Numerical Study of Hydrodynamic Characteristics of a Three-Dimensional Oscillating Water Column Wave-Power Device
Abstract
1. Introduction
2. Materials and Methods
3. Theory and Validation
3.1. Governing Equations
3.2. Model Validation
4. Results
4.1. Effect of Wave Period on Forces in an OWC Device
4.2. Effect of Water Depth on Forces in an OWC Device
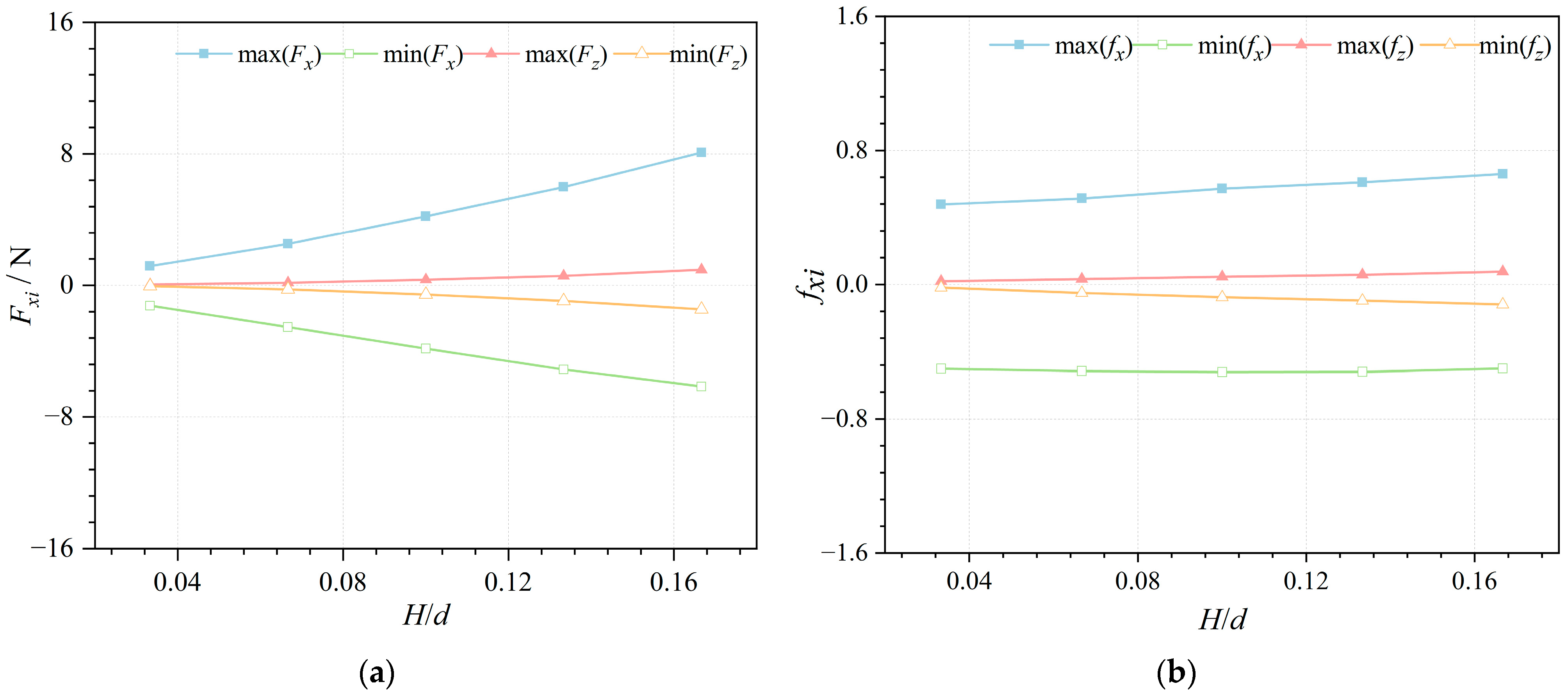
4.3. Effect of Wave Height on Forces in an OWC Device
4.4. Dynamic Water Pressure at the Front Wall of the OWC Device
5. Conclusions
- (1)
- The horizontal wave force was significantly greater than the lateral and vertical wave forces, which may be related to the forward incidence of the wave.
