Metagenomic Profiling of Bacterial Communities and Functional Genes in Penaeus monodon
Abstract
1. Introduction
2. Materials and Methods
2.1. Sample Collection
2.2. DNA Extraction
2.3. Metagenomic Sequencing
2.4. Data Processing
2.5. Species and Functional Annotations
3. Results
3.1. Statistics
3.2. Species-Level Analysis
3.2.1. Community Composition Analysis
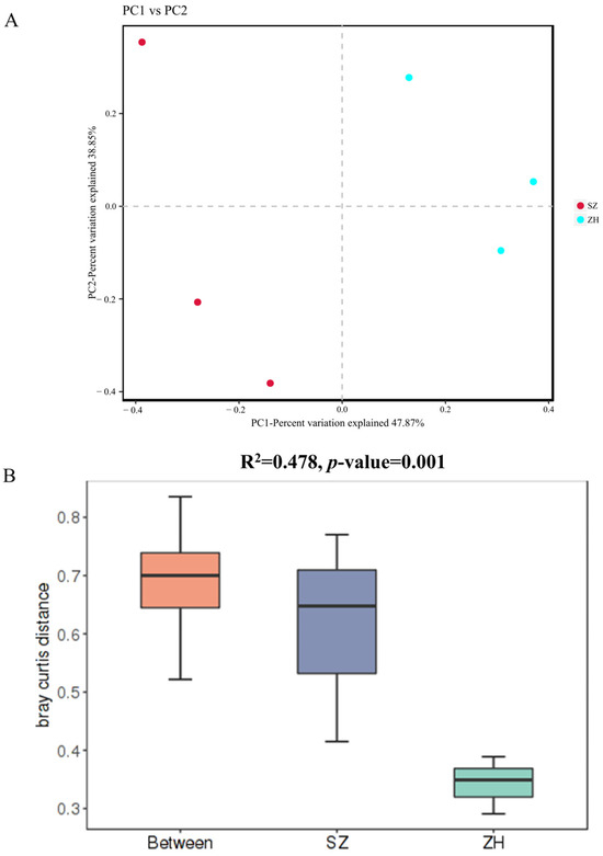
3.2.2. Beta Diversity
3.3. Functional Level Analysis
3.3.1. Genes Prediction
3.3.2. Construction of Non-Redundant Genes Set
3.3.3. Kegg Function Annotation
3.3.4. eggNOG Database Annotation
3.3.5. CAZy Carbohydrate-Active Enzymes Annotation
3.3.6. Pfam Database Annotation
4. Discussion
4.1. Species-Level Analysis
4.2. Analysis of Gut Microbiota Composition Based on Functional Abundance
4.2.1. KEGG Database Annotation Analysis
4.2.2. eggNOG Database Annotation Analysis
4.2.3. CAZy Database Annotation Analysis
4.2.4. Pfam Database Annotation Analysis
4.2.5. Scientific Significance and Practical Value
5. Conclusions
Author Contributions
Funding
Institutional Review Board Statement
Informed Consent Statement
Data Availability Statement
Conflicts of Interest
References
- Yundong, L. Molecular Cloning of Growth Trait-Related Genes in Penaeus Monodon and Screening and Verification of Their SNPs Makers. Master’s Thesis, Shanghai Ocean University, Shanghai, China, 2017. [Google Scholar]
- Ahearn, G.A. Nutrient Transport by the Invertebrate Gut. In Advances in Comparative and Environmental Physiology; Springer: Berlin/Heidelberg, Germany, 1988; Volume 2, pp. 91–129. ISBN 978-3-642-73377-2. [Google Scholar]
- Turnbaugh, P.J.; Ley, R.E.; Mahowald, M.A.; Magrini, V.; Mardis, E.R.; Gordon, J.I. An Obesity-Associated Gut Microbiome with Increased Capacity for Energy Harvest. Nature 2006, 444, 1027–1031. [Google Scholar] [CrossRef] [PubMed]
- Kamada, N.; Kim, Y.-G.; Sham, H.P.; Vallance, B.A.; Puente, J.L.; Martens, E.C.; Núñez, G. Regulated Virulence Controls the Ability of a Pathogen to Compete with the Gut Microbiota. Science 2012, 336, 1325–1329. [Google Scholar]
- Osbelt, L.; Thiemann, S.; Smit, N.; Lesker, T.R.; Schröter, M.; Gálvez, E.J.C.; Schmidt-Hohagen, K.; Pils, M.C.; Mühlen, S.; Dersch, P.; et al. Variations in Microbiota Composition of Laboratory Mice Influence Citrobacter Rodentium Infection via Variable Short-Chain Fatty Acid Production. PLoS Pathog. 2020, 16, e1008448. [Google Scholar]
- Pan, L.; Fang, H.; Zhang, S.; Wang, X.; Jia, Y.; Hu, F.; Gao, F.; Guo, W. Changes in Digestive Enzyme Activities during the Larval, Juvenile, and Early Juvenile Stages of Large Yellow Croaker (Larimichthys crocea). Adv. Fish. Sci. 2013, 34, 54–60. [Google Scholar]
- Sun, X.; Gao, Y.; Yang, Y. Recent Advances in Metagenomics Research of Environmental Microbes. Biodivers. Sci. 2013, 21, 393–401. [Google Scholar]
- Shi, X.; Zhang, Z.; Wang, Y.; Yu, Y.; Deng, W.; Li, H. Analysis of Bacterial Community Characteristics of Culturable Bacteria in the Digestive Tract of Larval and Juvenile Turbot (Scophthalmus maximus). Adv. Fish. Sci. 2015, 36, 73–82. [Google Scholar]
