Adaptive Distributed Heterogeneous Formation Control for UAV-USVs with Input Quantization
Abstract
1. Introduction
2. Problem Formulation
3. Controller Design
3.1. Kinematic Controller Design
3.2. Dynamic Controller Design
3.3. Altitude Controller Design of UAV
4. Stability Analysis
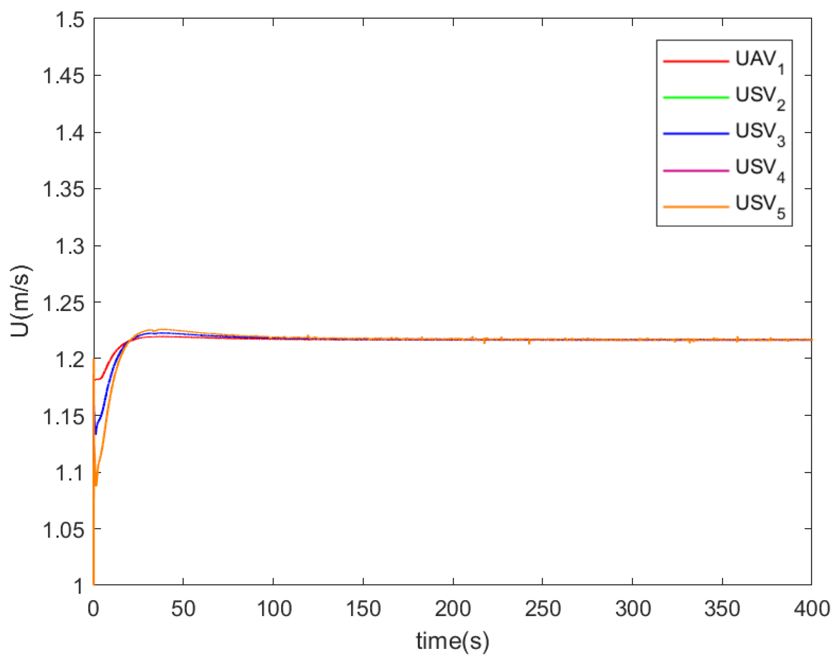
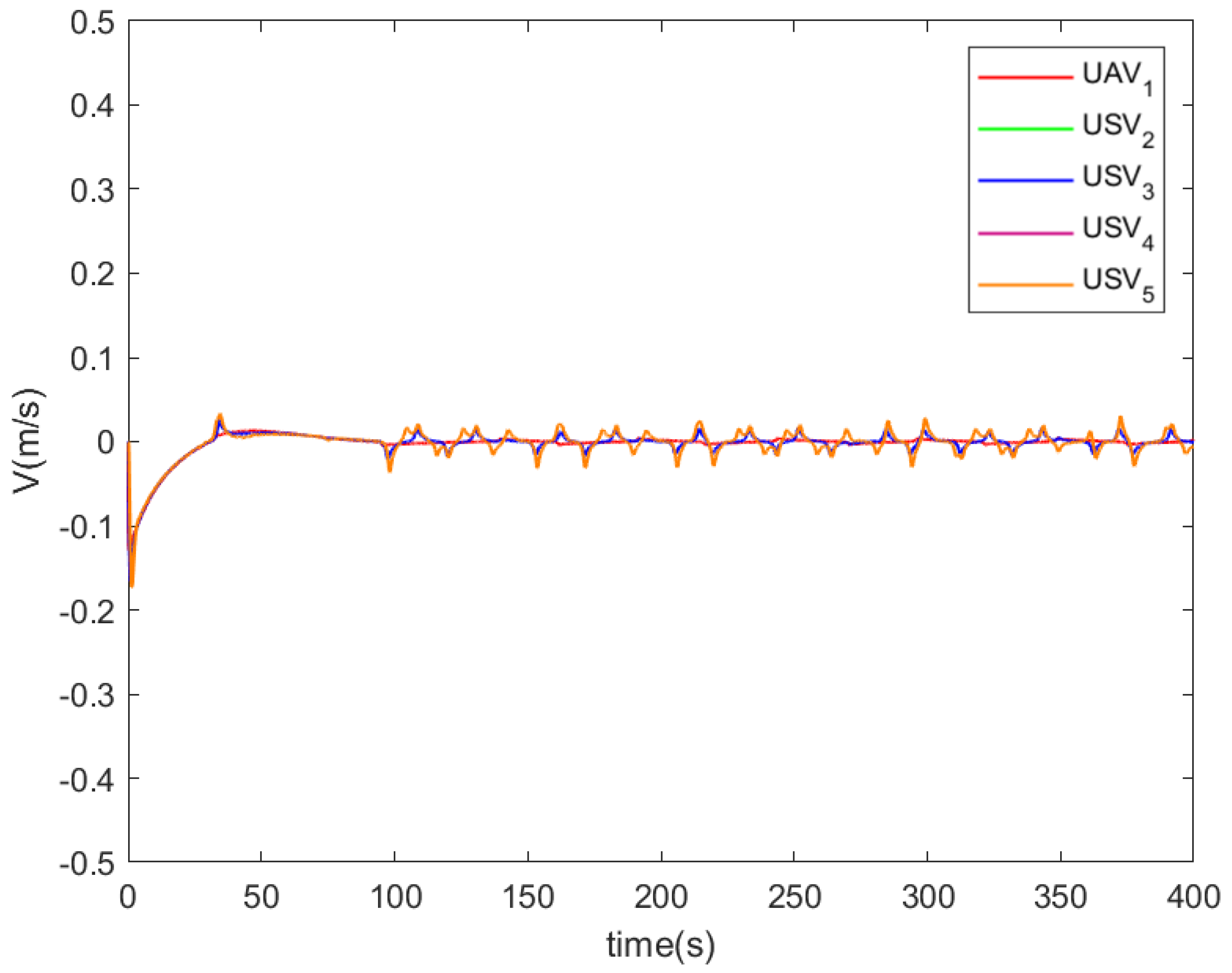
5. Illustrative Examples
6. Conclusions
Author Contributions
Funding
Institutional Review Board Statement
Informed Consent Statement
Data Availability Statement
Conflicts of Interest
References
- Yang, Z.; Li, S.; Yu, D.; Chen, C.P. BLS-based formation control for nonlinear multi-agent systems with actuator fault and input saturation. Nonlinear Dyn. 2022, 109, 2657–2673. [Google Scholar] [CrossRef]
- Ma, L.; Wang, Y.L.; Fei, M.R.; Pan, Q.K. Cross-dimensional formation control of second-order heterogeneous multi-agent systems. ISA Trans. 2022, 127, 188–196. [Google Scholar] [CrossRef] [PubMed]
- Ennong, T.; Ye, L.; Teng, M.; Yulei, L.; Yueming, L.; Jian, C. Design and experiment of a sea-air heterogeneous unmanned collaborative system for rapid inspection tasks at sea. Appl. Ocean Res. 2024, 143, 103856. [Google Scholar] [CrossRef]
- Hou, H.Q.; Liu, Y.J.; Liu, L.; Lan, J. Adaptive fuzzy formation control for heterogeneous multi-agent systems using time-varying IBLFs. Nonlinear Dyn. 2023, 111, 16077–16091. [Google Scholar] [CrossRef]
- Mazare, M.; Asharioun, H.; Davoudi, E.; Mokhtari, M. Distributed finite-time neural network observer-based consensus tracking control of heterogeneous underwater vehicles. Ocean Eng. 2023, 272, 113882. [Google Scholar] [CrossRef]
- Ren, H.; Ma, H.; Li, H.; Wang, Z. Adaptive Fixed-Time Control of Nonlinear MASs With Actuator Faults. IEEE/CAA J. Autom. Sin. 2023, 10, 1252–1262. [Google Scholar] [CrossRef]
- Liu, Z.; Nojavanzadeh, D.; Saberi, A.; Stoorvogel, A.A. Scale-Free Collaborative Protocol Design for Output Synchronization of Heterogeneous Multi-Agent Systems With Nonuniform Communication Delays. IEEE Trans. Netw. Sci. Eng. 2022, 9, 2882–2894. [Google Scholar] [CrossRef]
- Ren, H.; Cheng, Z.; Qin, J.; Lu, R. Deception attacks on event-triggered distributed consensus estimation for nonlinear systems. Automatica 2023, 154, 111100. [Google Scholar] [CrossRef]
