. 1984, 146, 383–415. [Google Scholar] [CrossRef]
- Hu, Z.M.; Wang, J.S.; Sun, Y.K. Flow-induced vibration of one-fixed-one-free tandem arrangement cylinders with different mass-damping ratio using wind tunnel experiment. J. Fluids Struct. 2020, 96, 103019. [Google Scholar] [CrossRef]
- Zou, X.; Xie, B.T.; Zang, Z.P.; Chen, E.B.; Hou, J. Vortex-induced vibration and fatigue damage assessment for a submarine pipeline on a sand wave seabed. J. Mar. Sci. Eng. 2023, 11, 2031. [Google Scholar] [CrossRef]
- Zhang, C.W. The active rotary inertia driver system for flutter vibration control of bridges and various promising applications. Sci. China Technol. Sci. 2023, 66, 390–405. [Google Scholar] [CrossRef]
- Song, J.X.; Du, J.J.; Yao, Y. Applying LQR to control cross vortex-induced vibration of cylinders based on wake oscillators. Ocean Eng. 2023, 286, 115631. [Google Scholar] [CrossRef]
- Zhang, S.; Liu, L.; Zhang, X.M.; Zhou, Y.K.; Yang, Q. Active vibration control for ship pipeline system based on PI-LQR state feedback. Ocean Eng. 2024, 310, 118559. [Google Scholar] [CrossRef]
- Hu, Z.Y.; Chen, J.Q.; Qu, S.; Wang, X.K. Numerical investigation of vortex-induced vibration of a circular cylinder with control rods and its multi-objective optimization. J. Mar. Sci. Eng. 2022, 10, 1659. [Google Scholar] [CrossRef]
- Xu, H.Y.; Wang, J.; Li, Z.Q.; Liu, K.H.; Yu, J.W.; Zhou, B. A study on the vortex induced vibration of a cylindrical structure with surface bulges. J. Mar. Sci. Eng. 2022, 10, 1785. [Google Scholar] [CrossRef]
- Zhao, H.W.; Lee, Y.W. Visualization and parametric study on vortex shedding suppression of cylindrical structures in offshore engineering using large eddy simulation. J. Mar. Sci. Eng. 2023, 11, 1090. [Google Scholar] [CrossRef]
- Zdravkovich, M.M. Review and classification of various aerodynamic and hydrodynamic means for suppressing vortex shedding. J. Wind Eng. Ind. Aerod. 1981, 7, 45–189. [Google Scholar] [CrossRef]
- Roshko, A. On the Development of Turbulent Wakes from Vortex Sheets; National Advisory Committee for Aeronautics: Washington, DC, USA, 1954; pp. 1–26. [Google Scholar]
- Apelt, C.J.; West, G.S.; Szewczyk, A.A. Effects of wake splitter plates on flow past a circular cylinder in range 104 < Re < 5 × 104. J. Fluid Mech. 1973, 61, 187–198. [Google Scholar]
- Adachi, T.; Cho, T.; Matsuuchi, K.; Kawai, T.; Maeda, H. The effect of a wake splitter plate on the flow around a circular cylinder. Trans. Jpn. Soc. Mech. 1990, 56, 2225–2232. [Google Scholar] [CrossRef]
- Gu, F.; Wang, J.S.; Qiao, X.Q.; Huang, Z. Pressure distribution, fluctuating forces and vortex shedding behavior of circular cylinder with rotatable splitter plates. J. Fluids Struct. 2012, 28, 263–278. [Google Scholar] [CrossRef]
- Bao, Y.; Tao, J. The passive control of wake flow behind a circular cylinder by parallel dual plates. J. Fluids Struct. 2013, 37, 201–219. [Google Scholar] [CrossRef]
- Stappenbelt, B. Splitter-plate wake stabilization and low aspect ratio cylinder flow-induced vibration mitigation. Int. J. Offshore Polar Eng. 2010, 20, 1053–5381. [Google Scholar]