- Fan, Y.; Wang, Y.; Ji, G.; Xu, L.; Wang, S.; Hu, F.; Diao, J.; Jiang, J.; Ye, H. Revealing the Intestinal Microbial Characteristics of Large Yellow Croaker (Larimichthys crocea) Based on Metagenomic Sequencing Technology. Acta Microbiol. Sin. 2023, 63, 357–375. [Google Scholar]
- Cicala, F.; Lago-Lestón, A.; Gomez-Gil, B.; Gollas-Galván, T.; Chong-Robles, J.; Cortés-Jacinto, E.; Martínez-Porchas, M. Gut Microbiota Shifts in the Giant Tiger Shrimp, Penaeus Monodon, during the Postlarvae, Juvenile, and Adult Stages. Aquacult. Int. 2020, 28, 1421–1433. [Google Scholar] [CrossRef]
- Wang, H. Population Molecular Diversity Analysis of Intestinal Bacterial Communities in Eight Marine Economic Animals. Master’s Thesis, Graduate University of Chinese Academy of Sciences (Institute of Oceanology), Qingdao, China, 2010. [Google Scholar]
- Qiang, Z. Metagenomic Analysis of Intestinal Microbiota in Three Indigenous Fish Species from the Kizil River in Xinjiang. Master’s Thesis, Tarim University, Xinjiang, China, 2024. [Google Scholar]
- Li, D.; Liu, C.-M.; Luo, R.; Sadakane, K.; Lam, T.-W. MEGAHIT: An Ultra-Fast Single-Node Solution for Large and Complex Metagenomics Assembly via Succinct de Bruijn Graph. Bioinformatics 2015, 31, 1674–1676. [Google Scholar] [CrossRef] [PubMed]
- Gurevich, A.; Saveliev, V.; Vyahhi, N.; Tesler, G. QUAST: Quality Assessment Tool for Genome Assemblies. Bioinformatics 2013, 29, 1072–1075. [Google Scholar]
- Zhu, W.; Lomsadze, A.; Borodovsky, M. Ab Initio Gene Identification in Metagenomic Sequences. Nucleic Acids Res. 2010, 38, 132. [Google Scholar] [CrossRef]
- Steinegger, M.; Söding, J. MMseqs2 enables sensitive protein sequence searching for the analysis of massive data sets. Nat. Biotechnol. 2017, 35, 1026–1028. [Google Scholar] [CrossRef]
- Vaughan, E.E.; Schut, F.; Heilig, H.; Zoetendal, E.G.; de Vos, W.M.; Akkermans, A.D. A molecular view of the intestinal ecosystem. Curr. Issues Intest. Microbiol. 2000, 1, 1–12. [Google Scholar] [PubMed]
- Li, X.; Zhou, L.; Yu, Y.; Ni, J.; Xu, W.; Yan, Q. Composition of Gut Microbiota in the Gibel Carp (Carassius Auratus Gibelio) Varies with Host Development. Microb. Ecol. 2017, 74, 239–249. [Google Scholar] [CrossRef] [PubMed]
- Amann, R.I.; Ludwig, W.; Schleifer, K.H. Phylogenetic Identification and in Situ Detection of Individual Microbial Cells without Cultivation. Microbiol. Rev. 1995, 59, 143–169. [Google Scholar] [CrossRef]
- Li, Z.; He, L.; Wu, J.; Chen, J. Analysis of Dominant Bacterial Composition in Shrimp by PCR-DGGE Gene Fingerprinting. Microbiol. Bull. 2005, 82–86. [Google Scholar]
- Wen, C.; He, Y.; Xue, M.; Liang, H.; Dong, J. High-Throughput Sequencing Analysis of Deviations in Intestinal Microbiota Structure Caused by DNA Extraction in Shrimp. Acta Microbiol. Sin. 2016, 56, 130–142. [Google Scholar]