- Khoshnevisan, L.; Liu, X. Resilient neural network-based control of nonlinear heterogeneous multi-agent systems: A cyber-physical system approach. Nonlinear Dyn. 2023, 111, 19171–19185. [Google Scholar] [CrossRef]
- Sun, F.; Wu, X.; Kurths, J.; Zhu, W. Group consensus of heterogeneous multi-agent systems with packet loss and unknown speed of second-order agents in cooperative–competitive networks. Nonlinear Dyn. 2022, 110, 3447–3461. [Google Scholar] [CrossRef]
- Liu, Y.; Wang, J.; Shi, Y.; He, Z.; Liu, F.; Kong, W.; He, Y. Unmanned airboat technology and applications in environment and agriculture. Comput. Electron. Agric. 2022, 197, 106920. [Google Scholar] [CrossRef]
- Cui, Y.; Peng, L.; Li, H. Filtered probabilistic model predictive control-based reinforcement learning for unmanned surface vehicles. IEEE Trans. Ind. Inform. 2022, 18, 6950–6961. [Google Scholar] [CrossRef]
- Ning, J.; Ma, Y.; Liu, L.; Li, T. Fuzzy course tracking control of an unmanned surface vehicle with event-triggered mechanism and input quantization. Ocean Eng. 2023, 288, 115704. [Google Scholar] [CrossRef]
- Mazare, M. Distributed adaptive fault tolerant formation control for multiple underwater vehicles: Free-will arbitrary time approach. Ocean Eng. 2023, 286, 115601. [Google Scholar] [CrossRef]
- Huang, Y.; Li, W.; Ning, J.; Li, Z. Formation Control for UAV-USVs Heterogeneous System with Collision Avoidance Performance. J. Mar. Sci. Eng. 2023, 11, 2332. [Google Scholar] [CrossRef]
- Huang, C.; Zhang, X.; Zhang, G.; Deng, Y. Robust practical fixed-time leader–follower formation control for underactuated autonomous surface vessels using event-triggered mechanism. Ocean Eng. 2021, 233, 109026. [Google Scholar] [CrossRef]
- Li, J.; Zhang, G.; Li, B. Robust adaptive neural cooperative control for the USV-UAV based on the LVS-LVA guidance principle. J. Mar. Sci. Eng. 2022, 10, 51. [Google Scholar] [CrossRef]
- Tan, G.; Zhuang, J.; Zou, J.; Wan, L. Coordination control for multiple unmanned surface vehicles using hybrid behavior-based method. Ocean Eng. 2021, 232, 109147. [Google Scholar] [CrossRef]
- Huang, D.; Li, H.; Li, X. Formation of Generic UAVs-USVs System Under Distributed Model Predictive Control Scheme. IEEE Trans. Circuits Syst. II Express Briefs 2020, 67, 3123–3127. [Google Scholar] [CrossRef]
- Xue, K.; Wu, T. Distributed consensus of USVs under heterogeneous UAV-USV multi-agent systems cooperative control scheme. J. Mar. Sci. Eng. 2021, 9, 1314. [Google Scholar] [CrossRef]