- (2)
- The horizontal and vertical wave forces on the device did not change significantly with the relative water depth. This suggests that the force on the submerged section of the device affected the force of the device.
- (3)
- The horizontal wave force changed linearly as the wave height increased, whereas the vertical wave force increased with the square of the wave height. Consequently, when designing installations in the face of large wave heights in the marine environment, special attention must be paid to the influence of the vertical wave force in order to ensure the stability and safety of the structure.
- (4)
- The maximum value of the dynamic water pressure on both sides of the front wall of the device occurred at the junction of the water surface and the device. The dynamic water pressure at each point of the front wall inside the gas chamber appeared to increase and then decrease with increasing wave frequency, which was very similar to the energy-conversion efficiency of the device. Therefore, the design of the device should consider more about the strength of the device along with its maximum energy-conversion efficiency. At the same time, more attention needs to be paid to the strength of the water surface junction.
- (1)
- Extend the studies on the effects of different incidence angles to fully understand the force characteristics of OWC devices.
- (2)
- Utilize the existing studies as a theoretical foundation to gain a deeper understanding of the dynamic response of OWC devices under different sea states.
- (3)
- Based on the existing studies, explore the force law of a 3D floating OWC device under variable sea states and then improve its stability and energy-conversion efficiency.
Author Contributions
Funding
Data Availability Statement
Conflicts of Interest
References
- Ashlin, S.J.; Sundar, V.; Sannasiraj, S.A. Effects of bottom profile of an oscillating water column device on its hydrodynamic characteristics. Renew. Energy 2016, 96, 341–353. [Google Scholar] [CrossRef]
- Bayoumi, S.; Incecik, A.; El-Gamal, H. Dynamic modelling of Spar-Buoy oscillating water column wave energy converter. Ships Offshore Struct. 2015, 10, 601–608. [Google Scholar] [CrossRef]
- Evans, D.V. The Oscillating Water Column Wave-energy Device. IMA J. Appl. Math. 1978, 22, 423–433. [Google Scholar] [CrossRef]
- Martins-rivas, H.; Mei, C.C. Wave power extraction from an oscillating water column along a straight coast. Ocean Eng. 2009, 36, 426–433. [Google Scholar] [CrossRef]
- Nader, J.-R.; Zhu, S.-P.; Cooper, P.; Stappenbelt, B. A finite-element study of the efficiency of arrays of oscillating water column wave energy converters. Ocean Eng. 2012, 43, 72–81. [Google Scholar] [CrossRef]
- Dimakopoulos, A.S.; Cooker, M.J.; Bruce, T. The influence of scale on the air flow and pressure in the modelling of Oscillating Water Column Wave Energy Converters. Int. J. Mar. Energy 2017, 19, 272–291. [Google Scholar] [CrossRef]
- Xu, C.; Huang, Z.; Deng, Z. Experimental and theoretical study of a cylindrical oscillating water column device with a quadratic power take-off model. Appl. Ocean Res. 2016, 57, 19–29. [Google Scholar] [CrossRef]
- Hu, H.; Deng, Z.; Yao, Y.; Zhao, X. Theoretical and numerical studies of off-shore oscillating water column wave energy device. J. Zhejiang Univ.-Sci. A (Appl. Phys. Eng.) 2019, 53, 325–335. [Google Scholar] [CrossRef]
- Ashlin, S.J.; Sannasiraj, S.A.; Sundar, V. Wave Forces on an Oscillating Water Column Device. Procedia Eng. 2015, 116, 1019–1026. [Google Scholar] [CrossRef]