- Assi, G.R.S.; Bearman, P.W.; Tognarelli, M.A. On the stability of a free-to-rotate short-tail fairing and a splitter plate as suppressors of vortex-induced vibration. Ocean Eng. 2014, 92, 234–244. [Google Scholar] [CrossRef]
- Liang, S.P.; Wang, J.S.; Hu, Z.M. VIV and galloping response of a circular cylinder with rigid detached splitter plates. Ocean Eng. 2018, 162, 176–186. [Google Scholar] [CrossRef]
- Sahu, T.R.; Furquan, M.; Jaiswal, Y.; Mittal, S. Flow-induced vibration of a circular cylinder with rigid splitter plate. J. Fluids Struct. 2019, 89, 244–256. [Google Scholar] [CrossRef]
- Zhu, H.J.; Li, G.M.; Wang, J.L. Flow-induced vibration of a circular cylinder with splitter plates placed upstream and downstream individually and simultaneously. Appl. Ocean Res. 2020, 97, 102084. [Google Scholar] [CrossRef]
- Sun, Y.K.; Wang, J.S.; Fan, D.X.; Zheng, H.X.; Hu, Z.M. The roles of rigid splitter plates in flow-induced vibration of a circular cylinder. Phys. Fluids 2022, 34, 114114. [Google Scholar] [CrossRef]
- Assi, G.R.S.; Bearman, P.W.; Kitney, N. Low drag solutions for suppressing vortex-induced vibration of circular cylinders. J. Fluids Struct. 2009, 25, 666–675. [Google Scholar] [CrossRef]
- Sun, Y.K.; Wang, J.S.; Hu, Z.M.; Zheng, H.X. Oscillation control and drag reduction for a low mass ratio cylinder with double splitter plates. Ocean Eng. 2022, 263, 112361. [Google Scholar] [CrossRef]
- Hu, Z.M.; Wang, J.S.; Sun, Y.K.; Zheng, H.X. Flow-induced vibration suppression for a single cylinder and one-fixed-one-free tandem cylinders with double tail splitter plates. J. Fluids Struct. 2021, 106, 103373. [Google Scholar] [CrossRef]
- Guan, G.; He, K.M.; Wang, P.P.; Xu, H.Y.; Liang, G.P.; Wang, Y.L.; Yang, Q. Study on the parameters of detached dual splitter plates and comparison with single plate for VIV suppression. Ocean Eng. 2023, 284, 115183. [Google Scholar] [CrossRef]
- Zhao, M. A review of recent studies on the control of vortex-induced vibration of circular cylinders. Ocean Eng. 2023, 285, 115389. [Google Scholar] [CrossRef]
- Korkischko, I.; Meneghini, J.R. Experimental investigation of flow-induced vibrationon isolated and tandem circular cylinders fitted with strakes. J. Fluids Struct. 2010, 26, 611–625. [Google Scholar] [CrossRef]
- Assi, G.R.S.; Bearman, P.W.; Kitney, N.; Tognarelli, M.A. Suppression of wake-induced vibration of tandem cylinders with free-to-rotate control plates. J. Fluids Struct. 2010, 26, 1045–1057. [Google Scholar] [CrossRef]
- Xu, W.; Yu, Y.; Wang, E.; Zhou, L. Flow-induced vibration (FIV) suppression of two tandem long flexible cylinders attached with helical strakes. Ocean Eng. 2018, 169, 49–69. [Google Scholar] [CrossRef]
- Sukarnoor, N.l.M.; Quen, L.K.; Abu, A.; Kuwano, N.; Hooi-Siang, K.; Desa, S.M. The effectiveness of helical strakes insuppressing vortex-induced vibration of tandem circular cylinders. Ain Shams Eng. J. 2022, 13, 101502. [Google Scholar] [CrossRef]
- Yasser, A.; Iman, Z. Effects of attached flexible splitter plates on flow-induced vibration of two tandem circular cylinders: Two-degree of freedoms study. Ocean Eng. 2024, 296, 116762. [Google Scholar]
- Liang, S.P.; Wang, J.S.; Xu, B.H.; Wu, W.B.; Lin, K. Vortex-induced vibration and structure instability for a circuar cylinder with fexible splitter plates. J. Wind Eng. Ind. Aerodyn. 2018, 174, 200–209. [Google Scholar] [CrossRef]