- Liu, H.; Weng, P.; Tian, X.; Mai, Q. Distributed adaptive fixed-time formation control for UAV-USV heterogeneous multi-agent systems. Ocean Eng. 2023, 267, 113240. [Google Scholar] [CrossRef]
- Li, S.; Wang, X.; Wang, S.; Zhang, Y. Distributed Bearing-Only Formation Control for UAV-UWSV Heterogeneous System. Drones 2023, 7, 124. [Google Scholar] [CrossRef]
- Liu, S.; Jiang, B.; Mao, Z.; Ma, Y. Adaptive Fault-Tolerant Formation Control of Heterogeneous Multi-Agent Systems under Directed Communication Topology. Sensors 2022, 22, 6212. [Google Scholar] [CrossRef] [PubMed]
- Li, H.; Li, X. Distributed consensus of heterogeneous linear time-varying systems on UAVs–USVs coordination. IEEE Trans. Circuits Syst. II Express Briefs 2019, 67, 1264–1268. [Google Scholar] [CrossRef]
- Hao, L.Y.; Yang, G.H. Robust fault tolerant control based on sliding mode method for uncertain linear systems with quantization. ISA Trans. 2013, 52, 600–610. [Google Scholar] [CrossRef] [PubMed]
- Hao, L.Y.; Zhang, H.; Li, H.; Li, T.S. Sliding mode fault-tolerant control for unmanned marine vehicles with signal quantization and time-delay. Ocean Eng. 2020, 215, 107882. [Google Scholar] [CrossRef]
- Hao, L.Y.; Zhang, H.; Guo, G.; Li, H. Quantized sliding mode control of unmanned marine vehicles: Various thruster faults tolerated with a unified model. IEEE Trans. Syst. Man Cybern. Syst. 2019, 51, 2012–2026. [Google Scholar] [CrossRef]
- Hayakawa, T.; Ishii, H.; Tsumura, K. Adaptive quantized control for linear uncertain discrete-time systems. Automatica 2009, 45, 692–700. [Google Scholar] [CrossRef]
- Wang, C.; Wen, C.; Lin, Y.; Wang, W. Decentralized adaptive tracking control for a class of interconnected nonlinear systems with input quantization. Automatica 2017, 81, 359–368. [Google Scholar] [CrossRef]
- Xiong, S.; Wu, Q.; Wang, Y. Distributed Coordination of Heterogeneous Multi-agent Systems with Dynamic Quantization and L 2- L Control. Int. J. Control Autom. Syst. 2020, 18, 2468–2481. [Google Scholar] [CrossRef]
- Zheng, B.C.; Yang, G.H. Quantized output feedback stabilization of uncertain systems with input nonlinearities via sliding mode control. Int. J. Robust Nonlinear Control 2014, 24, 228–246. [Google Scholar] [CrossRef]