- Jakobsen, M.M.; Beatty, S.; Iglesias, G.; Kramer, M.M. Characterization of loads on a hemispherical point absorber wave energy converter. Int. J. Mar. Energy 2016, 13, 1–15. [Google Scholar] [CrossRef]
- Elhanafi, A. Prediction of regular wave loads on a fixed offshore oscillating water column-wave energy converter using CFD. J. Ocean Eng. Sci. 2016, 1, 268–283. [Google Scholar] [CrossRef]
- Wang, R.-Q.; Ning, D.-Z. Dynamic analysis of wave action on an OWC wave energy converter under the influence of viscosity. Renew. Energy 2020, 150, 578–588. [Google Scholar] [CrossRef]
- Ning, D.-Z.; Wang, R.-Q.; Gou, Y.; Zhao, M.; Teng, B. Numerical and experimental investigation of wave dynamics on a land-fixed OWC device. Energy 2016, 115, 326–337. [Google Scholar] [CrossRef]
- Deng, Z.; Huang, Z.; Law, A.W.K. Wave power extraction by an axisymmetric oscillating-water-column converter supported by a coaxial tube-sector-shaped structure. Appl. Ocean Res. 2013, 42, 114–123. [Google Scholar] [CrossRef]
- Zhou, Y.; Zhang, C.; Ning, D. Hydrodynamic Investigation of a Concentric Cylindrical OWC Wave Energy Converter. Energies 2018, 11, 985. [Google Scholar] [CrossRef]
- Huang, Z.; Huang, S.; Xu, C. Characteristics of the flow around a circular OWC-type wave energy converter supported by a bottom-sitting C-shaped structure. Appl. Ocean Res. 2020, 101, 102228. [Google Scholar] [CrossRef]
- Xu, C.; Huang, Z. A dual-functional wave-power plant for wave-energy extraction and shore protection: A wave-flume study. Appl. Energy 2018, 229, 963–976. [Google Scholar] [CrossRef]
- He, F.; Huang, Z. Hydrodynamic performance of pile-supported OWC-type structures as breakwaters: An experimental study. Ocean Eng. 2014, 88, 618–626. [Google Scholar] [CrossRef]
- He, F.; Li, M.; Huang, Z. An Experimental Study of Pile-Supported OWC-Type Breakwaters: Energy Extraction and Vortex-Induced Energy Loss. Energies 2016, 9, 540. [Google Scholar] [CrossRef]
- Zhou, Y.; Ning, D.; Liang, D.; Cai, S. Nonlinear hydrodynamic analysis of an offshore oscillating water column wave energy converter. Renew. Sustain. Energy Rev. 2021, 145, 111086. [Google Scholar] [CrossRef]
- Zhou, Y.; Ning, D.; Shi, W.; Johanning, L.; Liang, D. Hydrodynamic investigation on an OWC wave energy converter integrated into an offshore wind turbine monopile. Coast. Eng. 2020, 162, 103731. [Google Scholar] [CrossRef]
- Chen, J.; Wen, H.; Wang, Y.; Ren, B. Experimental investigation of an annular sector OWC device incorporated into a dual cylindrical caisson breakwater. Energy 2020, 211, 118681. [Google Scholar] [CrossRef]
- Wan, C.; Yang, C.; Fang, Q.; You, Z.; Geng, J.; Wang, Y. Hydrodynamic Investigation of a Dual-Cylindrical OWC Wave Energy Converter Integrated into a Fixed Caisson Breakwater. Energies 2020, 13, 896. [Google Scholar] [CrossRef]
- Xu, C.; Huang, Z. Three-dimensional CFD simulation of a circular OWC with a nonlinear power-takeoff: Model validation and a discussion on resonant sloshing inside the pneumatic chamber. Ocean Eng. 2019, 176, 184–198. [Google Scholar] [CrossRef]
- Deng, Z.; Huang, Z.; Law, A.W.K. Wave power extraction from a bottom-mounted oscillating water column converter with a V-shaped channel. Proc. R. Soc. A Math. Phys. Eng. Sci. 2014, 470, 20140074. [Google Scholar] [CrossRef]
- Falco, A.F.O.; Sarmento, A.J.N.A.; Gato, L.M.C.; Brito-Melo, A. The Pico OWC wave power plant: Its lifetime from conception to closure 1986–2018. Appl. Ocean Res. 2020, 98, 102104. [Google Scholar] [CrossRef]