- Feng, C.C. The Measurement of Vortex Induced Effects in Flow Past Stationary and Oscillating Circular and D-Section Cylinders. Master’s Thesis, Department of Mechanical Engineering, The University of British Columbia, Vancouver, BC, Canada, 1968. [Google Scholar]
- Hu, Z.M.; Wang, J.S.; Sun, Y.K. Cross-flow vibrations of two identical elastically mounted cylinders in tandem arrangement using wind tunnel experiment. Ocean Eng. 2020, 209, 10750. [Google Scholar] [CrossRef]












| Symbol | The Meaning of the Symbol |
|---|---|
| y | Vibration displacement |
| S | Center-to-center spacing between two cylinders |
| S/D | Spacing ration between the two cylinders |
| L | Length of the splitter plate |
| L/D | Splitter plates’ length ratio |
| U | Free stream velocity |
| A | Vibration amplitude |
| fn | Natural frequency |
| fo | Oscillation frequency |
| fs | Vortex shedding frequency |
| ζ | Damping ratio |
| ν | Kinematic viscosity of the fluid |
| Re | Reynolds number (Re = UD/ν) |
| Ur | Reduced velocity (Ur = U/fn D) |
| St | Strouhal number (St = fsD/U) |
| m* | Mass ratio (m* = 4m/(πρD2l)) |
| m*ζ | Mass–damping ratio |
| Models | L/D | m (g) | m* | Natural Frequency fn (Hz) |
|---|---|---|---|---|
| Plain cylinder | 0 | 449.1 | 359.8 | 9.05 |
| Cylinders with three splitter plates attached | 0.1 | 449.9 | 360.5 | 9.03 |
| 0.2 | 451.0 | 361.3 | 9.00 | |
| 0.4 | 450.0 | 360.5 | 9.03 | |
| 0.6 | 450.8 | 361.2 | 9.00 | |
| 0.8 | 450.9 | 361.3 | 9.00 |
Disclaimer/Publisher’s Note: The statements, opinions and data contained in all publications are solely those of the individual author(s) and contributor(s) and not of MDPI and/or the editor(s). MDPI and/or the editor(s) disclaim responsibility for any injury to people or property resulting from any ideas, methods, instructions or products referred to in the content. |
© 2024 by the authors. Licensee MDPI, Basel, Switzerland. This article is an open access article distributed under the terms and conditions of the Creative Commons Attribution (CC BY) license (https://creativecommons.org/licenses/by/4.0/).
Share and Cite
Hu, Z.; Wang, J.; Sun, Y.; Lin, K. The Suppression of Flow-Induced Vibrations for a Single and Two Tandem-Arrangement Cylinders Using Three Splitter Plates. J. Mar. Sci. Eng. 2024, 12, 1487. https://doi.org/10.3390/jmse12091487
Hu Z, Wang J, Sun Y, Lin K. The Suppression of Flow-Induced Vibrations for a Single and Two Tandem-Arrangement Cylinders Using Three Splitter Plates. Journal of Marine Science and Engineering. 2024; 12(9):1487. https://doi.org/10.3390/jmse12091487
Chicago/Turabian StyleHu, Zhongming, Jiasong Wang, Yuankun Sun, and Ke Lin. 2024. "The Suppression of Flow-Induced Vibrations for a Single and Two Tandem-Arrangement Cylinders Using Three Splitter Plates" Journal of Marine Science and Engineering 12, no. 9: 1487. https://doi.org/10.3390/jmse12091487
APA StyleHu, Z., Wang, J., Sun, Y., & Lin, K. (2024). The Suppression of Flow-Induced Vibrations for a Single and Two Tandem-Arrangement Cylinders Using Three Splitter Plates. Journal of Marine Science and Engineering, 12(9), 1487. https://doi.org/10.3390/jmse12091487