- Choi, Y.H.; Yoo, S.J. Distributed quantized feedback design strategy for adaptive consensus tracking of uncertain strict-feedback nonlinear multiagent systems with state quantizers. IEEE Trans. Cybern. 2021, 52, 7069–7083. [Google Scholar] [CrossRef] [PubMed]
- Fang, X.; Zhou, J.; Wen, G. Location game of multiple unmanned surface vessels with quantized communications. IEEE Trans. Circuits Syst. II Express Briefs 2021, 69, 1322–1326. [Google Scholar] [CrossRef]
- Salam, A.; Javaid, Q.; Ahmad, M.; Wahid, I.; Arafat, M.Y. Cluster-Based Data Aggregation in Flying Sensor Networks Enabled Internet of Things. Future Internet 2023, 15, 279. [Google Scholar] [CrossRef]
- Liu, H.; Meng, Q.; Peng, F.; Lewis, F.L. Heterogeneous formation control of multiple UAVs with limited-input leader via reinforcement learning. Neurocomputing 2020, 412, 63–71. [Google Scholar] [CrossRef]
- Alam, M.M.; Arafat, M.Y.; Moh, S.; Shen, J. Topology control algorithms in multi-unmanned aerial vehicle networks: An extensive survey. J. Netw. Comput. Appl. 2022, 207, 103495. [Google Scholar] [CrossRef]
- Cheng, W.; Zhang, K.; Jiang, B.; Simani, S. Neural Network Observer-Based Prescribed-Time Fault-Tolerant Tracking Control for Heterogeneous Multiagent Systems With a Leader of Unknown Disturbances. IEEE Trans. Aerosp. Electron. Syst. 2023, 59, 9042–9053. [Google Scholar] [CrossRef]
- Lv, C.; Chen, J.; Yu, H.; Chi, J.; Yang, Z. Adaptive NN state error PCH trajectory tracking control for unmanned surface vessel with uncertainties and input saturation. Asian J. Control 2023, 25, 3903–3919. [Google Scholar] [CrossRef]
- Huang, T.; Chen, Z.; Gao, W.; Xue, Z.; Liu, Y. A USV-UAV Cooperative Trajectory Planning Algorithm with Hull Dynamic Constraints. Sensors 2023, 23, 1845. [Google Scholar] [CrossRef]
- Wang, N.; Ahn, C.K. Coordinated trajectory-tracking control of a marine aerial-surface heterogeneous system. IEEE/ASME Trans. Mechatron. 2021, 26, 3198–3210. [Google Scholar] [CrossRef]
- Li, J.; Zhang, G.; Shan, Q.; Zhang, W. A novel cooperative design for USV-UAV systems: 3D mapping guidance and adaptive fuzzy control. IEEE Trans. Control Netw. Syst. 2023, 10, 564–574. [Google Scholar] [CrossRef]
- Chen, F.; Jiang, R.; Zhang, K.; Jiang, B.; Tao, G. Robust backstepping sliding-mode control and observer-based fault estimation for a quadrotor UAV. IEEE Trans. Ind. Electron. 2016, 63, 5044–5056. [Google Scholar] [CrossRef]