- Pawitan, K.A.; Vicinanza, D.; Allsop, W.; Bruce, T. Front Wall and In-Chamber Impact Loads on a Breakwater-Integrated Oscillating Water Column. J. Waterw. Port Coast. Ocean. Eng. 2020, 146, 16. [Google Scholar] [CrossRef]
- Gaidai, O.; Xu, X.; Wang, J.; Ye, R.; Cheng, Y.; Karpa, O. SEM-REV offshore energy site wind-wave bivariate statistics by hindcast. Renew. Energy 2020, 156, 689–695. [Google Scholar] [CrossRef]
- Li, Y.; Zhao, X.; Zou, Q.; Geng, J. Hydrodynamic performance of dual-chamber Oscillating Water Column array under oblique waves. Phys. Fluids 2022, 34, 117112. [Google Scholar] [CrossRef]
- Ning, D.-Z.; Mu, D.; Wang, R.-Q.; Mayon, R. Experimental and numerical investigations on the solitary wave actions on a land-fixed OWC wave energy converter. Energy 2023, 282, 128363. [Google Scholar] [CrossRef]
- Huang, Z.; Xu, C.; Huang, S. A CFD simulation of wave loads on a pile-type oscillating-water-column device. J. Hydrodyn. 2019, 31, 41–49. [Google Scholar] [CrossRef]
- Jacobsen, N.G.; Fuhrman, D.R.; Fredsøe, J. A wave generation toolbox for the open-source CFD library: OpenFoam®. Int. J. Numer. Methods Fluids 2012, 70, 1073–1088. [Google Scholar] [CrossRef]
- Hirt, C.W.; Nichols, B.D. Volume of fluid (VOF) method for the dynamics of free boundaries. J. Comput. Phys. 1981, 39, 201–225. [Google Scholar] [CrossRef]
- Rafiee, A.; Dutykh, D.; Dias, F. Numerical Simulation of Wave Impact on a Rigid Wall Using a Two–phase Compressible SPH Method. Procedia IUTAM 2015, 18, 123–137. [Google Scholar] [CrossRef]
- Khakimzyanov, G.; Dutykh, D. Numerical modelling of surface water wave interaction with a moving wall. Commun. Comput. Phys. 2017, 23, 1289–1354. [Google Scholar] [CrossRef]
- Khakimzyanov, G.; Dutykh, D. Long Wave Interaction with a Partially Immersed Body. Part I: Mathematical Models. Commun. Comput. Phys. 2020, 27, 321–378. [Google Scholar] [CrossRef]
















Disclaimer/Publisher’s Note: The statements, opinions and data contained in all publications are solely those of the individual author(s) and contributor(s) and not of MDPI and/or the editor(s). MDPI and/or the editor(s) disclaim responsibility for any injury to people or property resulting from any ideas, methods, instructions or products referred to in the content. |
© 2024 by the authors. Licensee MDPI, Basel, Switzerland. This article is an open access article distributed under the terms and conditions of the Creative Commons Attribution (CC BY) license (https://creativecommons.org/licenses/by/4.0/).
Share and Cite
Zhu, J.-L.; Tang, P.; Zhang, H.-S.; Zheng, P.-B. Numerical Study of Hydrodynamic Characteristics of a Three-Dimensional Oscillating Water Column Wave-Power Device. J. Mar. Sci. Eng. 2024, 12, 1161. https://doi.org/10.3390/jmse12071161
Zhu J-L, Tang P, Zhang H-S, Zheng P-B. Numerical Study of Hydrodynamic Characteristics of a Three-Dimensional Oscillating Water Column Wave-Power Device. Journal of Marine Science and Engineering. 2024; 12(7):1161. https://doi.org/10.3390/jmse12071161
Chicago/Turabian StyleZhu, Jun-Lin, Peng Tang, Hong-Sheng Zhang, and Peng-Bo Zheng. 2024. "Numerical Study of Hydrodynamic Characteristics of a Three-Dimensional Oscillating Water Column Wave-Power Device" Journal of Marine Science and Engineering 12, no. 7: 1161. https://doi.org/10.3390/jmse12071161
APA StyleZhu, J.-L., Tang, P., Zhang, H.-S., & Zheng, P.-B. (2024). Numerical Study of Hydrodynamic Characteristics of a Three-Dimensional Oscillating Water Column Wave-Power Device. Journal of Marine Science and Engineering, 12(7), 1161. https://doi.org/10.3390/jmse12071161