- Zhou, Z.; Peng, S.; Bo, X.; Li, F. Analysis Methods for Microbial Detection Data Based on High-Throughput Sequencing Technology. Prog. Biochem. Biophys. 2017, 44, 58–69. [Google Scholar]
- Huang, Z.; Li, X.; Wang, L.; Shao, Z. Changes in the Intestinal Bacterial Community during the Growth of White Shrimp, Litopenaeus Vannamei. Aquac. Res. 2016, 47, 1737–1746. [Google Scholar] [CrossRef]
- Gainza, O.; Ramírez, C.; Ramos, A.S.; Romero, J. Intestinal Microbiota of White Shrimp Penaeus Vannamei Under Intensive Cultivation Conditions in Ecuador. Microb. Ecol. 2018, 75, 562–568. [Google Scholar] [CrossRef]
- Wang, X.; Li, L.; Wang, Y.; Gai, C.; Ye, H.; Liu, H.; Fan, Y.; Guo, P.; Mu, C.; Ma, X. Study on Intestinal Tissue Structure, Microbial Characteristics, and Metabolic Activity of Litopenaeus vannamei in South Africa. J. Guangxi Acad. Sci. 2019, 35, 325–331. [Google Scholar]
- Fan, L.; Li, Q.X. Characteristics of Intestinal Microbiota in the Pacific White Shrimp Litopenaeus Vannamei Differing Growth Performances in the Marine Cultured Environment. Aquaculture 2019, 505, 450–461. [Google Scholar] [CrossRef]
- Wang, F.-I.; Chen, J.-C. Effect of Salinity on the Immune Response of Tiger Shrimp Penaeus Monodon and Its Susceptibility to Photobacterium Damselae Subsp. Damselae. Fish Shellfish Immunol. 2006, 20, 671–681. [Google Scholar] [CrossRef] [PubMed]
- Prayitno, S.B.; Latchford, J.W. Experimental Infections of Crustaceans with Luminous Bacteria Related to Photobacterium and Vibrio. Effect of Salinity and pH on Infectiosity. Aquaculture 1995, 132, 105–112. [Google Scholar] [CrossRef]
- Wang, F.-I.; Chen, J.-C. The Immune Response of Tiger Shrimp Penaeus Monodon and Its Susceptibility to Photobacterium Damselae Subsp. Damselae under Temperature Stress. Aquaculture 2006, 258, 34–41. [Google Scholar] [CrossRef]
- Manilal, A.; Sujith, S.; Selvin, J.; Shakir, C.; Gandhimathi, R.; Kiran, G.S. Virulence of Vibrios Isolated from Diseased Black Tiger Shrimp, Penaeus Monodon, Fabricius. J. World Aquac. Soc. 2010, 41, 332–343. [Google Scholar] [CrossRef]
- Kumar, S.; Shyne Anand, P.S.; De, D.; Sundaray, J.K.; Ananda Raja, R.; Biswas, G.; Ponniah, A.G.; Ghoshal, T.K.; Deo, A.D.; Panigrahi, A.; et al. Effects of Carbohydrate Supplementation on Water Quality, Microbial Dynamics and Growth Performance of Giant Tiger Prawn (Penaeus monodon). Aquacult. Int. 2014, 22, 901–912. [Google Scholar] [CrossRef]
- Gaudinier, A.; Rodriguez-Medina, J.; Zhang, L.; Olson, A.; Liseron-Monfils, C.; Bågman, A.-M.; Foret, J.; Abbitt, S.; Tang, M.; Li, B.; et al. Transcriptional Regulation of Nitrogen-Associated Metabolism and Growth. Nature 2018, 563, 259–264. [Google Scholar] [CrossRef]
- Zhang, X.; Pan, L.; Wei, C.; Tong, R.; Li, Y.; Ding, M.; Wang, H. Crustacean Hyperglycemic Hormone (CHH) Regulates the Ammonia Excretion and Metabolism in White Shrimp, Litopenaeus Vannamei under Ammonia-N Stress. Sci. Total Environ. 2020, 723, 138128. [Google Scholar] [CrossRef] [PubMed]