- Park, B.S.; Kwon, J.W.; Kim, H. Neural network-based output feedback control for reference tracking of underactuated surface vessels. Automatica 2017, 77, 353–359. [Google Scholar] [CrossRef]
- Sontag, E.D.; Wang, Y. On characterizations of the input-to-state stability property. Syst. Control Lett. 1995, 24, 351–359. [Google Scholar] [CrossRef]
- Hao, L.Y.; Zhao, Z.H. Quantized Sliding Mode Fault-Tolerant Control for Unmanned Marine Vehicles with Thruster Saturation. J. Mar. Sci. Eng. 2023, 11, 309. [Google Scholar] [CrossRef]
- Hao, L.Y.; Yu, Y.; Li, T.S.; Li, H. Quantized output-feedback control for unmanned marine vehicles with thruster faults via sliding-mode technique. IEEE Trans. Cybern. 2021, 52, 9363–9376. [Google Scholar] [CrossRef]
















| Parameter | Value |
|---|---|
| 2 | |
Disclaimer/Publisher’s Note: The statements, opinions and data contained in all publications are solely those of the individual author(s) and contributor(s) and not of MDPI and/or the editor(s). MDPI and/or the editor(s) disclaim responsibility for any injury to people or property resulting from any ideas, methods, instructions or products referred to in the content. |
© 2024 by the authors. Licensee MDPI, Basel, Switzerland. This article is an open access article distributed under the terms and conditions of the Creative Commons Attribution (CC BY) license (https://creativecommons.org/licenses/by/4.0/).
Share and Cite
Ning, J.; Huang, Y.; Liu, Z.; Li, W.; Yue, X. Adaptive Distributed Heterogeneous Formation Control for UAV-USVs with Input Quantization. J. Mar. Sci. Eng. 2024, 12, 975. https://doi.org/10.3390/jmse12060975
Ning J, Huang Y, Liu Z, Li W, Yue X. Adaptive Distributed Heterogeneous Formation Control for UAV-USVs with Input Quantization. Journal of Marine Science and Engineering. 2024; 12(6):975. https://doi.org/10.3390/jmse12060975
Chicago/Turabian StyleNing, Jun, Yuyang Huang, Zihan Liu, Wei Li, and Xingwang Yue. 2024. "Adaptive Distributed Heterogeneous Formation Control for UAV-USVs with Input Quantization" Journal of Marine Science and Engineering 12, no. 6: 975. https://doi.org/10.3390/jmse12060975
APA StyleNing, J., Huang, Y., Liu, Z., Li, W., & Yue, X. (2024). Adaptive Distributed Heterogeneous Formation Control for UAV-USVs with Input Quantization. Journal of Marine Science and Engineering, 12(6), 975. https://doi.org/10.3390/jmse12060975