- Zhang, Y.J.; Wang, C.; Liu, C.Q.; Wang, X.J.; Wang, J.G. Effects of Ammonium Nitrogen and Nitrite Nitrogen on Phenoloxidase Activity and Hemocyanin Content of Japanese Swamp Shrimp. Fish. Sci. 2010, 29, 31–34. [Google Scholar]
- Biswas, P.; Pal, A.K.; Sahu, N.P.; Reddy, A.K.; Prusty, A.K.; Misra, S. Lysine and/or Phytase Supplementation in the Diet of Penaeus Monodon (Fabricius) Juveniles: Effect on Growth, Body Composition and Lipid Profile. Aquaculture 2007, 265, 253–260. [Google Scholar] [CrossRef]
- Stauffer, M.E.; Chazin, W.J. Structural Mechanisms of DNA Replication, Repair, and Recombination*. J. Biol. Chem. 2004, 279, 30915–30918. [Google Scholar] [CrossRef] [PubMed]
- Marians, K.J. Replication and Recombination Intersect. Curr. Opin. Genet. Dev. 2000, 10, 151–156. [Google Scholar] [CrossRef] [PubMed]
- Cantarel, B.L.; Coutinho, P.M.; Rancurel, C.; Bernard, T.; Lombard, V.; Henrissat, B. The Carbohydrate-Active EnZymes Database (CAZy): An Expert Resource for Glycogenomics. Nucleic Acids Res. 2009, 37, D233–D238. [Google Scholar] [CrossRef] [PubMed]
- Shoseyov, O.; Shani, Z.; Levy, I. Carbohydrate Binding Modules: Biochemical Properties and Novel Applications. Microbiol. Mol. Biol. Rev. 2006, 70, 283–295. [Google Scholar] [CrossRef]
- Leipe, D.D.; Koonin, E.V.; Aravind, L. STAND, a Class of P-Loop NTPases Including Animal and Plant Regulators of Programmed Cell Death: Multiple, Complex Domain Architectures, Unusual Phyletic Patterns, and Evolution by Horizontal Gene Transfer. J. Mol. Biol. 2004, 343, 1–28. [Google Scholar] [CrossRef] [PubMed]
- Marttinen, E.M.; Decker, E.L.; Heinonen, P.; Reski, R.; Valkonen, J.P.T. Putative NAD(P)-Binding Rossmann Fold Protein Is Involved in Chitosan-Induced Peroxidase Activity and Lipoxygenase Expression in Physcomitrium Patens. Mol. Plant-Microbe Interact. 2023, 36, 682–692. [Google Scholar] [CrossRef]
- Lovelace, A.H. ROS, Moss, and a Rossmann Fold Protein: Identification of a Key Signaling Component for Plant Immunity. Mol. Plant-Microbe Interact. 2023, 36, 675–676. [Google Scholar] [CrossRef]






| Samples | Clean Data Base (bp) | Number of Reads | GC (%) | ≥Q20 (%) |
|---|---|---|---|---|
| SZ1 | 12,620,082,756 | 19,019,083 | 39.57 | 98.48 |
| SZ2 | 20,778,893,486 | 63,925,983 | 44.63 | 98.97 |
| SZ3 | 18,358,186,992 | 60,297,886 | 43.75 | 98.94 |
| ZH1 | 19,302,573,370 | 61,799,557 | 36.03 | 99.26 |
| ZH2 | 14,778,510,542 | 33,389,695 | 37.43 | 98.86 |
| ZH3 | 19,819,879,072 | 63,647,616 | 39.12 | 99.0 |
| Samples | Kingdom | Phylum | Class | Order | Family | Genus | Species |
|---|---|---|---|---|---|---|---|
| SZ1 | 6 | 83 | 103 | 216 | 460 | 1337 | 4186 |
| SZ2 | 7 | 170 | 151 | 320 | 731 | 3003 | 19,798 |
| SZ3 | 6 | 161 | 142 | 304 | 690 | 2674 | 13,848 |
| ZH1 | 5 | 78 | 91 | 180 | 346 | 889 | 2823 |
| ZH2 | 5 | 66 | 96 | 190 | 378 | 817 | 2010 |
| ZH3 | 6 | 112 | 124 | 265 | 561 | 1743 | 6270 |
| Total | 7 | 176 | 158 | 331 | 749 | 3095 | 21,597 |
| Sample ID | Gene Number | Total Length (bp) | Average (bp) | Max Length (bp) | Min Length (bp) |
|---|---|---|---|---|---|
| SZ1 | 347,214 | 99,836,934 | 287.0 | 13,491 | 102 |
| SZ2 | 832,574 | 508,767,852 | 611.0 | 24,186 | 102 |
| SZ3 | 313,039 | 194,545,122 | 621.0 | 13,491 | 102 |
| ZH1 | 37,635 | 25,640,667 | 681.0 | 21,687 | 102 |
| ZH2 | 235,625 | 63,989,850 | 271.0 | 11,010 | 102 |
| ZH3 | 102,771 | 65,502,831 | 637.0 | 14,070 | 102 |
| Clan Accession | Clan ID | Clan Description |
|---|---|---|
| CL0023.34 | P-loop NTPase | P-loop containing nucleoside triphosphate hydrolase superfamily |
| CL0063.25 | NADP Rossmann | FAD/NAD(P)-binding Rossmann fold superfamily |
| CL0123.18 | HTH | Helix-turn-helix clan |
| CL0036.24 | TIM barrel | Common phosphate binding-site TIM barrel superfamily |
| CL0177.16 | PBP | Periplasmic binding protein clan |
| CL0219.14 | RNase H | Ribonuclease H-like superfamily |
| CL0039.12 | HUP | HUP–HIGH-signature proteins, UspA, and PP-ATPase. |
| CL0061.13 | PLP aminotran | PLP dependent aminotransferase superfamily |
| CL0276.8 | Nucleot cyclase | Nucleotide cyclase superfamily |
| CL0172.17 | Thioredoxin | Thioredoxin-like |
Disclaimer/Publisher’s Note: The statements, opinions and data contained in all publications are solely those of the individual author(s) and contributor(s) and not of MDPI and/or the editor(s). MDPI and/or the editor(s) disclaim responsibility for any injury to people or property resulting from any ideas, methods, instructions or products referred to in the content. |
© 2024 by the authors. Licensee MDPI, Basel, Switzerland. This article is an open access article distributed under the terms and conditions of the Creative Commons Attribution (CC BY) license (https://creativecommons.org/licenses/by/4.0/).
Share and Cite
Chen, J.; Li, Y.; Jiang, S.; Yang, Q.; Huang, J.; Yang, L.; Shi, J.; Lu, Z.; Zhang, Y.; Jiang, S.; et al. Metagenomic Profiling of Bacterial Communities and Functional Genes in Penaeus monodon. J. Mar. Sci. Eng. 2024, 12, 1481. https://doi.org/10.3390/jmse12091481
Chen J, Li Y, Jiang S, Yang Q, Huang J, Yang L, Shi J, Lu Z, Zhang Y, Jiang S, et al. Metagenomic Profiling of Bacterial Communities and Functional Genes in Penaeus monodon. Journal of Marine Science and Engineering. 2024; 12(9):1481. https://doi.org/10.3390/jmse12091481
Chicago/Turabian StyleChen, Juan, Yundong Li, Song Jiang, Qibin Yang, Jianhua Huang, Lishi Yang, Jianzhi Shi, Zhibin Lu, Yan Zhang, Shigui Jiang, and et al. 2024. "Metagenomic Profiling of Bacterial Communities and Functional Genes in Penaeus monodon" Journal of Marine Science and Engineering 12, no. 9: 1481. https://doi.org/10.3390/jmse12091481
APA StyleChen, J., Li, Y., Jiang, S., Yang, Q., Huang, J., Yang, L., Shi, J., Lu, Z., Zhang, Y., Jiang, S., & Zhou, F. (2024). Metagenomic Profiling of Bacterial Communities and Functional Genes in Penaeus monodon. Journal of Marine Science and Engineering, 12(9), 1481. https://doi.org/10.3390/jmse12091481

